Abstract
Equipment, sound sources, operators, microphone placement, calculation techniques, and thermal–humidity measurement conditions all have an impact on the measurement of impulse responses when several channels are present. However, the thermal–humidity variable, which is a significant component of these factors impacting the assessment of acoustic characteristics, is commonly overlooked in research. The effects of altering temperature, relative humidity, and air velocity on acoustic parameters are investigated in this paper through experimental activities carried out in an experimental room. The patterns of fluctuation of a range of room acoustic characteristics are examined, data are acquired, and statistical analyses based on R (language and environment for statistical computing and graphics) are generated in order to ascertain the relationship between the variation of acoustic parameters and the variation of thermo-hygrometric parameters. Finally, a statistical analysis reveals relationships between thermal and hygrometric variables and interior acoustic characteristics.
1. Introduction
The acoustic characteristics of an indoor environment can have a significant impact on a user’s stress levels. Thus, the design of acoustic parameters within the indoor environment must be carefully considered and implemented in order to ensure a healthy and comfortable living space. Studies have shown that the acoustic environment can affect the stress levels of users, thus making this a vital factor in the design of indoor environments [1]. Furthermore, acoustic parameters must be designed with the aim of optimising the user’s experience and ensuring a pleasant atmosphere [2]. Variation in the measurement of acoustic parameters depends on a variety of factors, including the equipment’s properties, the operator’s skill, the location and quantity of sources and receivers, post-processing techniques, the measuring method, thermo-hygrometric circumstances, etc. [3]. These factors are frequently regarded as measurement uncertainty.
In the field of acoustics, the accuracy and assessment of experimental values are of the utmost importance. This is because the experimental values must be in line with the set regulations and standards. This is especially important in the areas of architecture and environmental science, where a precise understanding of the acoustic environment is essential. To ensure compliance with legal requirements and standards, it is necessary to ensure that experimental values and their evaluation are both correct and reliable. The accuracy of acoustic measurements has an impact on the determination of correct experimental values. In acoustic measurements, uncertainty is defined as “a characteristic associated with a measurement result that characterises the dispersion of the result and can plausibly be assigned to the observed value” [4]. This assertion implies that the uncertainty estimate corresponds to a close approximation of the experimental defect [3]. In other words, there are a number of factors associated with the measurement itself that contribute to uncertainty in acoustic measurements or mistakes in the experimental value.
In building acoustics, several important influences affecting the determination of the correct values of acoustic parameters have been shown in the following studies: Öqvis et al. presented uncertainty in the measurement of air and impact insulation in industrial prefabricated cross-laminated timber structures [5]. Researchers such as Scrosati et al. [6] have determined that a link between the repeatability and reproducibility of uncertainty in building acoustic measurements is possible. In addition, Mahn et al. [7] discussed the assessment of flanking transmission in structures according to the EN ISO 12354-1 standard.
Other significant work on the topic of uncertainty in building acoustics for the twenty-first century includes publications by Wittstock, Hongisto, Kylliäinen, Ljunggren, and Qvist [8,9,10,11]. The position and number of sources and receivers, the operator’s skill, post-processing techniques, and measurement method-related variables are all taken into account in these papers. Still, the thermal and hygroscopic measurement conditions that arise during the measurement process have been more or less ignored. Wszołek and Engel [4] analyse the assessment of uncertainty in the noise measuring process in the context of noise management. Uncertainty in indoor acoustics has rarely been considered in the existing research papers, perhaps because, in this field, compliance with legally prescribed values is lax, and the results of experimental measurements are seen as more important. Valuable work was presented in the papers by Pelorson et al. [12], De Vries et al. [13], San Martìn et al. [14] and Witew et al. [15]. They discussed uncertainty in the acoustic parameters of rooms and the uncertainty arising from changes in equipment arrangement.
However, only very few have considered the importance of thermal and humidity measurement conditions in acoustic measurements. Among the important research works are the following: In the context of voice alarm systems, the role of temperature and humidity in sound reproduction systems was discussed by Gomez-Agustina et al. [16], who showed that high-frequency reverberation time was positively correlated with changes in temperature and humidity and was negatively correlated with speech-related parameters (e.g., STI). Air absorption effects in outdoor noise transmission were analysed in the ISO 9613-1 [17] standard, where direct correlations with temperature, relative humidity, and static pressure were assessed. However, this did not provide a method by which these effects can be evaluated.
This article explores the effects of varying temperature, relative humidity, and air velocity on acoustic parameters through an experimental activity carried out in a practice room. A statistical analysis was carried out using R to obtain relationships between changes in acoustic parameters and changes in thermal and humidity variables.
2. Materials and Methods
The measurements were carried out in the “Roberto Alessi” laboratory at the Department of Industrial Engineering in Bologna over a period of more than 25 consecutive hours between 31 July and 1 August.
The room chosen for the measurements, a laboratory of approximately 650 square metres (see the yellow area of the plan in Figure 1) used as a technical physics laboratory, certainly does not have the acoustic quality of a theatre. However, for the purposes of the analysis, the acoustic quality of the room was not relevant.
Figure 1.
Floor plan of the building; the yellow part is the experimental area.
On the other hand, the range of variability attainable with regard to thermo-hygrometric parameters is more significant. It guarantees a reasonably wide temperature range, especially during the summer, because the building is exposed to the sun on nearly the whole outside surface (around 80%). Additionally, it has an intensity-adjustable ceiling ventilation system that allows the wind speed to change from zero to a maximum of around 0.5 m/s, a value that is evidently not high but is more than adequate for a study of enclosed situations.
2.1. Measurements of Acoustic Parameters
To measure the acoustic parameters and record the results, the following equipment was used:
- Digitally pre-equalized dodecahedron (Look Line);
- B-format microphone (Soundfield MK V);
- Dummy head (Neumann KU 100).
