Abstract
This study demonstrates the impact of two sintering techniques on the fundamental properties of doped PZT-type ceramic materials (with Mn4+, Sb3+, Gd3+, and W6+), with the general chemical formula Pb(Zr0.49Ti0.51)0.94Mn0.021Sb0.016Gd0.012W0.012O3. The synthesis of ceramic powders was carried out through the calcination method. Two different methods were used in the final sintering process: (i) pressureless sintering (PS) and (ii) hot pressing (HP). The PZT-type ceramics were subjected to electrophysical measurements, encompassing various analyses such as X-ray diffraction (XRD), microstructure (scanning electron microscopy (SEM)), ferroelectric and dielectric properties, and DC electrical conductivity. The analysis of the crystal structure at room temperature showed that the material belongs to the perovskite structure from the tetragonal phase (P4mm space group) without foreign phases. Both sintering methods ensure obtaining the material with appropriate dielectric and ferroelectric parameters, and the tests carried out verified that the ceramic materials have a diverse range of parameters appropriate for use in micromechatronic and microelectronic applications. The obtained ceramic material has high permittivity values, low dielectric loss tangent values, and high resistance. At room temperature, the ceramic samples’ P-E hysteresis loops do not saturate at a field of 3.5 kV/mm (Pm maximum polarization is in the range from 12.24 to 13.47 μC/cm2). However, at higher temperatures, the P-E hysteresis loops become highly saturated, and, at 110 °C, the Pm maximum polarization values are in the range from 28.02 to 30.83 μC/cm2.
1. Introduction
Among the various functional ceramic materials, the PZT (Pb(ZrxTi1-xO3)) solid solution is of particular interest due to its excellent dielectric, ferroelectric, piezoelectric, and pyroelectric properties [1,2]. The unique properties of PZT-type materials have contributed to a wide range of applications of this material in various fields of interest. Its excellent ability to convert mechanical energy into electrical energy and vice versa allows the use of PZT-type materials in devices such as ultrasonic transducers and ultrasonic motors [3,4,5], piezoelectric and acoustic transducers [6,7], pressure sensors [8], accelerometers and actuators [9] in non-volatile memory systems and in systems described in [10,11,12,13,14,15]. In addition, PZT-type materials are used, among other things, in electro-optical devices [16], smart home devices, and medicine, automotive, and astronautic applications.
The set of physical parameters and its wide range of applications of PZT ceramic material mainly depends on the chemical composition and technological conditions of obtaining piezoelectric materials, which significantly influences its domain structure, i.e., the microstructure of the ceramic material. The quality and stability of the ceramic material’s domain structure in the piezoelectric transducer’s working temperature range are closely related to the final parameters of a given electronic device. Depending on titanium (Ti) and zirconium (Zr) content, the PZT solid solution has a tetragonal or rhombohedral structure, thanks to which a wide range of properties can be obtained. The most extreme functional parameter values of the PZT material occur in the morphotropic region, which is a mixture of the tetragonal and rhombohedral phases. Thus, the physical properties of the PZT materials depend on the zirconium/titanium content (Zr/Ti) and the technological process. However, above all, appropriate doping of the main composition compound is the most effective manner to improve its functional properties [17,18]. As a result, a multi-component solid solution of the PZT type is designed, which can be doped with acceptor (ferroelectric hard hardness) and donor (ferroelectric soft hardness) heterovalent admixtures and isovalent admixtures. Heterovalent admixtures introduced into the basic PZT composition are the source of space charge and the associated space charge field, affecting ceramics’ functional properties [19,20]. In contrast, the effects of isovalent doping PZT is determined, e.g., by the radii of the atoms, the electronic configuration of the outer electron shells, and the nature of the chemical bonds. The acceptor admixtures decrease the grain resistance and efficiently inhibit the domain motion due to the increase in oxygen vacancy, causing an increase in the ferroelectric hardness of the ferroelectric material. For example, acceptor dopants substituted in the A position of the Pb(ZrxTi1-xO3) compound are K+, Na+, whereas in the B position they are Fe2+, Fe3+, Co2+, Mn2+, Mn3+, Ni2+, Mg2+, Al3+, Ga3+, In3+, Cr3+, Sm3+, Pr3+, Tb3+, Dy3+, Eu3+, Se3+. In contrast, the donor admixtures increase the possibility of movement of other network ions under the influence of external influences (the mobility of domain walls increases) and increased bulk resistance due to the reduction in intrinsic oxygen vacancy [21]. For example, donor dopants substituted in the A position of the PZT compound are La3+, Nd3+, Bi3+, Sb3+, whereas in the B position they are Nb5+, W6+, Sb5+.
