Abstract
Belt mistracking is one of the most dangerous and costly failures of belt conveyors. This phenomenon can lead to complete damage to the conveyor belt, increased demand for electricity from the drive, accelerated wear of route elements, and poses a fire hazard. The article presents the most important causes and ways to detect belt mistracking. Based on the tests carried out at the laboratory test rig, the mechanical and operating parameters of the electric drive of conveyor operation burdened with the problem of lateral running off for the tested belt were compared. The mistracking causes a sudden, differentiated increase in the resistance to movement of the machine, which directly affects the recorded values of forces in the drive system and tensioning mechanism and increases the electrical energy consumption of the drive motor. Belt run monioring based on these parameters is not precise, because there are many other factors on the conveyor route, potentially responsible for the increase in recorded currents and forces. The paper presents an analysis of the possibility of using three, non-contact methods directly monitoring the lateral run-off of the belt, based on vibration measurements of conveyor pulley bearing, RGB images, thermal imaging and measuring the compressive force on the tensioning device.
1. Introduction
Belt mistracking is excessive belt displacement towards one of the edges of the conveyor route under operating conditions [1]. It may cause a significant increase in operating costs due to accelerated belt and idler wear [2], increased energy consumption [3] and emergency stops [4]. It leads to the friction of the belt and the steel structure of the route, excessive delamination of the edges, damage to the core [5] or loss of strength properties and complete breaking [6]. The mistracking may also cause the transported material to spill into the location of rollers and pulleys, causing their damage and increasing the risk of fire due to friction of the belt and a faulty, blocked rotating element [7]. The centric running of the belt is also essential for the proper functioning of the cleaning devices and transfer point [8,9]. The basic operation in the process of centering the belt is to remove the causes of the run-off, which is often a difficult task due to the possibility of several causes occurring at the same time [10]. One of the most common reasons for belt failure is the asymmetrical distribution of stresses in the belt, which is the result of improper operation of the tensioning mechanism [11]. An important factor affecting the state of belt tension is improper leveling of the route [12]. The degree of mistracking is also influenced by the wrong speed of the belt conveyor for specific operating conditions [13,14]. Problems with the centric movement of the belt can also result from poor joint geometry or imperfections of the vulcanization process itself [15,16] or uneven loading of material onto the belt at loading points, which results in additional lateral friction forces [17,18,19]. An important issue is the selection of an appropriate structural solution for loading points, which should consider individual design requirements for specific operating conditions, ensuring optimal material flow [20] or the use of devices mitigating the effects of this phenomenon, such as reinforced feed rollers or impact beds [21]. Lateral run-off of the belt may also be a consequence of excessive contamination of pulleys and rollers with material causing a one-sided increase in their diameter or failure to exercise due diligence when installing roller sets on the conveyor route [22]. In the case of belt conveyors operated in surface mining, atmospheric conditions, e.g., excessive crosswind [23] may be a determining factor in the formation of belt mistracking.
The problems of belt mistracking on specific parts of the route are prophylactically reduced by precisely positioning the route segments and maintaining their axiality throughout the conveyor’s lifetime [24]. A common way to ensure centric belt running is to adjust the angle of the rollers relative to the straight line perpendicular to the axis of the conveyor route [25,26]. In the case of conveyors, where the belt for structural reasons tends to mistracking, it is worth using trough self-centering belt sets, which rotate automatically because of the pressure of the mistracked belt on the edge rollers or it is easier to use roller sets with tilt [27,28,29]. Standard solutions to protect the conveyor against belt lateral run-off also include safety switches that detect the presence of the belt outside the normal operating area or operate on the principle of direct contact of the belt and sensor [30]. Some non-destructive methods of monitoring the condition of the belts allow to simultaneously conclude about its correct course [31,32,33]. A good example is the methods of diagnostics of steel cord belts proposed in the work [34], based on the registration of magnetic field change. Another interesting solution is the belt edge detection system based on video image analysis [35].
However, the number of running monitoring solutions to detect belt movement imperfections well in advance is limited. The article presents the course of the conveyor belt operating parameters for normal conditions and simulated belt mistracking. Based on the recorded parameters (forces in the tensioning mechanism, torque on the drive shaft, and parameters of the drive), the influence of belt mistracking on the conveyor operating conditions were defined. Four different methods of monitoring the lateral run-off with high application potential for real-condition conveyors are presented. The first method used standard vibroacoustic analysis of return pulley bearings, which is successfully used in many other conveyor monitoring applications [36,37,38]. The second was based on the analysis of the RGB image from the camera to detect the moving edges of the belt [39]. The third solution is monitoring using a thermal imaging camera, which is perfect for monitoring conveyor idlers [40,41]. The fourth method is based on measuring the compressive force on the actuators of the tensioning device. The compressive force is directly related to the pressure in the hydraulic system. The fourth method is based on measuring the compressive force on the actuators of the tensioning device. The compressive force is directly related to the pressure in the hydraulic system. Measuring pressure and forces in a hydraulic system is the basic method of evaluating the state of operation in mechatronic systems [42,43]. The results of each solution are presented. The comparison section describes in detail the application potential of the monitoring methods, their advantages, and their weaknesses.