The computer that creates an exponential sweep signal with a frequency range of 40 Hz to 20 kHz and records input signals from the microphones is the main technological component of the measuring system. The outputs were recorded using a Motu Traveler MK3 FireWire sound card and saved as a 96 kHz sample rate and 32-bit waveform [18]. Figure 2 contains a report on the measurement method’s scheme.
Figure 2.
Scheme of the measurements.
In addition, the signal thus generated was appropriately equalised according to the speaker used. This involved the use of a signal that makes the strength of the diffused sound as homogenous as possible over all the frequencies to make up for the non-linearity in the frequency response of the dodecahedron’s response (as for any other loudspeaker) [19].
The monaural (W-channel) and spatial (LE and LF) characteristics derived from the B-format microphone were retrieved following the processing of the B-format-type impulse response. The IACF and IACC values, on the other hand, were derived from the dummy head’s measurement of the binaural impulse response (BIR). Additionally, psychoacoustic examinations can make use of the data gathered through B-format and binaural impulse response. In order to evaluate changes in the subjective perception of various musical themes under various thermal humidity conditions, future research initiatives with this focus are required [20].
2.2. Measurement Method
The measurement method used in this study was that of the impulse response derived by deconvolution from the recording of an exponential sweep, which makes it possible to obtain all the necessary parameters from a single measurement and ensures the elimination of background noise [21].
Keeping the position of both the microphones and the sound source fixed, a dodecahedron was placed at a distance of approximately 10 metres from the microphones in accordance with ISO 3328-2, 2008 [22] and a measurement was taken every 5 min of storing in addition to the recorded audio files and the readings of the anemometric (see next paragraph) and thermo-hygrometric probes.
In order to have a sufficiently large number of data to enable statistical tools to be used later on, we decided to repeat the measurement 300 times, once every five minutes.
The ventilation system was also turned on for the first 200 measurements, increasing the intensity by an interval as evenly as possible until the maximum was reached; in a similar manner, the ventilation was turned on from maximum power until it was turned off. Each cycle lasted 2 h from wind speed VMIN = 0 m/s to VMAX = 0.55 m/s and returned for a total of 24 measurements. Thus, every 2 h (24 measurements), starting from stopped ventilation (or at maximum power), halted ventilation was returned (or reached maximum capacity).
The next 100 tests took place with stationary ventilation (V = 0 m/s).
2.3. Measurement Equipment
A personal computer equipped with a Motu Traveler MK3 FireWire sound card with 8 input channels (6 of which were used for recording from the microphones) and sufficient memory to store a considerable amount of data (approximately 16 gigabytes) was used for the acoustic measurements.
With the software Adobe Audition, it is possible to output the sweep signal to the dodecahedron and simultaneously acquire as input the six audio tracks coming from the microphones. Thanks to AutoSweep, an application specifically developed for the experiment that allows a certain number of acoustic measurements to be taken automatically at regular time intervals, it was possible to have Audition automatically perform the acoustic measurements and save the related data to the hard disk [23].
A dodecahedron is a type of loudspeaker with 12 faces, each of which has a diffuser cone as shown in Figure 3a. This configuration allows the dodecahedron to diffuse the signal in an omnidirectional manner [24]. A Look Line power amplifier amplified the signal before reaching the dodecahedron.
Figure 3.
Dodecahedron (a), Soundfield microphone (b), binaural head-mounted microphone (c).
A Soundfield MK V (Figure 3b) and a Sennheiser dummy head (Figure 3c) with a binaural microphone mounted on the artificial head were used as microphones.
The Soundfield MK V is equipped with four cardioid microphones arranged in a tetrahedron pattern which, as described in the previous sections, makes it possible to assess the contributions of the sound phenomenon on the various reference axes (X, Y, Z, and W, which are obtained after transforming the original A-format signal to B-format).
The binaural microphone together with the artificial head allowed the simulation of the perception of human ears.
The Soundfield microphone then sent four signals (X, Y, Z, and W) to the computer’s sound card and the binaural 2 (left and right) for a total of 6 audio tracks.
Through the Adobe Audition application Aurora, one can derive the desired impulse responses and acoustic parameters.
2.4. Instruments for Thermo-Hygrometric Measurements
For the measurement of temperature and relative humidity, an electronic instrument, the BABUC, was used, as shown in Figure 4. It was equipped with a probe on which a thermometric sensor, a resistance thermometer, and a hygrocapacitive sensor were mounted [25]. The device can be programmed in such a way that it takes temperature and hygrometric measurements at regular intervals and stores the data thus obtained.

Figure 4.
Hot wire anemometer and the acquiring system (BABUC, DISA).
2.5. Development of the Measurements
Theoretically, the measurement of acoustic parameters requires the linearity and time invariance of the system. However, these conditions are virtually impossible in a normal enclosed space. Thus, the experiments in this paper aimed to test this hypothesis and attempt to quantify the changes in acoustic parameters for changes in room temperature, relative humidity, and air velocity. The measurements of the room acoustic parameters were carried out using a pre-equalised ESS (exponential sine sweep) signal [19]. All the recorded tracks were then post-processed using the inverse filter of the ESS and finally the acoustic parameters were calculated.
Furthermore, there was only one operator for this investigation, and the same instrumentation was employed. The sound source and microphone were always in the same location and orientation throughout the experiment. In utilising this method, uncertainty in temperature and humidity variables was reduced [26]. The strength of the ventilation system was likewise periodically increased, reaching a maximum value as frequently as possible and then reducing in the same way until it was shut off completely.
The impulse response was extrapolated using the Aurora plugin after a total of 1806 recordings were recorded in this experiment, with 6 tracks for each measurement, 2 binaural tracks, and 4 sound field tracks pertaining to 301 measurements. The following acoustic parameters were determined from the impulse responses:
- Reverberation time, T20 (s) and T30 (s);
- Early-decay time, EDT (s);
- Strength, G (dB);
- Clarity, C50 (dB) and C80(dB);
- Definiton, D50 (%);
- Interaural cross-correlation, IACC;
- Lateral efficiency, LE;
- Lateral fraction, LF.