One of the crucial processes in producing PZT-type ceramics is the sintering process, which has a decisive influence on the material’s microstructure and mechanical and dielectric properties [22,23]. Traditional sintering methods for PZT-type ceramics include pressureless sintering and hot sintering [24,25]. Each of these methods has its distinctive advantages and disadvantages. Along with technological progress, new methods of sintering PZT-type ceramics were introduced, such as microwave sintering [26,27], laser sintering [28,29], isostatic sintering, hot pressing [30], and plasma spark sintering [31,32]. These advanced techniques allow for better control of the sintering process and also provide the ability to produce PZT-type ceramics with high microstructure uniformity and higher density. The selection of the appropriate method of sintering PZT ceramics and the optimization of sintering parameters are crucial to obtaining the desired quality and properties of the ceramic material [33,34,35,36,37,38,39,40]. In the technological process, depending on the application, PZT-type materials are obtained, e.g., in the bulk form (as ceramic material), thin or thick layers, gradient materials, and recently even use some 3D printing technologies such as selective laser sintering (SLS), binder jetting (BJT), stereo-lithography (SLA), and material extrusion (MEX) [41].
The main objective of this study was to investigate the effect of pressureless sintering (PS) and hot sintering (HP) on the basic properties of PZT-type ceramics. The PZT-type material with the general formula Pb(Zr0.49Ti0.51)0.94Mn0.021Sb0.016Gd0.012W0.012O3 (labeled as S) was selected for the tests. The basic composition of PZT (from the morphotropic region) was doped with Mn4+, Sb3+, Gd3+, and W6+. Scientific research conducted in the studies [42,43,44,45,46,47,48,49] showed that the admixtures, as mentioned above, improve the microstructure (by increasing grain homogeneity) and affect the basic ferroelectric properties, e.g., increasing the permittivity value or reducing the dielectric loss factor. In the PZT materials, the ferroelectric hard admixture (trivalent ions, e.g., antimony Sb3+, gadolinium Gd3+) causes an increase in coercive field Ec, mechanical quality factor Qm, and a decrease in the permittivity ε, dielectric loss, electromechanical coupling factor kp, and electrical resistivity. The soft admixtures (hexavalent ion, e.g., tungsten W6+) increase permittivity ε, electromechanical coupling factor kp, elastic susceptibility Sij, electrical resistivity, and reduce coercive field Ec and mechanical quality factor Qm. At the same time, the manganese Mn4+ admixture is aimed at increasing the uniformity of grains in the sample microstructure [50]. The exploration of the influence of two sintering methods on the final parameters of the obtained PZT-type ceramics was carried out in this study. Several tests and analyses were conducted, including X-ray examinations, analysis of the surface morphology of ceramic samples using a scanning electron microscope (SEM) and energy dispersion spectroscopy (EDS), studies of ferroelectric and dielectric properties, and DC electrical conductivity.
2. Experiment
The research material was a PbZrxTi1-xO3 solid solution from the morphotropic region doped with manganese, antimony, gadolinium, and tungsten ions. In this way, a multicomponent PZT material was obtained with the chemical formula: Pb(Zr0.49Ti0.51)0.94Mn0.021Sb0.016Gd0.012W0.012O3 (labeled as S). For the synthesis of S material, PbO (99.99%, POCH, Gliwice, Poland), ZrO2 (99.00%, Merck, Darmstadt, Germany), TiO2 (99.99%, Merck, Darmstadt, Germany), MnO2 (99.00%, Aldrich, St. Louis, MO, USA), Sb2O3 (99.995%, Aldrich, St. Louis, MO, USA), Gd2O3 (99.90%, Sigma-Aldrich, St. Louis, MO, USA), WO3 (99.90%, Sigma-Aldrich, St. Louis, MO, USA) were used. The PbO powder was weighed with a 5 wt.% allowance to compensate for lead evaporation in the sintering process. Starting powders, weighed with stoichiometry, were wet ground (in ethyl alcohol) in a planetary mill (Fritsch Pulverisette 6, Idar-Oberstein, Germany) for 24 h. In the next technological step, powders were dried and calcined at 850 °C/4 h. Powder S material was pressed into compacts with a diameter of 10 mm on a hydraulic press at a pressure of 300 MPa. In the technological process, sintering powders were performed using two following methods: (i) pressureless sintering (PS) under the following conditions: 1150 °C/2 h, heating rate 150 °C/h (labeled as S-PS), (ii) hot pressing (HP) under the following conditions: 1100 °C/1 h/10 MPa, heating rate 150 °C/h (labeled as S-HP). Then, the ceramic samples were polished (up to a diameter of 10 mm and a thickness of 1 mm), annealed at 650 °C for 15 min, and silver paste was applied to the surface of the ceramic samples.
The X-ray tests (at room temperature) were performed using an X’Pert Pro diffractometer (Panalytical, Eindhoven, the Netherlands) in steps-scan mode: 0.05° (4 s/step), angular range (2θ) from 10 to 80° (copper radiation CuKα, λ = 1.54178 Å). Scanning electron microscopy (SEM), JSM-7100F TTL LV (Jeol Ltd., Tokyo, Japan) was used to study the microstructure and chemical composition (analyzed by EDS) of the ceramic samples. The average grain size in the microstructure of the ceramic samples was estimated in the ImageJ program. The QuadTech 1920 Precision LCR meter (Maynard, MA, USA) was applied to measure the dielectric properties in the temperature range from 20 to 500 °C and the frequency range from 20 Hz to 1 MHz. The Keithley 6517B electrometer (Cleveland, OH, USA) measured the DC electric conductivity from 20 to 400 °C in the temperature range. The P-E tests were conducted using a Sawyer-Tower circuit and the high voltage amplifier Matsusada Inc. HEOPS-5B6 Precision (Kusatsu, Japan) at room temperature (5 Hz) and with a temperature range from 22 to 110 °C. Measurement data were obtained by using the NI USB-6002 digital card (National Instruments Corporation, Austin, TX, USA) and the LabVIEW program.
