Longwall Mining Automation—The Shearer Positioning Methods between the Longwall Automation Steering Committee and China University of Mining and Technology
Abstract
1. Introduction
2. Longwall Mining Method
3. Shearer Positioning Technology
3.1. The Shearer Inertial Navigation System
3.2. The Measurement Method of Longwall Retreat and Creep Displacements
3.3. The Backward Calibration of Shearer Trajectory
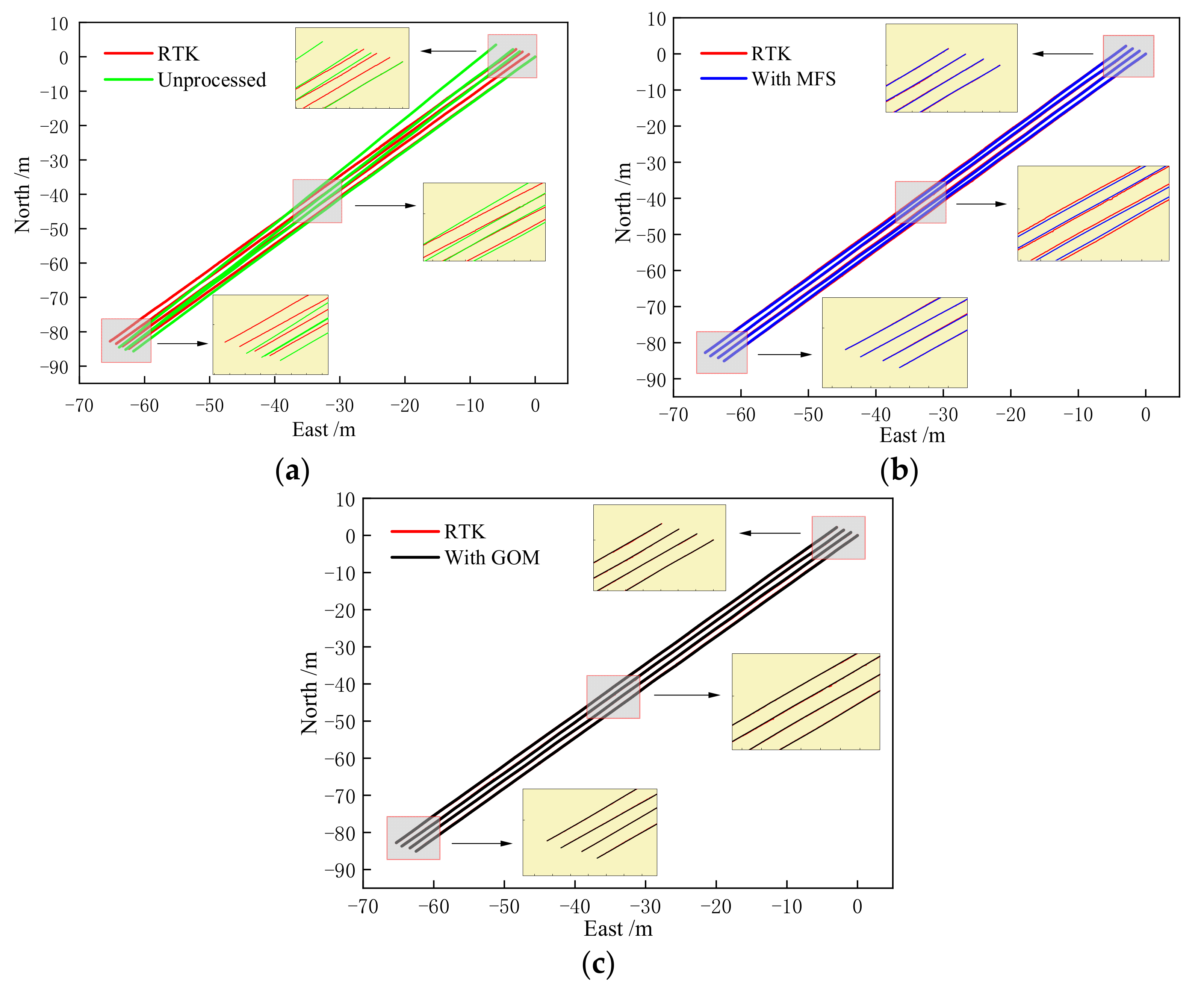
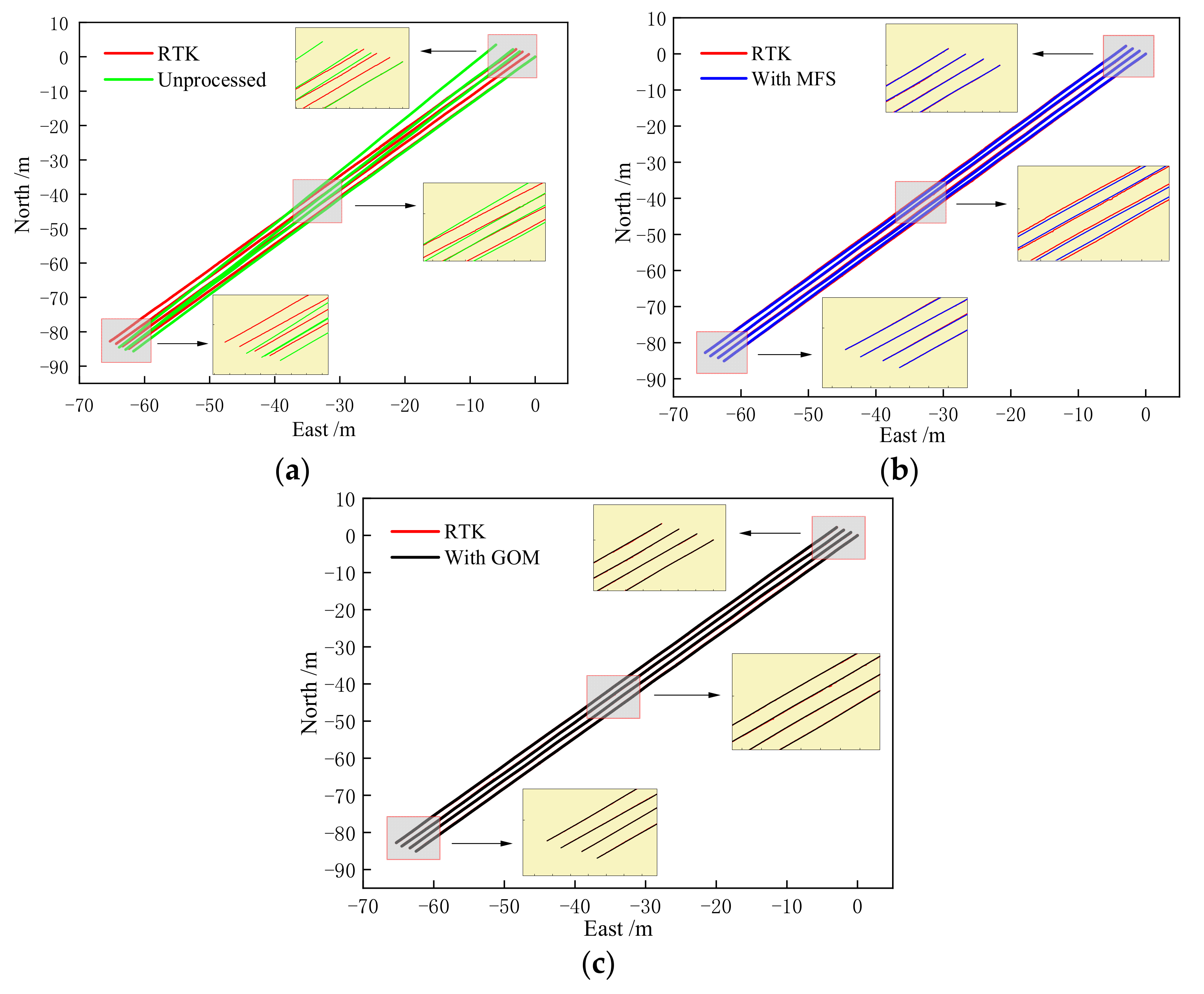
4. Discussion
5. Conclusions
Author Contributions
Funding
Institutional Review Board Statement
Informed Consent Statement
Data Availability Statement
Conflicts of Interest
References
- Singh, R.D. Principles and Practices of Modern Coal Mining; New Age International: New Delhi, India, 2004. [Google Scholar]
- Van Duin, S.; Meers, L.; Donnelly, P.; Oxley, I. Automated bolting and meshing on a continuous miner for roadway development. Int. J. Min. Sci. Technol. 2013, 23, 55–61. [Google Scholar] [CrossRef][Green Version]
- Ge, S. Key technology of intelligent coal mining equipment. Coal Sci. Technol. 2014, 42, 7–11. (In Chinese) [Google Scholar]
- Yuan, L. Scientific conception of precision coal mining. J. China Coal Soc. 2017, 42, 1–7. (In Chinese) [Google Scholar]
