Competition between Two Species of the Genus Sitophilus (Coleoptera: Curculionidae) on Wheat and Barley
Abstract
:1. Introduction
2. Materials and Methods
2.1. Insects
2.2. Competition Test
2.3. Statistical Analysis
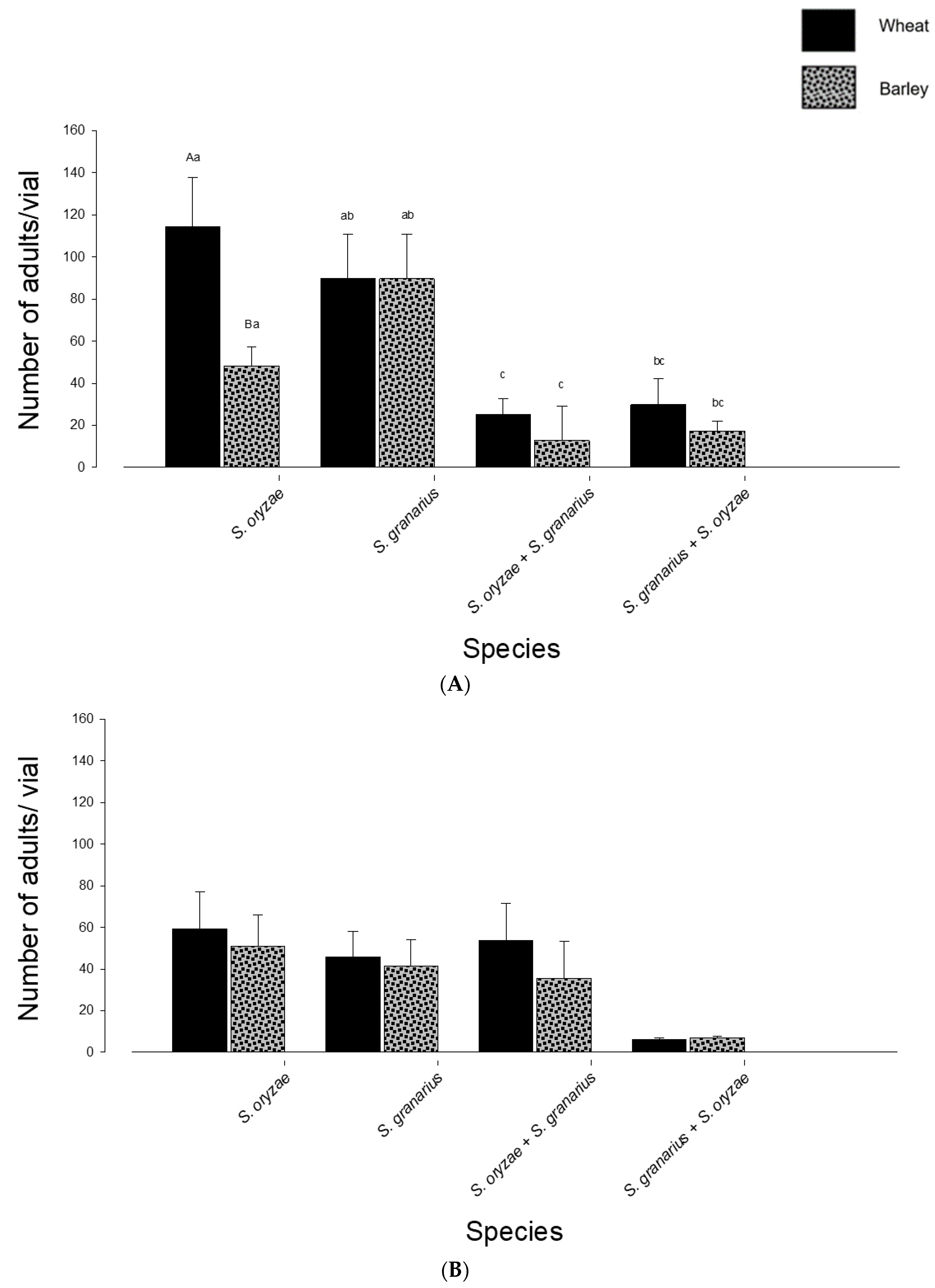
3. Results
3.1. Progeny Production
3.2. Grain Damage and Frass Weight
4. Discussion
Author Contributions
Funding
Institutional Review Board Statement
Informed Consent Statement
Data Availability Statement
Conflicts of Interest
References
- Plarre, R. An attempt to reconstruct the natural and cultural history of the granary weevil, Sitophilus granarius (Coleoptera: Curculionidae). Eur. J. Entomol. 2013, 107, 1–11. [Google Scholar] [CrossRef]
- Athanassiou, C.G.; Kavallieratos, N.G.; Campbell, J.F. Competition of three species of Sitophilus on rice and maize. PLoS ONE 2017, 12, e0173377. [Google Scholar] [CrossRef] [PubMed]
- Rees, D.P. Coleoptera. In Integrated Management of Insects in Stored Products; CRC Press: Boca Raton, FL, USA, 2018; pp. 1–39. [Google Scholar]
- Bolívar-Silva, D.A.; Guedes, N.M.P.; Guedes, R.N.C. Larval cannibalism and fitness in the stored grain weevils Sitophilus granarius and Sitophilus zeamais. J. Pest Sci. 2018, 91, 707–716. [Google Scholar] [CrossRef]
- Strong, R.G. Distribution and Relative Abundance of Stored-Product Insects in California: A Method of obtaining sample populations. J. Econ. Entomol. 1970, 63, 591–596. [Google Scholar] [CrossRef]
- White, N.D.G. Insects, mites and insecticides in stored-grain ecosystems. In Stored-Grain Ecosystems; Jayas, D.S., White, N.D.G., Muir, W.E., Eds.; Marcel Dekker: New York, NY, USA, 1995; pp. 123–167. [Google Scholar]
- Chimoya, I.A.; Abdullahi, G. Species compositions and relative abundance of insect pest associated with some stored cereal grains in selected markets of Maiduguri metropolitan. Am. J. Sci. 2011, 7, 355–358. [Google Scholar]
- Trematerra, P.; Sciarretta, A. Spatial distribution of some beetles infesting a feed mill with spatio-temporal dynamics of Oryzaephilus surinamensis, Tribolium castaneum and Tribolium confusum. J. Stored Prod. Res. 2004, 40, 363–377. [Google Scholar] [CrossRef]
- Sakka, M.K.; Athanassiou, C.G. Competition of three stored-product bostrychids on different temperatures and commodities. J. Stored Prod. Res. 2018, 79, 34–39. [Google Scholar] [CrossRef]
- Giga, D.P.; Canhao, S.R.J. Competition between Prostephanus truncatus (Horn) and Sitophilus zeamais (Motsch.) in maize at two temperatures. J. Stored Prod. Res. 1993, 29, 63–70. [Google Scholar] [CrossRef]
