Microwave-Assisted Synthesis of Unsymmetrical 5-Phenyl-1,3,4-oxadiazoles Containing Bis(carboxymethyl)amino Group
Abstract
:1. Introduction
2. Results
3. Experimental Section
3.1. General Information
3.2. Synthesis and Characterization
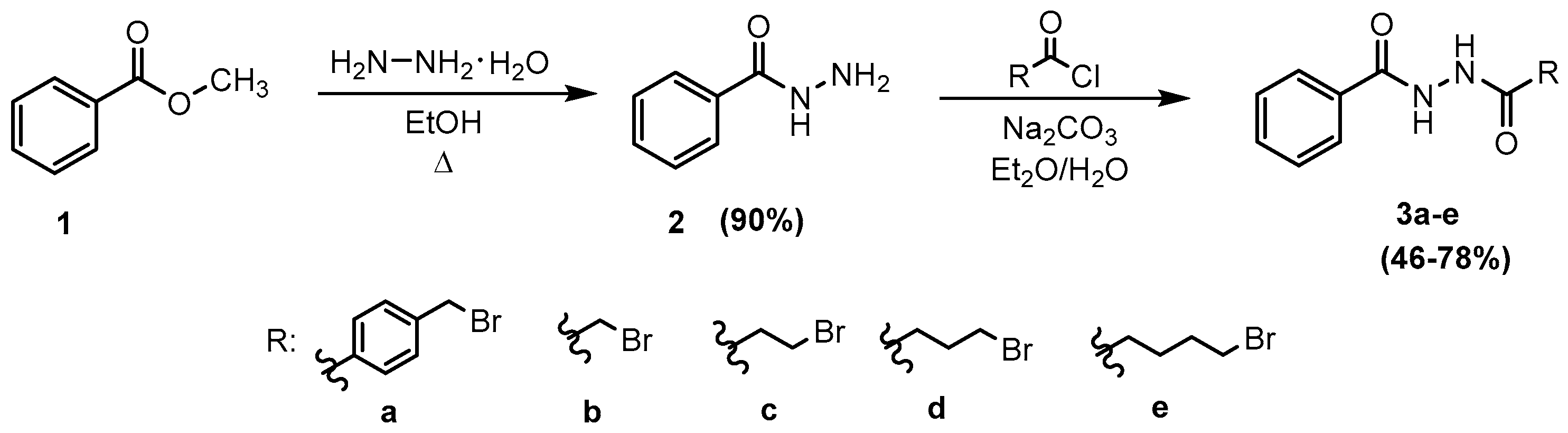
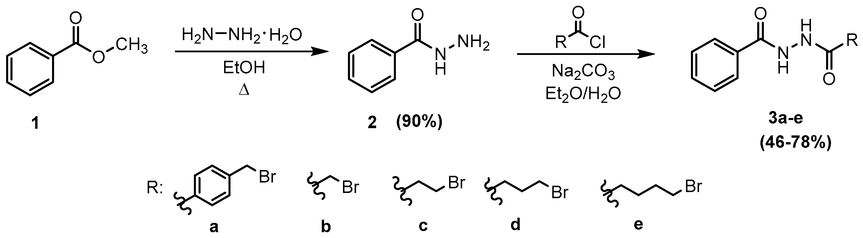
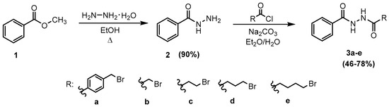
3.2.1. Synthesis of Benzhydrazide (2)
Benzhydrazide (2)
- The product was obtained as white solid (14.62 g, 90%); m.p. 114–116 °C [37]. 1H-NMR (400 MHz, DMSO): δ 4.52 (s, 2H), 7.45 (m, 2H), 7.51 (m, 1H), 7.83 (m, 2H), 9.78 (s, 1H); 13C-NMR (100 MHz, DMSO): δ 126.9, 128.3, 131.0, 133.3, 165.9. HRMS (ESI): m/z calcd for C7H8N2O + H+: 137.0715; found 137.0741.
3.2.2. Synthesis of Unsymmetrical N,N′-Diacylhydrazines (3a–e)
N′-Benzoyl-4-(bromomethyl)benzohydrazide (3a)
- The product was obtained as white powder (5.73 g, 78%); m.p. 220–222 °C. 1H-NMR (400 MHz, DMSO): δ 4.77 (s, 2H), 7.53 (t, J = 8 Hz, 3H), 7.59 (d, J = 8 Hz, 2H), 7.92 (m, 4H), 10.52 (s, 1H), 10.53 (s, 1H); 13C-NMR (100 MHz, DMSO): δ 33.4, 127.4, 127.8, 128.5, 129.3, 131.8, 132.3, 132.5, 141.8, 165.4, 165.8. HRMS (ESI): m/z calcd for C15H8BrN2O2 + H+: 333.0239, 335.0220; found 333.0234, 335.0219.