2. Experiment Description
2.1. Test Rig
The laboratory stand is a short belt conveyor with a length of approx. 5 m (Figure 1) The drive system of the pulley consists of an electric motor with a rated power of 7.5 kW and a gearbox suspended on the shaft. The measurement of the torque of the shaft is possible by using a strain gauge sensor to measure the force on the reaction arm of the gearbox (Figure 2a). This way of measuring torque allows one to skip the resistance of own gears and directly measure the torque on the pulley shaft. The return pulley is mounted slidingly on steel guides, allowing it to be moved to tension the belt. The station is equipped with a hydraulic tensioning mechanism. The return pulley is moved by two double-acting hydraulic cylinders. The force in the belt is measured using strain gauges compressed by the piston rod of the actuator (Figure 2b). The control of separate solenoid valves allows for independent control of each of the actuators, thanks to which it is possible to simulate the lateral run-off of the belt by adjusting the angle of the return pulley position. The parameters of the drive are measured by recording the signal supplied by the inverter controlling the conveyor. The tests were carried out for the EP200 textile belt.
Figure 1.
General view of the laboratory test rig.
Figure 2.
Measuring system: (a) measurement of the torque on the shaft of the driving pulley with the use of a strain gauge on the torque arm of the transmission, (b) measurement of the compressive force on the piston rod of a hydraulic cylinder using a strain gauge sensor.
2.2. Measuring Equipment
Equipment used in the experiment can be seen in Figure 3. Parts of the measurement system can be divided into following categories:
Figure 3.
Measuring equipment: (a) overall view on the used equipment, (b) camera angle during measurement, (c) thermal camera used for measurements, (d) RGB camera used for measurements.
- Vibration data acquisition system based on cluster of Kistler LabAmp 5165A that was placed inside case visible in the middle of Figure 3a.
Both systems were supported with the software installed on a portable computer.
2.2.1. Thermal Imaging System
As a part of the laboratory test, a FLIR T640 thermal imaging camera was used to detect conveyor belt mistracking on the return pulley of the belt conveyor. With a resolution of 640 × 480 and a field of view of 45 × 34°, it allows temperature measurement in the range from −40 to 2000 °C. The camera can capture both IR and RGB photos (separately or simultaneously), as well as record IR videos [44]. The FLIR T series is adapted to work in industrial conditions, including the specific conditions prevailing in mines. View of the camera mounted on the stand can be seen in Figure 3c.
2.2.2. Video Acquisition System
For the RGB data acquisition, a LAMAX X10 Taurus camera was used. Important characteristic of the camera are: customizable ratio between FPS and resolution, with maximum of 240 fps in the lowest adjustable resolution and 30 fps with up to 4 K resolution; 170° field of view; EIS video stabilization that together with other measures (such as isolation of mounting stand from the conveyor frame) prevents potential influence of belt conveyor vibrations on the recorded data [45]. View of the camera mounted on stand can be seen in Figure 3d.
2.2.3. Vibration Measurement System
Vibration measurements were realized by the Kistler LabAmp 5165A, a 4-channel universal laboratory charge amplifier used for dynamic signals or mechanical quantities measurements with piezoelectric sensors, Piezotron sensors (IEPE) or sensors with voltage output [46]. In the case of this tests, the measurements were conducted by K-Shear 8702B500 accelerometers coupled with the amplifier. Sensors have an extended range of measurement (±50–500 g).
3. Measurement Conditions
3.1. Nominal Conditions
Under nominal operating conditions, the axis of the return pulley is perpendicular (with the correct geometry of the joint and equal length of the edge of the belt loop) to the direction of movement of the belt. On the entire contact surface of the pulley and belt, there is a friction force. The condition for the formation of the friction force is the normal force, caused by the inflection of the belt on the cylindrical surface, the initial tension of the belt, and a sum of resistances. While maintaining the nominal coupling conditions, belt and pulley slippage is eliminated. There are also no additional lateral forces, causing the belt to move to one of the edges of the route. Under such operating conditions, the measured piston rod load of the hydraulic cylinders of the tensioning mechanism and the loads on the return pulley bearings are approximately equal (Figure 4).
Figure 4.
Compressive forces on the piston rods of hydraulic cylinders of the belt tensioning mechanism.
Outside the initial start-up phase of the conveyor, the torque measured on the shaft of the drive pulley is approximately constant and the operation of the device is stable (Figure 5).
Figure 5.
Torque on the drive pulley shaft.
