Comparative Study on Adsorption of Crystal Violet and Chromium (VI) by Activated Carbon Derived from Spent Coffee Grounds
Abstract
1. Introduction
2. Materials and Methods
2.1. Preparation of Adsorbent
2.2. Characterisation of Adsorbent
2.3. Preparation of Adsorbate Solutions
2.4. Batch Adsorption Experiments
2.5. Adsorption Modelling
2.5.1. Adsorption Kinetics
2.5.2. Adsorption Isotherm
2.6. Model Validation
2.7. Thermodynamic Study
3. Results and Discussion
3.1. Adsorbent Characterisation
3.1.1. X-ray Diffraction (DRX)
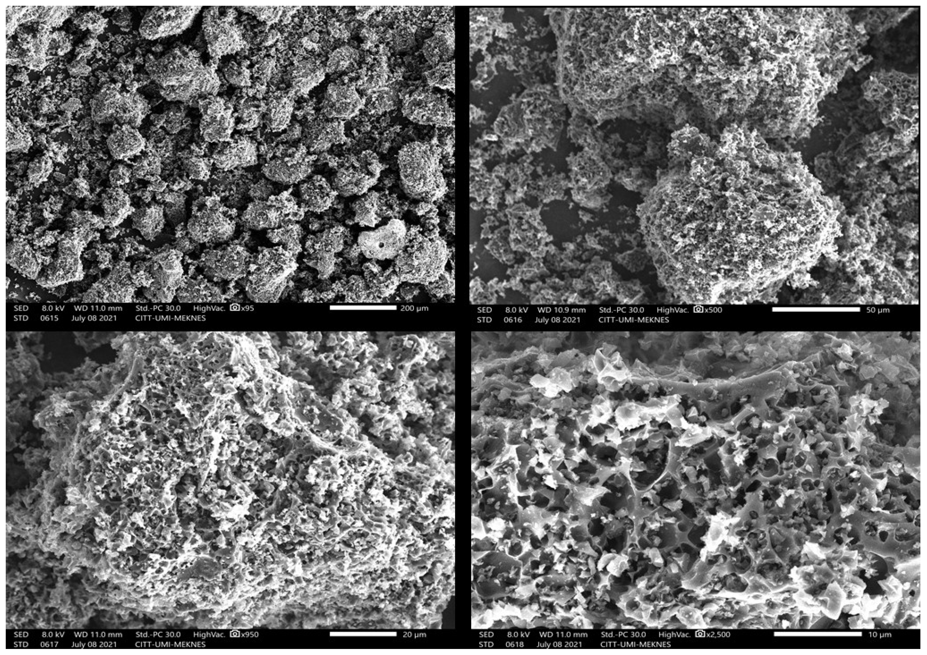
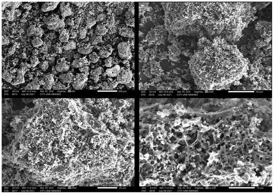
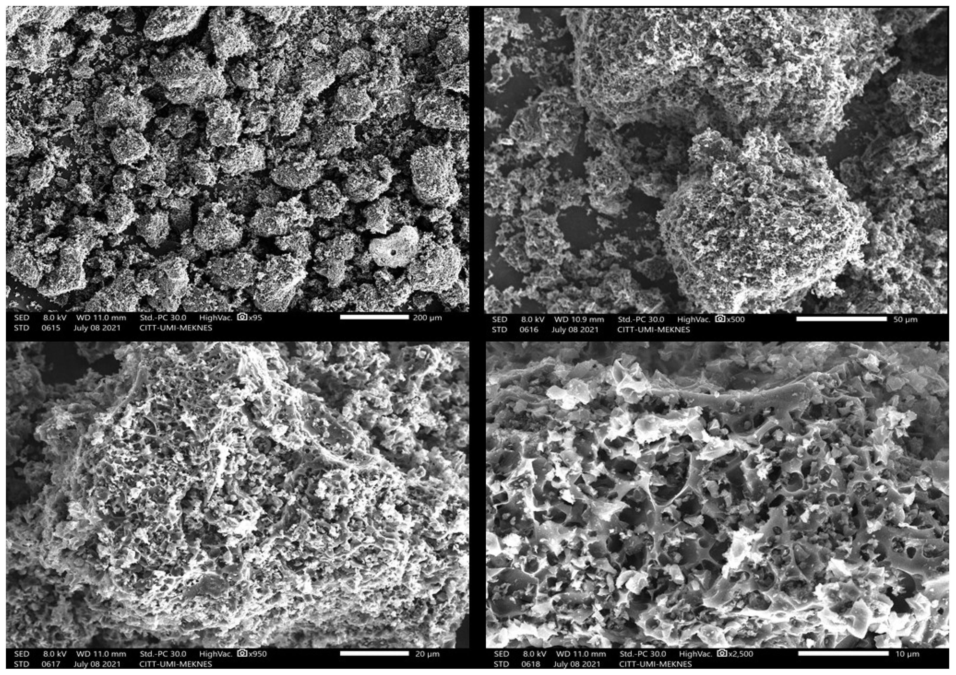
3.1.2. Scanning Electron Microscopy SEM/EDS
3.1.3. Determination of pH of the Point of Zero Charge (pHPZC)
3.1.4. Surface Function Analysis by Fourier Transform Infrared Spectrometry (FTIR)
- A band at 3440 cm−1 due to the stretching vibration of OH functional groups, corresponding to carboxylic acids, alcohols, and water molecules in the sample; its intensity decreased after activation.