N′-(2-Bromoacetyl)benzohydrazide (3b)
- The product was obtained as white powder (2.60 g, 46%); m.p. 152–154 °C. 1H-NMR (400 MHz, DMSO): δ 4.00 (s, 2H), 7.50 (t, J = 8 Hz, 2H), 7.59 (t, J = 8 Hz, 1H), 7.87 (d, J = 8 Hz, 2H), 10.42 (s, 1H), 10.53 (s, 1H); 13C-NMR (100 MHz, DMSO): δ 27.1, 127.4, 128.5, 131.9, 132.2, 165.3, 165.4. HRMS (ESI): m/z calcd for C9H9BrN2O2 + H+: 256.9926, 258.9906; found 256.9920, 258.9901.
N′-(3-Bromopropanoyl)benzohydrazide (3c)
- The product was obtained as white powder (3.88 g, 65%); m.p. 154–156 °C. 1H-NMR (400 MHz, DMSO): δ 2.85 (t, J = 4Hz, 2H), 3.69 (t, J = 4 Hz, 2H), 7.49 (t, J = 4 Hz, 2H), 7.58 (m, 1H), 7.88 (d, J = 4 Hz, 2H), 10.06 (s, 1H), 10.42 (s, 1H); 13C-NMR (100 MHz, DMSO): δ 28.5, 36.6, 127.4, 128.4, 131.8, 132.3, 165.3, 168.5. HRMS (ESI): m/z calcd for C10H11BrN2O2 + H+: 271.0082, 273.0063; found 271.0089, 273.0066.
N′-(4-Bromobutanoyl)benzohydrazide (3d)
- The product was obtained as white powder (4.34 g, 69%); m.p. 115–117 °C. 1H-NMR (400 MHz, DMSO): δ 2.08 (q, J = 8 Hz, 2H), 2.36 (t, J = 8 Hz, 2H), 3.60 (t, J = 8 Hz, 2H), 7.51 (t, J = 8 Hz, 2H), 7.58 (m, 1H), 7.88 (d, J = 8 Hz, 2H), 9.93 (s, 1H), 10.30 (s, 1H); 13C-NMR (100 MHz, DMSO): δ 28.3, 31.6, 34.2, 38.9, 127.4, 128.4, 131.8, 132.4, 165.5, 170.5. HRMS (ESI): m/z calcd for C11H13BrN2O2 + H+: 285.0239, 287.0219; found 285.0238, 287.0240.
N′-(5-Bromopentanoyl)benzohydrazide (3e)
- The product was obtained as white powder (4.68 g, 71%); m.p. 133–134 °C. 1H-NMR (400 MHz, DMSO): δ 1.67 (m, 4H), 2.24 (t, J = 8 Hz, 2H), 3.57 (t, J = 8 Hz, 2H), 7.49 (t, J = 8 Hz, 3H), 7.90 (d, J = 8 Hz, 2H), 9.93 (s, 1H), 10.32 (s, 1H); 13C-NMR (100 MHz, DMSO): δ 23.7, 31.6, 32.3, 34.8, 127.8, 128.7, 130.4, 132.8, 165.7, 171.2. HRMS (ESI): m/z calcd for C12H15BrN2O2 + H+: 299.0395, 301.0376; found 299.0399, 301.0381.
3.2.3. Synthesis of Unsymmetrical 1,3,4-Oxadiazoles (4a–e)
2-(4-Bromomethyl)phenyl)-5-phenyl-1,3,4-oxadiazole (4a)
- The product was obtained as white powder (2.52 g, 90%); m.p. 173–175 °C. 1H-NMR (400 MHz, DMSO): δ 4.76 (s, 2H), 7.53 (t, J = 8 Hz, 1H), 7.47 (d, J = 8 Hz, 3H), 7.60 (d, J = 8 Hz, 1H), 7.95 (m, 5H); 13C-NMR (100 MHz, DMSO): δ 33.1, 126.2, 127.1, 128.8, 128.9, 129.1, 129.4, 129.5, 144.3, 165.6. HRMS (ESI): m/z calcd for C15H11BrN2O + H+: 315.0133, 317.0114; found 315.0133, 317.0112.
2-(Bromomethyl)-5-phenyl-1,3,4-oxadiazole (4b)
- The product was obtained as slightly yellow liquid (1.15 g, 60%). 1H-NMR (400 MHz, DMSO): δ 5.14 (s, 2H), 7.51 (t, J = 8 Hz, 1H), 7.65 (m, 3H), 8.04 (d, J = 8 Hz, 2H); 13C-NMR (100 MHz, DMSO): δ 16.2, 123.0, 126.8, 128.6, 129.6, 163.0, 165.1. HRMS (ESI): m/z calcd for C9H7BrN2O + H+: 238.9820, 240.9800; found 238.9832, 240.9812.