3. Data Analysis and Results
In this section, the variations in temperature, relative humidity, and wind speed are analysed, and the main room acoustic parameters are analysed. Finally, the relationship between the measured values of the acoustic parameters and changes in temperature, relative humidity, and wind speed, which have not been mentioned in previous research papers, are analysed based on R.
3.1. Thermo-Hygrometric Parameters Analysis
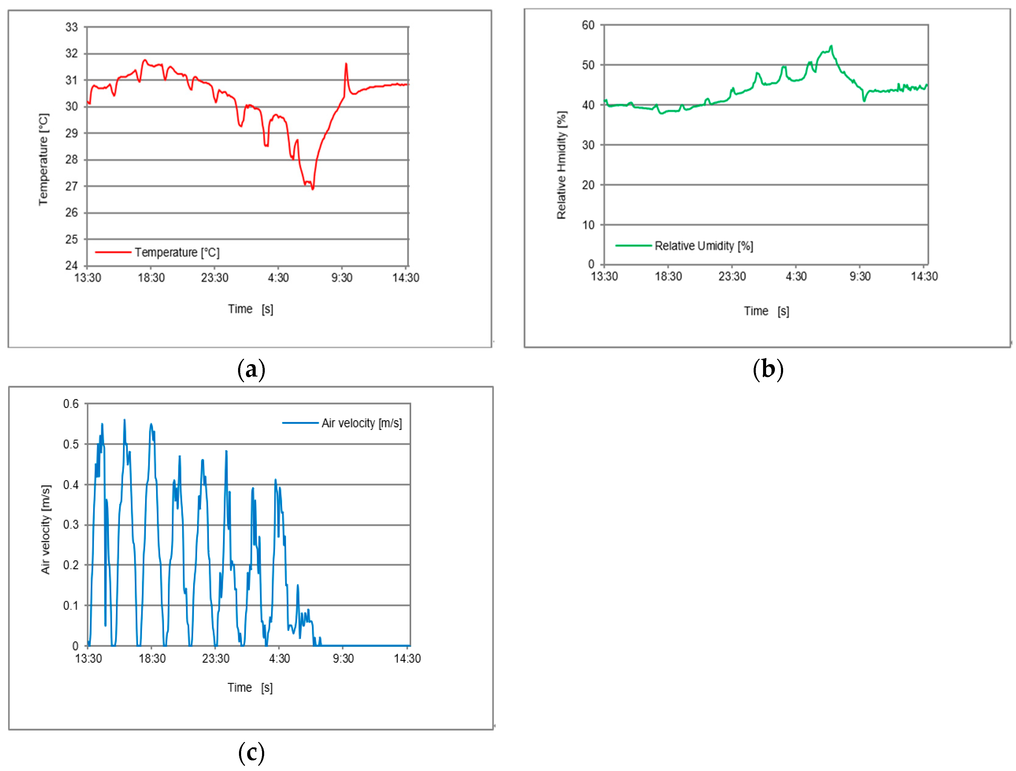
The temperature, relative humidity, and air velocity values are shown in Figure 5.
Figure 5.
Temperature (a), relative humidity (b), and air velocity values (c).
Figure 5 clearly illustrates how the relative humidity changed in response to changes in temperature and vice versa. This is consistent with the basic principle that there is a negative association between temperature and humidity. In order to capture the greatest amount of temperature variance, the experimental parameters were monitored throughout a 25 h period that included the whole day. Table 1 shows that during the experiment, the difference in room temperature between the maximum and minimum values was close to 5 °C, the difference in maximum and minimum relative humidity values was roughly 17%, and the change in air velocity was 0.55 m/s.
Table 1.
Temperature, humidity, and airflow within the room.
Although the relationship between changes in acoustic characteristics may be understood by fluctuations in air temperature and relative humidity in the current inquiry, further trials in winter to examine the effects of varied temperatures, relative humidity, and more complicated environmental elements arising from human interaction on the primary acoustic parameters of the space are also required.
The only independent characteristic that could be artificially changed by the ventilation system was the wind speed. Figure 5 makes it abundantly evident that the most prominent peaks and lowest values of temperature and humidity occurred when the air velocity was close to its lowest value. This was due to the laboratory’s extremely high ceilings, which forced hot air to ascend and generate uneven room temperatures. Thus, a more uniform distribution of temperature was achieved throughout the lab when the ventilation system was turned on. When the fans were turned off, the lower levels of air were closer to the measurement equipment, resulting in lower temperatures and higher relative humidity.
3.2. Acoustic Parameters Analysis
The graphs below show the variations of the room acoustic parameters at different frequencies. The graphs report the reverberation time (T30), early decay time (EDT), strength (G), definition (D50), clarity (C50 and C80), lateral fraction (LF), lateral efficiency (LE), and interaural cross correlation coefficient (IACC).
The statistical findings of the data may be divided into four different curve types according to the significant auditory characteristics reported:
- The frequency bands show similar parametric trends, although with more or less distinctly different amplitudes (EDT and G, as shown in Figure 6a,b);
Figure 6. Early decay time (EDT) trends (a), strength (G) trends (b), similar parametric trends. - The various frequency bands show different and distinct trends, sometimes inverted. However, the overall trend is still clearly discernible similar to the temperature and humidity parameter curves due to changes in air velocity (C50, C80, and D50, the overall variation is still discernible despite the insignificant change in the lower frequency range, as shown in Figure 7a–c);
Figure 7. Clarity (C50) trends (a), clarity (C80) trends (b), definition (D50) trends (c), sometimes different for different frequencies. - The frequency bands show that they are not sensitive to variations in temperature and humidity despite some fluctuations in the mid and high frequencies (IACC, as shown in Figure 8);
Figure 8. Interaural cross correlation coefficient (IACC) trends, not sensitive to variations in temperature and humidity. - Lateral fraction (LF, as shown in Figure 9a) and lateral efficiency (LE, as shown in Figure 9b) show similar parametric trends. It can be clearly seen that the higher the frequency, the more sensitive it is to variations in temperature and humidity;
Figure 9. Lateral fraction (LF) trends (a), lateral efficiency (LE) trends (b), high frequencies are more sensitive. - Unpredictable patterns and seemingly indistinguishable effects (T30, as shown in Figure 10).