- Oliveira, E.E.; Guedes, R.N.C.; Tótola, M.R.; De Marco, P., Jr. Competition between insecticide-susceptible and-resistant populations of the maize weevil, Sitophilus zeamais. Chemosphere 2007, 69, 17–24. [Google Scholar] [CrossRef] [PubMed]
- Athanassiou, C.G.; Kavallieratos, N.G.; Throne, J.E.; Nakas, C.T. Competition among species of stored-product psocids (Psocoptera) in stored grain. PLoS ONE 2014, 9, e102867. [Google Scholar] [CrossRef] [PubMed]
- Crombie, A.C. On competition between different species of graminivorous insects. Proc. R. Soc. Lond. B Biol. Sci. 1945, 132, 362–395. [Google Scholar]
- Larsen, M.N.; Nachman, G.; Skovgaard, H. Interspecific competition between Sitophilus zeamais and Sitotroga cerealella in a patchy environment. Entomol. Exp. Appl. 2005, 116, 115–126. [Google Scholar] [CrossRef]
- Giga, D.P.; Smith, R.H. Intraspecific competition in the bean weevils Callosobruchus maculatus and Callosobruchus rhodesianus (Coleoptera: Bruchidae). J. Appl. Ecol. 1991, 28, 918–929. [Google Scholar] [CrossRef]
- Papanikolaou, N.E.; Kavallieratos, N.G.; Boukouvala, M.C.; Malesios, C. Do temperature, relative humidity and interspecific competition alter the population size and the damage potential of stored-product insect pests? A hierarchical multilevel modeling approach. J. Therm. Biol. 2018, 78, 415–422. [Google Scholar] [CrossRef] [PubMed]
- Park, T. Experimental studies of interspecies competition II. Temperature, humidity, and competition in two species of Tribolium. Physiol. Zool. 1954, 27, 177–238. [Google Scholar] [CrossRef]
- Athanassiou, C.G.; Kavallieratos, N.G.; Palyvos, N.E.; Sciarretta, A.; Trematerra, P. Spatiotemporal distribution of insects and mites in horizontally stored wheat. J. Econ. Entomol. 2005, 98, 1058–1069. [Google Scholar] [CrossRef]
- Lale, N.E.S.; Vidal, S. Intraspecific and interspecific competition in Callosobruchus maculatus (F.) and Callosobruchus subinnotatus (Pic) on stored bambara groundnut, Vigna subterranea (L.) Verdcourt. J. Stored Prod. Res. 2001, 37, 329–338. [Google Scholar] [CrossRef]
- Nansen, C.; Flinn, P.; Hagstrum, D.; Toews, M.D.; Meikle, W.G. Interspecific associations among stored-grain beetles. J. Stored Prod. Res. 2009, 45, 254–260. [Google Scholar] [CrossRef]
- Kavallieratos, N.G.; Athanassiou, C.G.; Guedes, R.N.; Drempela, J.D.; Boukouvala, M.C. Invader competition with local competitors: Displacement or coexistence among the invasive khapra beetle, Trogoderma granarium Everts (Coleoptera: Dermestidae), and two other major stored-grain beetles? Front. Plant Sci. 2017, 8, 1837. [Google Scholar] [CrossRef] [PubMed]