- Ralston, J.C.; Hargrave, C.O.; Dunn, M.T. Longwall automation: Trends, challenges and opportunities. Int. J. Min. Sci. Technol. 2017, 27, 733–739. [Google Scholar] [CrossRef]
- Wang, J.; Huang, Z. The Recent Technological Development of Intelligent Mining in China. Engineering 2017, 3, 439–444. [Google Scholar] [CrossRef]
- Ralston, J.; Reid, D.; Hargrave, C.; Hainsworth, D. Sensing for advancing mining automation capability: A review of underground automation technology development. Int. J. Min. Sci. Technol. 2014, 24, 305–310. [Google Scholar] [CrossRef]
- Reid, D.C.; Hainsworth, D.W.; Ralston, J.C.; McPhee, R.J. Shearer guidance: A major advance in longwall mining. In Proceedings of the 4th International Conference on Field and Service Robotics, Lake Yamanaka, Japan, 14–16 July 2003; Springer: Berlin/Heidelberg, Germany, 2003; pp. 469–476. [Google Scholar]
- Available online: http://www.lascautomation.com/lasc-compliance.html (accessed on 18 February 2008).
- Ge, S.; Su, Z.; Li, A.; Wang, S.; Hao, S.; Liu, W.; Meng, L. Study on the positioning and orientation of a shearer based on geographic information system. J. China Coal Soc. 2015, 40, 2503–2508. [Google Scholar]
- Wang, S.; Wang, S. Improving the Shearer Positioning Accuracy Using the Shearer Motion Constraints in Longwall Panels. IEEE Access 2020, 8, 52466–52474. [Google Scholar] [CrossRef]