2-(2-Bromoethyl)-5-phenyl-1,3,4-oxadiazole (4c)
- The product was obtained as slightly yellow liquid (0.69 g, 34%). 1H-NMR (400 MHz, DMSO): δ 3.57 (t, J = 8 Hz, 2H), 3.90 (t, J = 8 Hz, 2H), 7.61 (m, 3H), 8.01 (d, J = 8 Hz, 2H); 13C-NMR (100 MHz, DMSO): δ 28.5, 28.6, 117.5, 126.4, 129.4, 131.9, 164.1, 164.5. HRMS (ESI): m/z calcd for C10H9BrN2O + H+: 252.9977, 254.9957; found 252.9973, 254.9960.
2-(3-Bromopropyl)-5-phenyl-1,3,4-oxadiazole (4d)
- The product was obtained as slightly yellow liquid (1.55 g, 73%). 1H-NMR (400 MHz, DMSO): δ 2.33 (q, J = 8 Hz, 2H), 3.09 (t, J = 8 Hz, 2H), 3.68 (t, J = 8 Hz, 2H), 7.60 (m, 3H), 8.00 (d, J = 8 Hz, 2H); 13C-NMR (100 MHz, DMSO): δ 23.5, 29.0, 33.6, 123.6, 126.5, 129.4, 131.9, 164.0, 165.8. HRMS (ESI): m/z calcd for C11H11BrN2O + H+: 267.0133, 269.0113; found 267.0120, 269.0111.
2-(4-Bromobutyl)-5-phenyl-1,3,4-oxadiazole (4e)
- The product was obtained as slightly yellow liquid (1.39 g, 62%). 1H-NMR (400 MHz, DMSO): δ 1.22 (m, 2H), 1.93 (m, 2H), 2.99 (t, J = 8 Hz, 2H), 3.60 (t, J = 8 Hz, 2H), 7.62 (m, 3H), 7.99 (d, J = 8 Hz, 2H); 13C-NMR (100 MHz, DMSO): δ 23.8, 24.4, 31.4, 34.5, 123.6, 126.4, 129.4, 131.8, 163.9, 166.5. HRMS (ESI): m/z calcd for C12H13BrN2O + H+: 281.0290, 283.0270; found 281.0284, 283.0265.
3.2.4. Synthesis of Diisopropyl Iminodiacetate (6)
Diisopropyl Iminodiacetate (6)
- The product was obtained as slightly yellow liquid (12.41 g, 52%) [38]. 1H-NMR (400 MHz, CDCl3): δ 1.29 (d, J = 8 Hz, 12H), 3.85 (s, 4H), 5.11 (m, 2H); 13C-NMR (100 MHz, CDCl3): δ 21.7, 48.6, 70.0, 167.6. HRMS (ESI): m/z calcd for C10H19NO4 + H+: 218.1392; found 218.1403.
3.2.5. Synthesis of Unsymmetrical Ester Derivatives of 2-Alkyl-5-phenyl-1,3,4-oxadiazole (7a–e)
Diisopropyl 2,2′-((4-(5-phenyl-1,3,4-oxadiazol-2-yl)benzyl)azanediyl)diacetate (7a)
- The product was obtained as slightly yellow liquid (1.69 g, 94%). 1H-NMR (400 MHz, CDCl3): δ 1.27 (d, J = 8 Hz, 12H), 3.53 (s, 4H), 4.01 (s, 2H), 5.07 (m, 2H), 7.54 (m, 3H), 7.60 (d, J = 8 Hz, 2H), 8.11 (d, J = 8 Hz, 2H), 8.16 (d, J = 8 Hz, 2H); 13C-NMR (100 MHz, CDCl3): δ 21.9, 54.7, 57.4, 69.0, 123.0, 124.0, 126.9, 127.0, 129.0, 129.5, 131.6, 142.8, 164.4, 164.5, 170.6. HRMS (ESI): m/z calcd for C25H29N3O5 + H+: 452.2185; found 452.2169.
Diisopropyl 2,2′-(((5-phenyl-1,3,4-oxadiazol-2-yl)methyl)azanediyl)diacetate (7b)
- The product was obtained as slightly yellow liquid (1.15 g, 76%). 1H-NMR (400 MHz, CDCl3): δ 1.25 (d, J = 8 Hz, 12H), 3.69 (s, 4H), 4.31 (s, 2H), 5.06 (m, 2H), 7.52 (m, 3H), 8.06 (d, J = 8 Hz, 2H); 13C-NMR (100 MHz, CDCl3): δ 21.8, 48.1, 55.0, 68.4, 123.8, 127.0, 128.9, 131.7, 163.5, 165.4, 170.0. HRMS (ESI): m/z calcd for C19H25N3O5 + H+: 376.1873; found 376.1850.
