Cramér–Rao Lower Bounds on 3D Position and Orientation Estimation in Distributed Ranging Systems
Abstract
1. Introduction
1.1. Background
1.1.1. Two-Way Ranging
1.1.2. Time-of-Arrival Estimation
1.2. Contributions
- Derive a novel, closed-form, tractable CRLB on position estimation in TWR systems;
- Derive a novel, closed-form, tractable CRLB on orientation estimation in TWR systems;
- Implement the proposed CRLBs in a simple MATLAB simulation platform;
- Benchmark several popular estimators against the proposed CRLBs;
- Discuss how these results can directly inform aircraft design decisions.
2. Two-Way Ranging (TWR) Overview
2.1. Timing Model
2.2. Propagation Model
2.3. Time-of-Arrival Estimation
2.4. Time-of-Flight Estimation
3. Bounds on Position Estimation
3.1. Ranging Model
3.2. Two-Dimensional CRLB on Position
3.3. Three-Dimensional CRLB on Position
3.4. Geometric Interpretation of D
- As a higher-order generalization, interpret as the volume of a 2-simplex, , formed by the antennae h, , and (refer to Figure 3). The bound then becomes
- The quantity is called geometric conditioning and is a measure of the area of a parallelogram contained by vectors and , scaled by length of those vectors. In this case, the lower bound becomeswhere can be envisioned as the area of triangle enclosed by unit vectors in the same direction. It is interesting to note that this geometric conditioning is independent of the absolute distances between the ground and target antennae.
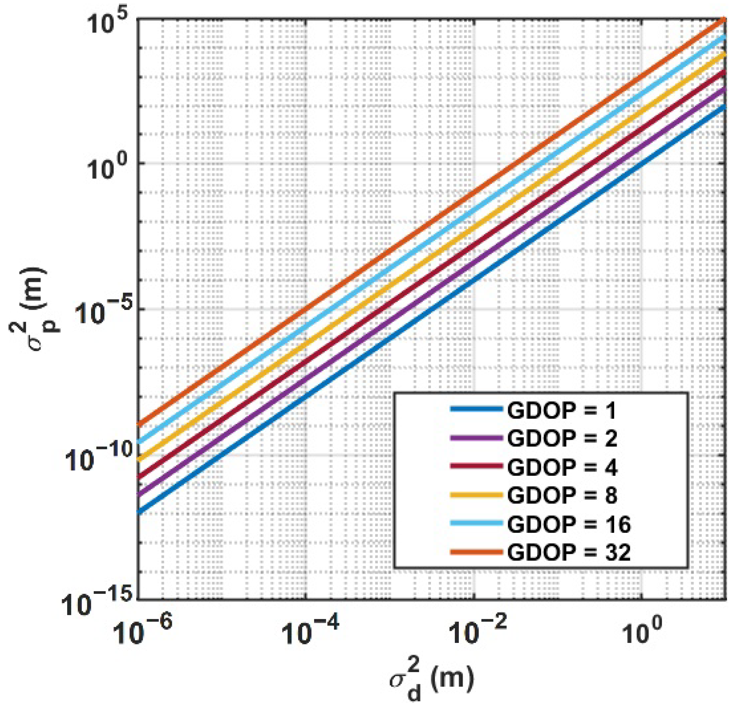
3.5. Geometric Dilution of Precision
4. Bounds on Orientation Estimation
4.1. Model
4.2. Two-Dimensional CRLB on Orientation
4.3. Three-Dimensional CRLB on Orientation
5. Simulation Results
5.1. Estimation Preliminaries
5.2. Position—3D CRLB
5.3. Orientation—3D CRLB
6. Conclusions
Author Contributions
Funding
Institutional Review Board Statement
Informed Consent Statement
Data Availability Statement
Conflicts of Interest
Abbreviations
| 2D | Two-dimensional |
| 3D | Three-dimensional |
| CRLB | Cramér–Rao lower bound |
| DCM | Direction cosine matrix |
| FIM | Fisher information matrix |
| GDoP | Geometric dilution of precision |
| IRLS | Iteratively reweighted least squares |
| ISNR | Integrated signal-to-noise ratio |
| LS | Least squares |
| ML | Maximum likelihood |
| NLLS | Non-linear least squares |
| OLAE | Optimal linear attitude estimator |
| OLS | Ordinary least squares |
| PNT | Positioning, navigation, and timing |
| QUEST | QUaternion ESTimator |
| RF | Radio frequency |
| SWaP-C | Size, weight, power, and cost |
| TDoA | Time difference of arrival |
| ToA | Time of arrival |
| ToA/RSS | Time of arrival/received signal strength |
| ToF | Time of flight |
| TRIAD | Tri-axial attitude determination |
| TWR | Two-way ranging |
| UAM | Urban air mobility |
| UWB | Ultra-wideband |
References
- Sobieszczanski-Sobieski, J.; Haftka, R.T. Multidisciplinary aerospace design optimization: Survey of recent developments. Struct. Optim. 1997, 14, 1–23. [Google Scholar] [CrossRef]
- Çetin, E.; Cano, A.; Deransy, R.; Tres, S.; Barrado, C. Implementing mitigations for improving societal acceptance of urban air mobility. Drones 2022, 6, 28. [Google Scholar] [CrossRef]
- Weisshaar, T.A. Morphing Aircraft Technology-New Shapes for Aircraft Design; Purdue Univ: Lafayette IN, USA, 2006. [Google Scholar]
