Abstract
Aiming at the current situation of insufficient research on the synergistic benefits of the prefabricated building supply chain, this study utilizes the evolutionary game theory to construct an evolutionary game model among the three participating subjects of “government–construction unit–prefabricated component manufacturer”. Our study uses dynamic replication equations to derive the equilibrium point of the game, draw the evolutionary path of the prefabricated building, and analyze the strategic behaviors of each subject’s game evolution law. Providing lessons for the strategy selection of each subject while improving the level of assembly, building supply chain synergy is taken as the main goal of this study. The results of the study show that in the initial stage of assembly building supply chain collaboration, the government’s guidance and support can rapidly increase the willingness of all parties to collaborate; the reasonable distribution of the benefits of collaborative incentives is a prerequisite for the sustainable and stable development of the supply chain collaboration, and the construction unit, as the core body of the supply chain, should be given more attention in this link. The participants in the supply chain can effectively improve the level of supply chain synergy and decision-making efficiency by applying the model in this study.
1. Introduction
The newest assembly building construction method is different from the traditional building method due to the higher requirements for industrialized standard production, which result in the design unit, the supervision unit, the building production unit, the construction unit, and so on in the construction process being faced with unprecedented challenges. Each unit in the various links needs to maintain a high degree of coordination and unity, which requires the use of supply chains as a concept of collaborative management of the assembly building industry.
At the same time, with economic development, the implementation of energy-saving and emission-reduction policies, and the diversification of public demand, construction projects are also developing in the direction of environmental protection, diversification, and humanization, which makes the industrialization of construction a necessary path for the transformation and upgrading of the construction industry [1]. As an important carrier of this goal, assembly building will be the main form of construction in the construction industry in the future. According to the “13th Five-Year Plan” of the Ministry of Housing and Construction, by 2025, the proportion of assembled buildings in new buildings will be more than 30% [2]. However, the main parties in the supply chain of assembly building projects are facing the negative situation of information asymmetry [3,4], fragmentation [5], insufficient allocation of resources [6,7], low trust [8], and insufficient motivation to design more complex assembly buildings [9,10], and will thus face the potential risk of conflict [11]. The main bodies of the supply chain of prefabricated construction projects have to strengthen their cooperation to organize all aspects of the construction of prefabricated construction projects into a system [12], and the government should introduce appropriate protection policies to encourage the participation of the main supply chain bodies [13] in order to ensure they occupy a place in the fiercely competitive market environment in the future.
1.1. Assembly Building Supply Chain Synergy
Research on supply chain collaboration in assembly buildings has been carried out by different scholars from different perspectives. In terms of supply chain synergy performance management, Qu Fuqiang [14] used the ANP-Fuzzy model to construct a supply chain synergy performance evaluation index system for assembly construction enterprises in terms of transportation synergy, information sharing synergy, cost control synergy, and customer service synergy. Chen Huilin [15] constructed a supply chain synergy mechanism and its performance evaluation index system from the perspective of building construction enterprises and proposed to build an information-sharing and exchange platform and establish a good organizational structure to promote the formation of strategic partnerships. Han Tongyin [16] General utilized BIM and TOPSIS methods to conduct a targeted study on the unfavorable factors affecting the development of China’s assembly building industry chain and established a partner selection model consisting of developers and construction companies to improve the performance of the construction phase of the assembly building supply chain. Braglia [17] proposed a new indicator of overall construction productivity to quantify and locate the losses of the assembly building supply chain during the construction process and then implement a targeted strategy to improve the performance of the supply chain as a whole.
1.2. Application of Information Technology
In the use of information technology, Wang Qiaowen [18] constructed an assembly building collaboration platform based on BIM. Xia Manman [19] introduced blockchain technology into assembly building supply chain management and constructed a model of the impact of blockchain technology on assembly building supply chain performance; Qiao Shi [20] verified that the application of BIM technology can effectively improve knowledge sharing among supply chain members through the analysis of examples, thus improving the overall cooperative performance of the assembly building supply chain.
1.3. Participating Subjects Strategy Selection
In terms of the choice of behavioral strategies of supply chain participants, Reza et al. [21] utilized a bi-objective linear programming model to study the synergy between supplier selection, project planning, and scheduling in the construction supply chain, and Mukundan and Thomas [22] argued that potential cost savings and efficient innovation benefits can be realized by using supply chain synergy. Yang Zengke [23] constructed a game model for the evolution of collaborative behavior among three groups: design units, component manufacturers, and construction enterprises under government intervention. Li Xiaojuan [24] conducted an in-depth study on the influencing factors of developers and consumers in the game process through game theory. Ke Fan [25] used evolutionary game theory to analyze the government’s incentive policies for green buildings and their impacts. Chen Wei et al. [26] took the assembly building project as an object and established a collaborative scheduling method for assembly building project resources based on the in-depth study of the collaborative mechanism of construction resources in the construction process. Yang Chunyi [27] took the government and assembly building construction enterprises as the supply chain participants and analyzed the strategic choices of the two participants in the process of promoting the development of BIM+ prefabricated buildings using evolutionary game theory.
Previous studies have investigated assembly building supply chain synergy from multiple perspectives, such as supply chain synergy performance, the application of information technology, and the behavioral game of supply chain participating subjects; these studies provided references and ideas for this study and informed the selection of the core participating subjects of the supply chain and our analysis of the benefits. However, most of the studies are based on the developer–construction enterprise unit or the prefabricated component manufacturer–construction enterprise–design unit as the supply chain participating subjects, which ignores the importance of the government in the operation of the supply chain process. At present, China is in the initial development stage of assembly building and does not have the benefit of scale. The government focuses on encouraging and guiding the transformation and upgrading of the traditional construction industry, and each participating enterprise in the supply chain has a close connection with the government’s strategic policies [27]. Moreover, the government’s incentives will be an important force to promote the development of the prefabricated building supply chain [28]. Therefore, when studying the gaming behavior of the participating subjects in the supply chain of assembly building projects, the government should be taken as one of the key participating subjects to achieve a more comprehensive and systematic study.
Based on the above research, this paper adds the government as an actor in the game of prefabricated building supply chain synergy. The supply chain of the relationship between the behavior of each participating subject is not static, but there is a certain dynamic evolution of the law; therefore, this study chose to use the evolutionary game [29] theory to study the impact of government policy support on supply chain synergy benefits. For the sake of model simplicity and clarity, according to the status and function of each subject in the supply chain, and taking into account the specificity of the assembly building, prefabricated component manufacturers are included in the game system. Therefore, the participating subjects in the supply chain of prefabricated building projects are simplified to the government, construction units, and prefabricated component manufacturers, and under different scenarios, the benefits–cost-sharing contract is introduced to coordinate the supply chain [30] and the evolutionary stability strategy of the tripartite evolutionary game is solved. Through simulation, the factors influencing the optimal strategy selection of supply chain synergies are studied, and numerical analysis is carried out to provide ideas for the strategic choices of the participants in the assembly building supply chain and to improve the overall level of collaboration in the supply chain.
The flow of this study is shown in Figure 1.
Figure 1.
The flow of this study.