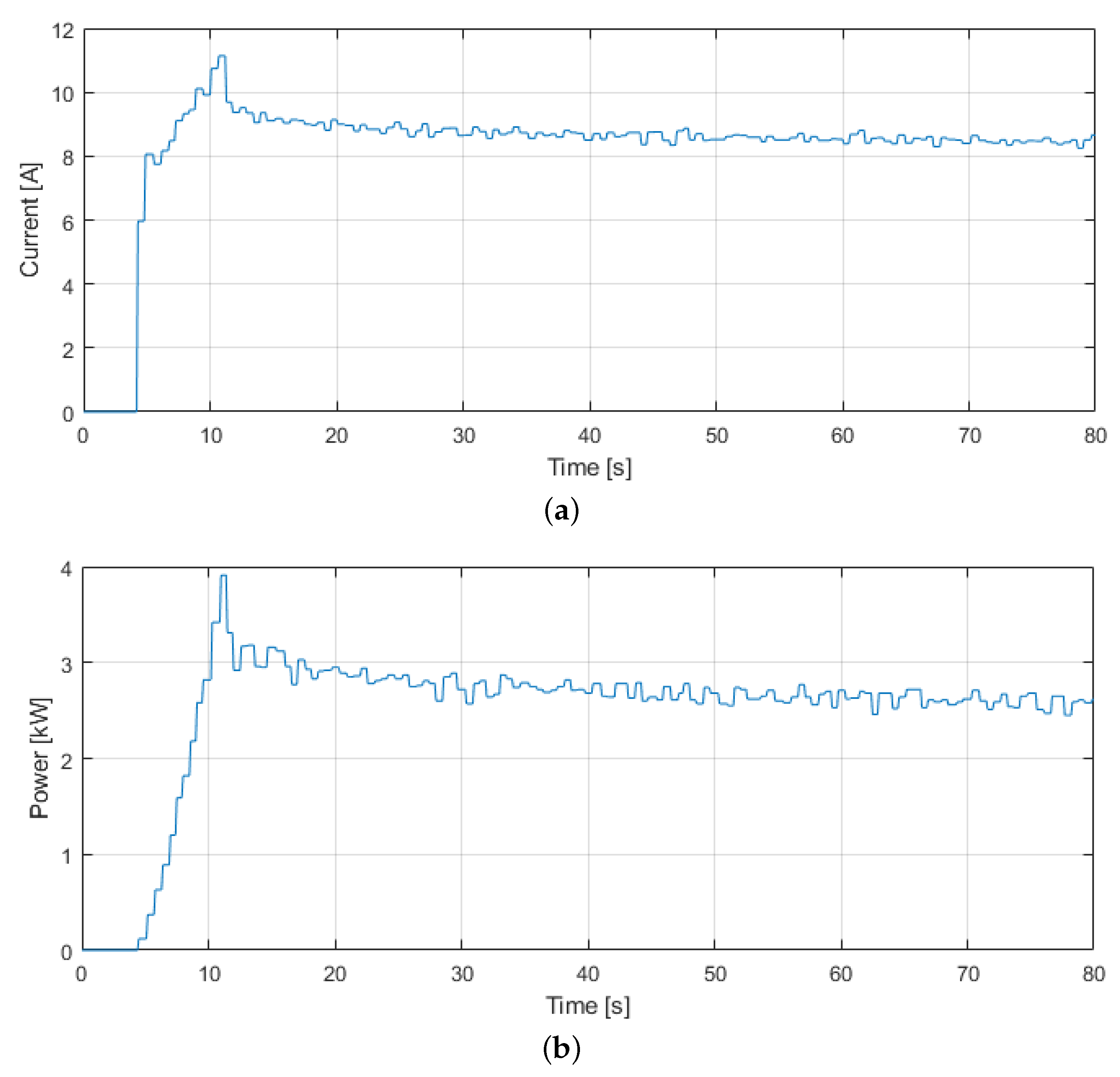
The shape of drive parameters of the drive motor are similar, measured from the conveyor control inverter (Figure 6).
Figure 6.
Electrical parameters of the drive motor: (a) current, (b) power.
3.2. Belt Mistracking
The uniaxial position of the return pulley creates an angle between the axis perpendicular to the direction of movement of the belt and the axis of rotation of the pulley. The newly formed angle is called the run-off angle, and its size affects the dynamics of the entire process. This geometry of the system creates a tension force and a friction force opposite to it. Kinetic friction occurs. Both forces are parallel to the axis of rotation of the pulley. The phenomenon arises with an asymmetric distribution of stresses in the belt. The pulley bearings are also loaded asymmetrically. The belt moves towards the actuator with less tension to equalize the forces. The system strives for transverse equilibrium (Figure 7).
Figure 7.
Compressive forces on the piston rods of hydraulic cylinders of the belt tensioning mechanism.
The phenomenon of mistracking does not lead to an increase in the load on the drive, which can be seen in the course of the torque of the drive pulley shaft over time (Figure 8). After the start-up phase, stabilization of the resistance to movement from 10 to 30 s of the time course is visible, despite the constant movement of the belt towards the edge of the conveyor. The subsequent sudden increase is caused by the additional friction of the belt against the conveyor structure. The friction contact of the edge of the belt against the steel element of the route caused an increase in resistance by approx. 500 N.
Figure 8.
Torque on the drive pulley shaft.
The friction of the belt edge also resulted in a more than 2-fold increase in the current in the motor windings (Figure 9a) and the active power of the motor (Figure 9b), which now works with its nominal load.
Figure 9.
Electrical parameters of the drive motor: (a) current, (b) power.
3.3. Ir Measurements
Before imaging, basic coefficients enabling IR measurements were determined. The ambient temperature was defined using an Assman psychrometer. The dry thermometer read −20 °C, while the wet bulb read −12.8 °C. These readings allowed to determine, based on psychrometric tables, the relative air humidity at the level of 43%. The reflected temperature value (20 °C) was determined using the Lambert radiator equivalent (crumpled aluminum branch) with the emissivity coefficient equal to 1. The value of the emissivity coefficient for the tested object (conveyor belt, rubber, black −0.95) was adopted according to the emissivity table available in the device options. The object was imaged continuously from a distance of 2 m for about 2 min of a belt conveyor operation.