3. Results and Discussion
The analysis of the crystal structure of the Pb(Zr0.49Ti0.51)0.94Mn0.021Sb0.016Gd0.012W0.012O3 (S) material powder at room temperature (Figure 1) shows the presence of all peaks belonging to the perovskite structure from the tetragonal phase (P4mm space group). The X-ray tests also confirm that the obtained S material is single-phase, without foreign phases, e.g., a pyrochlore phase. The X-ray spectrum was matched to pattern JCPDS #04-006-3340. Microstructural SEM images of ceramic samples obtained by using the PS and HP methods are shown in Figure 2a,c. The tested materials are characterized by a microstructure consisting of densely packed grains with clearly visible edges. The microstructure of the analyzed ceramic samples stands out with high grain size uniformity, but the average grain size differs depending on the sintering technology used. Scanning microscopy analysis revealed that cracking occurs along grain boundaries and through the grain. In the S-PS sample, cracking along the grain boundary prevails, while cracking through the grain predominates in the S-HP ceramic sample. It proves the high mechanical strength of the grains’ interior and the inter-grain boundaries in the tested ceramic samples.
Figure 1.
X-ray diffraction patterns of the PZT-type powder (S).
Figure 2.
Microstructure SEM images and grain size distribution for the S-PS (a,b) and S-HP (c,d) ceramic samples.
The largest grains are observed in the sample obtained with the pressureless sintering method (S-PS), where the average grain size is d = 4.56 μm due to the higher process temperature and its longer duration. On the other hand, smaller grains can be observed in the sample obtained with the hot-pressing method (S-HP), where the average grain size is d = 1.92 μm (Figure 2b,d). Figure 3 shows the results of the qualitative EDS analysis, which confirmed the chemical composition of the S-PS and S-HP materials and excluded the participation of foreign elements and other impurities. The EDS analysis was carried out on five randomly selected micro-areas of the samples and the analysis confirmed the stoichiometric assumptions, which proves the correct selection of technological conditions. Slight percentage differences are within the limits of measurement accuracy.
Figure 3.
The EDS analysis of the S-PS (a) and S-HP (b) ceramic samples.
Figure 4a,c shows graphs ε(T) for the S-PS and S-HP ceramic samples. The temperature dependencies of the permittivity ε(T) show a similar character but with some differences. At room temperature, the permittivity values (1 kHz) are 959 for S-PS and 1245 for S-HP. In the case of the S-PS ceramic sample, an acute ferroelectric–paraelectric phase transition occurs with a high maximum permittivity value (εm = 14,018 at 1 kHz). On the other hand, in the sample obtained with the HP method, the phase transition is blurring, and a decrease in the maximum permittivity value (εm = 10,516 at 1 kHz) is observed. No frequency dispersion is observed in both ceramic samples. Figure 4b,d depicted the temperature changes in the dielectric loss factor tanδ(T). For both samples, low values of the tanδ are observed within the measurement range. The tanδ dielectric loss factor value at room temperature is 0.004 and 0.011 for S-PS and S-HP, respectively. For the temperature phase transition Tm, the tanδ value is 0.095 for S-PS and 0.191 for S-HP.
Figure 4.
Temperature dependencies of the permittivity (a,c) and dielectric loss factor tanδ (b,d) for the S-PS and S-HP samples.
The dielectric properties depend on the ferroelectric materials’ individual (internal) properties, i.e., grain size, purity, and porosity, and external factors, such as applied force, temperature, humidity, and an external electric field [51]. Figure 5 presents the cumulative results of permittivity ε(T) and tanδ(T) as a function of temperature (for 1 kHz) for the S-PS and S-HP materials. Using pressureless sintering and hot sintering makes it possible to obtain PZT-type materials with a low dielectric loss factor and high permittivity values. The technological conditions applied in the non-pressure sintering method allowed the obtaining of ceramic samples with higher permittivity values (with a low degree of blur of the phase transition: the phase transition takes place in a narrow temperature range), along with lower values of the dielectric loss factor. On the other hand, hot sintering (HP) carried out under the assumed technological conditions reduced the value of the maximum permittivity (εm), increased the blurring of the phase transition (phase transition occurs in a broader range of temperatures), and shifted the temperature phase transition Tm towards higher temperatures (by 33 °C). The grain size and microstructure of the ceramic sample influence the permittivity values. This phenomenon in ferroelectric materials was investigated in several studies [52,53], which showed a decrease in permittivity with a decrease in the average grain size in the microstructure. Table 1 lists the characteristic dielectric parameters for the tested ceramic samples.