Diisopropyl 2,2’-((2-(5-phenyl-1,3,4-oxadiazol-2-yl)ethyl)azanediyl)diacetate (7c)
- The product was obtained as slightly yellow liquid (1.07 g, 69%). 1H-NMR (400 MHz, CDCl3): δ 1.26 (d, J = 8 Hz, 12H), 3.43 (s, 4H), 3.53 (t, J = 8 Hz, 2H), 3.77 (t, J = 8 Hz, 2H), 5.07 (m, 2H), 7.53 (m, 3H), 8.05 (m, 2H); 13C-NMR (100 MHz, CDCl3): δ 21.8, 26.1, 50.3, 60.3, 68.4, 126.8, 128.2, 129.0, 131.7, 163.9, 165.1, 171.1. HRMS (ESI): m/z calcd for C20H27N3O5 + H+: 390.2029; found 390.2021.
Diisopropyl 2,2′-((3-(5-phenyl-1,3,4-oxadiazol-2-yl)propyl)azanediyl)diacetate (7d)
- The product was obtained as slightly yellow liquid (1.10 g, 68%). 1H-NMR (400 MHz, CDCl3): δ 1.23 (d, J = 4 Hz, 12H), 2.36 (m, 2H), 2.89 (t, J = 8 Hz, 2H), 3.04 (t, J = 8 Hz, 2H), 3.52 (s, 2H), 5.00 (m, 2H), 7.51 (m, 3H), 8.04 (d, J = 4 Hz, 2H); 13C-NMR (100 MHz, CDCl3): δ 21.8, 22.9, 24.8, 43.6, 55.3, 68.0, 124.0, 126.7, 128.9, 131.4, 164.6, 166.8, 170.8. HRMS (ESI): m/z calcd for C21H29N3O5 + H+: 404.2185; found 404.2095.
Diisopropyl 2,2′-((4-(5-phenyl-1,3,4-oxadiazol-2-yl)butyl)azanediyl)diacetate (7e)
- The product was obtained as slightly yellow liquid (1.66 g, 80%). 1H-NMR (400 MHz, CDCl3): δ 1.28 (d, J = 8 Hz, 12H), 1.94 (m, 2H), 2.05 (m, 2H), 2.99 (t, J = 8 Hz, 2H), 3.52 (s, 4H), 3.61 (t, J = 8 Hz, 2H), 5.08 (m, 2H), 7.52 (m, 3H), 8.05 (d, J = 8 Hz, 2H); 13C-NMR (100 MHz, CDCl3): δ 21.7, 24.1, 25.2, 27.1, 53.5, 55.3, 68.1, 123.9, 126.8, 129.0, 131.6, 164.8, 166.7, 170.6. HRMS (ESI): m/z calcd for C22H31N3O5 + H+: 418.2342; found 418.2339.
3.2.6. Synthesis of Unsymmetrical 2-Alkyl-5-phenyl-1,3,4-oxadiazole Derivatives Containing Bis(carboxymethyl)amino Group (8a–e)
2,2′-((4-(5-Phenyl-1,3,4-oxadiazol-2-yl)benzyl)azanediyl)diacetic Acid (8a)
- The product was obtained as white powder (0.05 g, 51%). 1H-NMR (400 MHz, DMSO): δ 3.90 (s, 4H), 4.34 (s, 2H), 7.67 (t, J = 8 Hz, 3H), 7.77 (d, J = 8 Hz, 2H), 8.17 (m, 4H); 13C-NMR (100 MHz, DMSO): δ 53.7, 57.6, 123.3, 123.4, 126.7, 126.8, 129.4, 131.4, 132.1, 144.7, 163.8, 164.1, 167.7. HRMS (ESI): m/z calcd for C19H17N3O5 + H+: 368.1246; found 368.1241.
2,2′-(((5-Phenyl-1,3,4-oxadiazol-2-yl)methyl)azanediyl)diacetic Acid (8b)
- The product was obtained as white powder (0.036 g, 47%). 1H-NMR (400 MHz, DMSO): δ 3.61 (s, 4H), 4.23 (s, 2H), 7.60 (t, J = 4 Hz, 3H), 7.96 (d, J = 4 Hz, 2H); 13C-NMR (100 MHz, DMSO): δ 47.5, 54.2, 123.5, 126.6, 129.5, 132.0, 163.8, 164.4, 171.9. HRMS (ESI): m/z calcd for C13H13N3O5 + H+: 292.0934; found 292.0930.
2,2’-((2-(5-Phenyl-1,3,4-oxadiazol-2-yl)ethyl)azanediyl)diacetic Acid (8c)
- The product was obtained as slightly yellow powder (0.033 g, 42%). 1H-NMR (400 MHz, DMSO): δ 3.53 (s, 4H), 3.60 (t, J = 8 Hz, 2H), 3.78 (t, J = 8 Hz, 2H), 7.61 (m, 3H), 7.91 (d, J = 8 Hz, 2H); 13C-NMR (100 MHz, DMSO): δ 25.8, 46.6, 58.0, 126.5, 127.9, 128.8, 132.0, 164.1, 165.2, 169.7. HRMS (ESI): m/z calcd for C14H15N3O5 + H+: 306.1090; found 306.1089.