- Han, S.; Gong, Z.; Meng, W.; Li, C.; Gu, X. Future alternative positioning, navigation, and timing techniques: A survey. IEEE Wirel. Commun. 2016, 23, 154–160. [Google Scholar] [CrossRef]
- Herschfelt, A.; Yu, H.; Wu, S.; Srinivas, S.; Li, Y.; Sciammetta, N.; Smith, L.; Rueger, K.; Lee, H.; Chakrabarti, C.; et al. Joint positioning-communications system design and experimental demonstration. In Proceedings of the 2019 IEEE/AIAA 38th Digital Avionics Systems Conference (DASC), San Diego, CA, USA, 8–12 September 2019; pp. 1–6. [Google Scholar]
- Macnamara, T. Introduction to Antenna Placement and Installation; John Wiley & Sons: Hoboken, NJ, USA, 2010. [Google Scholar]
- Carter, N.J. The past, present and future challenges of aircraft EMC. IEEE Electromagn. Compat. Mag. 2012, 1, 75–78. [Google Scholar] [CrossRef]
- Pahlavan, K.; Krishnamurthy, P.; Geng, Y. Localization challenges for the emergence of the smart world. IEEE Access 2015, 3, 3058–3067. [Google Scholar] [CrossRef]
- Skolnik, M.I. Introduction to radar. Radar Handb. 1962, 2, 21. [Google Scholar]
- Barton, D.K. Modern Radar System Analysis; Artech House: Norwood, MA, USA, 1988. [Google Scholar]
- Levanon, N. Radar Principles; Wiley-Interscience: New York, NY, USA, 1988. [Google Scholar]
- Jiang, Y.; Leung, V.C. An asymmetric double sided two-way ranging for crystal offset. In Proceedings of the 2007 International Symposium on Signals, Systems and Electronics, Montreal, QC, Canada, 30 July–2 August 2007; pp. 525–528. [Google Scholar]
- James, R.J. A history of radar. IEE Rev. 1989, 35, 343–349. [Google Scholar] [CrossRef]
- Maleki, L.; Byrd, J.; Savchenkov, A.; Liang, W.; Ilchenko, V.; Seidel, D.; Matsko, A. On the development of photonic RF oscillators and resonant electro-optic modulators for advanced RF front-end applications. In Proceedings of the 2011 IEEE MTT-S International Microwave Symposium, Baltimore, MD, USA, 5–10 June 2011; pp. 1–4. [Google Scholar]
- Kim, H. Double-sided two-way ranging algorithm to reduce ranging time. IEEE Commun. Lett. 2009, 13, 486–488. [Google Scholar] [CrossRef]
- Lee, J.X.; Lin, Z.; Shin, F.C.P. Symmetric double side two way ranging with unequal reply time. In Proceedings of the 2007 IEEE 66th Vehicular Technology Conference, Baltimore, MD, USA, 30 September–3 October 2007; pp. 1980–1983. [Google Scholar]
- Bidigare, P.; Pruessing, S.; Raeman, D.; Scherber, D.; Madhow, U.; Mudumbai, R. Initial over-the-air performance assessment of ranging and clock synchronization using radio frequency signal exchange. In Proceedings of the Statistical Signal Processing Workshop (SSP), Ann Arbor, MI, USA, 5–8 August 2012; pp. 273–276. [Google Scholar]
- Neirynck, D.; Luk, E.; McLaughlin, M. An alternative double-sided two-way ranging method. In Proceedings of the 2016 13th Workshop on Positioning, Navigation and Communications (WPNC), Bremen, Germany, 19–20 October 2016; pp. 1–4. [Google Scholar]
- Herschfelt, A.; Yu, H.; Wu, S.; Lee, H.; Bliss, D.W. Joint Positioning-Communications System Design: Leveraging Phase-Accurate Time-of-Flight Estimation and Distributed Coherence. In Proceedings of the 2018 52nd Asilomar Conference on Signals, Systems, and Computers, Pacific Grove, CA, USA, 28–31 October 2018; pp. 433–437. [Google Scholar]