Figure 5.
Temperature dependences of the permittivity (a) and dielectric loss factor (b) for the S-PS and S-HP samples measured at 1 kHz.
Table 1.
Electrophysical properties of the PZT-type ceramics.
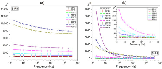
Figure 6 depicts the frequency dependences of ε′ real and ε″ imaginary parts of the dielectric constant for the S-PS and S-HP ceramic samples measured at selected temperatures from the range of 25 to 400 °C. For both ceramic samples, ε′ (permittivity) and ε″ (dielectric loss) parameters show high values at lower frequencies, and then their values decrease as the frequency increases. In the case of the ε′, this phenomenon is described by the Maxwell–Wager two-layer model for space charge [54], according to which dielectric materials consist of good conducting grains and separated grain boundaries (with poor conductivity). After applying the electric field, the electrons can easily move from inside the grains and accumulate on their boundaries, contributing to the growth of the polarization (dielectric constant increase) [55,56]. At higher frequencies, electrons from inside the grains change their migration direction much more often, making it difficult to reach the inter-grain boundaries. This results in lower polarization and the dielectric constant of the material decreases [56,57].

Figure 6.
Frequency dependencies of real ε′ (a,c) and imaginary ε″ (b,d) parts of the dielectric constant at different temperatures for the S-PS and S-HP ceramic samples.
The behavior of the dielectric loss ε″ (Figure 6b,d) is similar to ε′, but the decline of ε″ with increasing frequency is more rapid, which is described in Koop’s double-layer model [57]. Due to the higher resistance of grain boundaries in low frequency, significantly more energy is required for the motion of charge carriers, resulting in higher dielectric loss values. By contrast, in high frequency, due to the lower resistance grain boundaries, less energy is required for the motion of charge carriers, which reduces the dielectric loss values [57].
Temperature tests of the P-E hysteresis loop of the S-PS and S-HP ceramic samples were recorded at 22–110 °C (Figure 7a,b). The values of all parameters describing the hysteresis loop, i.e., the coercive field (Ec), residual polarization (Pr), and maximum polarization (Pm), increase with increasing temperature in the whole measuring range. In the 50–110 °C temperature range, the S-PS ceramic sample shows the best saturation of the hysteresis loop compared to the sample obtained with hot pressing (S-HP). The ferroelectric parameters Pm, Pr, and Ec (Figure 7c) are similar for both ceramic samples. However, above 50 °C, the S-PS ceramic sample has slightly higher values of the set parameters mentioned above, and the P-E hysteresis loops show high saturation. Figure 7d shows the hysteresis loops of the obtained ceramic materials at room temperature (with low Pm maximum polarization of 12.24 μC/cm2 for S-PS and 13.47 μC/cm2 for S-HP). These P-E loops are typical for dielectric materials with losses and medium ferroelectric hardness. The saturation of the ferroelectric hysteresis loops P-E is achieved only by increasing the temperature. At the same time, the maximum polarization increases almost threefold, and, at the temperature of 110 °C, Pm is 28.02 μC/cm2 for S-HP and 30.83 μC/cm2 for S-PS. The maximum polarization Pm, residual polarization Pr, and coercive field Ec parameter values of the tested ceramic samples are listed in Table 1.

Figure 7.
Temperature P-E hysteresis loops (5 Hz) for S-PS (a), S-HP (b), temperature dependencies of the Pm, Pr, and Ec (c), and hysteresis P-E loops at room temperature (5 Hz) (d).
The S-PS and S-HP samples at room temperature show high ρDC resistivity values of 1.20 × 109 Ωm and 1.51 × 109 Ωm, accordingly. Figure 8 shows the relationship lnσDC(1000/T) for the analyzed ceramic samples. During the heating cycle, the DC conductivity σDC values of the ceramic samples systematically increase, which is related to the increased drift mobility of thermally activated charge carriers [57]. Changes in the slope occurring in the lnσDC(1000/T) diagram are caused by a change like the electrical conductivity of the ceramic samples. The DC conductivity in ferroelectrics is predominantly associated with oxygen vacancies, cation vacancies, and defect dipolar effects [58]. At low temperatures, the dominant factor is the ionization process, for which electrons and holes are responsible. In turn, the mobility of extrinsic defects at higher temperatures is responsible for electrical conductivity, which increases at higher temperatures [59]. The activation energy (Ea) values were calculated according to the Arrhenius law (1) and from the slope of the lnσDC(1000/T) plot.
where: σ0—pre-exponential factor, kB—Boltzmann constant, Ea—activation energy, T—absolute temperature [60]. The calculated activation energy (Ea) values are shown in Figure 8 and Table 1. The calculated Ea values for the ceramic samples indicate mainly electric conductivity dominated by oxygen vacancies [58], which may be related to the loss of oxygen during the sintering process at high temperatures.
Figure 8.
The lnσDC(1000/T) relationship for S-PS and S-HP.