2,2′-((3-(5-Phenyl-1,3,4-oxadiazol-2-yl)propyl)azanediyl)diacetic Acid (8d)
- The product was obtained as slightly yellow powder (0.035 g, 44%). 1H-NMR (400 MHz, DMSO): δ 2.11 (m, 2H), 2.25 (m, 2H), 2.98 (m, 2H), 4.09 (s, 4H), 7.43 (m, 3H), 7.83 (d, J = 4 Hz, 2H); 13C-NMR (100 MHz, DMSO): δ 20.8, 22.1, 54.3, 54.7, 123.6, 129.6, 129.6, 132.0, 164.1, 166.0, 168.2. HRMS (ESI): m/z calcd for C15H17N3O5 + H+: 320.1246; found 320.1233.
2,2′-((4-(5-Phenyl-1,3,4-oxadiazol-2-yl)butyl)azanediyl)diacetic Acid (8e)
- The product was obtained as slightly yellow powder (0.036 g, 41%). 1H-NMR (400 MHz, DMSO): δ 1.93 (m, 4H), 2.99 (t, J = 4Hz, 2H), 3.48 (s, 4H), 3.71 (t, J = 4 Hz, 2H), 7.50 (m, 3H), 7.92 (m, 2H); 13C-NMR (100 MHz, DMSO): δ 23.2, 23.9, 31.2, 50.4, 54.7, 123.5, 126.4, 129.4, 131.8, 163.9, 165.5, 171.3. HRMS (ESI): m/z calcd for C16H19N3O5 + H+: 334.1403; found 334.1401.
4. Conclusions
Supplementary Materials
Author Contributions
Funding
Institutional Review Board Statement
Informed Consent Statement
Data Availability Statement
Conflicts of Interest
References
- Shukla, C.; Sanchit, S.J. Biologically Active Oxadiazole. J. Drug Deliv. Ther. 2015, 5, 8–13. [Google Scholar] [CrossRef]
- Luczynski, M.; Kudelko, A. Synthesis and Biological Activity of 1,3,4-Oxadiazoles Used in Medicine and Agriculture. Appl. Sci. 2022, 12, 3756. [Google Scholar] [CrossRef]
- Akhter, M.; Husain, A.; Azad, B.; Ajmal, M. Aroylpropionic acid based 2,5-disubstituted-1,3,4-oxadiazoles: Synthesis and their anti-inflammatory and analgesic activites. Eur. J. Med. Chem. 2009, 44, 2372–2378. [Google Scholar] [CrossRef] [PubMed]
- Ahsan, M.J.; Choupra, A.; Sharma, R.K.; Jadav, S.S.; Padmaja, P.; Hassan, M.Z.; Al-Tamimi, A.B.S.; Geesi, M.H.; Bakht, M.A. Rationale Design, Synthesis, Cytotoxicity Evaluation, and Molecular Docking Studies of 1,3,4-oxadiazole Analogues. Anti-Cancer Agents Med. Chem. 2017, 18, 121–138. [Google Scholar] [CrossRef] [PubMed]
- Al-Tamimi, E.O.; Thejeel, K.A. Synthesis, Characterization and Polymerization of 1,3,4-Oxadiazole Derivatives of Amoxicillinand Evaluation Antibacterial Activites. Int. J. Curr. Microbiol. Appl. Sci. 2016, 5, 511–522. [Google Scholar] [CrossRef]
- Jasiak, K.; Kudelko, A.; Biernasiuk, A.; Malm, A. Study on antibacterial and antifungal activity of 2-(2-arylethenyl)-1,3,4-oxadiazoles. Trends Org. Chem. 2008, 18, 21–28. [Google Scholar]
- Albratty, M.; El-Sharkawy, K.; Alhazmi, H.; Ahmed, H. Synthesis and evaluation of some new 1,3,4-oxadiazoles bearing thiophene, thiazole, coumarin, pyridine and pyridazine derivatives as antivial agents. Acta Pharm. 2019, 69, 261–276. [Google Scholar] [CrossRef]
- Buyniski, J.P.; Pircio, A.W.; Schuring, J.E.; Campbell, J.A. Effects of Tiodazosin, Prazosin, Trimazosin and Phentolamine on Blood Pressure, Heart Rate and on pre- and Postsynaptic α-adrenergic Receptors in the Rat. Clin. Exp. Hypertens. 1980, 2, 1039–1066. [Google Scholar] [CrossRef]
- Pitasse-Santos, P.; Sueth-Santiago, V.; Lima, M.E.F. 1,2,4-and 1,3,4-Oxadiazoles as Scaffolds in the Development of Antiparasitic Agents. J. Braz. Chem. Soc. 2018, 29, 435–456. [Google Scholar] [CrossRef]
