Abstract
This study entailed the design and analysis of a 400 m class underwater glider operated by a bladder-type buoyancy engine. The underwater glider was designed for high-speed movement with a maximum velocity of 2 knots. The shape of the hull was designed to reduce water resistance using the Myring hull profile equation. The reliability was verified by performing simulations using resistance coefficients. The relationship between the control value of the ballast discharged from the buoyancy engine and the glider’s speed according to the path angle was analyzed. Further, the relationship between the optimal glide angle and the design control value of the ballast was derived, and the optimal glider speed was estimated accordingly. Based on the analysis results, a bladder-type buoyancy engine was developed, and the maximum speed of the tested underwater glider was measured via sea trials.
1. Introduction
In recent years, discovering marine resources has become a significant issue, as the world has utilized limited resources despite energy shortages [1]. The ocean contains vast resources, including minerals and energy, a substantial part of which has remained underutilized. As the sea has many life-threatening elements that are dangerous for humans, unmanned ocean exploration robots are essential for direct ocean exploration.
Autonomous underwater vehicles (AUVs) are well-known as representative unmanned marine exploration robots. AUVs are underwater robots used for military and academic research because they can autonomously function with minimal operator intervention [2]. AUVs collect information about the marine environment and perform essential missions such as surveillance and reconnaissance activities. This information can be used for exploration in the deep sea, which is difficult for humans to access. However, as the propeller generates propulsion, the hull would be heavy, and the volume would be significant. In addition, as the amount of energy stored for developing propulsion is limited by the capacity of the battery, it is disadvantageous for long-term exploration.
In contrast, underwater gliders (UGs) are unmanned marine exploration robots designed to travel between the ocean’s depths and the ocean’s surface, and their roles are not remarkably different from those of AUVs. Nevertheless, they are more efficient in energy consumption because they do not use separate propellants [3]. The propulsive force in UGs is generated by buoyancy control by fluid inflow and outflow and by moment change using internal mass movement and wing movement. Therefore, they are suitable for long-time and long-distance ocean exploration because the power requirement is relatively small [3,4].
Currently, UGs are widely used in oceanographic research [5,6,7]. UGs can navigate by changing the ballast water amount in the buoyancy engine periodically to have good merit of using minimal energy [8,9]. Several researchers have set up the dynamic models of UGs, including the mass shifter motion [10,11,12]. Motion stability and accuracy analysis were studied to study the performance of UGs [13,14]. Many optimization designs for UGs have been proposed in various fields, such as hydrodynamic shape [15], pressure hull [16], and control parameters [17]. A study also uses back-stepping technology and direct adaptive control for UG pitch control [18]. Multidisciplinary design optimization (MDO) was applied to realize multidisciplinary co-optimization in UG systems, a preliminary applied study of model-based systems engineering (MBSE) [19,20]. Recently, a new type of UG has been proposed that is less affected by ocean currents and increases cruising speed. [21].
Slocum, a representative torpedo-type UG, can cruise up to 1 knot. In this study, we designed a UG that can move at a maximum speed of 2 knots, faster than Slocum, in line with the characteristics of the Korean Peninsula. Through this, the limitations in driving the UG were offset, making it possible to operate the UG even in areas with fast ocean currents. In addition, the payload in the middle of the hull is designed by increasing weight and buoyancy compared to the existing underwater glider so that various marine observation sensors can be mounted. The buoyancy engine of the UG was designed based on the purpose of operation, and the relationship between the control value of the ballast emitted from the buoyancy engine and the speed of the UG was analyzed. In addition, the reliability of the design was verified by performing dynamic modeling. After designing and manufacturing the UG system, we confirmed the maximum UG speed via sea trials.
2. Analysis of UG
2.1. Hull Shape Design
The external design of the UG was designed using the Myring hull profile equations [22], which are empirical equations that can create an external shape that can minimize resistance from external fluids. The parameters used here are shown in Table 1. The bow and stern profile were designed using Equations (1) and (2):
Table 1.