- Bliss, D.W.; Govindasamy, S. Adaptive Wireless Communications: MIMO Channels and Networks; Cambridge University Press: Cambridge, UK, 2013. [Google Scholar]
- Horváth, K.A.; Ill, G.; Milánkovich, Á. Passive extended double-sided two-way ranging algorithm for UWB positioning. In Proceedings of the 2017 Ninth International Conference on Ubiquitous and Future Networks (ICUFN), Milan, Italy, 4–7 July 2017; pp. 482–487. [Google Scholar]
- Laadung, T.; Ulp, S.; Alam, M.M.; Le Moullec, Y. Active-passive two-way ranging using UWB. In Proceedings of the 2020 14th International Conference on Signal Processing and Communication Systems (ICSPCS), Virtual, 14–16 December 2020; pp. 1–5. [Google Scholar]
- Shalaby, M.A.; Cossette, C.C.; Forbes, J.R.; Ny, J.L. Calibration and Uncertainty Characterization for Ultra-Wideband Two-Way-Ranging Measurements. arXiv 2022, arXiv:2210.05888. [Google Scholar]
- Lange, R.; Seitz, P.; Biber, A.; Schwarte, R. Time-of-flight range imaging with a custom solid state image sensor. In Proceedings of the Laser Metrology and Inspection, SPIE, Balatonfured, Hungary, 24–27 September 1999; Volume 3823, pp. 180–191. [Google Scholar]
- Massa, J.S.; Buller, G.S.; Walker, A.C.; Cova, S.; Umasuthan, M.; Wallace, A.M. Time-of-flight optical ranging system based on time-correlated single-photon counting. Appl. Opt. 1998, 37, 7298–7304. [Google Scholar] [CrossRef]
- Lange, R.; Seitz, P. Solid-state time-of-flight range camera. IEEE J. Quantum Electron. 2001, 37, 390–397. [Google Scholar] [CrossRef]
- Buttgen, B.; Seitz, P. Robust optical time-of-flight range imaging based on smart pixel structures. IEEE Trans. Circuits Syst. I Regul. Pap. 2008, 55, 1512–1525. [Google Scholar] [CrossRef]
- Frank, M.; Plaue, M.; Rapp, H.; Köthe, U.; Jähne, B.; Hamprecht, F.A. Theoretical and experimental error analysis of continuous-wave time-of-flight range cameras. Opt. Eng. 2009, 48, 013602. [Google Scholar]
- Hong, H.; Quan, R.; Xiang, X.; Xue, W.; Quan, H.; Zhao, W.; Liu, Y.; Cao, M.; Liu, T.; Zhang, S.; et al. Demonstration of 50 km Fiber-optic two-way quantum clock synchronization. J. Light. Technol. 2022, 40, 3723–3728. [Google Scholar] [CrossRef]
- Alsindi, N.; Li, X.; Pahlavan, K. Analysis of time of arrival estimation using wideband measurements of indoor radio propagations. IEEE Trans. Instrum. Meas. 2007, 56, 1537–1545. [Google Scholar] [CrossRef]
- Dardari, D.; Chong, C.C.; Win, M. Threshold-based time-of-arrival estimators in UWB dense multipath channels. IEEE Trans. Commun. 2008, 56, 1366–1378. [Google Scholar] [CrossRef]
- Falsi, C.; Dardari, D.; Mucchi, L.; Win, M.Z. Time of arrival estimation for UWB localizers in realistic environments. EURASIP J. Adv. Signal Process. 2006, 2006, 1–13. [Google Scholar] [CrossRef]
- Rabbachin, A.; Oppermann, I.; Denis, B. ML time-of-arrival estimation based on low complexity UWB energy detection. In Proceedings of the 2006 IEEE International Conference on Ultra-Wideband, Waltham, MA, USA, 24–27 September 2006; pp. 599–604. [Google Scholar]
- Dardari, D.; Chong, C.C.; Win, M.Z. Improved lower bounds on time-of-arrival estimation error in realistic UWB channels. In Proceedings of the 2006 IEEE International Conference on Ultra-Wideband, Waltham, MA, USA, 24–27 September 2006; pp. 531–537. [Google Scholar]