- Kedzia, A.; Jasiak, K.; Kudelko, A. An Efficient Synthesis of New 2-Aryl-5-phenylazenyl-1,3,4-oxadiazole Derivatives from N,N′-Diarylcarbonohydrazides. Synlett 2018, 29, 1745–1748. [Google Scholar] [CrossRef]
- Zou, X.J.; Lai, L.H.; Jin, G.Y.; Zhang, Z.X. Synthesis, Fungicidal Activity, and 3D-QSAR of Pyridazinone-Substituted 1,3,4-Oxadiazoles and 1,3,4-Thiadiazoles. J. Agric. Food Chem. 2002, 50, 3757–3760. [Google Scholar] [CrossRef] [PubMed]
- Chen, H.; Li, Z.; Han, Y. Synthesis and Fungicidal Activity against Rhizoctonia solani of 2-Alkyl (Alkylthio)-5-pyrazolyl-1,3,4-oxadiazoles (Thiadiazoles). J. Agric. Food Chem. 2000, 48, 5312–5315. [Google Scholar] [CrossRef] [PubMed]
- Wong, M.; Krotkus, G.; Copley, G.; Li, W.; Murawski, C.; Hall, D.; Hedley, G.J.; Jaricot, M.; Cordes, D.B.; Slawin, A.M.; et al. Deep-Blue Oxadiazole-Containing Thermally Activated Delayed Fluorescence Emitters for Organic Light-Emitting Diodes. ACS Appl. Mater. Interfaces 2018, 10, 33360–33372. [Google Scholar] [CrossRef] [PubMed]
- Ji Ram, V.; Sethi, A.; Nath, M.; Pratap, R. Five-Membered Heterocycles. In The Chemistry of Heterocycles; Elsevier Health Sciences: Amsterdam, The Netherlands, 2019; pp. 149–478. [Google Scholar] [CrossRef]
- Tamoto, N.; Adachi, C.; Nagai, K. Electroluminescence of 1,3,4-Oxadiazole and Triphenylamine-Containing Molecules as an Emitter in Organic Multilayer Light Emitting Diodes. Chem. Mater. 1997, 5, 1061–1291. [Google Scholar] [CrossRef]
- Schulz, B.; Orgzall, I.; Freydank, A.; Xu, C. Self-organization of substituted 1,3,4-oxadiazoles in the solid state and at surfaces. Adv. Colloid Interface Sci. 2005, 116, 143–164. [Google Scholar] [CrossRef]
- Damaceanu, M.; Rusu, R.D.; Bruma, M. Polymers Containing 1,3,4-Oxadiazole Rings for Advanced Materials. Mem. Sci. Sect. Rom. Acad. 2011, 34, 105–125. [Google Scholar]
- Katritzky, A.; Rogers, J.; Witek, R.; Vakulenko, V.; Mohapatra, P.P.; Steel, P.J.; Damavarapu, R. Synthesis and Characterization of Blowing Agenst and Hypergolics. J. Energetic Mater. 2007, 25, 79–109. [Google Scholar] [CrossRef]
- Suwinski, J.; Szczepankiewicz, W. 1,3,4-Oxadiazoles. In Comprehensive Heterocyclic Chemistry III; Katritzky, A.R., Ramsden, C.A., Scriven, E.F.V., Taylor, R.J.K., Eds.; Elsevier Science: Amsterdam, The Netherlands, 2008; Volume 5, pp. 397–466. [Google Scholar]
- Bouanis, M.; Tourabi, M.; Nyassi, A.; Zarrouk, A.; Jama, C.; Bentiss, F. Corrosion inhibition performance of 2,5-bis(4-dimethylaminophenyl)-1,3,4-oxadiazole for carbon steel in HCl solution: Gravimetric, electrochemical and XPS studies. Appl. Surf. Sci. 2016, 389, 952–966. [Google Scholar] [CrossRef]
- Short, F.; Long, L. Synthesis of 5-Aryl-2-oxazolepropionic Acids and Analogs. Antiinflammatory Agents. J. Heterocycl. Chem. 1969, 6, 707–712. [Google Scholar] [CrossRef]
- Jacobsen, N.W.; Philipides, A.E. The Hydroxy Derivatives of 2,5-Diphenyl-1,3,4-oxadiazole. Aust. J. Chem. 1986, 39, 1911–1914. [Google Scholar] [CrossRef]
- Wheelock, C.E.; Nakagawa, Y.; Harada, T.; Oikawa, N.; Akamatsu, M.; Smagghe, G.; Stefanou, D.; Iatrou, K.; Swevers, L. High-throughput screening of ecdysone agonists using a reporter gene assay followed by 3-D QSAR analysis of the molting hormonal activity. Bioorganic Med. Chem. 2006, 14, 1143–1159. [Google Scholar] [CrossRef] [PubMed]
