Characterization and Differentiation of Wild and Cultivated Berries Based on Isotopic and Elemental Profiles
Abstract
1. Introduction
2. Materials and Methods
2.1. Sample Description
2.2. Sample Preparation and Analysis
2.2.1. Sample Preparation and Stable Isotope Analysis
2.2.2. Sample Digestion Procedure and Multi-Element Analysis
2.3. Chemometric Analysis
3. Results and Discussion
3.1. Isotopic Results
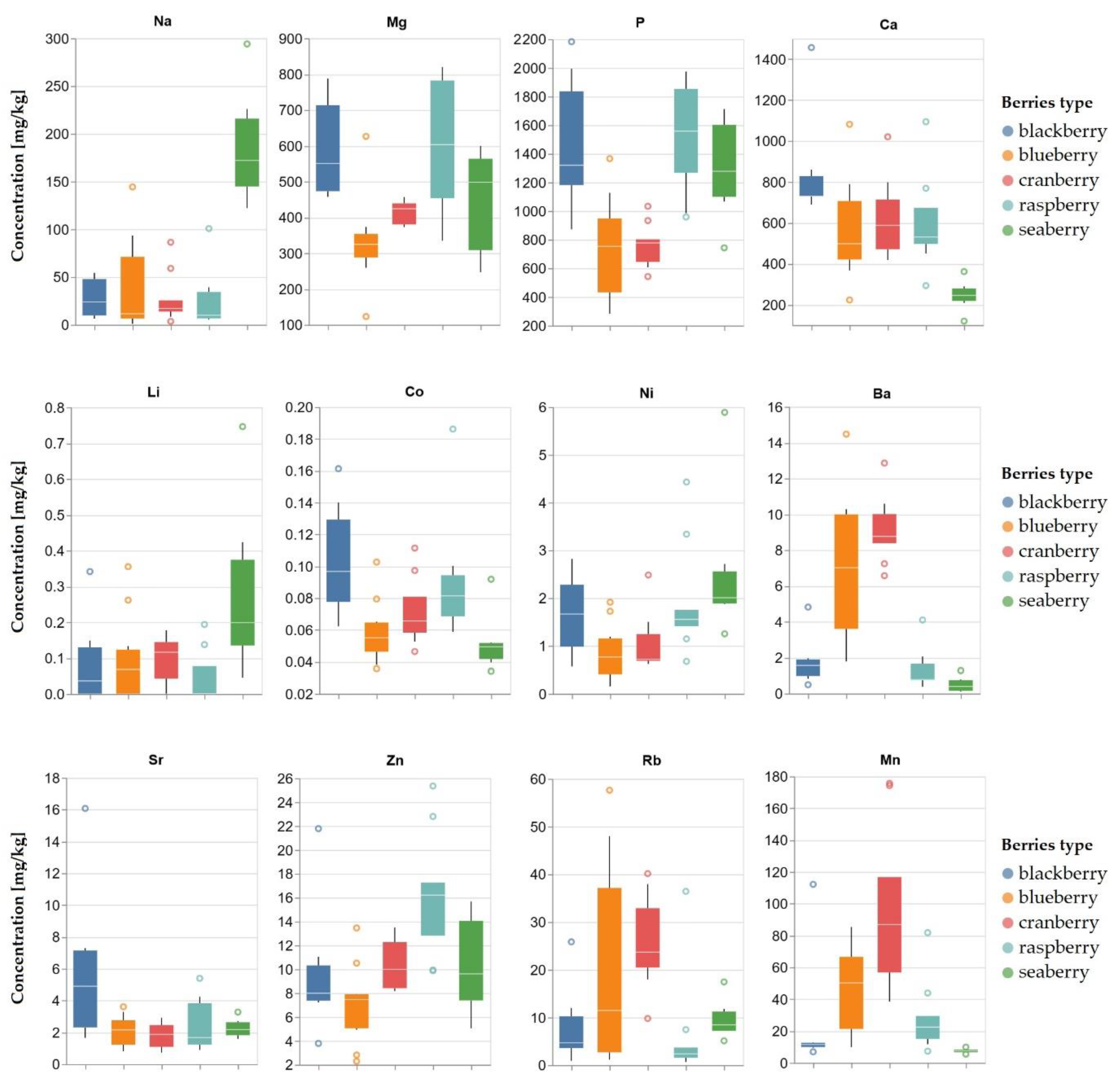
3.2. Multi-Element Analysis of Investigated Berries Samples
3.3. Differentiation Models of Berries According to Botanical Origin and Growing System
4. Conclusions
Supplementary Materials
Author Contributions
Funding
Institutional Review Board Statement
Informed Consent Statement
Data Availability Statement
Conflicts of Interest
References
- Salo, H.M.; Nguyen, N.; Alakärppä, E.; Klavins, L.; Hykkerud, A.L.; Karppinen, K.; Jaakola, L.; Klavins, M.; Häggman, H. Authentication of Berries and Berry-Based Food Products. Compr. Rev. Food Sci. Food Saf. 2021, 20, 5197–5225. [Google Scholar] [CrossRef] [PubMed]
- De Souza, V.R.; Pereira, P.A.P.; Da Silva, T.L.T.; De Oliveira Lima, L.C.; Pio, R.; Queiroz, F. Determination of the Bioactive Compounds, Antioxidant Activity and Chemical Composition of Brazilian Blackberry, Red Raspberry, Strawberry, Blueberry and Sweet Cherry Fruits. Food Chem. 2014, 156, 362–368. [Google Scholar] [CrossRef]
- Klavins, L.; Maaga, I.; Bertins, M.; Hykkerud, A.L.; Karppinen, K.; Bobinas, Č.; Salo, H.M.; Nguyen, N.; Salminen, H.; Stankevica, K.; et al. Trace Element Concentration and Stable Isotope Ratio Analysis in Blueberries and Bilberries: A Tool for Quality and Authenticity Control. Foods 2021, 10, 567. [Google Scholar] [CrossRef] [PubMed]
- Nicole Wagner AgriProbe. 2020, pp. 51–59. Available online: https://issuu.com/wcdoapubs/docs/ap_vol17_no4_high_res/s/11477975 (accessed on 30 January 2023).
- Protzman, E. Blueberries Around the Globe–Past, Present, and Future. U.S. Department of Agriculture International Agricultural Trade Report. 2021. Available online: https://www.fas.usda.gov/sites/default/files/2021-10/GlobalBlueberriesFinal_1.pdf (accessed on 29 January 2023).
- Available online: https://www.internationalraspberry.net/ (accessed on 30 January 2023).
- Available online: https://www.foodnerdinc.com/blogs/food-for-thought/wild-blueberries-the-next-big-superfood (accessed on 30 January 2023).