Figure 10. Reverberation time (T30) trends, indistinguishable effects.
3.3. Regression Analysis Using R
After determining the variations of the acoustic and thermo-hygrometric parameters, a regression analysis was performed on both data sets using R, a programming language, to investigate the relationship between the acoustic parameters and the thermo-hygrometric parameters.
K-fold cross-validation was used, which is an effective method for validating machine learning models by dividing the training set into K subsets and then validating the data for each subset, ultimately averaging the K validation results to evaluate the fit of the model. In this study, five-fold cross-validation method to conduct a regression analysis on the acoustic and thermal humidity parameters has been used. k = 5 was determined from the empirical data, which is a relatively acceptable parameter value as it can effectively divide the data in order to more accurately assess the generalisation performance and prediction performance of the model [27].
The univariate regression analysis produced the best results after testing. Temperature and humidity were independently regressed for the acoustic parameters, and the results are displayed in Appendix A. The coefficient is the regression coefficient, p is the p-value, RMSE is the root mean square error, R2 is the R-squared, and MAE is the mean absolute error.
The p-value is the probability of occurrence, given that there is no linear relationship between the two variables. As a result, when the p-value is minimal, i.e., p-value < 0.05, a linear relationship between the two variables can be considered to exist. With the exception of IACC at 125 Hz; T30, LE, and LF at 250 Hz; T30 and IACC at 500 Hz; and C50, C80, and D50 at 2000 Hz and 4000 Hz, there is a linear relationship between parameters and temperature, and the smaller the p-value, the more pronounced this linear relationship, as shown in Table A1. From Table A2, it can be concluded that there is a linear relationship between parameters and humidity with the exception of T30, LE, and LF at 250 Hz; T30 and IACC at 500 Hz; and C50, C80, and D50 at 2000 Hz and 4000 Hz. A positive regression coefficient indicates a positive association, whereas a negative value indicates a negative correlation. The absolute value of the coefficient indicates the magnitude of the change in the dependent variable due to a unit change in the independent variable.
A visualisation with commands, Figure 11 displays examples of linear and non-linear, positive, and negative correlation scatterplots out of a total of 114 produced.
Figure 11.
Temperature as independent variable: a scatterplot of positive linear correlation, T30 at 125 Hz (a), a scatterplot of negative linear correlation, C50 at 125 Hz (b), a scatterplot of non-linear correlation, LE at 250 Hz (c).
The R-squared value measures the explanatory power of the model and indicates the percentage of variance in the dependent variables (acoustic parameters) explained by the independent variables (temperature and humidity). R-squared values range from 0 to 1, with larger values indicating better regression equations. Temperature serves as the independent variable (same as humidity).
- T30: The model’s goodness of fit (R-squared values) ranged from 0.02 to 0.45 at different frequencies, implying that the model’s ability to explain the variance of the dependent variable varied considerably across frequencies and was more explanatory at higher frequencies;
- EDT: With the exception of 0.08 at 2000 Hz, there was a slight variation in the models’ goodness of fit;
- G: The model’s capacity to account for the dependent variable’s variation did not differ significantly among frequencies;
- C50 and C80: For low and mid frequencies, there was not much of a difference in the model’s goodness of fit, and it decreased noticeably at high frequencies;
- D50: The goodness of fit of the model ranged from 0.004 to 0.47, with the model’s capacity to explain the variance of the dependent variable shifting dramatically across frequencies and being more explanatory at low and medium frequencies;
- IACC: It can be clearly concluded that the ability of the model to explain the variance of the dependent variable was stronger when the frequency was high;
- LE and LF: Variable across frequency bands with no discernible trend.
The predict command can be used to make a prediction after the independent variable values have been determined. The lower the RMSE (root mean square error) and MAE (mean absolute error) values, the greater the model’s predictive capability.
RMSE is defined as:
where is the number of samples, is the true value of the sample, and is the predicted value of the sample.
MAE is denoted as:
The number of samples is , the actual value of the sample is , and the predicted value of the sample is .
4. Discussion
This section discusses the results of the acoustic parameter measurements and statistical analysis of the data.
The sole independent parameter was air velocity, which was purposely manipulated. The airflow rate had a significant impact on the room’s air temperature and humidity. The room acoustic characteristics were also susceptible to variations in air velocity, and as was already indicated, D50 in particular exhibited more significant fluctuations than did the other major acoustic parameters. When the ventilation system was turned off, it was clear that the fluctuations in acoustic characteristics were reduced or even became constant. Fluctuation in air velocity was the most important environmental component affecting how the room’s acoustic characteristics varied within the boundaries of this study.
EDT and G exhibited the strongest linear relationships with temperature out of the nine acoustic parameters. At low and mid frequencies, D50 was most affected by temperature compared with the other parameters, followed by C80 and C50. Temperature had the greatest impact on G at high frequencies, followed by D50. The remaining seven parameters were all affected to a lesser extent.
All the acoustic parameters with the exception of T30 had a distinct linear relationship with humidity. Similar to temperature, variations in humidity had a greater impact on D50 at low and mid frequencies than they did on other parameters. Among the higher bands, D50 was still the most impacted by humidity fluctuations, followed by G. Across the entire frequency range, variations in humidity had a negligible impact on LE and LF.
In contrast to the ISO 9613-1 [17] standard, the experimental results show that sound attenuation is not sensitive to variations in humidity. The boundaries of the enclosed indoor environment and the more complicated external air medium may be accountable for this. Additionally, the current findings contradict those of Gomez-Agustina et al. [16]. The reverberation time showed a negative linear correlation with temperature in the higher frequency bands. Moreover, it was discovered during testing that when the binary regression analysis was carried out, the results remained consistent with the one-dimensional regression analysis. The explanation for this contrary outcome could be that the study by Gomez-Agustina et al. concentrated on underground spaces such as metro stations, which are quite vast and can be associated with strong wind speeds due to trains passing them. Furthermore, the parameter chosen was T40, which differed from the normal selection (T60, T30, and T20), and the frequency analysed exceeded 8000 Hz.