- Giunti, G.; Palmeri, V.; Algeri, G.M.; Campolo, O. VOC emissions influence intra-and interspecific interactions among stored-product Coleoptera in paddy rice. Sci. Rep. 2018, 8, 2052. [Google Scholar] [CrossRef] [PubMed]
- Baliota, G.V.; Scheff, D.S.; Morrison, W.R.; Athanassiou, C.G. Competition between Prostephanus truncatus and Sitophilus oryzae on maize: The species that gets there first matters. Bull. Entomol. Res. 2022, 112, 520–527. [Google Scholar] [CrossRef] [PubMed]
- Nika, E.P.; Kavallieratos, N.G.; Papanikolaou, N.E.; Malesios, C. Interactions of Oryzaephilus surinamensis (L.) (Coleoptera: Silvanidae) with two key stored-product pests under variable abiotic conditions. Entomol. Gen. 2022, 42, 471–478. [Google Scholar] [CrossRef]
- Lefkovitch, L.P. Interaction between four species of beetles in wheat and wheatfeed. J. Stored Prod. Res. 1968, 4, 1–8. [Google Scholar] [CrossRef]
- Gökçe, A. Interspecific competition between granary weevil (Sitophilus granarius (L.)) and rice weevil (Sitophilus oryzae (L.)) in four different cereals. J. Agric. Fac. Gaziosmanpasa Univ. 2004, 21, 9–18. [Google Scholar]
- Devi, S.R.; Thomas, A.; Rebijith, K.B.; Ramamurthy, V.V. Biology, morphology and molecular characterization of Sitophilus oryzae and S. zeamais (Coleoptera: Curculionidae). J. Stored Prod. Res. 2017, 73, 135–141. [Google Scholar] [CrossRef]
- Omar, Y.M.; Darwish, Y.A.; Hassan, R.E.; Mahmoud, M.A. Threshold temperature and heat unit requirements for the development of the granary weevil, Sitophilus granarius (L.). Arch. Phytopathol. Pflanzenschutz 2014, 47, 555–563. [Google Scholar] [CrossRef]
- Sakka, M.K.; Athanassiou, C.G. Population growth of phosphine resistant and susceptible populations of Lasioderma serricorne (F.) (Coleoptera: Anobiidae) exposed to different temperatures and commodities. Environ. Sci. Pollut. Res. 2023, 30, 53221–53228. [Google Scholar] [CrossRef]
- Wakil, W.; Schmitt, T.; Kavallieratos, N.G. Mortality and progeny production of four stored-product insect species on three grain commodities treated with Beauveria bassiana and diatomaceous earths. J. Stored Prod. Res. 2021, 93, 101738. [Google Scholar] [CrossRef]
- Quellhorst, H.; Athanassiou, C.G.; Bruce, A.; Scully, E.D.; Morrison, W.R. Temperature-mediated competition between the invasive larger grain borer (Coleoptera: Bostrichidae) and the cosmopolitan maize weevil (Coleoptera: Curculionidae). Environ. Entomol. 2020, 49, 255–264. [Google Scholar] [CrossRef]
- Dunkel, F.V. The relationship of insects to the deterioration of stored grain by fungi. Int. J. Food Microbiol. 1988, 7, 227–244. [Google Scholar] [CrossRef]