Myring parameters for UG.
The parameters used for the design are shown in Figure 1. By adjusting the parameters, a suitable shape can be obtained.
Figure 1.
Myring equation parameters model.
2.2. Hull Resistance Analysis
Using computational fluid dynamics (CFD), the parameters related to the steering fluid force acting on the underwater glider were identified and used to estimate the kinetic performance of the UG at the design stage. The actual UG model designed for this purpose has a cylindrical shape with wings at a sweep angle of 20° attached to the oval regions at the fore and aft. The k–ω SST model was applied to analyze turbulence. The k–ω SST model is known to be a turbulence model developed for flow calculations with a broader range of vortices than the k–ε model and is widely used in the ship field, so it was applied as the k–ω SST model [15]. All the results mentioned in this study used the solver provided by STAR-CCM+.
The grid for performing the analysis was set up as shown in Figure 2. The inlet of the grid was set at a position equal to the length (L) of the hull from the bow, and the outlet part was set at a position 3 L from the stern. Both sides, top and bottom, were placed at 1.5 L from the hull. The coordinate system was set so that the bow direction of UG was a positive (+) on the x-axis, the right direction was a positive (+) on the y-axis, and the upward direction was a positive (+) on the z-axis. The distance from the surface of the UG to the first grid was determined using a value where y+ is approximately 20 mm or less. The reason for selecting about 20 mm or less is that the UG has a shape close to an elongated body, so the total resistance is. It was expected that friction resistance would account for the majority rather than pressure resistance, and this was to calculate the development of the boundary layer more precisely. Figure 3 shows the flow speed, pressure distribution, and streamline for the speed of the moving object viewed at regular intervals from near the rear of the UG when the line speed is 1.0 m/s. It can be seen that the larger the angle, the more a vortex occurs from the center of the moving UG to the back.
Figure 2.
Grid design for computational fluid analysis.
Figure 3.
Computational flow analysis results.
The flow velocity was analyzed with increasing speed from approximately 0.2 m/s to 1.1 m/s. The flow velocity distribution around the UG decreases in the nose and curvature parts. The rear antenna and rudder were installed vertically based on these analysis results. The results of the resistance calculation for each speed obtained through the analysis are shown in Figure 4.
Figure 4.
Relationship between speed and drag force.
A resistance of approximately 5.4 N acts when the UG moves straight at 1.0 m/s. The resistance increases nonlinearly with speed, and the average drag coefficient calculated according to the obtained drag result is 0.29. Considering that the drag coefficient of an AUV with a torpedo-type hull is approximately 0.3, the calculated values are similar to those previously reported [23].
2.3. Maximum Speed Analysis
The ratio of lift and drag generated by the angle of attack (AoA) of the UG during gliding affects the stability of the pitching posture of the UG. As shown in Figure 5, when the angle of attack changes, the resultant force of lift and drag changes accordingly, and the posture of the UG needs to be corrected to achieve equilibrium. In Figure 5, the UG’s bow direction is to the right.
Figure 5.
Action of lift and drag force.
As indicated by the CFD analysis results, Figure 6 summarizes the lift and drag coefficients according to the angle of attack. It was introduced in the performance optimization considering the part where the ratio of lift and drag is optimal during the glide of the UG. As shown in Figure 6, when the angle of attack of 0–10° is considered, the increase in lift is more pronounced than the increase in drag.
Figure 6.
Simulated lift and drag coefficients.
The path angle of the UG can be expressed as shown in Equation (3) based on the ratio of lift and drag:
Here, is drag force, is lift force, and is glide path angle. Figure 7 shows the relationship between the angle of attack and the glide angle based on the calculated coefficients.
Figure 7.
Relationship between the angle of attack and path angle.