Cross-validated RMSE and MAE were used to evaluate the model’s predictability. When temperature was used as the independent variable, the model’s predictions for T30 and EDT were more accurate at high frequencies. The model provided higher prediction accuracy at lower frequencies for G, C50, C80, D50, and IACC. For LE and LF, the predictions of the model were closer to the true values at mid frequencies. The results were similar when humidity was considered as an independent variable.
It should also be noted that when rooms are too high, differences in room air temperature distribution can readily occur, which can be worsened if their ventilation system is not appropriately constructed. The resulting temperature gradient and the ensuing convective airflow have a significant impact on acoustic characteristics. This impact should be considered in the acoustic design of concert halls and theatres, where temperature fluctuations can result in distinct seating regions for the listening experience as well as the thermal expansion of metal instruments, which can cause them to become out of tune.
5. Conclusions
The main acoustic parameters in a room were examined in this research in relation to how temperature, humidity, and air velocity variations affect them. The statistics and analysis of the data from the reverberation time (T30), the early decay time (EDT), strength (G), definition (D50), clarity (C50 and C80), interaural cross correlation coefficient (IACC), lateral fraction (LF), and lateral efficiency (LE) were the key points of attention.
The experimental work reported in this research demonstrated that the variation of acoustic parameters and the variation of temperature and humidity variables are correlated linearly. Data collection and R-based statistical analysis were used to determine the sensitivity of each parameter to temperature and humidity variables at different frequencies.
A further research campaign should be undertaken in the winter to confirm the predictive model’s accuracy and enable further calibration. Furthermore, while it is possible to deduce that the reliance of acoustic parameters on humidity and temperature should be perceived by people in a room based on JND (just-noticeable difference), the extent to which such observable humidity–temperature changes are perceptible may also be examined further.
Author Contributions
Conceptualisation, N.G. and L.T.; methodology, R.Y. and N.G.; software, N.G.; validation, N.G. and R.Y.; formal analysis, R.Y.; investigation, N.G. and R.Y.; resources, N.G. and L.T.; data curation, N.G. and R.Y.; writing—original draft preparation, R.Y.; writing—review and editing, R.Y. and N.G.; supervision, N.G.; project administration, L.T. and N.G. All authors have read and agreed to the published version of the manuscript.
Funding
This research was partially funded by the project “SIPARIO-Il Suono: arte Intangibile delle Performing Arts—Ricerca su teatri italiani per l’Opera” POR-FESR 2014-20 PG/2018/632038.
Institutional Review Board Statement
Not applicable.
Informed Consent Statement
Not applicable.
Data Availability Statement
Data are unavailable due to privacy reasons.
Acknowledgments
The authors would like to acknowledge Rui Guo from DICAM of the University of Bologna for supporting this research.
Conflicts of Interest
The authors declare no conflict of interest.
Appendix A
Table A1.
Regression results of temperature on acoustic parameters.
Table A1.
Regression results of temperature on acoustic parameters.
| Parameters | Coefficient | P | RMSE | R2 | MAE |