- Zhang, Q.Q.; Zhao, L.; Zhou, J.H.; Wang, B.H.; Zhang, Y.P. A real-time airborne terrain aided inertial navigation system and its performance analysis. Adv. Space Res. 2017, 60, 2751–2762. [Google Scholar] [CrossRef]
- Zhang, C.; Guo, C.; Zhang, D. Ship navigation via GPS/IMU/LOG integration using adaptive fission particle filter. Ocean. Eng. 2018, 156, 435–445. [Google Scholar] [CrossRef]
- Huang, H.; Chen, X.; Zhang, B.; Wang, J. High accuracy navigation information estimation for inertial system using the multi-model EKF fusing Adams explicit formula applied to underwater gliders. ISA Trans. 2017, 66, 414–424. [Google Scholar] [CrossRef] [PubMed]
- Titterton, D.; Weston, J.L.; Weston, J. Strapdown Inertial Navigation Technology; IET: Stevenage, UK, 2004. [Google Scholar]
- Wang, X. The Foundation of Inertial Navigation; Northwestern Polytechnical University Press Co., Ltd.: Xi’an, China, 2012. (In Chinese) [Google Scholar]
- Reid, D.C.; Dunn, M.T.; Reid, P.B.; Ralston, J.C. A practical inertial navigation solution for continuous miner automation. In Proceedings of the 12th Coal Operators’ Conference, University of Wollongong & the Australasian Institute of Mining and Metallurgy, Perth, Australia, 8–10 October 2012; pp. 114–119. Available online: https://ro.uow.edu.au/coal/398/ (accessed on 16 February 2012).