4. Conclusions
The paper analyzed the influence of two sintering methods, pressureless sintering (PS) and hot-pressing sintering (HP), on the electrophysical properties of the Pb(Zr0.49Ti0.51)0.94Mn0.021Sb0.016Gd0.012W0.012O3 material. The X-ray analysis confirmed that the PZT-type material has a tetragonal structure with a P4mm space group at room temperature. The microstructure of the ceramic samples is characterized by grains with a high packing density, and the average grain size varies depending on the sintering technology used. Large grains are present in the sample obtained by using the pressureless sintering method, while the HP method allows for obtaining fine-grained ceramic material.
The dielectric loss factor and permittivity tests showed that both sintering methods allow obtaining a PZT-type material characterized by a high permittivity value and low dielectric loss factor value (in the measuring interval). At room temperature, the permittivity values for ceramic samples are 959 and 1245 for S-PS and S-HP, respectively. The dielectric loss factor value (at room temperature) is 0.004 for S-PS and 0.011 for S-HP. It was found that hot pressing has the effect of (i) increasing the blur of the ferroelectric–paraelectric phase transition (compared to the ceramic sample obtained by using the PS method), (ii) increasing the dielectric loss factor, and (iii) shifting the temperature Tm (by 33 °C) towards higher temperatures. Both ceramic samples have a high resistivity ρDC at room temperature (values from 1.20 × 109 Ωm to 1.51 × 109 Ωm). The analyzed ceramic samples show middle ferroelectric hardness. Individual parameters describing the hysteresis loop (Pr, Pm, and Ec) assume similar values for both ceramic samples. However, the S-PS ceramic sample shows a better saturated hysteresis loop in the heating cycle.
The obtained ceramic materials show favorable dielectric and ferroelectric parameters, adequate for micromechatronic and microelectronic applications.
Author Contributions
Conceptualization, P.N. and D.B.; methodology, P.N. and D.B.; investigation, P.N., D.B. and G.D.; writing—original draft, P.N.; writing—review and editing, P.N. and D.B.; visualization, P.N. and D.B. All authors have read and agreed to the published version of the manuscript.
Funding
The present paper was financed in part by the Polish Ministry of Education and Science within statutory activity.
Institutional Review Board Statement
Not applicable.
Informed Consent Statement
Not applicable.
Data Availability Statement
Data are contained within the article.
Acknowledgments
The authors would like to thank Zbigniew Kowalewski and Przemysław Ranachowski (Institute of Fundamental Technological Research Polish Academy of Sciences in Warsaw) for assistance in planning and optimizing the technological process of functional materials.
Conflicts of Interest
The authors declare no conflict of interest.
References
- Jaffe, B.; Cook, W.R.; Jaffe, H. Piezoelectric Ceramics; Academic Press: New York, NY, USA, 1971. [Google Scholar]
- Panda, P.K.; Sahoo, B. PZT to lead free piezo ceramics: A review. Ferroelectrics 2015, 474, 128–143. [Google Scholar] [CrossRef]
- Jiang, X.-J.; Liu, M.-W.; Shi, F.-F.; Wang, W.; Wu, X.-M.; Chen, J.-Y. A microscale linear phased-array ultrasonic transducer based on PZT ceramics. Sensors 2019, 19, 1244. [Google Scholar] [CrossRef] [PubMed]
- Hirsch, S.; Doerner, S.; Schimpf, S.; Lucklum, R.; Hauptmann, P.; Schmidt, B. A new device with PZT ultrasonic transducers in MEMS technology. J. Physics Conf. Ser. 2006, 34, 475–480. [Google Scholar] [CrossRef]
- Liu, H.; Geng, J.; Zhu, Q.; Zhang, L.; Wang, F.; Chen, T.; Sum, L. Flexible ultrasonic transducer array with bulk PZT for adjuvant treatment of bone injury. Sensors 2019, 20, 86. [Google Scholar] [CrossRef] [PubMed]
- Wang, Z.; Wang, C.; Liu, L. Design and analysis of a PZT-based micromachined acoustic sensor with increased sensitivity. IEEE Trans. Ultrason. Ferroelectr. Freq. Control 2005, 52, 1840–1850. [Google Scholar] [CrossRef] [PubMed]