- Two bands at 2930 cm−1 and 2852 cm−1, attributed to the C-H stretching vibration of aliphatic groups and aromatic hydrocarbons, are clear in the SCGs spectra but show a lower intensity for ACSCGs, indicating a decrease in the amount of aliphatic compounds due to carbonisation.
- A band at 1745 cm−1 is consistent with the presence of carbonyl groups (C=O) in aldehydes, ketones, carboxylic acids, and esters. This band disappears after activation with KOH base.
- The absorption peak at 1644 cm−1 represents C=C stretching vibrations, indicating the presence of alkenes and aromatic rings.
- Two bands around 1386 and 1465 cm−1 attributed to aliphatic C-H deformation, which disappeared after activation.
- The bands in the spectral region between 1400 and 1000 cm−1 with maxima at 1246, 1170, and 1030 cm−1 are commonly attributed to C-O stretching in acid, alcohol, phenol, ether, and ester groups. The intensities of these bands become weak after activation.
3.1.5. Surface Function Analysis by Boehm’s Method
3.1.6. Characterisation by Methylene Blue Adsorption
3.1.7. Characterisation by Iodine Adsorption (IN)
3.2. Effect of Solution pH
3.3. Effect of Adsorbent Dose
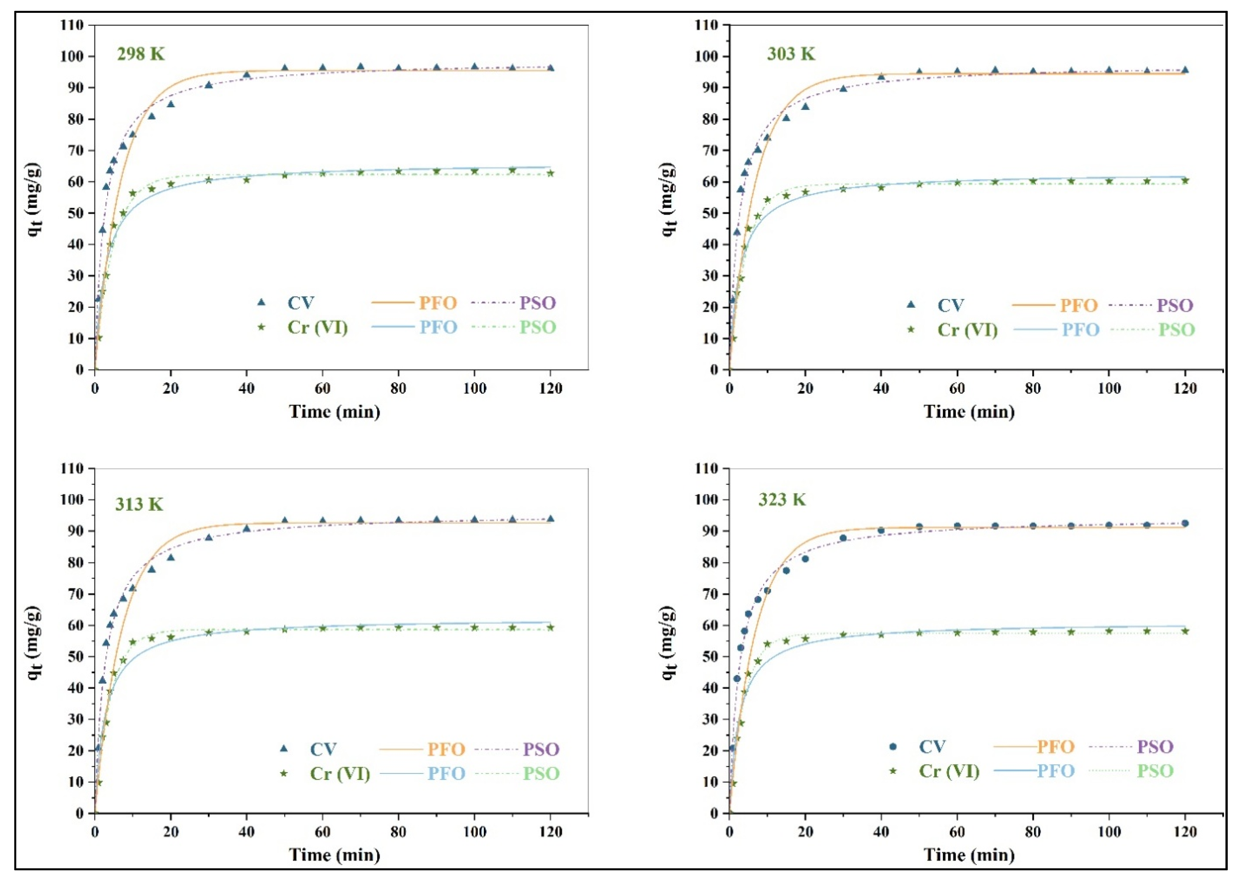
3.4. Effect of Contact Time and Temperature
3.5. Adsorption Kinetics
3.6. Adsorption Isotherms
3.7. Adsorption Thermodynamic
3.8. Comparison of Activated Carbon from Coffee Grounds with Other Adsorbents
4. Conclusions
Author Contributions
Funding
Institutional Review Board Statement
Informed Consent Statement
Data Availability Statement
Acknowledgments
Conflicts of Interest
References
- Akhmetzhan, A.; Myrzakhmetova, N.; Amangeldi, N.; Kuanyshova, Z.; Akimbayeva, N.; Dosmaganbetova, S.; Toktarbay, Z.; Longinos, S.N. A Short Review on the N,N-Dimethylacrylamide-Based Hydrogels. Gels 2021, 7, 234. [Google Scholar] [CrossRef] [PubMed]
- Loulidi, I.; Boukhlifi, F.; Ouchabi, M.; Amar, A.; Jabri, M.; Kali, A.; Chraibi, S. Adsorptive Removal of Chromium (VI) using Walnut Shell, Almond Shell, Coconut Shell and Peanut Shell. Res. J. Chem. Environ. 2019, 23, 25–32. [Google Scholar]