Data was captured with parameters set as specified: 2560 × 1440 recording resolution, 60 frames per second. The camera has been mounted on the handhold and placed on a stand isolated from the conveyor frame, opposite the drum of the conveyor belt. Therefore mechanical vibrations from the working machine had no impact on the measurement.
The point of view has been centered on the left edge of the conveyor cylinder since in the case of temperature measurement only this side of the belt was directly affected. The exemplary frame can be seen in Figure 10. Temperature changes have been tracked based on the bar scale visible on the right side of the same figure.
Figure 10.
Example frame with temperature scale obtained from the camera.
The IR recording software (FLIR tools) allows for control over the scale in the already archived video with the possibility to set both its limit values. This grants the possibility to adjust the contrast. First, the bar with the temperature scale reference has been mapped into a single vector with both RGB and its analogical temperature. Afterward, a window of fixed size that tracked the position of the belt have been created. The actual temperature of the belt edge has been deducted from the maximum pixel value inside the tracking box concerning the temperature in created vector. This measurement has been done for each frame of the recorded video.
3.4. Rgb Measurements
RGB data was captured by the camera with basic parameters set as 1920 × 1080 recording resolution, 30 frames per second. The RGB camera was placed alongside IR camera. The purpose of data capturing from the RGB measurements focused on tracking the change of belt edge position that happened during the experiment. As stated before, only one situation has been taken into consideration: position change during belt mistracking to the left side of the cylinder. An exemplary frame during that process can be seen in Figure 11. Thanks to the clear difference between belt and cylinder colors, simple Canny edge detection was applied without any previous or further preprocessing necessary. Effects of edge detection can be seen in Figure 11.
Figure 11.
Recorded RGB frames before ad after processing: (a) exemplary RGB frame, (b) exemplary RGB frame after edge detection.
The position change of the belt has been measured on the central part of the cylinder relative to the camera position. It can be described as the most to the side (either left or right) visible part of the belt. The corresponding side of the cylinder is taken as a point of reference that allows tracking of the difference from the starting or desired belt position. Considering that the maximum dimensions of both belt and cylinder are known, a measurement of a single belt edge movement is sufficient for whole belt position tracking and determining if belt mistracking has occurred. As in the case of IR measurements, this operation has also been repeated for each frame of the recorded data.
3.5. Vibration Measurements
Measurements were made using the Kistler LabAmp 5165A data acquisition system and Kistler 8702B500 accelerometers. Positions of accelerometers and measurement directions are shown in Figure 12. The measurements have been done on the left side of the return pulley’s shaft, in two directions. The sampling frequency of signals was 50 kHz. The raw signal collected on the machine and RMS vectors are presented in Section 4.1.
Figure 12.
Vibroacoustic measurements: (a) accelerometers position on the shaft bearing housing, (b) and measurement directions.
4. Results of Monitoring Methods
4.1. Vibrations
Both in the raw vibration signals (Figure 13) and RMS (Figure 14) high peak in the signal that occurs before 20 s mark is related to the hit of the hammer on the conveyor frame that was used to synchronize data obtained from different measurement devices. In the later comparison, that moment was taken as the reference point for the start of measurement. The first increase in the amplitude of the vibrations around 20 s mark is related to the moment when the belt went beyond the cylinder. Another increase after 140 s mark is related to the moment when the belt started to rub against one of the bolts on the conveyor frame.
Figure 13.
Raw vibration signals.
Figure 14.
RMS values (blue) with smoothing for trend observation (orange).
4.2. Rgb Images
Results obtained from tracking the position change of the belt are presented in Figure 15. Data has been presented relative to the edge of the cylinder, where zero value corresponds to its position at the start of recording. Therefore the moment where a graph crosses the x-axis zero value is the moment when the belt went beyond the cylinder. It is also noticeable by strong pull in the belt position—a dynamic change that happens before 20 s mark and after controlled belt exaction to the cylinder edge.
Figure 15.
Visual tracking of belt position change during belt mistracking, relative to the edge of the cylinder.
The situation visible between 120–140 s shows the moment when the belt has started to rub on one of the elements (bolt on the frame) of the conveyor. Cyclic behavior that can be seen after the first 20 s is related to the rotary movement of the cylinder and therefore its frequency corresponds to the speed of the belt in the forward direction.
4.3. Thermovision
Images in Figure 16 show the consecutive stages of the increasing belt edge temperatures during the experiment. These images were taken for a visualisation purpose from a different thermal camera and were not used directly in the later processing.

Figure 16.
IR video measurements: (a) belt conveyor not running, (b) beginning of the operation, (c) beginning of the belt mistracking, (d) beginning of the belt rubbing against the belt conveyor steel supports, (e) further belt rubbing against the belt conveyor steel supports, (f) end of belt conveyor operation.
Measurement visible in Figure 17 was obtained from the IR camera described in Section 2.2.2. The first stage of the measurement before the 120–140 s mark can be described as a steady increase in temperature that happened due to the friction between the belt and the edge of the cylinder and other obstacles along the conveyor. The rapid increase in temperature that happens after that is directly related to the friction between the bolt on the conveyor frame and the belt, as in the case of other measurements. The sudden decrease of temperature visible at the 125-s mark happens due to the part of the belt slightly folding on the bolt and therefore making the hottest (at the moment) point of the belt (being the edge) to be out of the camera view.
Figure 17.
Temperature change on the edge of the belt.