The speed of the UG according to the maximum ballast control amount and the glide angle can be expressed by Equations (4)–(6) [11]:
where is glide speed, is depth rate, is horizontal speed, is excess mass, is gravity, is drag coefficient, is density, is angle of attack, and the calculation results are illustrated in Figure 8.
Figure 8.
Relationship between glider velocity and path angle.
In Equation (4), the angle at which the horizontal speed () becomes the maximum is the point at which is the maximum. As shown in Figure 9, the glide angle reaches its maximum at = 0.657 at 34°.
Figure 9.
Relationship between and path angle.
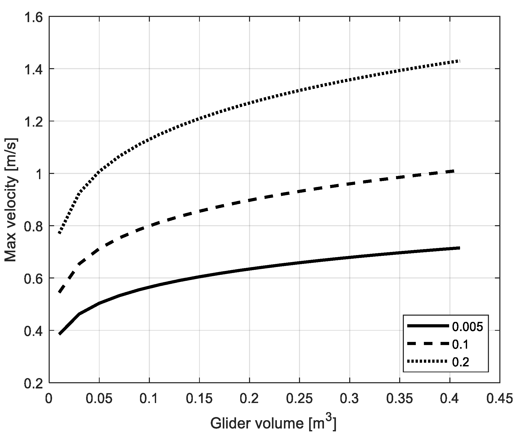
Equation (7) expresses the maximum speed of the UG as a function of the ballast control amount. The velocity relational expression based on the displacement and the maximum ballast control ratio () was derived, and the relation is illustrated in Figure 10.
Figure 10.
Relationship between maximum velocity and glider volume.
The design displacement in this study is 108 kg, the target speed is 2 knots (1.028 ), the ballast control ratio is 0.012, and the control amount is 0.6 kg. The maximum speed for the maximum ballast control amount is depicted in Figure 11.
Figure 11.
Relationship between maximum velocity and ballast water weight.
3. Mathematical Model of the UG
3.1. Structure of UG System
A photograph of the UG designed in this study is shown in Figure 12. The total weight of the UG is approximately 108 kg, the hull diameter is 0.28 m, and the overall length is 2.14 m. The hull was designed in a cylindrical shape to reduce water resistance. Inside, it consists of a buoyancy engine, a posture controller, a battery, and a control device. Digital compass, depth, and altimeter sensors related to the UG’s driving are installed, and a CTD is established as an observation sensor. The control module used ST’s MCU. Sensors deal with measurement errors by removing outliers. The weight of the buoyancy engine can be increased for high-speed sailing, thereby increasing the overall weight of the hull. The detailed specifications of the UG are shown in Table 2.
Figure 12.
Developed UG.
Table 2.
Specifications of UG.
3.2. Mathematical Model of UG
The hull was assumed to be a rigid body to define the mathematical model of UG. The hull-fixed coordinate system and the earth-fixed coordinate system were used, as shown in Figure 13. The right-hand coordinate system was used with the forward direction as positive x, the starboard direction as positive y, and the vertically downward direction as the positive z direction. The translational and rotational motions about the UG’s x, y, and z axes are expressed as six-degree-of-freedom (DOF) motions, and the coordinate axes and the motions are shown in Table 3.
Figure 13.
Coordinates frame of underwater glider.
Table 3.
6 DOF motion of the underwater vehicle.
The equation of motion of the UG uses the six-DOF motion equation of a general submersible, as shown in Equation (8) [24]. The equations of motion are expressed in terms of forces and moments because of a significant number of hydrodynamic coefficients. Generally, the fluid force coefficients included in the fluid force on the correct side use values obtained through constraint model tests such as CFD analysis, planar motion mechanism (PMM), or empirical equations.
Here, , , and , , represent the UG’s angular velocity of translational and rotational motion for the axes , , and , respectively. represents the mass moment of inertia of the UG for the axis of each subscript where , , and represent the location of the UG mass center. , , , , , and represent the external forces and moment working on the UG for each motion direction, such as thrust, buoyancy, gravity, and hydrodynamic force [25].