2. The Prefabricated Building Project Supply Chain Synergy Benefits Game Model Construction and Assumptions
Evolutionary game theory combines evolutionary theory in biology and game theory in economics and uses mathematical models and simulation software to explain the evolution and stabilization of different strategy choices in a participating group to study how subjects’ behaviors and adaptive capacities interact with each other in the process of strategy evolution. In evolutionary game theory, the study of evolutionarily stable strategies (ESSs) is particularly important. An ESS refers to a strategy in a participant group that cannot be replaced by the behavioral choices of other subjects in the group, reflecting the result of natural selection in the process of evolution of the group over time, which has stability.
2.1. Game Model Assumptions
This study focuses on the impact of the collaborative behavior of each participating subject on the synergistic benefits of the supply chain of prefabricated building projects. In the supply chain of prefabricated building projects, the government provides policy and subsidy support from the macro aspect [31,32,33]; the construction unit, as a provider of assembly buildings, is constrained by the macro environment of the policy and, on the other hand, it is influenced by the willingness of other subjects in the supply chain to collaborate to maximize its interests. Prefabricated component manufacturers, as an important part of the prefabricated building project differentiated from the traditional construction project, undertake the task of producing prefabricated components and transporting them to the site, and their production efficiency and benefits are also affected by whether or not they participate in the collaboration. As an important part of the prefabricated building project differentiated from traditional building projects, prefabricated component manufacturers undertake the task of producing prefabricated components and transporting them to the site, and their production efficiency and benefits are also affected by whether the construction unit participates in the synergy or not, as shown in Figure 2 and Figure 3.
Figure 2.
Relationships among the participants in the supply chain of prefabricated building projects.
Figure 3.
Decision-making flow chart of participating subjects.
(1) The main body of the game: Since China’s assembly building supply chain system is still not perfect, it is difficult to effectively promote supply chain synergy by relying only on the power of enterprises; therefore, the government must play its role by introducing relevant policies to encourage and guarantee the participation and collaboration of enterprises in the assembly building supply chain. The role played by the construction unit as the leading enterprise of the construction project, responsible for the investment, organization, and supervision of the whole process of the project, is crucial. In addition, the use of prefabricated components, as a link that distinguishes assembly buildings from traditional buildings, can realize an integrated and industrialized construction method, and the position of prefabricated component manufacturers in the supply chain participants is also irreplaceable. Therefore, there are three subjects in the main game of the game model of this study, respectively, the government (G), the construction unit (P), and prefabricated component manufacturers (F). The three parties in the game process achieve finite rationality through the application of several games to determine their benefit maximization strategy [34].
(2) Collaboration cost: In the process of supply chain collaboration, although not directly involved, the government needs to promote the synergy of other participants in supply chains by providing policy subsidies and by investing in monitoring and regulation of the cost of supply chain collaboration [35], which here, in this paper, is the cost of t1. To facilitate the calculation of the parameters of the model and the study of the game relationship between them, the cost generated by the construction unit and the prefabricated component manufacturer to reach synergistic cooperation is collectively referred to as c; if the government chooses the “subsidy” strategy, the policy subsidy obtained by the construction unit and the precast manufacturer is m; and then (c − m) is the cost invested by the construction unit and the precast factory. The cost-sharing coefficients of the construction unit and the precast plant are k. Then, kc or k(c − m) is the cost paid by the construction unit, and the cost paid by the precast plant is (1 − k)c or (1 − k)(c − m).
(3) Synergistic Benefit: Let us note that the income obtained by the government when it chooses the “subsidy” strategy is p1; if the government chooses the “no subsidy” strategy, the gain accounted for by the government is chosen as the “subsidy” strategy gain for the proportion b. The proportion of the government’s gain from choosing the “no subsidy” strategy to the government’s gain from choosing the “subsidy” strategy is b. In this case, the government’s gain from the “no subsidy” strategy is bp1 and the value of b is in the range of (0, 1). The initial gains of the construction unit and the precast component manufacturer before participating in the supply chain synergy are p2 and p3, respectively; in a dynamic market environment, the higher the level of synergy between supply chain partners, the more the two sides converge to establish strategic consensus and trust, which is more conducive to knowledge sharing, thus improving the success of enterprise innovation [36]. Supply chain partner synergy creates benefits for the entire supply chain, which is referred to as the incentive benefits of p in this paper. When the construction unit and precast component manufacturers participate in supply chain synergy, the co-innovation benefits gained by construction units are ap, and the co-innovation benefits gained by the precast component factories are (1 − a)p, where a, (1 − a) is the proportion factor of the construction unit and the precast component factory to share the proportion coefficient of the incentive benefits. When the precast component factory chooses to participate in supply chain collaborative production and the construction unit chooses to produce independently, the gain for the construction unit is d1; when the construction unit chooses to participate in collaborative production and the precast component factory chooses to produce independently, the gain for the precast component factory is d2. In addition, the precast component manufacturer, as a relatively weaker party among the two parties participating in the production in the present model, will receive financial support t2 from the government for participating actively in the collaborative production of the precast component factory.
(4) Loss: When the construction unit and the precast component manufacturer participate in supply chain synergy, in order to avoid default from either party, the precast component manufacturer needs to pay a certain amount of indemnity to the construction unit if the construction unit chooses to participate in supply chain synergy and the precast component manufacturer subsequently chooses not to carry out the synergy requirement; this indemnity is recorded as l1. When the precast component manufacturer chooses to carry out the supply chain synergy and the construction unit subsequently chooses not to carry out the synergy requirement, or when the precast manufacturer chooses to engage in supply chain collaboration and the construction unit chooses not to engage in supply chain collaboration, i.e., when the construction unit defaults on the contract, the construction unit is required to pay a certain amount of compensation to the precast manufacturer, which is recorded as l2.
The parameter settings are shown in Table 1.
Table 1.
The meaning of model parameter symbols.
2.2. Game Model Construction
According to evolutionary game theory, the game will automatically evolve towards the optimal strategy of the players [37]. The participants of the game have two different probabilistic strategies, which form a set of strategies. In the prefabricated building project supply chain collaboration process, the government can choose whether or not to provide policy subsidies for other participating subjects in the supply chain and whether or not to supervise and regulate the collaboration process between the subjects. The government can choose from the set of strategies (subsidy, no subsidy), which consists of the probability of government subsidy for (x) and the probability of government subsidy for (1 − x). The set of strategies that the construction unit can choose is (synergy, no synergy), where the probability that the construction unit chooses to participate in the supply chain synergy of the prefabricated building project is (y), and the probability that the construction unit chooses not to participate in the synergy is (1 − y). The set of strategies available to prefabricated component manufacturers is (synergistic, non-synergistic), the probability that a prefabricated component manufacturer chooses to participate in the supply chain synergy of a prefabricated building project is (z), and the probability that the manufacturer chooses not to participate in the synergy is (1 − z).
According to the model assumptions, the game payment matrix of the three parties involved in the supply chain collaboration of prefabricated building projects is constructed, as shown in Table 2. Where the cells from (three rows and three columns) to (six rows and four columns) denote the return for each participating subject under that strategy choice. The first row of these cells, Ai (i = 1, 2, …, 8) denotes the revenue function of the government, and the second row Bi (i = 1, 2, …, 8) denotes the revenue function of the construction unit, and the third row Ci (i = 1, 2, …, 8) denotes the revenue function of the precast manufacturer.