Small changes in the temperature visible thorough the graph correspond to the constant movement of the belt. Tracking the longer area of the belt edge rather than a single point also has an impact. This cannot be avoided due to the camera being a stationary device that cannot track the point through the complete belt movement.
4.4. Conveyor Force Measurements
Monitoring of the lateral mistracking of the belt based on the compressive force measured at the cylinders can only be performed when hydraulic tensioning devices are used. The standard design of the hydraulic tensioning device is based on two actuators powered by a hydraulic engine, which move the structure of the tensioning carriage and cause the initial tensioning force of the belt.The measured forces on the hydraulic cylinders are shown in Figure 18. In the case of lateral mistracking, the force measured on one of the cylinders is greater. In the discussed case, the difference is approx. 2.5 kN. Assuming the correct geometry of the joint, the force on the two actuators should be approximately similar, which will allow for symmetrical belt tracking. The system shown in the Figure 18 approaches equilibrium, which results in the belt moving towards the actuator on which the lower value of the compressive force is measured. Mistracking occurs until about 120 s, when the forces equalize. However, due to the shifting of the belt along the length of the pulley, there is already friction of the belt edges and the conveyor structure.
Figure 18.
Compressive forces on the piston rods of hydraulic cylinders of the belt tensioning mechanism in the case of lateral belt mistracking.
The difference of the two signals coming from the actuators of the tensioning device can be used for monitoring the operating status and early detection of mistracking. The Figure 19 shows the difference of the forces measured on the actuators in the case of normal operation and for the mistracking state. For normal operation, the signal from strain gauges is stable in time with a standard deviation of 44 N. The standard deviation of the signal at the moment of mistracking is greater as 695 N. In the diagnostic signal, which is the absolute value of the difference between the measured forces or pressures on two actuators, the rising edge appears first. This is the result of a sudden difference in the forces acting on the actuator piston and indicates a tendency to mistracking. Then a trailing edge appears, suggesting that the belt is running laterally.
Figure 19.
The differencein the compressive force between the actuators of the tensioning device in the case of belt lateral mistracking and normal operation of the conveyor.
5. Comparison
For better comparison, collected data has been connected in Figure 20. Each graph was manually standardized to the same time frame.
Figure 20.
Collecteddata comparison.
In Figure 20 the characteristic moment of the experiment can be noted around 120–130 s mark. A bigger change of the value visible in the temperature and visual shift of the belt position indicates the belt jerking due to contact with the bolt which caused the belt to fold and its initially tracked edge to move out of the camera’s field of view. It directly explains the sudden decrease in the temperature, as the belt edge was heating up faster due to friction. After that point, the amplitude of the vibrations increases significantly due same reason.
Since belt mistracking should be recognized as early as possible and direct contact with the frame of the conveyor can be considered a late symptom, the shortened signal in Figure 21 is presented for better visualization of the process. As can be seen, the measurement with the RGB camera provided the fastest indication of the start of belt mistracking and the exact moment when the belt edge moved out of the cylinder. The temperature started to increase a few seconds after that and continued to do so at a steady pace.
Figure 21.
Data comparison before 120 s mark.
In the case of the vibrations, detectable changes in form of the amplitude spikes happen much later and can be hardly distinguished from the natural vibrations of the conveyor. Only after the bolt friction vibrations become significant enough to indicate a potential problem. Therefore it can be noted that this method provides the least desirable results, as it only works after significant problems already occurred.
In the final step of the data analysis authors used principal component analysis (PCA) to reduce dimensionality to a single diagnostic feature [47]. This method states that a dataset consisting of N observations spanned over K variables, can be interpreted as a point cloud in the K-dimensional space. Its goal is to obtain new information from the already obtained data by the mean of the local coordinate system rotation toward variance maximization over a new set of dimensions. Principal components can be therefore described as vectors of data in that transformed system.
To obtain the principal components, Singular Value Decomposition (SVD) can be used:
where and are unitary matrices and contains the nonnegative real singular values of non-increasing magnitude (). Principal components are the orthonormal column vectors of the matrix V, and the variance of the i-th component is equal to .
PCA has been applied to the data segment up until the moment of machine shutdown (the timestamp of 162 s of the experiment). First principal component (PC1) is presented in Figure 22. To justify the usage of only one principal component, authors present the relative informativeness of the principal components (see Figure 23). PC1 shows that the mistracking is progressing consistently over time, which was also observed in-situ during the experiment.
Figure 22.
First principal component with eigenvalue equal to 0.91.
Figure 23.
Eigenvalues of principal components.
6. Conclusions
The article analyzes one of the most critical problems related to the daily operation of belt conveyors, which is the mistracking of the conveyor belt. A complete review of the causes of belt mistracking and the available but very limited methods for monitoring are provided. Experimental testing of the accuracy of new methods of detecting belt mistracking in real conditions is impossible due to the high risk of conveyor failure and belt damage, as well as the potential costs associated with them. For this purpose, a test rig was used to simulate the mistracking of the belt through an artificial, controlled difference in tension of the actuators of the tensioning device. By equipping the test rig with a set of sensors monitoring the basic operating parameters of the conveyor, the characteristics of normal and emergency operation were determined. Conveyor operation with lateral mistracking is characterized by increased electricity consumption, significant load on the drive units, additional forces in the station structure, and belt stresses and deformations as a result of friction of its edges.