- Perini, M.; Giongo, L.; Grisenti, M.; Bontempo, L.; Camin, F. Stable Isotope Ratio Analysis of Different European Raspberries, Blackberries, Blueberries, Currants and Strawberries. Food Chem. 2018, 239, 48–55. [Google Scholar] [CrossRef] [PubMed]
- Leonardelli, L.; Leonardelli, S.; Schwambach, J. Carbon and Oxygen Isotope Profile in Brazilian Blueberries (Vaccinium Spp.). Braz. J. Anal. Chem. 2022, 9, 62–71. [Google Scholar] [CrossRef]
- Karlsons, A.; Osvalde, A.; Čekstere, G.; Ponnale, J. Research on the Mineral Composition of Cultivated and Wild Blueberries and Cranberries. Agron. Res. 2018, 16, 454–463. [Google Scholar] [CrossRef]
- Dróżdż, P.; Šėžienė, V.; Pyrzynska, K. Mineral Composition of Wild and Cultivated Blueberries. Biol. Trace Elem. Res. 2018, 181, 173–177. [Google Scholar] [CrossRef] [PubMed]
- Socaci, S.A.; Socaciu, C.; Tofanǎ, M.; Raţi, I.V.; Pintea, A. In-Tube Extraction and GC-MS Analysis of Volatile Components from Wild and Cultivated Sea Buckthorn (Hippophae rhamnoides L. ssp. Carpatica) Berry Varieties and Juice. Phytochem. Anal. 2013, 24, 319–328. [Google Scholar] [CrossRef]
- Zhu, J.C.; Wang, L.Y.; Xiao, Z.B.; Niu, Y.W. Characterization of the Key Aroma Compounds in Mulberry Fruits by Application of Gas Chromatography–Olfactometry (GC-O), Odor Activity Value (OAV), Gas Chromatography-Mass Spectrometry (GC–MS) and Flame Photometric Detection (FPD). Food Chem. 2018, 245, 775–785. [Google Scholar] [CrossRef]
- Singh, S.; Sharma, P.C. Gas Chromatography–Mass Spectrometry (GC–MS) Profiling Reveals Substantial Metabolome Diversity in Seabuckthorn (Hippophae rhamnoides L.) Berries Originating from Different Geographical Regions in the Indian Himalayas. Phytochem. Anal. 2022, 33, 214–225. [Google Scholar] [CrossRef]
- Guimarães, R.; Barros, L.; Dueñas, M.; Carvalho, A.M.; Queiroz, M.J.R.P.; Santos-Buelga, C.; Ferreira, I.C.F.R. Characterisation of Phenolic Compounds in Wild Fruits from Northeastern Portugal. Food Chem. 2013, 141, 3721–3730. [Google Scholar] [CrossRef]
- Mustafa, A.M.; Angeloni, S.; Abouelenein, D.; Acquaticci, L.; Xiao, J.; Sagratini, G.; Maggi, F.; Vittori, S.; Caprioli, G. A New HPLC-MS/MS Method for the Simultaneous Determination of 36 Polyphenols in Blueberry, Strawberry and Their Commercial Products and Determination of Antioxidant Activity. Food Chem. 2022, 367, 130743. [Google Scholar] [CrossRef] [PubMed]