The external force term can be divided into the contributing forces, as shown in the following Equations (9) and (10). Hydrostatic, inertial fluid, damping fluid, and control fluid forces, as well as the respective moments result in:
The following fluid force coefficients were obtained using empirical formulas for the hull shape of the designed underwater glider [23]. Substituting each coefficient into an external force component, Equation (11) results in:
The center of mass (), mass moment of inertia (), and center of buoyancy () change in real time, owing to the movement of the internal mass and the buoyancy engine.
Due to the movement of the internal moving mass and the movement of the buoyancy engine, the center of mass, mass moment of inertia, and center of buoyancy and buoyancy force of the UG change in real time. Since the speed of the motion of the moving mass and the buoyancy engine is very slow, the dynamic effect of these two masses on the activity of the entire UG can be ignored. Therefore, in this study, the dynamic coupling between the movement of the UG and the movement of the internal moving mass and buoyancy engine was excluded, where each was considered as an independent movement, and a dynamic modeling of the entire system was performed, including only of the kinematic effects.
Here, is the total mass of the UG, is the mass of the external hull of the UG, is the mass of the outer hull of the UG and fixed components such as the internal control board and sensor module, excluding the inner variable mass, and represents the internal variable mass, respectively. , , and are the center of mass of the hull from the origin of the hull’s fixed coordinate system, the position vectors from the center of mass of the fixed mass, and the center of mass of the internal moving mass, respectively. In addition, the total mass moment of inertia of the underwater glider can be obtained as Equation (13):
Here, , , and represent the mass moment of inertia of the hull, the mass moment of inertia of the fixed mass, and the mass moment of inertia of the internal moving mass expressed at each center of mass, respectively. The operator ^ is an operator that converts a vector into a symmetric matrix to express the cross-product of vectors.
Here, represents the fixed volume of the submerged part of the UG at the stern side based on the y-z plane of the hull’s fixed coordinate system; represents the volume of the submerged part of the UG on the bow side, which changes in real time according to the motion of the piston. And represents the total volume of the UG submerged in water. is the position vector from the origin of the hull’s fixed coordinate system to the center of the volume of the front part and can be obtained through the position of the piston of the buoyancy engine that changes in real time. And represents the position vector of the rear part of the UG up to the center of the volume. By applying Equations (12)–(14) to the nonlinear six-DOF motion equation, it is possible to describe the underwater motion of the glider according to the internal moving mass and buoyancy control [26].
4. Experiment
Gliding Experiment
This section conducted experiments in actual waters to verify the movement speed derived from the design and modeling of the UG above. The test site was operated in deep waters of 1000 m or more near Ulleungdo, South Korea. As for the experimental method, the results were confirmed after circumnavigating the UG once at a target depth of 250 m. When the UG floated to the surface after circumnavigating, it received internal measurement data through RF communication. Figure 14 shows the UG performing a circumnavigation experiment.
Figure 14.
Gliding experiment of UG.
Figure 15 shows the water depth values obtained between UG circumnavigation experiments. Approximately 300 s after the start of the experiment, the UG started submerging in the direction of the sea floor due to the change in buoyancy. At about 800 s, the buoyancy engine started to turn upward, and the change in water depth became gentle after reaching the maximum depth of approximately 260 m at 1000 s. It takes about 1900 s to circumnavigate the depth of 260 m once.
Figure 15.
Depth result of UG while gliding.
Figure 16 shows that the UG controls the posture using the posture controller between circumnavigations. The previous speed analysis confirmed that the maximum moving speed was reached during circumnavigation at approximately 40°. Therefore, the pitch was controlled to ±40° during the circumnavigation. The target pitch was set to ±40° considering the AoA at the angle derived from Figure 9. When diving, it was well controlled to the target value of −40°, and when ascending, the pitch was not directed to +40° at the beginning and was controlled late. This seems to be a phenomenon that appears because the buoyancy control of the buoyancy engine takes some time.