- Wang, P.; Morton, Y.J. Performance comparison of time-of-arrival estimation techniques for LTE signals in realistic multipath propagation channels. NAVIGATION J. Inst. Navig. 2020, 67, 691–712. [Google Scholar] [CrossRef]
- Shamaei, K.; Kassas, Z.M. Receiver design and time of arrival estimation for opportunistic localization with 5G signals. IEEE Trans. Wirel. Commun. 2021, 20, 4716–4731. [Google Scholar] [CrossRef]
- Voltz, P.J.; Hernandez, D. Maximum likelihood time of arrival estimation for real-time physical location tracking of 802.11 a/g mobile stations in indoor environments. In Proceedings of the PLANS 2004. Position Location and Navigation Symposium (IEEE Cat. No. 04CH37556), Monterey, CA, USA, 26–29 April 2004; pp. 585–591. [Google Scholar]
- Xu, C.; Liu, Q. An inertial neural network approach for robust time-of-arrival localization considering clock asynchronization. Neural Netw. 2022, 146, 98–106. [Google Scholar] [CrossRef]
- Dardari, D.; Win, M.Z. Ziv-Zakai bound on time-of-arrival estimation with statistical channel knowledge at the receiver. In Proceedings of the 2009 IEEE International Conference on Ultra-Wideband, Vancouver, BC, Canada, 9–11 September 2009; pp. 624–629. [Google Scholar]
- Bidigare, P.; Madhow, U.; Mudumbai, R.; Scherber, D. Attaining fundamental bounds on timing synchronization. In Proceedings of the Acoustics, Speech and Signal Processing (ICASSP), Kyoto, Japan, 25–30 March 2012; pp. 5229–5232. [Google Scholar]
- Catovic, A.; Sahinoglu, Z. The Cramer-Rao bounds of hybrid TOA/RSS and TDOA/RSS location estimation schemes. IEEE Commun. Lett. 2004, 8, 626–628. [Google Scholar] [CrossRef]
- Mailaender, L. On the geolocation bounds for round-trip time-of-arrival and all non-line-of-sight channels. EURASIP J. Adv. Signal Process. 2007, 2008, 1–10. [Google Scholar] [CrossRef]
- Yang, B.; Scheuing, J. Cramer-Rao bound and optimum sensor array for source localization from time differences of arrival. In Proceedings of the IEEE International Conference on Acoustics, Speech, and Signal Processing, Philadelphia, PA, USA, 18–23 March 2005; Volume 4, pp. 961–964. [Google Scholar]
- Balanis, C.A. Antenna Theory: Analysis and Design; John Wiley & Sons: Hoboken, NJ, USA, 2016. [Google Scholar]
- Herschfelt, A. Simultaneous Positioning and Communications: Hybrid Radio Architecture, Estimation Techniques, and Experimental Validation. Ph.D. Thesis, Arizona State University, Tempe, AZ, USA, 2019. [Google Scholar]
- Bidigare, P.; Oyarzyn, M.; Raeman, D.; Chang, D.; Cousins, D.; O’Donnell, R.; Obranovich, C.; Brown, D.R. Implementation and demonstration of receiver-coordinated distributed transmit beamforming across an ad hoc radio network. In Proceedings of the 2012 Conference Record of the Forty Sixth Asilomar Conference on Signals, Systems and Computers (ASILOMAR), Pacific Grove, CA, USA, 4–7 November 2012; pp. 222–226. [Google Scholar]
- Srinivas, S.; Herschfelt, A.; Bliss, D.W. Joint positioning-communications system: Optimal distributed coherence and positioning estimators. In Proceedings of the 2019 53rd Asilomar Conference on Signals, Systems, and Computers, Pacific Grove, CA, USA, 3–6 November 2019; pp. 317–321. [Google Scholar]
- Deckfinder. 2021. Available online: https://www.airbus.com/en/products-services/defence/uas/deckfinder (accessed on 2 February 2023).