Table 2.
Payment matrix for the government, construction unit, and precast manufacturer game.
3. The Prefabricated Building Supply Chain Synergistic Game Analysis
3.1. Expected Return Function and Replicated Dynamic Equations
The evolutionary game path is analyzed by solving the set of joint replication dynamics equations (Equations (5), (9), and (13) below), and the role of the expected return function and the average expected return is to find the replication dynamics equations. The expected return function of a participating subject consists of the subject’s return under each strategy choice and the strategy choice probabilities of the remaining two subjects; the average expected return is the sum of the products of the subject’s expected returns under different strategies and the subject’s strategy choice probabilities. The replication dynamic equation reflects the rate of change in the probability of each participant’s choice of a particular strategy over time t, that is, the frequency with which that strategy is used by the participants in the game, and is represented by the differential equation as shown in Equation (1):
where is the proportion of the set of strategies chosen by that participant for that particular strategy, is the expected return of strategy i, and is the overall average expected return.
Expected return functions and replication dynamic equations for each participant are constructed based on Table 1.
The expected return function U11 in the case of government “subsidy”, the expected return function U12 in the case of “no subsidy”, and the average expected return U1 and the replicated dynamic equation Fx (x, y, z) are as follows:
The expected return function U21 for the construction unit choosing “synergy”, the expected return function U22 for “no synergy”, and the average expected return U2 and the replicated dynamic equation Fy (x, y, z) are as follows:
The precast manufacturer chooses the “collaborative” expected return function U31, the “non-collaborative” expected return function U32, the average expected return U3, and the replicated dynamic equation Fz (x, y, z) as follows:
3.2. Analysis of the Equilibrium Point of the Evolutionary Game Model
To test whether the strategy combinations formed by the two sides of the game are evolutionarily stable strategies (ESSs), Friedman [38] proposed a method of validation with the local stability of the Jacobi and payoff matrices and further analyzed the factors affecting the strategy choices made by the two parties.
The Jacobi matrix for this model is obtained from Equations (4), (8), and (12) as:
Let ; then, we obtained eight equilibrium points for this model: M1 (0, 0, 0), M2 (0, 0, 1), M3 (0, 1, 1), M4 (0, 1, 0), M5 (0, 1, 0), M6 (1, 1, 0), M7 (1, 0, 1), and M1 (1, 1, 1). In this study, M1 (0, 0, 0) is exemplified by substituting M1 into the Jacobi matrix (14) as:
It can be shown that the eigenvalues of the matrix (15) are , respectively, and after bringing each of the remaining equilibria into the Jacobi matrix (14) separately, their corresponding eigenvalues can be obtained as shown in Table 3.
Table 3.
Eigenvalues of the Jacobi matrix.
3.3. Equilibrium Stability Analysis
According to evolutionary game theory, the condition for satisfying the model’s ESS is that all eigenvalues of the Jacobi matrix at that point are nonpositive.
To analyze the sign of the corresponding eigenvalues of different ESSs, it may be assumed that the gains of the three subjects of the game when they do not engage in supply chain collaboration are smaller than the gains when they all participate in supply chain collaboration, , , . The stability of the equilibrium point is discussed below in three scenarios:
(1) Scenario 1: When and , the cost of collaboration invested by the precast manufacturer to participate in supply chain collaboration when the government subsidizes it is higher than the sum of the government’s financial support to the precast manufacturer and the compensation paid by the construction unit to the precast manufacturer when the construction unit does not participate in supply chain collaboration. Moreover, the cost of collaboration invested by the construction unit when the government subsidizes it is higher than the compensation paid by the precast manufacturer to the construction unit when the precast manufacturer does not participate in collaboration. In short, both the builder and the precast manufacturer have invested more in costs than in benefits, respectively. In this scenario, according to Table 4, the ESSs are M6 (1,0,0) and M8 (1,1,1), which correspond to negative eigenvalues (−), and the corresponding evolutionary strategies of the participating entities are (subsidize, no synergy, no synergy) and (subsidize, synergy, synergy).
Table 4.
Local stability of equilibrium points in different scenarios.
(2) Scenario 2: When or , the compensation required to be paid to the construction unit by the precast manufacturer for not participating in supply chain synergy is higher than the cost of synergy required to be invested by the construction unit when the government does not subsidize it, or the compensation required to be paid to the precast manufacturer by the construction unit for not participating in supply chain synergy is higher than the cost of synergy required to be invested by the precast manufacturer when the government does not subsidize it. In this scenario, according to Table 4, the ESS is M8 (1,1,1), whose corresponding eigenvalue is negative (−), and the corresponding evolution strategy of the participating entities is (subsidy, synergy, synergy).
(3) Scenario 3: When and , or when and , the sum of the government’s financial support to the precast manufacturer and the compensation paid to the precast manufacturer by the construction unit when the construction unit does not participate in supply chain collaboration is higher than the cost of collaboration that the precast manufacturer would have to invest in participating in supply chain collaboration if the government subsidized it. When the government does not provide subsidies, the cooperative cost required by the prefabricated component manufacturer is either (1) higher than the compensation that the construction unit needs to pay to the prefabricated component manufacturer when the construction unit does not participate in the supply chain coordination; or (2) the compensation paid by the precast manufacturer to the construction unit when the precast manufacturer does not participate in supply chain synergy is higher than the synergy cost that the construction unit would have to invest when the government subsidizes it. The synergy cost that the construction unit would have to invest when the government does not subsidize it is higher than the compensation that the precast manufacturer would have to pay to the construction unit when the precast manufacturer does not participate in supply chain synergy. In this scenario, according to Table 4, the ESS is M8 (1,1,1), which corresponds to a negative eigenvalue (−), and the corresponding evolution strategy of the participating entities is (subsidize, synergize, synergize).
4. Simulation Analysis
4.1. Basic Data
The equilibrium solution of the three-party evolutionary game is verified through simulation, and based on the previous game model, each relevant parameter is calibrated to further analyze the impact of the changes in the main factors on the simulation path. This study is based on the statistical data provided by a prefabricated building in Jiangsu Province and the prefabricated component manufacturer cooperating with it while combining with related research to initially calibrate each parameter variable.
Because it is difficult to solve the evolutionary game model analytically, academics generally “calibrate” the parameters of the simulation, and this study adopts two methods to assign values to the simulation parameters: one method for the data that can be directly observed, obtained through the actual project case, and a second method for the data that cannot be directly observed in which the scenario simulation method is used to make speculations. To avoid the influence of the initial participation probability of each participant on the evolution path, the initial participation probability of each participant is set to be 0.5. The following assignments are made for the initial values of the parameters involved in the payment matrix (units are standardized to millions of dollars): , . In the following evolution diagram, the purple color indicates the evolution path of the government, the green color indicates the evolution path of the construction unit, and the blue color indicates the evolution path of the precast component manufacturer. Based on the above initial value settings, this study uses Matlab 2017b software to set different initial values for the system, conducts dynamic simulation, and analyzes the simulation results of the evolution process of the selection strategies of the government, construction units, and precast component manufacturers, and explores the synergistic incentive benefits, benefit distribution coefficients, and government subsidy strengths of the participating entities.