Figure 16.
Pitch result of UG while gliding.
UG is sensitive to weight increase, and since it is a device that needs to minimize battery consumption, it cannot be equipped with a sensor such as DVL to measure speed. Therefore, the moving speed of the UG was calculated using a depth sensor and a digital compass, and the UG moving direction and sliding slope can be expressed as shown in Figure 17.
Figure 17.
Moving direction and sliding slope of underwater glider.
The calculation of the moving speed in the moving direction of the UG can be expressed as Equation (15) below:
Here, t is the current time, s is the sampling time, is the depth, and θ is the pitch value. To simplify the movement speed calculation, only the pitch was considered in the posture drawing, and the absolute value of the pitch within 10° was calculated by substituting 0°.
Figure 18 shows the movement speed of the UG calculated using Equation (15). It accelerated from approximately 300 s and achieved the maximum moving speed of 2.11 knots at 430 s. After maintaining about 1.8 knots until the upward transition, the movement speed increased again to approximately 1.5 knots after the movement speed fluctuated during the upward shift. At 1500 s, it floated to the water, and the movement speed converged to almost 0 knots. The moving speed drops to a negative number in the 800–1000 s section because the buoyancy engine’s buoyancy control was slow. Thus, the motion change could not be accelerated except for the part where the motion of the UG changes (up–down transition). The average moving speed is confirmed to be 1 knot or more. According to the experimental results, similar to the results analyzed in the design, it was confirmed that the maximum moving speed of the UG was 2 knots or more, and high-speed circumnavigation was possible.
Figure 18.
Velocity result of UG.
5. Conclusions
In this study, a UG capable of cruising at a maximum speed of 2 knots or more was designed and manufactured according to the characteristics of the Korean peninsula. The maximum movement speed of the UG was studied by comparing the mathematically calculated results with the actual sea area experimental results.
The steady-state motion in water was estimated by considering the lift force, and the buoyancy control capacity was calculated to obtain the target maximum moving speed of 2 knots. The submerged angle was calculated as 35°–40° from the circumnavigation trajectory to create the optimal motion state. In addition, the hull outline was designed using empirical formulas, and the reliability was secured by obtaining a resistance coefficient equivalent to that of the existing commercial underwater vehicle through CFD. Reliability was verified by simulating the behavior of the UG through dynamic modeling by constructing a six-degree-of-freedom equation of an underwater body.
The actual sea area experiment verified the UG’s movement speed. As a result of the experiment, it was confirmed that the maximum moving speed, 2.11 knots, was reached during submersion, and the average moving speed was over 1 knot, except for the section where the motion was changed. According to the experimental results, similar to the results analyzed in the design, it was confirmed that the maximum moving speed of the UG was 2 knots, and high-speed circumnavigation was possible.
In this study, the speed measurement sensor was not installed as a spatial constraint of the underwater glider. Therefore, a numerical calculation had to be performed to calculate the movement speed. In future studies, we will compare the results by preparing the speed measurement sensor.
Author Contributions
Conceptualization, D.-H.J. and H.-S.C.; methodology, S.-K.J.; software, D.-H.J. and S.-H.K.; validation, D.-H.J. and J.-W.H.; resources, J.-H.L. (Ji-Hyeong Lee); data curation, D.-H.J.; writing—original draft preparation, D.-H.J.; writing—review and editing, S.-K.J. and H.-S.C.; supervision, S.-K.J.; project administration, J.-H.L. (Jung-Han Lee); funding acquisition, J.-H.L. (Jung-Han Lee); All authors have read and agreed to the published version of the manuscript.
Funding
This research was supported by Unmanned Vehicles Core Technology Research and Development Program through the National Research Foundation of Korea (NRF) and Unmanned Vehicle Advanced Research Center (UVARC) funded by the Ministry of Science and ICT, the Republic of Korea (NRF-2020M3C1C1A02086324).