- Nwosu, L.C.; Adedire, C.O.; Ogunwolu, E.O.; Ashamo, M.O. Relative susceptibility of 20 elite maize varieties to infestation and damage by the maize weevil, Sitophilus zeamais (Coleoptera). Int. J. Trop. Insect Sci. 2015, 35, 185–192. [Google Scholar] [CrossRef]
- Lampiri, E.; Baliota, G.V.; Morrison, W.R., III; Domingue, M.J.; Athanassiou, C.G. Comparative population growth of the khapra beetle (Coleoptera: Dermestidae) and the warehouse beetle (Coleoptera: Dermestidae) on wheat and rice. J. Econ. Entomol. 2022, 115, 344–352. [Google Scholar] [CrossRef]
- Coombs, C.W.; Porter, J.E. Some factors affecting the infestation of wheat and maize by Sitophilus oryzae (L.) and Sitophilus zeamais Mots. (Coleoptera: Curculionidae). J. Stored Prod. Res. 1986, 22, 33–41. [Google Scholar] [CrossRef]
- Gvozdenac, S.; Tanasković, S.; Vukajlović, F.; Prvulović, D.; Ovuka, J.; Viacki, V.; Sedlar, A. Host and ovipositional preference of rice weevil (Sitophilus oryzae) depending on feeding experience. Appl. Ecol. Environ. Res. 2020, 18, 6663–6673. [Google Scholar] [CrossRef]


| Insect Species | df | S. oryzae | S. granarius | S. oryzae + S. granarius | |||
|---|---|---|---|---|---|---|---|
| F | p | F | p | F | p | ||
| Μodel | 7 | 2.29 | 0.037 | 1.58 | 0.156 | 1.91 | 0.083 |
| Intercept | 137.15 | <0.001 | 176.5 | <0.001 | 53.64 | <0.001 | |
| Temperature | 1 | 0.38 | 0.537 | 8.47 | 0.005 | 2.47 | 0.121 |
| Commodity | 1 | 0.01 | 0.986 | 0.20 | 0.654 | 7.21 | 0.009 |
| Days | 1 | 5.96 | 0.017 | 0.23 | 0.623 | 0.66 | 0.420 |
| Temperature X Commodity | 1 | 0.59 | 0.446 | 0.11 | 0.741 | 0.19 | 0.661 |
| Temperature X Days | 1 | 1.36 | 0.247 | 1.99 | 0.163 | 1.09 | 0.299 |
| Commodity X Days | 1 | 6.34 | 0.014 | 0.01 | 0.921 | 1.1 | 0.287 |
| Temperature X Commodity X Days | 1 | 1.46 | 0.231 | 0.07 | 0.794 | 0.58 | 0.450 |
| Days | Commodity | Species in the Vial | Damaged Kernels | |||
|---|---|---|---|---|---|---|
| Kernels with 1 Hole | Kernels with More than 1 Hole | |||||
| 25 °C | 30 °C | 25 °C | 30 °C | |||
| 65 | Wheat | S. oryzae | 98.8 ± 15.9 Aa | 46.2 ± 14.2 b | 22.4 ± 6.4 AB | 8.1 ± 3.2 |
| S. granarius | 94.2 ± 21.4 A | 62.9 ± 14.6 | 30.7 ± 6.2 A | 18.0 ± 5.4 | ||
| S. oryzae + S. granarius | 56.7 ± 12.2 B | 64.3 ± 22.6 | 10.2 ± 13.2 B | 13.2 ± 7.1 | ||
| Barley | S. oryzae | 33.4 ± 8.6 AB | 34.3 ± 8.6 | 2.8 ± 0.7 B | 4.2 ± 1.8 | |
| S. granarius | 67.9 ± 18.7 A | 33.2 ± 3.5 | 18.2 ± 5.9 A | 7.8 ± 3.6 | ||
| S. oryzae + S. granarius | 22.4 ± 5.5 B | 26.2 ± 8.8 | 5.8 ± 1.6 B | 4.7 ± 2.2 | ||
| 120 | Wheat | S. oryzae | 71.8 ± 21.7 | 48.8 ± 14.1 | 21.9 ± 9.0 | 41.3 ± 13.0 |
| S. granarius | 60.6 ± 16.2 | 101.2 ± 22.4 | 17.1 ± 5.9 a | 46.2 ± 11.0 b | ||