4.2. Sensitivity Analysis
At present, the supply chain of China’s assembled building industry is at an early stage of development, and enterprises in the supply chain still need the government’s policy subsidy support to choose the “collaborative” strategy. Enterprises in the supply chain can not only promote the transformation and upgrading of the assembled building industry and develop in the direction of supply chain collaboration but can also respond to the government’s policy call and win a good social reputation by choosing the “collaborative” strategy. It can be seen that the strategy of government subsidy, construction unit collaboration, and prefabricated component manufacturer collaboration is more suitable for promoting the development of the industry, and the equilibrium point is M8 (1,1,1). Therefore, this study performs a sensitivity analysis on the parameters in M8 (1,1,1), where all other parameters are assumed to remain constant when analyzing one of them.
- (1)
- Government subsidies
Different subsidy strengths have different degrees of influence on the development of the assembly building supply chain, and the sensitivity analysis of the three parties in the assembly building supply chain to the government policy subsidy m is shown in Figure 4, with the value of m set to 4, 8, 12, and 16, respectively. When the policy subsidy is high, it is equivalent to the construction unit and prefabricated component manufacturer investing in the supply chain collaboration to pay less costs, and thus the two enterprises are inclined to choose the “collaborative” strategy. When the policy subsidy is low, the construction unit will choose the “not collaborative” strategy, and the prefabricated component manufacturer’s willingness to choose the “collaborative” strategy increases first. When the policy subsidy is low, the construction unit will choose the “no coordination” strategy, and the prefabricated component manufacturer’s willingness to choose the “synergy” strategy will first increase and then decrease, and then the manufacturer will eventually choose the “no synergy” strategy.
Figure 4.
Convergence of strategy evolution under different policy subsidies.
- (2)
- Synergistic incentive benefits
The sensitivity analysis of the synergistic incentive benefits is shown in Figure 5, where the values of P are set to 130, 160, 190, and 210. From the figure, it can be seen that the synergistic incentive benefits have almost no effect on the government’s strategy choice because the government does not participate in the distribution of the synergistic incentive benefits, whereas the sensitivity of the construction unit and precast manufacturer to the synergistic incentive benefits is larger. The smaller the synergistic incentive benefit, the higher the probability of “no synergy” for both firms; and the larger the synergistic incentive benefit, the faster the convergence of the two firms’ choices of “synergy”.
Figure 5.
Convergence of strategy evolution under different synergistic incentive benefits.
- (3)
- Liquidated damages
The sensitivity analysis of the construction unit’s liquidated damages l2 is shown in Figure 6a, with the values of l2 set to 4, 7, 10, and 13. The sensitivity analysis of the precast component manufacturer’s liquidated damages l1 is shown in Figure 6b, with the values of l1 set to 1, 2, 3, and 4. The sensitivities of each participant to l1 and l2 are the same; therefore, only the sensitivities of each participant to l2 are analyzed. From Figure 6a, it can be seen that the liquidated damages of the construction unit have almost no effect on the strategy choice of the government because the government is only responsible for supervising the operation of the enterprise, but it will not benefit from the liquidated damages of either party. With the increase in liquidated damages, the probability that the construction unit and the precast component manufacturer choose the “collaborative” strategy will increase. As the liquidated damages decrease, the rate of convergence between the construction unit and the precast manufacturer choosing the “no collaboration” strategy increases.
Figure 6.
Convergence of strategy evolution under different default damages. (a) Evolutionary outcome of liquidated damages for construction units. (b) Evolutionary outcome of liquidated damages for precast component manufacturers.
4.3. The Effect of Three-Party Initial Participation Probability on the Evolution of Supply Chain Synergistic Relationships
To study the connection between the participation willingness of each participating subject and the synergistic relationship, assuming that other parameters remain unchanged, the initial probabilities of the government, construction units, and precast component manufacturers were changed to obtain the evolution path of the three-party game under the change in different initial values of subsidies. It is assumed that the initial participation probabilities of the three parties involved in the main body are equal, i.e., x = y = z. Figure 7 shows the three sets of data screened out after many evolutionary simulations, and it can be observed that the thresholds of the initial participation probabilities of the three parties are all in the range of 0.45 to 0.48. It can be discussed in three cases:
Figure 7.
Evolutionary results for simultaneous changes in the three-party participation probabilities.
(1) When x, y, and z are smaller than the threshold, with the increase in evolution time, y and z gradually converge to 0, and x gradually converges to 1, that is, the values finally converge to the equilibrium point M6 (1,0,0). It can be seen from the image that the participation probability of the construction unit converges faster than that of the prefabricated component manufacturer.
(2) When x, y, and z are larger than this threshold, with the increase in evolution time, x, y, and z all gradually converge to 1, i.e., the values eventually converge to the equilibrium point M8 (1,1,1).
(3) When all three parties’ willingness to participate is at a medium level, the slope of the evolution curve of the government is larger, i.e., the probability of its subsidy rises faster, and the probability of prefabricated component producers’ synergistic probability also rises slowly, but the probability of construction unit’s synergistic probability is in a downward trend. Furthermore, when the probability of the participation of the government and prefabricated component producers is in a growing trend, the synergistic probability of the enterprises starts to rise, and in the case of the government subsidizing the supply chain probability of 1, the construction unit and prefabricated component manufacturer’s synergy probability grows substantially, and finally, both choose the synergistic strategy. When the three parties involved in the main body have the willingness to participate in the larger body, the government, the construction unit, and the prefabricated component manufacturer participate in rapid growth, and the convergence in the equilibrium point M8 (1, 1, 1).
The simulation results show that with the increase in the initial participation probability, x, y, z, the speed of convergence of x to 1 becomes slower, the speed of convergence of y, z to 1 accelerates, and the final participating subjects all tend to choose the synergistic strategy. Since the process of supply chain synergy of the assembled building project when the probability of participation in the supply chain synergy of the construction unit and prefabricated component producers are both relatively low, the government will quickly show its external dominant role by improving the supply chain collaboration operation mechanism while at the same time enacting appropriate policy subsidies to promote the collaboration between the construction unit and the prefabricated component manufacturer. At the same time, each participant should demonstrate a positive attitude of cooperation with their partners and enhance their competitiveness in many ways to achieve a higher level of collaboration, thus increasing the benefits of synergies.
4.4. The Impact of Government Subsidy Strength on the Evolution of Supply Chain Synergies
The role of the government as a supporter of supply chain collaboration is mainly in policy support and financial subsidies, where the policy support can promote the elimination of barriers to cooperation between construction units and prefabricated component producers when they engage in supply chain collaboration, resulting in a reduction in collaboration costs. Assuming that other parameters remain unchanged, the value of supply chain collaboration cost reduction m brought by government subsidies to the participants is adjusted to observe the simulation of its impact on the participation of construction units and prefabricated component producers in the supply chain collaboration strategy, as shown in Figure 8. From Figure 3, it can be observed that the threshold value of m is between 8 and 9, which can be discussed in two cases:
Figure 8.