- Dunn, M.T.; Thompson, J.P.; Reid, P.B.; Reid, D.C. High accuracy inertial navigation for underground mining machinery. In Proceedings of the 2012 IEEE International Conference on Automation Science and Engineering (CASE), Seoul, Republic of Korea, 20–24 August 2012; pp. 1179–1183. [Google Scholar]
- Dunn, M.; Reid, D.; Ralston, J. Control of automated mining machinery using aided inertial navigation. In Proceedings of the Machine Vision and Mechatronics in Practice, Toowoomba, Australia, 7–9 December 2015; Springer: Berlin/Germany, Germany, 2015; pp. 1–9. [Google Scholar]
- Reid, D.; Ralston, J.; Dunn, M.; Hainsworth, D. Longwall Shearer Automation: From Research to Reality. In Proceedings of the Machine Vision and Mechatronics in Practice, Toowoomba, Australia, 7–9 December 2015; Springer: Berlin/Heidelberg, Germany, 2015. [Google Scholar]
- Ralston, J.C.; Reid, D.C.; Dunn, M.T.; Hainsworth, D.W. Longwall automation: Delivering enabling technology to achieve safer and more productive underground mining. Int. J. Min. Sci. Technol. 2015, 23, 47–53. [Google Scholar] [CrossRef]
- Hao, S.; Li, A.; Wang, S.; Ge, Z.; Zhang, Z.; Ge, S. Effects of shearer inertial navigation installation noncoincidence on shearer positioning error. J. China Coal Soc. 2015, 40, 1963–1968. (In Chinese) [Google Scholar]
- Zhang, B.; Wang, S.; Ge, S. Effects of initial alignment error and installation noncoincidence on the shearer positioning accuracy and calibration method. J. China Coal Soc. 2017, 42, 789–795. (In Chinese) [Google Scholar]
- Li, A. Research on Shearer Absolute Positioning and Attitude Technology in Mining Area. Master’s Thesis, China University of Mining and Technology, Xuzhou, China, 2015. (In Chinese). [Google Scholar]
- Zhang, B. Research on Dynamic Accurate Positioning Method of Shearer. Master’s Thesis, China University of Mining and Technology, Xuzhou, China, 2017. (In Chinese). [Google Scholar]
- Wang, S.; Wang, S.; Zhang, B.; Ge, S. Dynamic zero-velocity update technology to shearer inertial navigation positioning. J. China Coal Soc. 2018, 43, 578–583. [Google Scholar]
- Wang, S.; Zhang, B.; Wang, S.; Ge, S. Dynamic precise positioning method of shearer based on closing path optimal estimation model. IEEE Trans. Autom. Sci. Eng. 2019, 16, 1468–1475. [Google Scholar]
- Hao, S. Research on Navigation and Self-Adaptive Cutting Control Technology of Shearer Based on Coal Seam Structure. Ph.D. Thesis, China University of Mining and Technology, Xuzhou, China, 2017. [Google Scholar]
- Hargrave, C.O.; James, C.A.; Ralston, J.C. Infrastructure-based localisation of automated coal mining equipment. Int. J. Coal Sci. Technol. 2017, 4, 252–261. [Google Scholar] [CrossRef]
- Hargrave, C.O.; Shuley, N.V.; Ralston, J.C.; Hainsworth, D.W. Radar level sensor for longwall creep and retreat measurement. In Proceedings of the 2007 IEEE Industry Applications Annual Meeting, New Orleans, LA, USA, 23–27 September 2007; pp. 2102–2109. [Google Scholar]
- Hargrave, C.; Clarkson, I.V.L.; Lui, H.S. Radar waypoint navigator for underground mining. In Proceedings of the 8th European Conference on Antennas and Propagation (EuCAP 2014), The Hague, The Netherlands, 6–11 April 2014; pp. 3587–3591. [Google Scholar]
- Wang, S.; Wang, S. UWB Radar Imaging Method for the Longwall Retreat and Creep Displacements Measurement in Underground Coal Mine. IEEE Trans. Autom. Sci. Eng. 2023. early access. [Google Scholar] [CrossRef]