Using the available measuring devices (vibration sensors, thermal imaging camera, RGB camera and strain gauges on the belt tensioning actuators), characteristic data resulting from the mistracking of the belt were recorded—images in the visible and infrared bands as well as time signals. The recorded data was processed and analyzed in the context of developing a method for detecting and monitoring the mistracking of the belt with the greatest potential.
Vibration monitoring of the conveyor pulley bearing housing detects lateral mistracking by analyzing the distortion of the vibration signal. At the moment of the mistracking of the belt, there is a sudden increase in vibration acceleration on one of the bearings as a result of asymmetric load. The detection may be based on detecting a sudden increase in the root mean square of the signal. The asymmetry of the bearing load is also a characteristic feature of the lateral mistracking. The method allows for the detection of potential failure conditions before the contact of the belt with the structure of the conveyor. However, the increase in the magnitude of the signal may be associated with other phenomena than belt mistracking, which makes the method ambiguous. Nevertheless, any increase in the recorded signal values is dangerous for the operation of the conveyor and should be immediately verified.
The vision method based on RGB camera allows for monitoring of the position and displacement of the belt edge on the conveyor. Research has shown that thanks to the vision method, it is possible to detect changes in the belt edge position early, which completely eliminates the risk of belt damage. The great advantage of the method is its clearness, because only the mistracking is monitored, and other failure states of the components do not affect the result. The disadvantage of the solution is high sensitivity to image disturbances, which in mining conditions of conveyor operation result from significant dust, contamination of the belt and pulley, and acoustic vibrations.
The thermal imaging method makes it possible to eliminate the disadvantages of the RGB vision method, because the image is analyzed only in the infrared range, and this partially reduces the impact associated with contamination and dust. The detection is based on measuring the rise in belt temperature caused by the friction phenomena on the conveyor belt structure. It does not allow for early detection of mistracking, but its result is a clear confirmation of the occurrence of this phenomenon. In addition, it allows monitoring of the sudden change in temperature of other elements within the pulley.
Monitoring on the basis of the compressive force on the actuators of the tensioning device in the conditions of real operation of the conveyor is difficult, but the measurement of the force can be replaced by measuring the pressure in the hydraulic system (limited to a hydraulic tensioning device). The diagnostic signal in this case is the force difference between the actuators, which informs about a possible mistracking state. In the case that the sudden difference in forces begins to decrease, there is a possibility of belt mistracking. The method allows for early detection of mistracking, but its accuracy depends on the geometry and quality of the belt joints.
Principal component analysis was carried out for the purpose of condensing the information to a single variable and only provided the confirmation of the already visible trend. Although in this case no additional information was obtained, it still could be used in the automation of the process to help with the detection of unusual sensor behavior and minimize the impact of the faulty data.
Monitoring systems are necessary when operating a conveyor belt. However, each method may have different accuracy and some disadvantages, so the choice of method should be determined by the characteristics of the conveyor working environment. The article shows that on the basis of various data it is possible to monitor and detect incorrect belt tracking. Monitoring methods will be further developed in laboratory conditions with the possibility of future application in real mine conditions, which should have a positive impact on the maintenance and reliability of belt conveyors.
Author Contributions
Conceptualization: P.D., J.W. and R.K.; Investigation: P.D., J.W., M.O. and A.W.; Methodology: P.D., J.W., P.B. and M.O.; Data curation: J.W.; Visualization: P.B., A.W.; Software: P.D.; Writing—original draft: A.W., P.B.; Writing—review & editing: A.W., P.B., J.W. and R.Z.; Project administration: R.K.; Supervision: R.Z. All authors have read and agreed to the published version of the manuscript.
Funding
This activity has received funding from the European Institute of Innovation and Technology (EIT), a body of the European Union, under the Horizon 2020, the EU Framework Programme for Research and Innovation. This work is supported by EIT RawMaterials GmbH under Framework Partnership Agreement No. 19018 (AMICOS. Autonomous Monitoring and Control System for Mining Plants). Scientific work published within the framework of an international project co-financed from the funds of the program of the Minister of Science and Higher Education titled “PMW” 2020–2021; contract no. 5163/KAVA/2020/2021/2.
Institutional Review Board Statement
Not applicable.
Informed Consent Statement
Not applicable.
Data Availability Statement
Data available on request.
Conflicts of Interest
The authors declare no conflict of interest.