Evolutionary results of synergistic cost changes. (a) Evolutionary results of changes in government subsidies. (b) Evolutionary results of cost allocation factor changes.
(1) When m is smaller than this threshold, y and z converge to 0 and eventually converge to the equilibrium point M6 (1,0,0); at this time, increasing m can make the convergence of y and z slow down, and the convergence of y is faster than that of z. When m is larger than this threshold, y and z converge to 1 and eventually converge to the equilibrium point M8 (1,1,1), at which time increasing m accelerates the rate of convergence of y and z, and the rate of convergence of z is still slower than that of y.
This means that the collaborative willingness of the construction unit and the precast component producer will gradually strengthen with the increase in m. The collaborative willingness of the construction unit will be slightly decreased in the short term when m is small, but with the increasing probability of the participation of the government and the precast component producer, the collaborative probability of the construction unit will also be gradually increased, and finally, both will choose the supply chain collaborative strategy. The simulation results show that the change in government subsidy m affects the final strategy choices of construction units and precast component producers, and the degree of influence on construction units is greater than that of precast component producers. This is because when the government subsidizes the supply chain collaboration participants, it will provide certain policy support for the participants, which makes the construction units and prefabricated component producers participate in the supply chain collaboration to reduce the cost of inputs, i.e., at this time, the benefits are higher, and the construction units and prefabricated component producers will choose to participate in collaborative innovation under the drive of mutual interests. However, as the provider of assembly buildings and the main participant in the supply chain, the construction unit has greater responsibility, needs to invest more in costs, and is more sensitive to the project interests, making the degree of influence of m on it more significant. Therefore, the government should keep abreast of the operation of the various participants and formulate a reasonable policy on subsidies.
(2) When k is smaller than its threshold, y and z converge to 1, and eventually converge to the equilibrium point M8 (1,1,1); the closer k is to 0.7, the faster the construction unit and the precast component producer converge to select the synergistic strategy over time. When k is larger than its threshold, y and z converge to 0 and eventually converge to the equilibrium point M6 (1,0,0), and the synergistic willingness of the precast component producer first rises and then falls rapidly in a short period.
This means that when the prefabricated component producer’s willingness to cooperate increases with the increase in k, its willingness to cooperate is lower than that of the construction unit when k = 0.5. This is because the prefabricated component production unit, as a relatively small-scale participant in the supply chain, is more sensitive to the share of the cooperative cost, i.e., its affordability is weaker than that of the construction unit under the same cooperative cost. Therefore, when the participants can obtain the same benefits with fewer inputs, their willingness to collaborate increases over time, and at the same time, the evolution time to reach the stable strategy of “collaboration” is shorter. When k is larger than the threshold, the construction unit will give up participating in the collaboration because of the higher cost of sharing the collaboration cost, and the precast component producer will choose the collaboration strategy because of the lower cost of collaboration at first but will eventually be affected by the construction unit strategy. The precast manufacturer will initially choose the synergy strategy because of the lower synergy cost, but eventually, influenced by the construction unit’s strategy choice, it will also choose the non-synergy strategy. Therefore, a reasonable cost allocation coefficient should be agreed upon before the two parties cooperate, to achieve a stable strategy of joint participation in the synergy and realize a win–win situation for all parties.
4.5. Impact of Incentive Benefit Allocation Coefficients on the Evolution of Synergistic Relationships
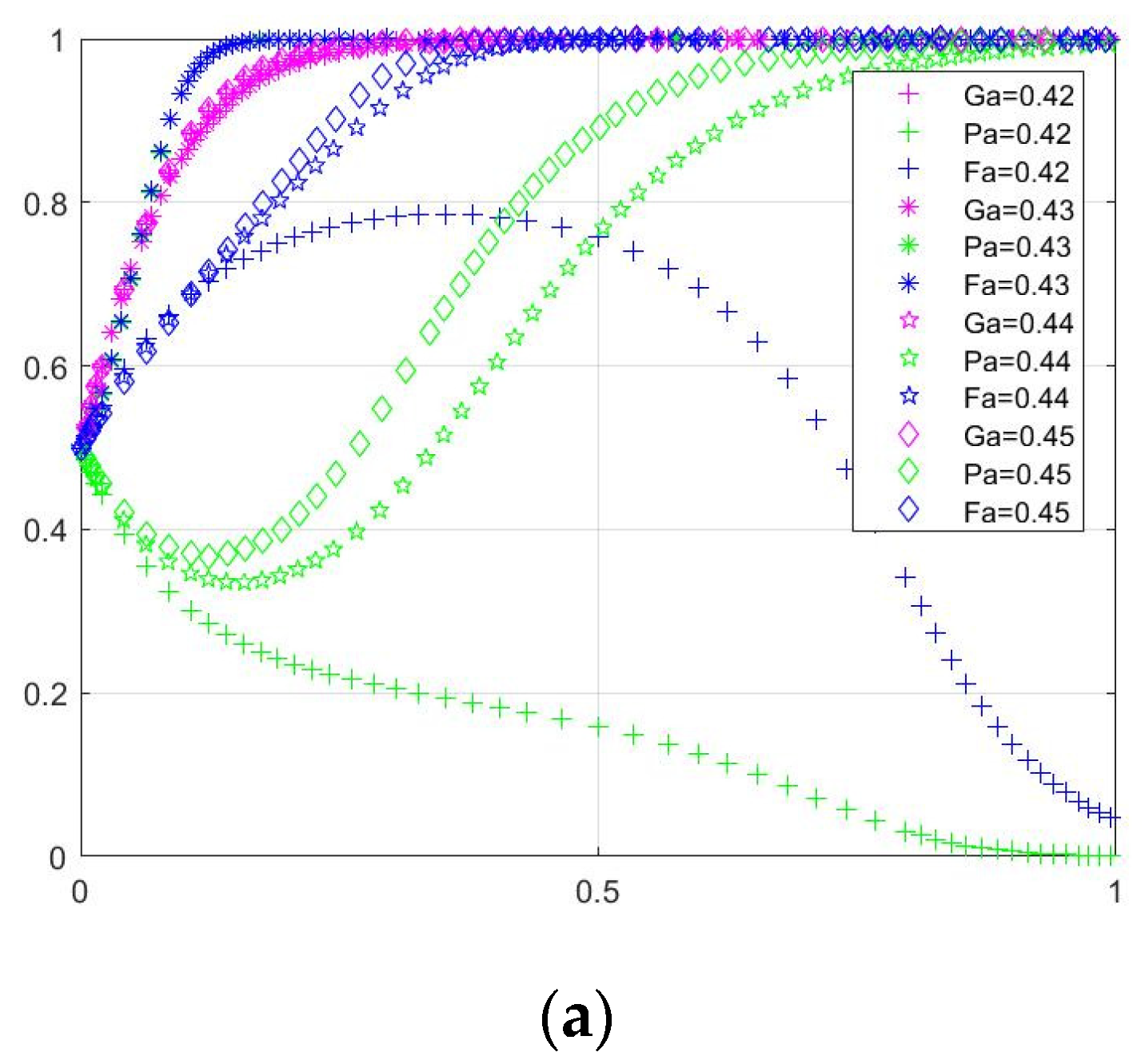
The synergistic benefits of the supply chain are reflected in three aspects: market synergistic benefits, management synergistic benefits, and operational synergistic benefits. Figure 9 shows the simulation of the impact of the change in the supply chain incentive benefit allocation coefficient on the synergistic operation strategy when the construction unit and prefabricated component manufacturer participate in the synergy under the condition of other parameters being unchanged. Assuming that the synergy cost is fixed and the synergy cost sharing coefficient is 0.5, there are two thresholds for the benefit allocation coefficient a, which range from 0.42 to 0.43 and 0.67 to 0.68, respectively, and can be discussed in three cases:

Figure 9.