- Kedzia, A.; Kudelko, A.; Swiatkowski, M.; Kruszynski, R. Microwave-promoted synthesis of highly luminescent s-tetrazine-1,3,4-oxadiazole and s-tetrazine-1,3,4-thiadiazole hybrids. Dye. Pigment. 2020, 172, 107865. [Google Scholar] [CrossRef]
- Bostrom, J.; Hogner, A.; Llinas, A.; Wellner, E.; Plowright, A.T. Oxadiazoles in Medicinal Chemistry. J. Med. Chem. 2012, 55, 1817–1830. [Google Scholar] [CrossRef] [PubMed]
- Bentiss, F.; Lagrenee, M.; Barbry, D. Rapid Synthesis of 2,5-Disubstituted 1,3,4-Oxadiazoles Under Microwave Irradiation. Synth. Commun. 2001, 31, 935–938. [Google Scholar] [CrossRef]
- Mazurkiewicz, R.; Grymel, M. An Efficient Synthesis of 1,3,4-Oxadiazoles from N,N′-Diacylhydrazines Using Ph3PxBr2, Ph3PxCCl4 or Ph3PxCBr4 Adducts as Condensing Agents. Pol. J. Chem. 1997, 71, 77–82. [Google Scholar]
- Majji, G.; Rout, S.K.; Guin, S.; Gogoi, A.; Patel, B.K. Iodine-catalysed oxidative cyclisation of acylhydrazones to 2,5-substituted 1,3,4-oxadiazoles. RSC Adv. 2014, 4, 5357–5362. [Google Scholar] [CrossRef]
- Rostamizadeh, S.; Housaini, S.A.G. Microwave assisted syntheses of 2,5-disubstituted 1,3,4-oxadiazoles. Tetrahedron Lett. 2004, 45, 8753–8756. [Google Scholar] [CrossRef]
- Jasiak, K.; Kudelko, A.; Zielinski, W.; Kuznik, N. Study on DDQ-promoted synthesis of 2,5-disubstituted 1,3,4-oxadiazoles from acid hydrazides and aldehydes. Arkivoc 2016, 2017, 87–106. [Google Scholar] [CrossRef]
- Somogyi, L. Synthesis, Oxidation and Dehydrogenation of Cyclic N,O- and N,S-Acetals, Part III. [1,2] Transformation of N,O-Acetals: 3-Acyl-1,3,4-Oxadiazolines. J. Heterocycl. Chem. 2007, 44, 1235–1246. [Google Scholar] [CrossRef]
- Luczynski, M. Synteza i zastosowanie aktywnych biologicznie pochodnych 1,3,4-oksadiazolu i 1,3,4-tiadiazolu. In Interdyscyplinarne Badania Młodych Naukowców; Bonek, M., Barteczko, N., Balon, B., Eds.; Katedra Materiałów Inżynierskich i Biomedycznych, Wydział Mechaniczny Technologiczny, Politechnika Śląska: Gliwice, Poland, 2021; pp. 102–122. ISBN 978-83-65138-29-3. [Google Scholar]
- Sekhon, B. Chelates for Micronutrient Nutrition among Crops. Resonance 2003, 8, 46–53. [Google Scholar] [CrossRef]
- Luczynski, M.; Kubiesa, K.; Kudelko, A. Synthesis of 2,5-Dialkyl-1,3,4-oxadiazoles Bearing Carboxymethylamino Groups. Molecules 2022, 27, 7687. [Google Scholar] [CrossRef]
- El-Ashry, S.; Rashed, N.; Awad, L.F.; Ramadan, S.; Abdel-Maggeed, S.M.; Rezki, N. Synthesis of 5-Aryl-3-Glycosylthio-4-Phenyl-4H-1,2,4-Triazoles and Their Acyclic Analogs Under Conventional and Microwave Conditions. J. Carbohydr. Chem. 2008, 27, 70–85. [Google Scholar] [CrossRef]
- Santos, M.A.; Marques, S.M.; Tuccinardi, T.; Carelli, P.; Panelli, L.; Rossello, A. Design, synthesis and molecular modelling study of iminodiacetyl monohydroxamic acid derivatives as MMP inhibitors. Bioorganic Med. Chem. 2006, 14, 7539–7550. [Google Scholar] [CrossRef] [PubMed]
- Raheem, L. Synthesis, Characterization and computational study of N-Acylhydrazone derivatives. Egypt. J. Chem. 2021, 64, 5067–5075. [Google Scholar] [CrossRef]
- Van Craen, D.; Flynn, I.G.; Carta, V.; Flood, A.H. Bimetallic Bis-anion Cascade Complexes of Magnesium in Nonaqueous Solution. Inorg. Chem. 2020, 59, 5939–5948. [Google Scholar] [CrossRef]







| Entry | n (a) | R | Product | Yield (%) |