- Polcawich, R.G.; Scanlon, M.; Pulskamp, J.; Clarkson, J.; Conrad, J.; Washington, D.; Piekarz, R.; Trolier-McKinstry, S.; Dubey, M. Design and fabrication of a lead zirconate titanate (PZT) thin film acoustic sensor. Integr. Ferroelectr. 2003, 54, 595–606. [Google Scholar] [CrossRef]
- Liang, R.; Wang, Q.M. High sensitivity piezoelectric sensors using flexible PZT thick-film for shock tube pressure testing. Sens. Actuat. A-Phys. 2015, 235, 317–327. [Google Scholar] [CrossRef]
- Wang, L.P.; Wolf, R.A., Jr.; Wang, Y.; Deng, K.; Zou, L.; Davis, R.J.; Troiler-McKinstry, S. Design, fabrication, and measurement of high-sensitivity piezoelectric microelectromechanical systems accelerometers. J. Microelectromech. Syst. 2003, 12, 433–439. [Google Scholar] [CrossRef]
- Ghoneim, M.T.; Zidan, M.Y.; Alnassar, M.Y.; Hanna, A.N.; Kosel, J.; Salama, K.N.; Hussain, M.M. Thin PZT-based ferroelectric capacitors on flexible silicon for nonvolatile memory applications. Adv. Electron. Mater. 2015, 1, 1500045. [Google Scholar] [CrossRef]
- Niwa, K.; Kotaka, Y.; Tomotani, M.; Ashida, H.; Goto, Y.; Otani, S. Interface between electrode and PZT memory device. Acta Mater. 2000, 48, 4755–4762. [Google Scholar] [CrossRef]
- Tressler, J.F.; Alkoy, S.; Newnham, R.E. Piezoelectric sensors and sensor materials. J. Electroceram. 1998, 2, 257–272. [Google Scholar] [CrossRef]
- Tsurumi, T.; Sasaki, T.; Kakemoto, H.; Harigai, T.; Wada, S. Domain Contribution to Direct and Converse Piezoelectric Effects of PZT Ceramics. Jpn. J. Appl. Phys. 2004, 43, 7618–7622. [Google Scholar] [CrossRef]
- Kungl, H.; Theissmann, R.; Knapp, M.; Baehtz, C.; Fuess, H.; Wagner, S.; Fett, T.; Hoffmann, M.J. Estimation of strain from piezoelectric effect and domain switching in morphotropic PZT by combined analysis of macroscopic strain measurements and synchrotron X-ray data. Acta Mater. 2007, 55, 1849–1861. [Google Scholar] [CrossRef]
- Peng, G.G.; Zheng, D.Y.; Cheng, C.; Zhang, J.; Zhang, H. Effect of rare-earth addition on morphotropic phase boundary and relaxation behavior of the PNN-PZT ceramics. J. Alloys Compd. 2017, 693, 1250–1256. [Google Scholar] [CrossRef]
- Zhu, M.M.; Du, Z.H.; Ma, J. Influence of crystal phase and transparent substrates on electro-optic properties of lead zirconate titanate films. J. Appl. Phys. 2010, 108, 113119. [Google Scholar] [CrossRef]
- Karapuzha, A.S.; James, N.K.; Khanbareh, H.; van der Zwaag, S.; Groen, W.A. Structure, dielectric and piezoelectric properties of donor doped PZT ceramics across the phase diagram. Ferroelectrics 2016, 504, 160–171. [Google Scholar] [CrossRef]
- Khacheba, M.; Abdessalem, N.; Hamdi, A.; Khemakhem, H. Effect of acceptor and donor dopants (Na, Y) on the microstructure and dielectric characteristics of high Curie point PZT-modified ceramics. J. Mater. Sci. Mater. Electron. 2020, 31, 61–372. [Google Scholar] [CrossRef]
- Texier, N.; Courtois, C.; Traianidis, M.; Leriche, A. Powder process influence on the characteristics of Mn, W, Sb, Ni-doped PZT. J. Eur. Ceram. Soc. 2001, 21, 1499–1502. [Google Scholar] [CrossRef]
- Uchino, K. Ferroelectric Devices, 2nd ed.; CRC Press: Boca Raton, FL, USA; Taylor and Francis: Boca Raton, FL, USA, 2010. [Google Scholar]
- Yousefi, F.; Esfahani, H. Role of Nb5+-Nd3+ co-dopant in morphotropic boundary of electrospun PZT nanoneedles: Study on dielectric and piezoelectric sensitivity. J. Alloys Compd. 2023, 966, 171531. [Google Scholar] [CrossRef]
- Kingon, A.I.; Clark, J.B. Sintering of PZT ceramics: I, atmosphere control. J. Am. Ceram. Soc. 1983, 66, 253–256. [Google Scholar] [CrossRef]
- Lucuta, P.G.; Constantinescu, F.L.; Barb, D. Structural dependence on sintering temperature of lead zirconate-titanate solid solutions. J. Am. Ceram. Soc. 1985, 68, 533–537. [Google Scholar] [CrossRef]
- Baumgartner, C.E. Fast firing and conventional sintering of lead zirconate titanate ceramic. J. Am. Ceram. Soc. 1988, 71, C-350–C-353. [Google Scholar] [CrossRef]