- Kim, D.-W.; Han, H.-A.; Kim, J.-K.; Kim, D.-H.; Kim, M.-K. Comparison of Phytochemicals and Antioxidant Activities of Berries Cultivated in Korea: Identification of Phenolic Compounds in Aronia by HPLC/Q-TOF MS. Prev. Nutr. Food Sci. 2021, 26, 459–468. [Google Scholar] [CrossRef]
- Medina, S.; Pereira, J.A.; Silva, P.; Perestrelo, R.; Câmara, J.S. Food Fingerprints–A Valuable Tool to Monitor Food Authenticity and Safety; Elsevier Ltd.: Amsterdam, The Netherlands, 2019; Volume 278, ISBN 0000000272. [Google Scholar]
- Matta, F.V.; Xiong, J.; Lila, M.A.; Ward, N.I.; Felipe-Sotelo, M.; Esposito, D. Chemical Composition and Bioactive Properties of Commercial and Non-Commercial Purple and White Açaí Berries. Foods 2020, 9, 1481. [Google Scholar] [CrossRef] [PubMed]
- Koczka, N.; Stefanovits-Bányai, É.; Prokaj, E. Element Composition, Total Phenolics and Antioxidant Activity of Wild and Cultivated Blackberry (Rubus fruticosus L.) Fruits and Leaves during the Harvest Time. Not. Bot. Horti Agrobot. 2018, 46, 563–569. [Google Scholar] [CrossRef]
- Cristea, G.; Voica, C.; Feher, I.; Puscas, R.; Magdas, D.A. Isotopic and Elemental Characterization of Romanian Pork Meat in Corroboration with Advanced Chemometric Methods: A First Exploratory Study. Meat Sci. 2022, 189, 108825. [Google Scholar] [CrossRef] [PubMed]
- Brand, W.A.; Coplen, T.B.; Vogl, J.; Rosner, M.; Prohaska, T. Assessment of International Reference Materials for Isotope-Ratio Analysis (IUPAC Technical Report). Pure Appl. Chem. 2014, 86, 425–467. [Google Scholar] [CrossRef]
- Akbari, E.; Baigbabaei, A.; Shahidi, M. Determination of the Floral Origin of Honey Based on Its Phenolic Profile and Physicochemical Properties Coupled with Chemometrics. Int. J. Food Prop. 2020, 23, 506–519. [Google Scholar] [CrossRef]
- Bisutti, V.; Merlanti, R.; Serva, L.; Lucatello, L.; Mirisola, M.; Balzan, S.; Tenti, S.; Fontana, F.; Trevisan, G.; Montanucci, L.; et al. Multivariate and Machine Learning Approaches for Honey Botanical Origin Authentication Using near Infrared Spectroscopy. J. Near Infrared Spectrosc. 2019, 27, 65–74. [Google Scholar] [CrossRef]
- Dehelean, A.; Cristea, G.; Puscas, R.; Hategan, A.R.; Magdas, D.A. Assigning the Geographical Origin of Meat and Animal Rearing System Using Isotopic and Elemental Fingerprints. Appl. Sci. 2022, 12, 12391. [Google Scholar] [CrossRef]
- Camin, F.; Bontempo, L.; Perini, M.; Piasentier, E. Stable Isotope Ratio Analysis for Assessing the Authenticity of Food of Animal Origin. Compr. Rev. Food Sci. Food Saf. 2016, 15, 868–877. [Google Scholar] [CrossRef] [PubMed]