- Kay, S.M. Fundamentals of Statistical Signal Processing, Volume i: Estimation Theory (v. 1); PTR Prentice-Hall: Englewood Cliffs, NJ, USA, 1993. [Google Scholar]
- Patwari, N.; Hero, A.O.; Perkins, M.; Correal, N.S.; O’dea, R.J. Relative location estimation in wireless sensor networks. IEEE Trans. Signal Process. 2003, 51, 2137–2148. [Google Scholar] [CrossRef]
- Person, J. Writing Your Own GPS Applications: Part 2. 2008. Available online: https://www.codeproject.com/Articles/9115/Writing-Your-Own-GPS-Applications-Part-2 (accessed on 30 January 2023).
- Jupp, P.E.; Mardia, K.V. Directional Statistics; John Wiley & Sons: Hoboken, NJ, USA, 2009. [Google Scholar]
- Navidi, W.; Murphy, W.S., Jr.; Hereman, W. Statistical methods in surveying by trilateration. Comput. Stat. Data Anal. 1998, 27, 209–228. [Google Scholar] [CrossRef]
- Sra, S. A short note on parameter approximation for von Mises-Fisher distributions: Furthermore, a fast implementation of I s (x). Comput. Stat. 2012, 27, 177–190. [Google Scholar] [CrossRef]
- Banerjee, A.; Merugu, S.; Dhillon, I.S.; Ghosh, J.; Lafferty, J. Clustering with Bregman divergences. J. Mach. Learn. Res. 2005, 6, 1705–1749. [Google Scholar]
- Black, H.D. A passive system for determining the attitude of a satellite. AIAA J. 1964, 2, 1350–1351. [Google Scholar] [CrossRef]
- Wahba, G. A least squares estimate of satellite attitude. SIAM Rev. 1965, 7, 409. [Google Scholar] [CrossRef]
- Davenport, P.B. A Vector Approach to the Algebra of Rotations with Applications; National Aeronautics and Space Administration: Washington, DC, USA, 1968.
- Shuster, M.D.; Oh, S.D. Three-axis attitude determination from vector observations. J. Guid. Control 1981, 4, 70–77. [Google Scholar] [CrossRef]
- Mortari, D.; Markley, F.L.; Singla, P. Optimal linear attitude estimator. J. Guid. Control Dyn. 2007, 30, 1619–1627. [Google Scholar] [CrossRef]









| N | 3 | 4 | 5 | 6 | 7 | 8 |
|---|---|---|---|---|---|---|
| Best GDoP | 1.155 | 1.0 | 0.894 | 0.816 | 0.756 | 0.707 |
| GDoP | 1 | 2–3 | 4–6 | 7–8 | 9–20 | 21–50 |
|---|---|---|---|---|---|---|
| “Rating” | “Ideal” | Excellent | Good | Moderate | Fair | Poor |
Disclaimer/Publisher’s Note: The statements, opinions and data contained in all publications are solely those of the individual author(s) and contributor(s) and not of MDPI and/or the editor(s). MDPI and/or the editor(s) disclaim responsibility for any injury to people or property resulting from any ideas, methods, instructions or products referred to in the content. |
© 2023 by the authors. Licensee MDPI, Basel, Switzerland. This article is an open access article distributed under the terms and conditions of the Creative Commons Attribution (CC BY) license (https://creativecommons.org/licenses/by/4.0/).
Share and Cite
Srinivas, S.; Welker, S.; Herschfelt, A.; Bliss, D.W. Cramér–Rao Lower Bounds on 3D Position and Orientation Estimation in Distributed Ranging Systems. Appl. Sci. 2023, 13, 2008. https://doi.org/10.3390/app13032008
Srinivas S, Welker S, Herschfelt A, Bliss DW. Cramér–Rao Lower Bounds on 3D Position and Orientation Estimation in Distributed Ranging Systems. Applied Sciences. 2023; 13(3):2008. https://doi.org/10.3390/app13032008
Chicago/Turabian StyleSrinivas, Sharanya, Samuel Welker, Andrew Herschfelt, and Daniel W. Bliss. 2023. "Cramér–Rao Lower Bounds on 3D Position and Orientation Estimation in Distributed Ranging Systems" Applied Sciences 13, no. 3: 2008. https://doi.org/10.3390/app13032008
APA StyleSrinivas, S., Welker, S., Herschfelt, A., & Bliss, D. W. (2023). Cramér–Rao Lower Bounds on 3D Position and Orientation Estimation in Distributed Ranging Systems. Applied Sciences, 13(3), 2008. https://doi.org/10.3390/app13032008