Evolutionary results of changes in the incentive benefit distribution coefficient. (a) Evolutionary results of changes in the distribution coefficient of low benefits. (b) Evolutionary results of changes in the distribution coefficient of medium benefits. (c) Evolutionary results of changes in the distribution coefficient of high benefits.
(1) When the incentive benefit allocation coefficient a is less than the threshold value of 0.42 to 0.43, with the advancement of time, y, z will eventually converge to 0. However, because the precast manufacturer will receive the government’s financial support as part of the total benefit, coupled with the fact that at this time, the allocation coefficient of the precast manufacturer is greater than that of the construction unit, the synergy probability of the precast manufacturer will first rise slightly, and then fall as the synergy probability of the construction unit falls.
(2) When the incentive benefit distribution coefficient a is greater than the threshold value of 0.67 to 0.68, with the advancement of time, y, z will eventually converge to 0, and at this time, the larger a, the faster the rate of convergence, and ultimately both sides will choose not to participate in supply chain synergy.
(3) When the incentive benefit distribution coefficient a within 0.43~0.67, x, y, and z are converged to 1 with the advancement of time, and there is a threshold value of 0.5, the coefficient a is closer to 0.5 from either side, y, z converge to 1 faster and the participants in the supply chain tend to choose the stable strategy (subsidy, synergy, synergy) in a shorter time. When 0.43 < a < 0.5, the total benefit of the construction unit is lower than the prefabricated component producer; at this time, the total benefit of the construction unit first decreases and then increases. When 0.5 < a < 0.67, the total benefit of the construction unit is higher than the precast manufacturer; at this time, the two sides of the synergistic probability of the first decrease a small amount and then increase, and the speed of convergence of the construction unit is greater than the precast manufacturer.
The above simulation results show that both the construction unit and the precast component manufacturer are more sensitive to the distribution coefficient of the synergistic incentive benefits in their strategy choices, and it can be found that the influence of a on the construction unit is more prominent in the stage of 0.5 < a < 0.67 because the construction unit can obtain higher benefits from the supply chain coordination at this time. Thus, the construction unit can choose to carry out supply chain coordination in a short reaction time. In the process of collaboration between the two parties, the closer the coefficient a is to 0.5, the more equitable distribution of synergy incentive benefits can be achieved, and the stronger the willingness of the two parties to carry out synergy; otherwise, it is easy to lead to one party’s dissatisfaction with the distribution results and opt to not carry out supply chain synergy. Therefore, before cooperation, both parties should agree on a reasonable program for the distribution of synergistic benefits, and the government can monitor the enterprises to strengthen the effectiveness of program implementation.
4.6. The Impact of Compensation for Breach of Contract on the Evolution of Supply Chain Collaboration
The compensation for breach of contract is an important guarantee to regulate the behavior of both parties and is also conducive to preventing “free rider” behavior in the process of cooperation between the two parties to achieve effective cooperation. Figure 10 is a simulation of the impact of the change in the compensation l2 for breach of contract of the construction unit and the compensation l1 for breach of contract of the prefabricated component manufacturer on the cooperative strategy selection of the two parties, respectively, when other parameters remain unchanged. Assuming l1 and other parameters are unchanged, the threshold value of the compensation l2 for breach of contract by the construction unit is 5~6; assuming l2 and other parameters are unchanged, the threshold value of the compensation l1 for breach of contract by the prefabricated component manufacturer is 2~3, which can be divided into two cases.
Figure 10.
Evolutionary results of changes in compensation for breach of contract. (a) The evolution results from the change in compensation for breach of contract by the construction unit. (b) The evolution results from the change in the compensation of the precast component manufacturer.
(1) When l2 is less than the threshold value 5~6, y and z will converge to 0 eventually as time progresses; when l2 is greater than the threshold value 5~6, y and z will converge to 1 eventually; and with the increase in l2, y and z converge to 1, that is, the speed of selection coordination will accelerate;
(2) When l1 is less than threshold 2~3, y and z will eventually converge to 0 as time progresses; when l1 is greater than threshold 2~3, y and z will eventually converge to 1; and with the increase in l1, y and z converge to 1, that is, the speed of selection coordination will accelerate.
The above simulation results show that with the increase in compensation for breach of contract, both parties will choose to cooperate in a shorter time and finally reach a cooperative stability strategy. The prefabrication component manufacturer is more sensitive to compensation for breach of contract than the construction unit. However, with the increase in liquidated damages, the marginal effect decreases, and the excessive compensation for breach of contract may increase the distrust of the other party and weaken the willingness of the other party to cooperate. Therefore, the establishment of an appropriate compensation mechanism for breach of contract can help promote the formation of cooperation between the two parties.
5. Discussion
5.1. Research Contributions
This study makes up for the gap of fewer studies on the supply chain synergy benefits of assembly building projects. Based on the literature review and evolutionary game theory, it establishes the core stakeholder enterprises in the supply chain of assembly building projects as the game participants, which are the government, the construction unit, and the prefabricated component manufacturer. By referring to a large number of studies and combining practical project experience, the strategic payment function, evolutionary path, and evolutionary stabilization strategy of the three participants are obtained. Based on the project example data, using Matlab 2017b software for numerical analysis of the game model, obtaining the participation probability of the three parties involved in the main body requires participation in synergistic input costs, incentives, and benefit distribution coefficients as well as compensation for breach of contract and other key parameters of the law of change, as well as sensitivity to various factors; safeguarding participant interests and, at the same time, taking into account the interests of the partners as the principle; and exploring the three parties involved in the main body in terms of how to conduct the strategic response and carry out the corresponding analysis. For the managers of each participant, using the game model of this study can improve the decision-making efficiency of the supply chain nodes and provide a reference for improving the collaborative management of the supply chain in order to realize a win–win situation for all parties.
5.2. Limitations and Future Work
Due to the limited research on the synergistic benefits of the assembly building supply chain, this study is limited in selecting references to build the payment function, and many qualitative factors are not easy to quantify, and the factors considered in calculating the benefits are still not comprehensive enough. To improve the accuracy of the model, for future research we suggest designing more complex strategic payment functions that consider as many costs and benefits as possible in the supply chain operation process to enhance the practicality of the study. In addition, after the simulation parameter assignment simulation is finished, verifying the accuracy of the simulation results and the reasonableness of the assumptions made is also one of the challenges in our future research, which can be carried out by collecting historical data, comparing the simulation results with the actual results, or applying Monte Carlo simulation, which not only verifies the validity of the simulation results of the game model but also provides ideas for improving the model.