| S. oryzae + S. granarius | 29.1 ± 17.4 | 36.7 ± 22.2 | 5.1 ± 2.8 | 9.9 ± 6.1 | ||
| Barley | S. oryzae | 98.6 ± 28.9 | 41.6 ± 16.1 | 30.4 ± 10.7 a | 6.4 ± 3.6 b | |
| S. granarius | 31.8 ± 13.1 | 40.0 ± 14.7 | 11.2 ± 5.2 | 10.8 ± 5.0 | ||
| S. oryzae + S. granarius | 49.8 ± 24.2 | 19.6 ± 6.3 | 17.6 ± 9.1 | 2.9 ± 1.2 | ||
| Days | Commodity | Species in the Vial | ||
|---|---|---|---|---|
| 25 °C | 30 °C | |||
| 65 | Wheat | S. oryzae | 135.3 ± 2.6 | 81.9 ± 21.6 |
| S. granarius | 183.5 ± 44.6 | 158.0 ± 41.6 | ||
| S. oryzae + S. granarius | 155.7 ± 37.3 | 81.4 ± 17.2 | ||
| Barley | S. oryzae | 101.5 ± 20.3 | 91.8 ± 25.8 | |
| S. granarius | 68.8 ± 20.3 | 66.9 ± 21.4 | ||
| S. oryzae + S. granarius | 78.7 ± 16.0 | 52.0 ± 18.0 | ||
| 25 °C | 30 °C | |||
| 120 | Wheat | S. oryzae | 68.48± 23.3 | 26.6 ± 8.6 B |
| S. granarius | 71.7.2 ± 25.5 | 120.7 ± 35.9 A | ||
| S. oryzae + S. granarius | 51.4 ± 23.3 | 44.1 ± 25.4 AB | ||
| Barley | S. oryzae | 141.9 ± 38.4 | 120.2 ± 38.7 | |
| S. granarius | 31.2 ± 15.5 | 70.8 ± 27.8 | ||
| S. oryzae + S. granarius | 136.7 ± 55.8 | 54.3 ± 22.3 | ||
Disclaimer/Publisher’s Note: The statements, opinions and data contained in all publications are solely those of the individual author(s) and contributor(s) and not of MDPI and/or the editor(s). MDPI and/or the editor(s) disclaim responsibility for any injury to people or property resulting from any ideas, methods, instructions or products referred to in the content. |
© 2023 by the authors. Licensee MDPI, Basel, Switzerland. This article is an open access article distributed under the terms and conditions of the Creative Commons Attribution (CC BY) license (https://creativecommons.org/licenses/by/4.0/).
Share and Cite
Sakka, M.K.; Terzis, G.; Athanassiou, C.G. Competition between Two Species of the Genus Sitophilus (Coleoptera: Curculionidae) on Wheat and Barley. Appl. Sci. 2023, 13, 11872. https://doi.org/10.3390/app132111872
Sakka MK, Terzis G, Athanassiou CG. Competition between Two Species of the Genus Sitophilus (Coleoptera: Curculionidae) on Wheat and Barley. Applied Sciences. 2023; 13(21):11872. https://doi.org/10.3390/app132111872
Chicago/Turabian StyleSakka, Maria K., George Terzis, and Christos G. Athanassiou. 2023. "Competition between Two Species of the Genus Sitophilus (Coleoptera: Curculionidae) on Wheat and Barley" Applied Sciences 13, no. 21: 11872. https://doi.org/10.3390/app132111872
APA StyleSakka, M. K., Terzis, G., & Athanassiou, C. G. (2023). Competition between Two Species of the Genus Sitophilus (Coleoptera: Curculionidae) on Wheat and Barley. Applied Sciences, 13(21), 11872. https://doi.org/10.3390/app132111872