- Camin, F.; Perini, M.; Bontempo, L.; Fabroni, S.; Faedi, W.; Magnani, S.; Baruzzi, G.; Bonoli, M.; Tabilio, M.R.; Musmeci, S.; et al. Potential Isotopic and Chemical Markers for Characterising Organic Fruits. Food Chem. 2011, 125, 1072–1082. [Google Scholar] [CrossRef]
- Cristea, G.; Feher, I.; Magdas, D.A.; Voica, C.; Puscas, R. Characterization of Vegetables by Stable Isotopic and Elemental Signatures. Anal. Lett. 2017, 50, 2677–2690. [Google Scholar] [CrossRef]
- Cristea, G.; Feher, I.; Voica, C.; Radu, S.; Magdas, D.A. Isotopic and Elemental Profiling alongside with Chemometric Methods for Vegetable Differentiation. Isot. Environ. Health Stud. 2020, 56, 69–82. [Google Scholar] [CrossRef] [PubMed]
- Liu, X.Z.; Zhang, Y.; Li, Z.G.; Feng, T.; Su, Q.; Song, Y. Carbon Isotopes of C3 Herbs Correlate with Temperature on Removing the Influence of Precipitation across a Temperature Transect in the Agro-Pastoral Ecotone of Northern China. Ecol. Evol. 2017, 7, 10582–10591. [Google Scholar] [CrossRef] [PubMed]
- Zhu, Y.; Siegwolf, R.T.W.; Durka, W.; Körner, C. Phylogenetically Balanced Evidence for Structural and Carbon Isotope Responses in Plants along Elevational Gradients. Oecologia 2010, 162, 853–863. [Google Scholar] [CrossRef]
- Cole, A.; Boutt, D.F. Spatially-Resolved Integrated Precipitation-Surface-Groundwater Water Isotope Mapping from Crowd Sourcing: Toward Understanding Water Cycling Across a Post-glacial Landscape. Front. Water 2021, 3, 645634. [Google Scholar] [CrossRef]
- Brencic, M.; Vreca, P. Identification of Sources and Production Processes of Bottled Waters by Stable Hydrogen and Oxygen Isotope Ratios. Rapid Commun. Mass Spectrom. 2006, 20, 3205–3212. [Google Scholar] [CrossRef] [PubMed]
- Camin, F.; Dordevic, N.; Wehrens, R.; Neteler, M.; Delucchi, L.; Postma, G.; Buydens, L. Climatic and Geographical Dependence of the H, C and O Stable Isotope Ratios of Italian Wine. Anal. Chim. Acta 2015, 853, 384–390. [Google Scholar] [CrossRef]
- Oerter, E.; Malone, M.; Putman, A.; Drits-Esser, D.; Stark, L.; Bowen, G. Every Apple Has a Voice: Using Stable Isotopes to Teach about Food Sourcing and the Water Cycle. Hydrol. Earth Syst. Sci. 2017, 21, 3799–3810. [Google Scholar] [CrossRef]
- The Differences Between Wild and Cultivated Blueberries. Available online: https://peiwildblueberries.com/differences-between-wild-and-cultivated-blueberries/ (accessed on 29 January 2023).