|---|---|---|---|---|---|
| T30 125 Hz | 0.0623 | 0.0126 | 0.4191 | 0.0228 | 0.2192 |
| T30 250 Hz | 0.0018 | 0.8669 | 0.1839 | 0.0024 | 0.1101 |
| T30 500 Hz | 0.0136 | 0.3878 | 0.2714 | 0.0088 | 0.1175 |
| T30 1 kHz | −0.0038 | 0.0465 | 0.0362 | 0.0212 | 0.0295 |
| T30 2 kHz | −0.0042 | 5.57 × 10−5 | 0.0197 | 0.0591 | 0.0156 |
| T30 4 kHz | −0.0127 | 1.89 × 10−40 | 0.0155 | 0.4546 | 0.0122 |
| EDT 125 Hz | −0.0297 | 4.73 × 10−72 | 0.0234 | 0.6587 | 0.0181 |
| EDT 250 Hz | −0.0287 | 2.95 × 10−28 | 0.0444 | 0.3502 | 0.0369 |
| EDT 500 Hz | −0.0199 | 3.86 × 10−26 | 0.0320 | 0.3075 | 0.0254 |
| EDT 1 kHz | −0.0261 | 8.44 × 10−25 | 0.0438 | 0.3010 | 0.0359 |
| EDT 2 kHz | −0.0112 | 3.83 × 10−6 | 0.0453 | 0.8230 | 0.0383 |
| EDT 4 kHz | −0.0081 | 1.73 × 10−5 | 0.0353 | 0.1397 | 0.0291 |
| G 125 Hz | −0.0333 | 2.13 × 10−32 | 0.0470 | 0.3829 | 0.0362 |
| G 250 Hz | −0.0426 | 1.85 × 10−43 | 0.0495 | 0.4721 | 0.0396 |
| G 500 Hz | −0.0659 | 1.76 × 10−82 | 0.0467 | 0.7069 | 0.0368 |
| G 1 kHz | −0.0488 | 8.24 × 10−21 | 0.0919 | 0.2573 | 0.0754 |
| G 2 kHz | −0.0892 | 3.37 × 10−75 | 0.0680 | 0.6640 | 0.0557 |
| G 4 kHz | −0.1082 | 1.11 × 10−73 | 0.0839 | 0.6674 | 0.0688 |
| C50 125 Hz | −0.0303 | 7.04 × 10−21 | 0.0565 | 0.2603 | 0.0475 |
| C50 250 Hz | 0.0865 | 1.08 × 10−44 | 0.0986 | 0.4773 | 0.0793 |
| C50 500 Hz | −0.0277 | 0.0007 | 0.1531 | 0.0414 | 0.1267 |
| C50 1 kHz | 0.0709 | 7.04 × 10−24 | 0.1227 | 0.2945 | 0.1003 |
| C50 2 kHz | −0.0039 | 0.6847 | 0.1801 | 0.0080 | 0.1521 |
| C50 4 kHz | −0.0202 | 0.1161 | 0.2387 | 0.0117 | 0.1919 |
| C80 125 Hz | −0.0289 | 5.08 × 10−10 | 0.0852 | 0.1294 | 0.0694 |
| C80 250 Hz | 0.0900 | 8.37 × 10−55 | 0.0880 | 0.5562 | 0.0694 |
| C80 500 Hz | −0.0952 | 3.63 × 10−20 | 0.1834 | 0.2432 | 0.1461 |
| C80 1 kHz | 0.0704 | 2.31 × 10−35 | 0.0939 | 0.3880 | 0.7556 |
| C80 2 kHz | 0.0043 | 0.5023 | 0.1206 | 0.0129 | 0.0967 |
| C80 4 kHz | −0.0026 | 0.8262 | 0.2196 | 0.0267 | 0.1791 |
| D50 125 Hz | −0.1672 | 1.33 × 10−20 | 0.3144 | 0.2572 | 0.2645 |
| D50 250 Hz | 0.3426 | 2.53 × 10−44 | 0.3950 | 0.4750 | 0.3167 |
| D50 500 Hz | −0.1379 | 0.0007 | 0.7705 | 0.0451 | 0.6365 |
| D50 1 kHz | 0.3615 | 9.67 × 10−24 | 0.6287 | 0.2723 | 0.5128 |
| D50 2 kHz | −0.0162 | 0.7201 | 0.8590 | 0.0045 | 0.7209 |
| D50 4 kHz | −0.1034 | 0.1217 | 1.2467 | 0.0239 | 1.0005 |
| IACC 125 Hz | - | 0.9711 | 0.0047 | 0.0034 | 0.0023 |
| IACC 250 Hz | 0.0030 | 2.04 × 10−48 | 0.0033 | 0.5107 | 0.0024 |
| IACC 500 Hz | - | 0.9711 | 0.0082 | 0.0212 | 0.0070 |
| IACC 1 kHz | −0.0020 | 1.82 × 10−9 | 0.0062 | 0.1183 | 0.0049 |
| IACC 2 kHz | 0.0036 | 3.82 × 10−15 | 0.0082 | 0.2077 | 0.0066 |
| IACC 4 kHz | 0.0077 | 2.85 × 10−29 | 0.0116 | 0.3233 | 0.0091 |
| LE 125 Hz | 0.0033 | 1.66 × 10−52 | 0.0034 | 0.5462 | 0.0028 |
| LE 250 Hz | −0.0001 | 0.3817 | 0.0023 | 0.0107 | 0.0009 |
| LE 500 Hz | 0.0020 | 6.24 × 10−18 | 0.0042 | 0.2199 | 0.0039 |
| LE 1 kHz | −0.0010 | 0.0026 | 0.0061 | 0.0501 | 0.0042 |
| LE 2 kHz | 0.0022 | 7.96 × 10−9 | 0.0071 | 0.1039 | 0.0055 |
| LE 4 kHz | 0.0023 | 0.0088 | 0.0165 | 0.0332 | 0.0138 |
| LF 125 Hz | 0.0031 | 4.38 × 10−30 | 0.0046 | 0.3569 | 0.0036 |
| LF 250 Hz | - | 0.3947 | 0.0013 | 0.0040 | 0.0004 |
| LF 500 Hz | 0.0022 | 2.12 × 10−19 | 0.0043 | 0.2356 | 0.0040 |
| LF 1 kHz | −0.0019 | 6.22 × 10−7 | 0.0073 | 0.0936 | 0.0061 |
| LF 2 kHz | 0.0027 | 2.37 × 10−11 | 0.0075 | 0.1390 | 0.0063 |
| LF 4 kHz | 0.0016 | 0.0479 | 0.0157 | 0.0270 | 0.0128 |
Table A2.
Regression results of humidity on acoustic parameters.
Table A2.
Regression results of humidity on acoustic parameters.