References
- Swinderman, R.T.; Bierie, G.; Marti, A.D.; Wheatall, B.A. Conveyor Architecture for the 21st Century. Asme Power Conf. 2009, 43505, 9–18. [Google Scholar]
- Owen, P. Condition monitoring for conveyors. In Proceedings of the 9th International Materials Handling Conference, University Park, PA, USA, 19–23 May 1997. [Google Scholar]
- Kawalec, W.; Król, R. Generating of electric energy by a declined overburden conveyor in a continuous surface mine. Energies 2021, 14, 4030. [Google Scholar] [CrossRef]
- Carter, R.A. Conveyors: Getting It Right the First Time. Eng. Min. J. 2019, 220, 28–33. [Google Scholar]
- Djekić, P.; TomiĆ, M.; MilutinoviĆ, B. Mathematical modeling of the beginning of delamination at rubber conveyor belts. In Proceedings of the DIS ’17: Designing Interactive Systems Conference 2017, Edinburgh, UK, 10–14 June 2017. [Google Scholar]
- Bajda, M.; Hardygóra, M. Analysis of reasons for reduced strength of multiply conveyor belt splices. Energies 2021, 14, 1512. [Google Scholar] [CrossRef]
- Bahrun, S.; Yusoff, M.S.; Said, M.S.; Hassan, A. Coal Flowability Control on Preventing Spillage on Conveyor Belt Through Modeling and Simulation for Improving its Performance. J. Adv. Res. Fluid Mech. Therm. Sci. 2022, 90, 130–145. [Google Scholar]
- Swinderman, R.T. Measurement and Control of Spillage and Leakage at Conveyor Transfer Points. 1987. Available online: https://login.totalweblite.com/Clients/doublearrow/beltcon%201987/17.measurement%20and%20control%20of%20spillage%20and%20leakage%20at%20conveyor%20transfer%20points.pdf (accessed on 16 November 2022).
- Lyons, B.; Bierie, G.; Marti, A. Belt conveyor training: Changing behaviors, reducing risk, improving the bottom line. In Proceedings of the 2015 IEEE-IAS/PCA Cement Industry Conference (IAS/PCA CIC), Toronto, ON, Canada, 26–30 April 2015; IEEE: Piscataway, NJ, USA, 2015; pp. 1–5. [Google Scholar]
- Gilman, R. How to correct mistracking belts. Eliminate the cause or treat the symptom? Coal Age 2005, 110, 7. [Google Scholar]
- Molnár, V.; Fedorko, G.; Stehlíková, B.; Tomašková, M.; Hulínová, Z. Analysis of asymmetrical effect of tension forces in conveyor belt on the idler roll contact forces in the idler housing. Measurement 2014, 52, 22–32. [Google Scholar] [CrossRef]
- Vasić, M.; Stojanović, B.; Blagojević, M. Failure analysis of idler roller bearings in belt conveyors. Eng. Fail. Anal. 2020, 117, 104898. [Google Scholar] [CrossRef]
- He, D.; Pang, Y.; Lodewijks, G.; Liu, X. Healthy speed control of belt conveyors on conveying bulk materials. Powder Technol. 2018, 327, 408–419. [Google Scholar] [CrossRef]
- Kobayashi, Y.; Toya, K. Effect of belt transport speed and other factors on belt mistracking. Microsyst. Technol. 2007, 13, 1325–1330. [Google Scholar] [CrossRef]
- Bajda, M.; Błażej, R.; Hardygóra, M. Optimizing splice geometry in multiply conveyor belts with respect to stress in adhesive bonds. Min. Sci. 2018, 25, 195–206. [Google Scholar]
- Harrison, A. Defect-induced torques in axially strained orthotropic composite belts and plates. J. Adv. Res. Appl. Mech. 2016, 17, 14–24. [Google Scholar]
- Ilic, D. Development of design criteria for reducing wear in iron ore transfer chutes. Wear 2019, 434, 202986. [Google Scholar] [CrossRef]
- Bahrun, S.; Yusoff, M.S.; Hassan, A.; Said, M.S. Optimization production capacity by improving transfer chute to control material flow and prevent belt conveyor off centerline in mining plant. In Proceeding of the International Conference on Science (ICST), Oluvil, Sri Lanka, 27 July 2021; Volume 2, pp. 167–177. [Google Scholar]
- Doroszuk, B.; Krol, R. Analysis of conveyor belt wear caused by material acceleration in transfer stations. Min. Sci. 2019, 26, 189–201. [Google Scholar]
- Kesler, F.; Prener, M. DEM: Simulation of conveyor transfer chutes. FME Trans. 2009, 37, 185–192. [Google Scholar]
- Scott, O.; Choules, P. The use of impact plates in conveyor transfers. Tribol. Int. 1993, 26, 353–359. [Google Scholar] [CrossRef]
- Schubert, P. Develop and Test Alternative Conveyor Belt Cleaning Systems. CEED Semin. Proc. 2006. [Google Scholar]
- Otto, H.; Katterfeld, A. Prediction and Simulation of Mistracking of Conveyors Belts. In Proceedings of the CHOPS 2015—8th International Conference on Conveying and Handling of Particulate Solids, Tel Aviv, Israel, 3–7 May 2015. [Google Scholar]
- Krol, R.; Kawalec, W.; Gladysiewicz, L. An effective belt conveyor for underground ore transportation systems. Iop Conf. Ser. 2017, 95, 42047. [Google Scholar] [CrossRef]
- He, Q.; Dong, D.; He, Z.; Du, D. Analytical model between power and idler spacing of belt conveyor. In Proceedings of the 2010 Second International Conference on Computer Modeling and Simulation, Sanya, Hainan, 22–24 January 2010; IEEE: Piscataway, NJ, USA, 2010; Volume 3, pp. 8–10. [Google Scholar]