The game participants selected in this paper are the three core interest members in the assembly building supply chain, but the three-party game does not account for the many stakeholders in the supply chain; therefore, in future research, it is necessary to design a more complex four-party model or even more participants in the game model. In addition, to more accurately analyze the sensitivity of each participant in the supply chain to various external factors, more exogenous variables need to be added to improve the systematicity of the model, and Vensim software can also be introduced to dynamically simulate the parameters of the influencing factors to explore how the initial strategies and parameter changes in each participant will have an impact on the evolution paths of the strategies of each participant, thus further improving the practicability of the research results.
6. Conclusions
At present, there are fewer studies on the supply chain synergy benefits of assembly building projects. This study establishes a game model of the main three parties in the supply chain, considers the influence of various factors on the willingness of each participant to synergize, and analyzes the sensitivity degree of the strategy selection of the three parties to each factor; therefore, this study has more practical significance and practical value, and it provides ideas for the establishment of the supply chain synergy mechanism and the measurement and enhancement of the synergy benefits of the supply chain. Therefore, this study is more realistic and practical in value, and it provides ideas for the establishment of a supply chain synergy mechanism and the measurement and improvement in supply chain synergy benefits.
In the three-party evolutionary game model consisting of “government–construction unit–prefabricated component manufacturer” with limited rationality as the premise, the strategic choices of each party are affected by the strategic choices of other participating subjects, and they will constantly change their strategies according to the changes in revenue to adapt to the overall environmental changes. The construction units and prefabricated component manufacturers mainly make strategic choices based on their interests; therefore, when the government does not support the policy of the participating subjects, the collaborative development of the prefabricated building project supply chain will be limited, and the subjects in the prefabricated building industry will still apply the independent development mode. Based on the evolutionary game theory, this paper conducted an in-depth analysis of the behavior of each participating subject, and the following conclusions were drawn:
(1) Government: The initial stage of assembly building supply chain collaboration should consist of the implementation of a supply chain collaboration strategy to increase the subsidies of the participating bodies, such as area incentives, tax incentives, etc. The government’s policy support plays a role in facilitating collaboration between the construction units and prefabricated component producers in the operation of the synergistic cost of the inputs, reducing the resistance to collaboration between the participating bodies in order to develop the willingness to rapidly enhance synergy. The role of government shortens the three-party evolutionary game behavior time and facilitates the collaboration and development of the equilibrium strategy.
(2) Construction unit: As a party occupying the core position in the supply chain, the construction unit should actively improve the supply chain cooperation program, such as the distribution coefficient of synergistic incentives and benefits, liquidated damages, cost-sharing coefficients, and so on, which need to be agreed upon and clarified before the process of cooperation. Construction units should carefully consider the setup of the coefficient of distribution of the benefits of synergistic incentives because they need to pay the cost of market synergy, operational synergy, and management synergy costs more than the prefabricated component manufacturers. If the construction unit cannot obtain more benefits to ensure the operation of the enterprise, it will give up participation in supply chain synergy.
(3) Prefabricated component manufacturers: Before the cooperation of all parties, they should actively participate in the development of supply chain cooperation programs and formulate a reasonable and fair mechanism for the distribution of costs and compensation for breach of contract; this will improve the trust between the two sides and realize a win–win situation for the supply chain participants. Prefabricated component manufacturers, as a party with weaker cost-bearing capacity in the supply chain, should take the initiative to advocate for the rights and interests in this link in order to be taken seriously; otherwise, profits cannot be guaranteed, and prefabricated component manufacturers may choose to withdraw from the supply chain cooperation strategy.
Author Contributions
Conceptualization, W.L. and L.H.; methodology, W.L. and L.H.; software, L.H.; validation, L.H.; formal analysis, L.H.; investigation, W.L.; writing—original draft preparation, L.H.; writing—review and editing, W.L. and L.H. All authors have read and agreed to the published version of the manuscript.
Funding
This research was funded by the National Natural Science Foundation of China Regional Science Foundation Project (72261012), Jiangxi Provincial Social Science “14th Five-Year Plan” (2022) Fund Project (22GL16), and the Science and Technology Research Project of Jiangxi Provincial Department of Education in 2022 (GJJ2200648).
Data Availability Statement
Data can be obtained from the corresponding author upon reasonable request.
Conflicts of Interest
The authors declare no conflict of interest.
References
- Liu, Z.; Xing, Z.; Huang, C.; Du, X. Digital twin modeling method for construction process of Prefabricated building. J. Build. Struct. 2021, 42, 213–222. [Google Scholar]
- Meixia, L.; Weidong, L.; Yang, C.; Jun, H.; Fei, S. Comparative analysis of demand guidance policies for urban district level Prefabricated building industrial chain. Build. Struct. 2022, 52, 1–6. [Google Scholar]
- Du, J.; Sugumaran, V.; Gao, B. RFID and multi-agent based architecture for information sharing in prefabricated component supply chain. IEEE Access 2017, 5, 4132–4139. [Google Scholar]
- Ji, Y.; Qi, L.; Liu, Y.; Liu, X.; Liu, X.; Li, Y. Assessing and prioritising delay factors of prefabricated concrete building projects in China. Appl. Sci. 2018, 8, 2324. [Google Scholar]
- Xiaowen, W.; Cailiang, J.; Dongquan, S. Research on Performance Measurement of Prefabricated Residential Supply Chain Based on Network DEA. Constr. Econ. 2017, 38, 89–94. [Google Scholar]
- Shi, Y.; Tong, D.; Baizhou, L.; Shuo, G. Developing a conceptual partner selection framework: Digital green innovation management of prefabricated construction enterprises for sustainable urban development. Buildings 2022, 12, 721. [Google Scholar]
- Zhang, W.; Yu, C.; Zhong, R.Y. Stability measure for prefab balancing in prefabrication construction supply chain management. Comput. Ind. Eng. 2023, 183, 109518. [Google Scholar] [CrossRef]