| Parameters | Coefficient | P | RMSE | R2 | MAE |
|---|---|---|---|---|---|
| T30 125 Hz | −0.0184 | 0.0076 | 0.4196 | 0.0273 | 0.2190 |
| T30 250 Hz | −0.0010 | 0.7312 | 0.1839 | 0.0056 | 0.1099 |
| T30 500 Hz | −0.0065 | 0.1322 | 0.2729 | 0.0175 | 0.1204 |
| T30 1 kHz | −0.0003 | 0.5315 | 0.0365 | 0.0095 | 0.0294 |
| T30 2 kHz | 0.0009 | 0.0020 | 0.0200 | 0.0348 | 0.0158 |
| T30 4 kHz | 0.0036 | 1.10 × 10−41 | 0.0154 | 0.4618 | 0.0125 |
| EDT 125 Hz | 0.0086 | 1.11 × 10−83 | 0.0216 | 0.7141 | 0.0171 |
| EDT 250 Hz | 0.0075 | 2.59 × 10−24 | 0.0460 | 0.3003 | 0.0371 |
| EDT 500 Hz | 0.0064 | 1.27 × 10−37 | 0.0295 | 0.4190 | 0.0232 |
| EDT 1 kHz | 0.0095 | 9.79 × 10−50 | 0.0364 | 0.5214 | 0.0300 |
| EDT 2 kHz | 0.0040 | 1.14 × 10−9 | 0.0441 | 0.1361 | 0.0369 |
| EDT 4 kHz | 0.0025 | 1.92 × 10−6 | 0.0348 | 0.1098 | 0.0288 |
| G 125 Hz | 0.0093 | 1.83 × 10−33 | 0.0467 | 0.3930 | 0.0358 |
| G 250 Hz | 0.0095 | 2.28 × 10−25 | 0.0568 | 0.3045 | 0.0458 |
| G 500 Hz | 0.0168 | 1.02 × 10−61 | 0.0545 | 0.5975 | 0.0428 |
| G 1 kHz | 0.0109 | 2.37 × 10−13 | 0.0972 | 0.1725 | 0.0803 |
| G 2 kHz | 0.0221 | 1.06 × 10−52 | 0.0806 | 0.5313 | 0.0669 |
| G 4 kHz | 0.0317 | 2.47 × 10−91 | 0.0736 | 0.7470 | 0.0575 |
| C50 125 Hz | 0.0064 | 3.91 × 10−12 | 0.0601 | 0.1461 | 0.0509 |
| C50 250 Hz | −0.0214 | 1.25 × 10−33 | 0.1077 | 0.3760 | 0.0883 |
| C50 500 Hz | 0.0151 | 3.79 × 10−12 | 0.1441 | 0.1573 | 0.1221 |
| C50 1 kHz | −0.0215 | 1.44 × 10−29 | 0.1169 | 0.3572 | 0.0953 |
| C50 2 kHz | 0.0083 | 0.0016 | 0.1782 | 0.0321 | 0.1491 |
| C50 4 kHz | 0.0104 | 0.0032 | 0.2358 | 0.0378 | 0.1857 |
| C80 125 Hz | 0.0040 | 0.0027 | 0.0898 | 0.0310 | 0.0730 |
| C80 250 Hz | −0.0244 | 5.96 × 10−52 | 0.0911 | 0.5289 | 0.0751 |
| C80 500 Hz | 0.0359 | 8.50 × 10−42 | 0.1558 | 0.4561 | 0.1296 |
| C80 1 kHz | −0.0181 | 1.08 × 10−29 | 0.0974 | 0.3419 | 0.0800 |
| C80 2 kHz | 0.0006 | 0.7205 | 0.1208 | 0.0144 | 0.0970 |
| C80 4 kHz | 0.0101 | 0.0016 | 0.2158 | 0.0706 | 0.1766 |
| D50 125 Hz | 0.0351 | 7.03 × 10−12 | 0.3379 | 0.1437 | 0.2834 |
| D50 250 Hz | −0.0848 | 2.48 × 10−33 | 0.4310 | 0.3754 | 0.3530 |
| D50 500 Hz | 0.0759 | 4.31 × 10−12 | 0.7235 | 0.1551 | 0.6127 |
| D50 1 kHz | −0.1099 | 1.93 × 10−29 | 0.5998 | 0.3386 | 0.4876 |
| D50 2 kHz | 0.0388 | 0.0018 | 0.8478 | 0.0349 | 0.7095 |
| D50 4 kHz | 0.0532 | 0.0038 | 1.2314 | 0.0492 | 0.9677 |
| IACC 125 Hz | 0.0002 | 0.0032 | 0.0047 | 0.0333 | 0.0024 |
| IACC 250 Hz | −0.0008 | 3.45 × 10−46 | 0.0033 | 0.4862 | 0.0026 |
| IACC 500 Hz | −0.0003 | 0.0232 | 0.0082 | 0.0338 | 0.0069 |
| IACC 1 kHz | −0.0006 | 5.43 × 10−9 | 0.0061 | 0.1540 | 0.0048 |
| IACC 2 kHz | −0.0012 | 1.56 × 10−20 | 0.0079 | 0.2636 | 0.0061 |
| IACC 4 kHz | −0.0019 | 1.62 × 10−23 | 0.0121 | 0.2676 | 0.0093 |
| LE 125 Hz | −0.0009 | 1.31 × 10−49 | 0.0035 | 0.5151 | 0.0028 |
| LE 250 Hz | 5.37 × 10−5 | 0.1028 | 0.0023 | 0.0119 | 0.0009 |
| LE 500 Hz | −0.0007 | 7.95 × 10−33 | 0.0037 | 0.3847 | 0.0033 |
| LE 1 kHz | 0.0003 | 0.0005 | 0.0060 | 0.0526 | 0.0042 |
| LE 2 kHz | −0.0003 | 0.0044 | 0.0073 | 0.0282 | 0.0055 |
| LE 4 kHz | −0.0012 | 1.44 × 10−6 | 0.0160 | 0.0897 | 0.0134 |
| LF 125 Hz | −0.0028 | 3.54 × 10−25 | 0.0048 | 0.3026 | 0.0036 |
| LF 250 Hz | 2.28 × 10−5 | 0.2604 | 0.0013 | 0.0079 | 0.0004 |
| LF 500 Hz | −0.0008 | 4.22 × 10−34 | 0.0039 | 0.3970 | 0.0033 |
| LF 1 kHz | −0.0006 | 4.15 × 10−9 | 0.0071 | 0.1193 | 0.0059 |
| LF 2 kHz | −0.0005 | 1.80 × 10−5 | 0.0078 | 0.0720 | 0.0064 |
| LF 4 kHz | −0.0010 | 6.70 × 10−6 | 0.0153 | 0.0820 | 0.0123 |
References
- Caniato, M.; Zaniboni, L.; Marzi, A.; Gasparella, A. Evaluation of the main sensitivity drivers in relation to indoor comfort for individuals with autism spectrum disorder. Part 1: Investigation methodology and general results. Energy Rep. 2022, 8, 1907–1920. [Google Scholar] [CrossRef]
- Caniato, M.; Marzi, A.; Bettarello, F.; Gasparella, A. Designers’ expectations of buildings physics performances related to green timber buildings. Energy Build. 2022, 276, 112525. [Google Scholar] [CrossRef]
- Merli, F.; Tronchin, L. On the influence of thermo-hygrometric conditions in 3D acoustic measurements. In Proceedings of the Immersive and 3D Audio: From Architecture to Automotive (I3DA), Bologna, Italy, 8–10 September 2021; pp. 1–7. [Google Scholar]
- Wszołek, G.; Engel, Z. Investigations of uncertainty of acoustical measuring instruments applied to noise control. Arch. Acoust. 2004, 29, 283–295. [Google Scholar]
- Öqvist, R.; Ljunggren, F.; Ågren, A. On the uncertainty of building acoustic measurements–Case study of a cross-laminated timber construction. Appl. Acoust. 2012, 73, 904–912. [Google Scholar] [CrossRef]
- Scrosati, C.; Scamoni, F. Managing Measurement Uncertainty in Building Acoustics. Buildings 2015, 5, 1389–1413. [Google Scholar] [CrossRef]