Institutional Review Board Statement
Not applicable.
Informed Consent Statement
Not applicable.
Data Availability Statement
Not applicable.
Conflicts of Interest
The authors declare no conflict of interest.
References
- Shin, D.H.; Bae, S.B.; Baek, W.K.; Joo, M.G. Way-point tracking of AUV using Fuzzy PD controller. Korea Inst. Inf. Technol. 2013, 11, 1–7. [Google Scholar] [CrossRef]
- Chen, X.; Bose, N.; Brito, M.; Khan, F.; Thanyamanta, B.; Zou, T. A review of risk analysis research for the operations of autonomous underwater vehicles. Reliab. Eng. Syst. Saf. 2021, 216, 108011. [Google Scholar] [CrossRef]
- Park, J.J. Underwater glider: Its applicability in the East/Japan Sea. Ocean. Polar Res. 2013, 35, 107–121. [Google Scholar] [CrossRef]
- Park, Y.-S.; Lee, S.-J.; Lee, Y.-K.; Jung, S.-K.; Jang, N.-D.; Lee, H.-W. Report of east sea crossing by underwater glider. Sea J. Korean Soc. Oceanogr. 2012, 17, 130–137. [Google Scholar] [CrossRef][Green Version]
- Arima, M.; Tonai, H.; Kosuga, Y. Underwater glider ‘SOARER’ for ocean environmental monitoring. In Proceedings of the 2013 IEEE International Underwater Technology Symposium (UT), Tokyo, Japan, 5–8 March 2013; pp. 1–5. [Google Scholar]
- Claus, B.; Bachmayer, R.; Cooney, L. Analysis and development of a buoyancy-pitch based depth control algorithm for a hybrid underwater glider. In Proceedings of the 2012 IEEE/OES Autonomous Underwater Vehicles (AUV), Southampton, UK, 24–27 September 2012; pp. 1–6. [Google Scholar]
- Ruiz, S.; Renault, L.; Garau, B.; Tintoré, J. Underwater glider observations and modeling of an abrupt mixing event in the upper ocean. Geophys. Res. Lett. 2012, 39, L01603. [Google Scholar] [CrossRef]
- Sherman, J.; Davis, R.E.; Owens, W.; Valdes, J. The autonomous underwater glider “Spray”. IEEE J. Ocean. Eng. 2001, 26, 437–446. [Google Scholar] [CrossRef]
- Yu, J.; Zhang, F.; Zhang, A.; Jin, W.; Tian, Y. Motion parameter optimization and sensor scheduling for the sea-wing underwater glider. IEEE J. Ocean. Eng. 2013, 38, 243–254. [Google Scholar] [CrossRef]
- Bhatta, P.; Leonard, N.E. Nonlinear gliding stability and control for vehicles with hydrodynamic forcing. Automatica 2008, 44, 1240–1250. [Google Scholar] [CrossRef]
- Graver, J.G.; Leonard, N.E. Underwater glider dynamics and control. In Proceedings of the 12th International Symposium on Unmanned Untethered Submersible Technology, Durham, UK, 27 August 2001; pp. 1710–1742. [Google Scholar]
- Isa, K.; Arshad, M.R. Dynamic modeling and characteristics estimation for USM underwater glider. In Proceedings of the 2011 IEEE Control and System Graduate Research Colloquium, Shah Alam, Malaysia, 27–28 June 2011; pp. 12–17. [Google Scholar]
- Niu, W.D.; Wang, S.X.; Wang, Y.H. Stability analysis of hybrid-driven underwater glider. China Ocean Eng. 2017, 31, 528–538. [Google Scholar] [CrossRef]
- Wu, H.; Niu, W.; Wang, S.; Yan, S. An analysis method and a compensation strategy of motion accuracy for UG considering uncertain current. Ocean Eng. 2021, 226, 108877. [Google Scholar] [CrossRef]