- Amin, F.; Khan KI, A.; Ullah, F.; Alqurashi, M.; Alsulami, B.T. Key Adoption Factors for Collaborative Technologies and Barriers to Information Management in Construction Supply Chains: A System Dynamics Approach. Buildings 2022, 12, 766. [Google Scholar] [CrossRef]
- Tan, T.; Ke, C.; Xue, F.; Weisheng, L. Barriers to Building Information Modeling (BIM) implementation in China’s prefabricated construction: An interpretive structural modeling (ISM) approach. J. Clean. Prod. 2019, 219, 949–959. [Google Scholar] [CrossRef]
- Yao, P.; Liu, H. Research on behavior incentives of prefabricated building component manufacturers. Information 2021, 12, 284. [Google Scholar] [CrossRef]
- Xian, Z.; Yujie, L.; Yun, L.; Yongkui, L.; Jun, F. Formation of interorganizational relational behavior in megaprojects: Perspective of the extended theory of planned behavior. J. Manag. Eng. 2018, 34, 04017052. [Google Scholar]
- Wang, J.; Zhen, G.E.; Wang, X. Research on logistics collaboration strategy of assembly supply chain based on Supply-Hub. J. Beijing Jiaotong Univ. Soc. Sci. Ed. 2017, 16, 146–156. [Google Scholar]
- Zhou, T.; Zhou, Y.; Guo, Y. Multi-dimensional interpretation of assembly building industry chain and measurement of factors influencing its supply chain autonomy and controllability. J. Build. Sci. Eng. 2022, 39, 192–203. [Google Scholar]
- Fuqiang, Q.; Wei, Y.; Chuyi, C. Research on the construction of supply chain synergy performance evaluation index system for Prefabricated building. Constr. Econ. 2019, 40, 97–102. [Google Scholar]
- Huilin, C. Supply chain synergy mechanism and performance evaluation methods of construction enterprises. J. Wuhan Univ. Technol. Soc. Sci. Ed. 2020, 33, 122–127. [Google Scholar]
- Han, T.; Du, M.; Shang, Y.; Hou, Y. Research on the development strategy of assembly building under the trend of industrialization. J. Railw. Eng. 2020, 37, 106–112. [Google Scholar]
- Braglia, M.; Dallasega, P.; Marrazzini, L. Overall Construction Productivity: A new lean metric to identify construction losses and analyse their causes in Engineer-to-Order construction supply chains. Prod. Plan. Control 2022, 33, 925–942. [Google Scholar] [CrossRef]
- Qiaowen, W. Research on collaborative design of Prefabricated building based on BIM technology. J. Archit. 2017, s1, 18–21. [Google Scholar]
- Manman, X.; Li, Z.; Lemeng, Z.; Qianyu, N. Impact of blockchain technology applicability on assembly building supply chain performance-mediating role based on trust relationship. Constr. Econ. 2022, 43, 864–869. [Google Scholar]
- Shi, Q.; Wang, Q.; Guo, Z. Knowledge sharing in the construction supply chain: Collaborative innovation activities and BIM application on innovation performance. Eng. Constr. Archit. Manag. 2022, 29, 3439–3459. [Google Scholar] [CrossRef]
- Reza Hoseini, A.; Noori, S.; Ghannadpour, S.F. Integrated scheduling of suppliers and multi-project activities for green construction supply chains under uncertainty. Autom. Constr. 2021, 122, 103485. [Google Scholar] [CrossRef]
- Mukundan, R.; Thomas, S. Collaborative and open innovation: Supply chain planning as an effective source. Int. J. Indian Cult. Bus. Manag. 2016, 12, 128–140. [Google Scholar] [CrossRef]
- Zengke, Y.; Ruiguo, F.; Wei, H.; Shiying, S. Research on the cooperation strategy of core enterprises in the assembly construction industry chain under government intervention. China Manag. Sci. 2023, 1–11. [Google Scholar] [CrossRef]
- Xiaojuan, L.; Chen, W.; Alashwal, A.; Bora, S. Game analysis on prefabricated building evolution based on dynamic revenue risks in China. J. Clean. Prod. 2020, 267, 121730. [Google Scholar]
- Fan, K.; Hui, E.C.M. Evolutionary game theory analysis for understanding the decision-making mechanisms of governments and developers on green building incentives. Build. Environ. 2020, 179, 106972. [Google Scholar] [CrossRef]
- Wei, C.; Hailing, Q.; Mingde, T. Prefabricated building Engineering Resource Scheduling under Multidimensional Workspace. J. Civ. Eng. 2017, 50, 115–122. [Google Scholar]
- Chunyi, Y.; Feng, X.; Qidan, H.; Rongsheng, L.; Shilong, L. Incentive Mechanism of BIM Application in Prefabricated Buildings Based on Evolutionary Game Analysis. Buildings 2023, 13, 1162. [Google Scholar]
- Chi, Z.; Wenjie, Z.; Kun, H.; Ting, J. Research on benefit distribution of Prefabricated building green supply chain. Constr. Econ. 2023, 44, 79–87. [Google Scholar]
- Baiyun, Y.; Longfei, H.; Bingmei, G.; Yi, Z. The evolutionary game theoretic analysis for emission reduction and promotion in low-carbon supply chains. Appl. Sci. 2018, 8, 1965. [Google Scholar]
- Yixuan, T.; Guangbin, W.; Heng, L.; Dongping, C. Dynamics of collaborative networks between contractors and subcontractors in the construction industry: Evidence from national quality award projects in China. J. Constr. Eng. Manag. 2018, 144, 05018009. [Google Scholar]
- Shaktipada, B.; Sarla, P.; Biswajit, S. A sustainable game strategic supply chain model with multi-factor dependent demand and mark-up under revenue sharing contract. Complex Intell. Syst. 2022, 9, 2101–2128. [Google Scholar]
- Lingyuan, Z.; Qiang, D.; Li, Z.; Xiaoyan, W.; Hongyu, Z. Side-payment contracts for prefabricated construction supply chain coordination under just-in-time purchasing. J. Clean. Prod. 2022, 379, 134830. [Google Scholar]
- Du, Q.; Hao, T.; Huang, Y.; Yan, Y. Prefabrication decisions of the construction supply chain under government subsidies. Environ. Sci. Pollut. Res. Int. 2022, 29, 59127–59144. [Google Scholar] [CrossRef]
- Wang, D.; Gao, W. Model and Simulation of Benefit Distribution of Collaborative Cooperation in the Supply Chain of General Contracting Projects. Buildings 2023, 13, 1788. [Google Scholar] [CrossRef]
- Gang, L.; Hu, Y.; Mengyu, L. Low-Carbon Collaboration in the Supply Chain under Digital Transformation: An Evolutionary Game-Theoretic Analysis. Processes 2022, 10, 1958. [Google Scholar]
- Yanjie, S.; Qinghua, P. How Strategic Consensus among Supply Chain Enterprises Affects Technological Innovation Performance-The Role of Knowledge Sharing and Supply Chain Collaboration. Sci. Technol. Prog. Countermeas. 2021, 38, 125–134. [Google Scholar]
- Shaozhuang, L.; Yingjie, C.; Yanpeng, S.; Qian, L. Simulation study on incentive strategy of Prefabricated building based on evolutionary Game theory. Comput. Simul. 2022, 39, 298–303, 482. [Google Scholar]
- Friedman, D. Evolutionary games in economics. Econom. J. Econom. Soc. 1991, 59, 637–666. [Google Scholar] [CrossRef]
Disclaimer/Publisher’s Note: The statements, opinions and data contained in all publications are solely those of the individual author(s) and contributor(s) and not of MDPI and/or the editor(s). MDPI and/or the editor(s) disclaim responsibility for any injury to people or property resulting from any ideas, methods, instructions or products referred to in the content. |
© 2023 by the authors. Licensee MDPI, Basel, Switzerland. This article is an open access article distributed under the terms and conditions of the Creative Commons Attribution (CC BY) license (https://creativecommons.org/licenses/by/4.0/).