- Mahn, J.; Pearse, J. On the Uncertainty of the EN12354-1: Estimate of the Flanking Sound Reduction Index Due to the Uncertainty of the Input Data. Build. Acoust. 2009, 16, 199–231. [Google Scholar] [CrossRef]
- Wittstock, V. On the uncertainty of single-number quantities for rating airborne sound insulation. Acta Acust. United Acust. 2007, 93, 375–386. [Google Scholar]
- Hongisto, V.; Keränen, J.; Kylliäinen, M.; Mahn, J. Reproducibility of the present and the proposed single-number quantities of airborne sound insulation. Acta Acust. United Acust. 2012, 98, 811–819. [Google Scholar] [CrossRef]
- Kylliäinen, M. The Measurement Uncertainty of Single-Number Quantities for Rating the Impact Sound Insulation of Concrete Floors. Acta Acust. United Acust. 2014, 100, 640–648. [Google Scholar] [CrossRef]
- Öqvist, R.; Ljunggren, F. Variations in sound insulation from 20 Hz in lightweight dwellings. Noise Control Eng. J. 2018, 66, 56–65. [Google Scholar] [CrossRef]
- Pelorson, X.; Vian, J.-P.; Polack, J.-D. On the variability of room acoustical parameters: Reproducibility and statistical validity. Appl. Acoust. 1992, 37, 175–198. [Google Scholar] [CrossRef]
- de Vries, D.; Hulsebos, E.M.; Baan, J. Spatial fluctuations in measures for spaciousness. J. Acoust. Soc. Am. 2001, 110, 947–954. [Google Scholar] [CrossRef]
- Martín, R.S.; Witew, I.B.; Arana, M.; Vorländer, M. Influence of the source orientation on the measurement of acoustic parameters. Acta Acust. United Acust. 2007, 93, 387–397. [Google Scholar]
- Witew, I.; Knüttel, T.; Vorländer, M. A model to predict measurement uncertainties due to loudspeaker directivity and its vali-dation. J. Acoust. Soc. Am. 2012, 131, 3244. [Google Scholar] [CrossRef]
- Gomez-Agustina, L.; Dance, S.; Shield, B. The effects of air temperature and humidity on the acoustic design of voice alarm systems on underground stations. Appl. Acoust. 2014, 76, 262–273. [Google Scholar] [CrossRef]
- ISO 9613-1:1993; Acoustics—Attenuation of Sound during Propagation Outdoors—Part 1: Calculation of the Absorption of Sound by the Atmosphere. ISO: Geneva, Switzerland, 1993.
- Tronchin, L.; Yan, R.; Bevilacqua, A. The Only Architectural Testimony of an 18th Century Italian Gordonia-Style Miniature Theatre: An Acoustic Survey of the Monte Castello di Vibio Theatre. Appl. Sci. 2023, 13, 2210. [Google Scholar] [CrossRef]
- Tronchin, L. Variability of room acoustic parameters with thermo-hygrometric conditions. Appl. Acoust. 2021, 177, 107933. [Google Scholar] [CrossRef]
- Farina, A.; Tronchin, L. On the “virtual” reconstruction of sound quality of trumpets. Acustica 2000, 86, 737–745. [Google Scholar]
- Piana, E.A.; Petrogalli, C.; Paderno, D.; Carlsson, U. Application of the wave propagation approach to sandwich structures: Vi-bro-acoustic properties of aluminum honeycomb materials. Appl. Sci. 2018, 8, 45. [Google Scholar] [CrossRef]
- ISO E N. 3382-2; Acoustics—Measurement of Room Acoustic Parameters—Part 2: Reverberation Time in Ordinary Rooms. International Organization for Standardization: Brussels, Belgium, 2008.
- Farina, A.; Langhoff, A.; Tronchin, L. Acoustic characterisation of “virtual” musical instruments: Using MLS technique on ancient violins. J. New Music. Res. 1998, 27, 359–379. [Google Scholar] [CrossRef]
- Carini, A.; Orcioni, S.; Terenzi, A.; Cecchi, S. Nonlinear system identification using Wiener basis functions and multiple-variance perfect sequences. Signal Process. 2019, 160, 137–149. [Google Scholar] [CrossRef]
- Fahy, F.J. Foundations of Engineering Acoustics; Elsevier: Amsterdam, The Netherlands, 2000. [Google Scholar]
- Tronchin, L.; Coli, V.L. Further Investigations in the Emulation of Nonlinear Systems with Volterra Series. J. Audio Eng. Soc. 2015, 63, 671–683. [Google Scholar] [CrossRef]
- Yadav, S.; Shukla, S. Analysis of k-fold cross-validation over hold-out validation on colossal datasets for quality classification. In Proceedings of the 2016 IEEE 6th International Conference on Advanced Computing (IACC), Austin, TX, USA, 13–15 October 2016. [Google Scholar]
Disclaimer/Publisher’s Note: The statements, opinions and data contained in all publications are solely those of the individual author(s) and contributor(s) and not of MDPI and/or the editor(s). MDPI and/or the editor(s) disclaim responsibility for any injury to people or property resulting from any ideas, methods, instructions or products referred to in the content. |
© 2023 by the authors. Licensee MDPI, Basel, Switzerland. This article is an open access article distributed under the terms and conditions of the Creative Commons Attribution (CC BY) license (https://creativecommons.org/licenses/by/4.0/).