- Ghinea, D. România Geografică, Brașov. Available online: https://romaniadategeografice.net/unitati-admin-teritoriale/municipii/municipii-b/brasov/ (accessed on 27 January 2023).
- Available online: https://www.academia.edu/29593723/Fructe_de_p%C4%83dure_Centrul_Rom%C3%A2n_pentru_Promovarea_Comer%C8%9Bului_%C5%9Fi_Investi%C8%9Biilor_Str%C4%83ine (accessed on 25 January 2023).
- Kotula, M.; Kapusta-Duch, J.; Smolen, S. Evaluation of Selected Heavy Metals Contaminants in the Fruits and Leaves of Organic, Conventional and Wild Raspberry (Rubus idaeus L.). Appl. Sci. 2022, 12, 7610. [Google Scholar] [CrossRef]
- Akimov, M.Y.; Koltsov, V.A.; Zhbanova, E.V.; Akimova, O.M. Nutritional value of promising raspberry varieties. IOP Conf. Ser. Earth Environ. Sci. 2021, 640, 022078. [Google Scholar] [CrossRef]






| Berry Type | δ2HVSMOW (‰) | δ18OVSMOW (‰) | ||||
|---|---|---|---|---|---|---|
| Min | Max | Mean | Min | Max | Mean | |
| Raspberry | −49.0 | −31.6 | −38.9 | −4.8 | 0.4 | −1.8 |
| Seaberry | −38.2 | −24.1 | −31.7 | −3.5 | 4.3 | 0.1 |
| Blackberry | −36.2 | −18.8 | −29.4 | −2.3 | 3.5 | 0.7 |
| Cranberry | −37.2 | −19.5 | −28.7 | −3.2 | 0.8 | 1.0 |
| Blueberry | −34.3 | −17.0 | −25.3 | −1.2 | 4.9 | 2.0 |
Disclaimer/Publisher’s Note: The statements, opinions and data contained in all publications are solely those of the individual author(s) and contributor(s) and not of MDPI and/or the editor(s). MDPI and/or the editor(s) disclaim responsibility for any injury to people or property resulting from any ideas, methods, instructions or products referred to in the content. |
© 2023 by the authors. Licensee MDPI, Basel, Switzerland. This article is an open access article distributed under the terms and conditions of the Creative Commons Attribution (CC BY) license (https://creativecommons.org/licenses/by/4.0/).
Share and Cite
Cristea, G.; Dehelean, A.; Puscas, R.; Covaciu, F.-D.; Hategan, A.R.; Müller Molnár, C.; Magdas, D.A. Characterization and Differentiation of Wild and Cultivated Berries Based on Isotopic and Elemental Profiles. Appl. Sci. 2023, 13, 2980. https://doi.org/10.3390/app13052980
Cristea G, Dehelean A, Puscas R, Covaciu F-D, Hategan AR, Müller Molnár C, Magdas DA. Characterization and Differentiation of Wild and Cultivated Berries Based on Isotopic and Elemental Profiles. Applied Sciences. 2023; 13(5):2980. https://doi.org/10.3390/app13052980
Chicago/Turabian StyleCristea, Gabriela, Adriana Dehelean, Romulus Puscas, Florina-Dorina Covaciu, Ariana Raluca Hategan, Csilla Müller Molnár, and Dana Alina Magdas. 2023. "Characterization and Differentiation of Wild and Cultivated Berries Based on Isotopic and Elemental Profiles" Applied Sciences 13, no. 5: 2980. https://doi.org/10.3390/app13052980
APA StyleCristea, G., Dehelean, A., Puscas, R., Covaciu, F.-D., Hategan, A. R., Müller Molnár, C., & Magdas, D. A. (2023). Characterization and Differentiation of Wild and Cultivated Berries Based on Isotopic and Elemental Profiles. Applied Sciences, 13(5), 2980. https://doi.org/10.3390/app13052980