- Mazumder, R.; Sen, A. ‘Ultra’-low-temperature sintering of PZT: A synergy of nano-powder synthesis and addition of a sintering aid. J. Eur. Ceram. Soc. 2008, 28, 2731–2737. [Google Scholar] [CrossRef]
- Sharma, P.K.; Ounaies, Z.; Varadan, V.V.; Varadan, V.K. Dielectric and piezoelectric properties of microwave sintered PZT. Smart Mater. Struct. 2001, 10, 878. [Google Scholar] [CrossRef]
- Oghbaei, M.; Mirzaee, O. Microwave versus conventional sintering: A review of fundamentals, advantages and applications. J. Alloys Compd. 2010, 494, 175–189. [Google Scholar] [CrossRef]
- Gureev, D.M.; Ruzhechko, R.V.; Shishkovskii, I.V. Selective laser sintering of PZT ceramic powders. Technol. Phys. Lett. 2000, 26, 262–264. [Google Scholar] [CrossRef]
- Kumar, S. Selective laser sintering: A qualitative and objective approach. JOM 2003, 55, 43–47. [Google Scholar] [CrossRef]
- Ewsuk, K.G.; Messing, G.L. Densification of sintered lead zirconate titanate by hot isostatic pressing. J. Mater. Sci. 1984, 19, 1530–1534. [Google Scholar] [CrossRef]
- Zhou, L.; Zhao, Z.; Zimmermann, A.; Aldinger, F.; Nygren, M. Preparation and properties of lead zirconate stannate titanate sintered by spark plasma sintering. J. Am. Ceram. Soc. 2004, 87, 606–611. [Google Scholar] [CrossRef]
- Li, J.F.; Wang, S.; Wakabayashi, K.; Esashi, M.; Watanabe, R. Properties of modified lead zirconate titanate ceramics prepared at low temperature (800 °C) by hot isostatic pressing. J. Am. Ceram. Soc. 2000, 83, 955–957. [Google Scholar] [CrossRef]
- Pereira, M.; Peixoto, A.G.; Gomes, M.J.M. Effect of Nb doping on the microstructural and electrical properties of the PZT ceramics. J. Eur. Ceram. Soc. 2001, 21, 1353–1356. [Google Scholar] [CrossRef]
- Goel, P.; Yadav, K.L.; James, A.R. Double doping effect on the structural and dielectric properties of PZT ceramics. J. Phys. D Appl. Phys. 2004, 37, 3174. [Google Scholar] [CrossRef]
- Slouka, C.; Kainz, T.; Navickas, E.; Walch, G.; Hutter, H.; Reichmann, K.; Fleigh, J. The effect of acceptor and donor doping on oxygen vacancy concentrations in lead zirconate titanate (PZT). Materials 2016, 9, 945. [Google Scholar] [CrossRef] [PubMed]
- Lee, B.W.; Lee, E.J. Effects of complex doping on microstructural and electrical properties of PZT ceramics. J. Electroceram. 2006, 17, 597–602. [Google Scholar] [CrossRef]
- Chen, J.G.; Xu, Z.; Yao, X. Effect of bismuth doping on dielectric, piezoelectric and ferroelectric properties of PZT ceramics. Mater. Res. Innov. 2010, 14, 234–237. [Google Scholar] [CrossRef]
- Bochenek, D.; Niemiec, P.; Dercz, G. The effect of mixed doping on the microstructure and electrophysical parameters of the multicomponent PZT-type ceramics. Materials 2020, 13, 1996. [Google Scholar] [CrossRef] [PubMed]
- Bochenek, D.; Niemiec, P.; Szafraniak-Wiza, I.; Dercz, G. Comparison of electrophysical properties of PZT-type ceramics obtained by conventional and mechanochemical methods. Materials 2019, 12, 3301. [Google Scholar] [CrossRef] [PubMed]
- Li, Q.; Ju, T.; Li, R.; Wang, S.; Yang, Y.; Ishida, H.; Harn, Y.-W.; Chen, J.; Hirt, B.; Sehirlioglu, A.; et al. Investigation into the crystal structure–dielectric property correlation in barium titanate nanocrystals of different sizes. Nanoscale 2023, 15, 7829. [Google Scholar] [CrossRef]
- Liu, K.; Xia, Y.; Zhang, Q.; Du, Y.; Shi, Y.; Joshi, S.; Yan, C.; Wu, Y.; Huang, S.; Sun, H. Effect of the slurry composition on the piezoelectric properties of PZT ceramics fabricated via materials extrusion 3D printing. Ceram. Int. 2023, 49, 20024–20033. [Google Scholar] [CrossRef]
- Ng, Y.S.; Alexander, S.M. Structural studies of manganese stabilised lead-zirconate-titanate. Ferroelectrics 1983, 51, 81–86. [Google Scholar] [CrossRef]
- Kamiya, T.; Suzuki, T.; Tsurumi, T.; Daimon, M. Effects of manganese addition on piezoelectric properties of Pb(Zr0.5Ti0.5)O3. Jpn. J. Appl. Phys. 1992, 31, 3058. [Google Scholar] [CrossRef]
- Amarande, L.; Cioangher, M.C.; Toma, V.; Miclea, C.F.; Stefan, M.; Pasuk, I.; Iuga, A.R.; Negrila, C.; Matei, E.; Palici, A.M.; et al. Hard/soft effects of multivalence co-dopants in correlation with their location in PZT ceramics. Ceram. Int. 2021, 47, 33382–33389. [Google Scholar] [CrossRef]