|---|---|---|---|---|
| 1 | 1 | 4-(Bromomethyl)phenyl | 3a | 78 |
| 2 | 1 | Bromomethyl | 3b | 46 |
| 3 | 2 | 2-Bromoethyl | 3c | 65 |
| 4 | 3 | 3-Bromopropyl | 3d | 69 |
| 5 | 4 | 4-Bromobutyl | 3e | 71 |
| Entry | Conditions | n (c) | R | Product | Time (h) | Yield (%) |
|---|---|---|---|---|---|---|
| 1 | Δt (a) | 1 | 4-(Bromomethyl)phenyl | 4a | 3 | 90 |
| 2 | Δt | 1 | Bromomethyl | 4b | 8 | 60 |
| 3 | Δt | 2 | 2-Bromoethyl | 4c | 4 | 32 |
| 4 | Δt | 3 | 3-Bromopropyl | 4d | 6 | 73 |
| 5 | Δt | 4 | 4-Bromobutyl | 4e | 6 | 62 |
| 6 | MW (b) | 1 | 4-(Bromomethyl)phenyl | 4a | 1 | 93 |
| 7 | MW | 1 | Bromomethyl | 4b | 2.5 | 65 |
| 8 | MW | 2 | 2-Bromoethyl | 4c | 2 | 38 |
| 9 | MW | 3 | 3-Bromopropyl | 4d | 1.5 | 75 |
| 10 | MW | 4 | 4-Bromobutyl | 4e | 1.5 | 64 |
| Entry | Solvent | Base | Temperature | Conditions | Yield (%) |
|---|---|---|---|---|---|
| 1 | DMF | TEA | 150 | Δt (a) | 49 |
| 2 | Acetonitrile | TEA | 80 | Δt | 59 |
| 4 | DMF | TEA | 150 | MW (b) | 51 |
| 5 | Acetonitrile | TEA | 80 | MW | 65 |
| 7 | DMF | Na2CO3 | 150 | Δt | 77 |
| 8 | Acetonitrile | Na2CO3 | 80 | Δt | 93 |
| 10 | DMF | Na2CO3 | 150 | MW | 80 |
| 11 | Acetonitrile | Na2CO3 | 80 | MW | 93 |
| Entry | n (a) | R | Product | Yield (%) |
|---|---|---|---|---|
| 1 | 1 | 4-(Bromomethyl)phenyl | 7a | 93 |
| 2 | 1 | Bromomethyl | 7b | 79 |
| 3 | 2 | 2-Bromoethyl | 7c | 69 |
| 4 | 3 | 3-Bromopropyl | 7d | 71 |
| 5 | 4 | 4-Bromobutyl | 7e | 66 |
| Entry | n (a) | R | Product | Yield (%) |
|---|---|---|---|---|
| 1 | 1 | 4-(Bromomethyl)phenyl | 8a | 51 |
| 2 | 1 | Bromomethyl | 8b | 47 |
| 3 | 2 | 2-Bromoethyl | 8c | 42 |
| 4 | 3 | 3-Bromopropyl | 8d | 44 |
| 5 | 4 | 4-Bromobutyl | 8e | 41 |
Disclaimer/Publisher’s Note: The statements, opinions and data contained in all publications are solely those of the individual author(s) and contributor(s) and not of MDPI and/or the editor(s). MDPI and/or the editor(s) disclaim responsibility for any injury to people or property resulting from any ideas, methods, instructions or products referred to in the content. |
© 2023 by the authors. Licensee MDPI, Basel, Switzerland. This article is an open access article distributed under the terms and conditions of the Creative Commons Attribution (CC BY) license (https://creativecommons.org/licenses/by/4.0/).
Share and Cite
Łuczyński, M.; Kudelko, A. Microwave-Assisted Synthesis of Unsymmetrical 5-Phenyl-1,3,4-oxadiazoles Containing Bis(carboxymethyl)amino Group. Appl. Sci. 2023, 13, 12427. https://doi.org/10.3390/app132212427
Łuczyński M, Kudelko A. Microwave-Assisted Synthesis of Unsymmetrical 5-Phenyl-1,3,4-oxadiazoles Containing Bis(carboxymethyl)amino Group. Applied Sciences. 2023; 13(22):12427. https://doi.org/10.3390/app132212427
Chicago/Turabian StyleŁuczyński, Marcin, and Agnieszka Kudelko. 2023. "Microwave-Assisted Synthesis of Unsymmetrical 5-Phenyl-1,3,4-oxadiazoles Containing Bis(carboxymethyl)amino Group" Applied Sciences 13, no. 22: 12427. https://doi.org/10.3390/app132212427
APA StyleŁuczyński, M., & Kudelko, A. (2023). Microwave-Assisted Synthesis of Unsymmetrical 5-Phenyl-1,3,4-oxadiazoles Containing Bis(carboxymethyl)amino Group. Applied Sciences, 13(22), 12427. https://doi.org/10.3390/app132212427