- Einicke, G.A.; Ralston, J.C.; Hargrave, C.O.; Reid, D.C.; Hainsworth, D.W. Longwall mining automation an application of minimum-variance smoothing. IEEE Control Syst. 2008, 28, 28–37. [Google Scholar] [CrossRef]
- Huang, S.; Dissanayake, G. A critique of current developments in simultaneous localization and mapping. Int. J. Adv. Robot. Syst. 2016, 13, 1729881416669482. [Google Scholar] [CrossRef]
- Chen, C.; Zhu, H.; Li, M.; You, S. A Review of Visual-Inertial Simultaneous Localization and Mapping from Filtering-Based and Optimization-Based Perspectives. Robotics 2018, 7, 45. [Google Scholar] [CrossRef]
- Kümmerle, R.; Grisetti, G.; Strasdat, H.; Konolige, K.; Burgard, W. G2o: A general framework for graph optimization. In Proceedings of the IEEE International Conference on Robotics and Automation, Shanghai, China, 9–13 May 2011; pp. 3607–3613. [Google Scholar]
- Hess, W.; Kohler, D.; Rapp, H.; Andor, D. Real-time loop closure in 2D LIDAR SLAM. In Proceedings of the IEEE International Conference on Robotics and Automation, Stockholm, Sweden, 16–21 May 2016; pp. 1271–1278. [Google Scholar]



















| Cutting Cycles | MFS | GOM | ||
|---|---|---|---|---|
| North | East | North | East | |
| First | 0.1795 | 0.2017 | 0.0631 | 0.0781 |
| Second | 0.1583 | 0.1975 | 0.0725 | 0.0820 |
| Third | 0.1272 | 0.1669 | 0.0617 | 0.0868 |
| Fourth | 0.1553 | 0.2018 | 0.0562 | 0.0673 |
| Mean error | 0.1551 | 0.1920 | 0.0634 | 0.0786 |
| Cutting Cycles | MFS | GOM |
|---|---|---|
| First | 1.6942 | 202.5673 |
| Second | 1.8814 | 260.5997 |
| Third | 1.9999 | 293.0323 |
| Fourth | 1.7098 | 229.5243 |
Disclaimer/Publisher’s Note: The statements, opinions and data contained in all publications are solely those of the individual author(s) and contributor(s) and not of MDPI and/or the editor(s). MDPI and/or the editor(s) disclaim responsibility for any injury to people or property resulting from any ideas, methods, instructions or products referred to in the content. |
© 2023 by the authors. Licensee MDPI, Basel, Switzerland. This article is an open access article distributed under the terms and conditions of the Creative Commons Attribution (CC BY) license (https://creativecommons.org/licenses/by/4.0/).
Share and Cite
Dai, W.; Wang, S.; Wang, S. Longwall Mining Automation—The Shearer Positioning Methods between the Longwall Automation Steering Committee and China University of Mining and Technology. Appl. Sci. 2023, 13, 12168. https://doi.org/10.3390/app132212168
Dai W, Wang S, Wang S. Longwall Mining Automation—The Shearer Positioning Methods between the Longwall Automation Steering Committee and China University of Mining and Technology. Applied Sciences. 2023; 13(22):12168. https://doi.org/10.3390/app132212168
Chicago/Turabian StyleDai, Weiwei, Shijia Wang, and Shibo Wang. 2023. "Longwall Mining Automation—The Shearer Positioning Methods between the Longwall Automation Steering Committee and China University of Mining and Technology" Applied Sciences 13, no. 22: 12168. https://doi.org/10.3390/app132212168
APA StyleDai, W., Wang, S., & Wang, S. (2023). Longwall Mining Automation—The Shearer Positioning Methods between the Longwall Automation Steering Committee and China University of Mining and Technology. Applied Sciences, 13(22), 12168. https://doi.org/10.3390/app132212168