- Hu, S.M.; Peng, G.G.; Zheng, D.Y. Effects of Sb or Ba addition on the piezoelectric properties of PZT. Appl. Mech. Mater. 2015, 700, 121–124. [Google Scholar] [CrossRef]
- Panigrahi, S.C.; Das, P.R.; Parida, B.N.; Padhee, R.; Choudhary, R.N.P. Dielectric and electrical properties of gadolinium-modified lead-zirconate-titanate system. J. Alloys Compd. 2014, 604, 73–82. [Google Scholar] [CrossRef]
- Jiansirisomboon, S.; Sreesattabud, T.; Watcharapasorn, A. Electrical and mechanical properties of ferroelectric lead zirconate titanate/tungsten oxide ceramics. Ceram. Int. 2008, 34, 719–722. [Google Scholar] [CrossRef]
- Bochenek, D.; Zachariasz, R. Structure and physical properties of PZT-type ceramics with cadmium and tungsten dopants. Phase Transit. 2015, 88, 799–810. [Google Scholar] [CrossRef]
- Santos, D.M.; Simoes, A.Z.; Zaghete, M.A.; Paiva-Santos, C.O.; Varela, J.A.; Longo, E. Synthesis and electrical characterization of tungsten doped Pb(Zr0.53Ti0.47)O3 ceramics obtained from a hybrid process. Mater. Chem. Phys. 2007, 103, 371–374. [Google Scholar] [CrossRef]
- Bochenek, D.; Niemiec, P.; Szafraniak-Wiza, I.; Dercz, G. Multi-component PZT ceramics obtained by mechanochemical activation and conventional ceramic technology. J. Therm. Anal. Calorim. 2020, 142, 5–17. [Google Scholar] [CrossRef]
- Tiwari, B.; Babu, T.; Choudhary, R.N.P. Dielectric response of Mn and Ce substituted PZT ferroelectric ceramics. Mater. Today Proc. 2021, 43, 535–540. [Google Scholar] [CrossRef]
- Nayak, P.; Badapanda, T.; Singh, A.K.; Panigrahi, S. An approach for correlating the structural and electrical properties of Zr4+-modified SrBi4Ti4O15/SBT ceramic. RSC Adv. 2017, 7, 16319–16331. [Google Scholar] [CrossRef]
- Mao, C.; Yana, S.; Cao, S.; Yao, S.; Cao, F.; Wang, G.; Dong, X.; Hu, X.; Yang, C. Effect of grain size on phase transition, dielectric and pyroelectric properties of BST ceramics. J. Eur. Ceram. Soc. 2014, 34, 2933–2939. [Google Scholar] [CrossRef]
- Mondal, R.A.; Murty, B.S.; Murthy, V.R.K. Maxwell-Wagner polarization in grain boundary segregated NiCuZn ferrite. Curr. Appl. Phys. 2014, 14, 1727–1733. [Google Scholar] [CrossRef]
- Ashima; Sanghi, S.; Agarwal, A.; Reetu; Ahlawat, N.; Monica. Structure refinement and dielectric relaxation of M-type Ba, Sr, Ba-Sr, and Ba-Pb hexaferrites. J. Appl. Phys. 2012, 112, 014110. [Google Scholar] [CrossRef]
- Kaur, R.; Sharma, V.; Kumar, M.; Singh, M.; Singh, A. Conductivity relaxation in Pb0.9Sm0.10Zr0.405Ti0.495Fe0.10O3 solid solution. J. Alloys Compd. 2018, 735, 1472–1479. [Google Scholar] [CrossRef]
- Dagar, S.; Hooda, A.; Khasa, S.; Malik, M. Structural refinement, investigation of dielectric and magnetic properties of NBT doped BaFe12O19 novel composite system. J. Alloys Compd. 2020, 826, 154214. [Google Scholar] [CrossRef]
- Barick, B.K.; Mishra, K.K.; Arora, A.K.; Choudhary, R.N.P.; Pradhan, D.K. Impedance and Raman spectroscopic studies of (Na0.5Bi0.5)TiO3. J. Phys. D Appl. Phys. 2011, 44, 355402. [Google Scholar] [CrossRef]
- Dwivedi, S.; Badole, M.; Vasavan, H.N.; Kumar, S. Influence of annealing environments on the conduction behaviour of KNN-based ceramics. Ceram. Int. 2022, 48, 18057–18066. [Google Scholar] [CrossRef]
- Laidler, K.J. The development of the Arrhenius equation. J. Chem. Educ. 1984, 61, 494–498. [Google Scholar] [CrossRef]
Disclaimer/Publisher’s Note: The statements, opinions and data contained in all publications are solely those of the individual author(s) and contributor(s) and not of MDPI and/or the editor(s). MDPI and/or the editor(s) disclaim responsibility for any injury to people or property resulting from any ideas, methods, instructions or products referred to in the content. |
© 2023 by the authors. Licensee MDPI, Basel, Switzerland. This article is an open access article distributed under the terms and conditions of the Creative Commons Attribution (CC BY) license (https://creativecommons.org/licenses/by/4.0/).