- Antoniak, J. Resistances to the motion in mining belt conveyors. Acta Montan. Slovaca Rocnik 2001, 6, 2. [Google Scholar]
- Zamorano, S. Reducing energy consumption on overland conveyors. Eng. Min. J. 2009, 210, 58. [Google Scholar]
- Mathaba, T.; Xia, X. A parametric energy model for energy management of long belt conveyors. Energies 2015, 8, 13590–13608. [Google Scholar] [CrossRef]
- Gładysiewicz, L.; Król, R.; Kisielewski, W. Measurements of loads on belt conveyor idlers operated in real conditions. Measurement 2019, 134, 336–344. [Google Scholar] [CrossRef]
- Banerjee, I.; Singh, S. Conveyor belt health monitoring. Steel Times Int. 2020, 44, 47–49. [Google Scholar]
- Blazej, R.; Zimroz, R.; Jurdziak, L.; Hardygora, M.; Kawalec, W. Conveyor belt condition evaluation via non-destructive testing techniques. In Mine Planning and Equipment Selection; Springer: Berlin/Heidelberg, Germany, 2014; pp. 1119–1126. [Google Scholar]
- Barfoot, G. Advances in the non-destructive testing of conveyor belting. Mater. Sci. 2007. [Google Scholar]
- Balamurugan, S.; Bijalwan, P.; Sundaram, R.S.; Thomas, T.; Dutta, M.; Balasubramaniam, K. Evaluation of internal defects in fabric belt joints using NDT techniques. In Proceedings of the Asia Pacific Conference on Non-Destructive Testing (14th APCNDT), Mumbai, India, 18–22 November 2013. [Google Scholar]
- Błażej, R.; Jurdziak, L.; Kozłowski, T.; Kirjanów, A. The use of magnetic sensors in monitoring the condition of the core in steel cord conveyor belts–Tests of the measuring probe and the design of the DiagBelt system. Measurement 2018, 123, 48–53. [Google Scholar] [CrossRef]
- Otto, H.; Katterfeld, A. Belt Mistracking—Simulation and Measurements of Belt Sideways Dynamics. In Proceedings of the 13th International Conference on Bulk Materials Storage, Handling and Transportation, Gold Coast, Australia, 9–11 July 2019; p. 39104. [Google Scholar]
- Dybała, J.; Zimroz, R. Rolling bearing diagnosing method based on empirical mode decomposition of machine vibration signal. Appl. Acoust. 2014, 77, 195–203. [Google Scholar] [CrossRef]
- Zimroz, P.; Shiri, H.; Wodecki, J. Analysis of the vibro-acoustic data from test rig-comparison of acoustic and vibrational methods. IOP Conf. Ser. 2021, 942, 12017. [Google Scholar] [CrossRef]
- Shiri, H.; Wodecki, J.; Ziętek, B.; Zimroz, R. Inspection Robotic UGV Platform and the Procedure for an Acoustic Signal-Based Fault Detection in Belt Conveyor Idler. Energies 2021, 14, 7646. [Google Scholar] [CrossRef]
- Dabek, P.; Szrek, J.; Zimroz, R.; Wodecki, J. An Automatic Procedure for Overheated Idler Detection in Belt Conveyors Using Fusion of Infrared and RGB Images Acquired during UGV Robot Inspection. Energies 2022, 15, 601. [Google Scholar] [CrossRef]
- Szrek, J.; Wodecki, J.; Błażej, R.; Zimroz, R. An inspection robot for belt conveyor maintenance in underground mine—Infrared thermography for overheated idlers detection. Appl. Sci. 2020, 10, 4984. [Google Scholar] [CrossRef]
- Siami, M.; Barszcz, T.; Wodecki, J.; Zimroz, R. Design of an Infrared Image Processing Pipeline for Robotic Inspection of Conveyor Systems in Opencast Mining Sites. Energies 2022, 15, 6771. [Google Scholar] [CrossRef]
- Krot, P.; Sliwinski, P.; Zimroz, R.; Gomolla, N. The identification of operational cycles in the monitoring systems of underground vehicles. Measurement 2020, 151, 107111. [Google Scholar] [CrossRef]
- Li, R.; Cheng, Y.; Xu, J.; Li, Y.; Ding, X.; Zhao, S. Research on On-Line Monitoring System of Hydraulic Actuator of Combine Harvester. Processes 2021, 10, 35. [Google Scholar] [CrossRef]
- User’s Manual FLIR T6xx Series. Available online: https://flir.netx.net/file/asset/18710/original/attachment (accessed on 16 November 2022).
- LAMAX X10 Taurus User’s Manual. Available online: https://www.lamax-electronics.com/downloads/lamax-x10-taurus/LAMAX_X10_web_en.pdf (accessed on 16 November 2022).
- Kistler LabAmp Data Sheet, Type 5165A. Available online: https://kistler.cdn.celum.cloud/SAPCommerce_Download_original/003-146e.pdf (accessed on 16 November 2022).
- Moore, B. Principal component analysis in linear systems: Controllability, observability, and model reduction. IEEE Trans. Autom. Control 1981, 26, 17–32. [Google Scholar] [CrossRef]
Disclaimer/Publisher’s Note: The statements, opinions and data contained in all publications are solely those of the individual author(s) and contributor(s) and not of MDPI and/or the editor(s). MDPI and/or the editor(s) disclaim responsibility for any injury to people or property resulting from any ideas, methods, instructions or products referred to in the content. |
© 2023 by the authors. Licensee MDPI, Basel, Switzerland. This article is an open access article distributed under the terms and conditions of the Creative Commons Attribution (CC BY) license (https://creativecommons.org/licenses/by/4.0/).