- Yang, M.; Wang, Y.H.; Yang, S.Q.; Zhang, L.H.; Deng, J.J. Shape optimization of underwater glider based on approximate model technology. Appl. Ocean Res. 2021, 110, 102580. [Google Scholar] [CrossRef]
- Yang, M.; Yang, S.; Wang, Y.; Liang, Y.; Wang, S.; Zhang, L. Optimization design of neutrally buoyant hull for underwater gliders. Ocean Eng. 2020, 209, 107512. [Google Scholar] [CrossRef]
- Wang, S.; Yang, M.; Wang, Y.; Yang, S.; Lan, S.; Zhang, X. Optimization of Flight Parameters for Petrel-L Underwater Glider. IEEE J. Ocean. Eng. 2020, 46, 817–828. [Google Scholar] [CrossRef]
- Nguyen, N.-D.; Choi, H.-S.; Jin, H.-S.; Huang, J.; Lee, J.-H. Robust Adaptive Depth Control of hybrid underwater glider in vertical plane. Adv. Technol. Innov. 2020, 5, 135–146. [Google Scholar] [CrossRef]
- Yang, M.; Wang, Y.; Liang, Y.; Wang, C. A new approach to system design optimization of underwater gliders. IEEE-ASME Trans. Mechatron. 2022, 27, 3494–3505. [Google Scholar] [CrossRef]
- Wang, S.; Yang, M.; Niu, W.; Wang, Y.; Yang, S.; Zhang, L.; Deng, J. Multidisciplinary Design Optimization of Underwater Glider for Improving Endurance. Struct. Multidiscip. Optim. 2021, 63, 2835–2851. [Google Scholar] [CrossRef]
- Huang, J.; Choi, H.-S.; Jung, D.-W.; Cho, H.-J.; Anh, P.H.N.; Zhang, R.; Park, J.-H.; Yun, C.-U. Simulation Study on a New Hybrid Autonomous Underwater Vehicle with Elevators. Proc. Eng. Technol. Innov. 2023, 25, 11–25. [Google Scholar] [CrossRef]
- Myring, D. A theoretical study of body drag in subcritical axisymmetric flow. Aeronaut. Q. 1976, 27, 186–194. [Google Scholar] [CrossRef]
- Prestero, T.J. Verification of a Six-Degree of Freedom Simulation Model for the REMUS Autonomous Underwater Vehicle. Ph.D. Thesis, Massachusetts Institute of Technology, Cambridge, MA, USA, 2001. [Google Scholar]
- Fossen, T.I. Guidance and Control of Ocean Vehicles; John Wiley & Sons Ltd.: Chichester, UK, 1994. [Google Scholar]
- Ji, D.-H.; Choi, H.-S.; Kang, J.-I.; Cho, H.-J.; Joo, M.-G.; Lee, J.-H. Design and control of hybrid underwater glider. Adv. Mech. Eng. 2019, 11, 1–9. [Google Scholar] [CrossRef]
- Kim, D.-H.; Lee, S.-S.; Choi, H.-S.; Kim, J.-Y.; Lee, S.-J.; Lee, Y.-K. Dynamic modeling and motion analysis of unmanned underwater gliders with mass shifter unit and buoyancy engine. J. Ocean. Eng. Technol. 2014, 28, 466–473. [Google Scholar] [CrossRef]
Disclaimer/Publisher’s Note: The statements, opinions and data contained in all publications are solely those of the individual author(s) and contributor(s) and not of MDPI and/or the editor(s). MDPI and/or the editor(s) disclaim responsibility for any injury to people or property resulting from any ideas, methods, instructions or products referred to in the content. |
© 2023 by the authors. Licensee MDPI, Basel, Switzerland. This article is an open access article distributed under the terms and conditions of the Creative Commons Attribution (CC BY) license (https://creativecommons.org/licenses/by/4.0/).

