- Jadhav, J.P.; Kalyani, D.C.; Telke, A.A.; Phugare, S.S.; Govindwar, S.P. Evaluation of the efficacy of a bacterial consortium for the removal of color, reduction of heavy metals, and toxicity from textile dye effluent. Bioresour. Technol. 2010, 101, 165–173. [Google Scholar] [CrossRef] [PubMed]
- Loulidi, I.; Boukhlifi, F.; Ouchabi, M.; Amar, A.; Jabri, M.; Kali, A.; Chraibi, S.; Hadey, C.; Aziz, F. Adsorption of Crystal Violet onto an Agricultural Waste Residue: Kinetics, Isotherm, Thermodynamics, and Mechanism of Adsorption. Sci. World J. 2020, 2020, 5873521. [Google Scholar] [CrossRef] [PubMed]
- Amar, A.; Loulidi, I.; Kali, A.; Boukhlifi, F.; Hadey, C.; Jabri, M. Physicochemical Characterization of Regional Clay: Application to Phenol Adsorption. Appl. Environ. Soil Sci. 2021, 2021, 8826063. [Google Scholar] [CrossRef]
- Gibson, L.T. Mesosilica materials and organic pollutant adsorption: Part B removal from aqueous solution. Chem. Soc. Rev. 2014, 43, 5173–5182. [Google Scholar] [CrossRef]
- Clarke, E.A.; Anliker, R. Organic Dyes and Pigments. Handb. Environ. Chem. 1980, 3, 181–215. [Google Scholar] [CrossRef]
- Rasheed, T.; Bilal, M.; Nabeel, F.; Adeel, M.; Iqbal, H.M.N. Environmentally-related contaminants of high concern: Potential sources and analytical modalities for detection, quantification, and treatment. Environ. Int. 2019, 122, 52–66. [Google Scholar] [CrossRef]
- Crini, G.; Lichtfouse, E. Advantages and disadvantages of techniques used for wastewater treatment. Environ. Chem. Lett. 2019, 17, 145–155. [Google Scholar] [CrossRef]
- Loulidi, I.; Boukhlifi, F.; Ouchabi, M.; Amar, A.; Jabri, M.; Kali, A.; Aziz, F. Kinetic, Isotherm and Mechanism Investigations of the Removal of Basic Violet 3 from Water by Raw Spent Coffee Grounds. Phys. Chem. Res. 2020, 8, 569–584. [Google Scholar] [CrossRef]
- Kaidar, B.B.; Smagulova, G.T.; Imash, A.A.; Zhaparkul, S.; Mansurov, Z.A. Pitch-based carbon fibers: Preparation and applications. Combust. Plasma Chem. 2021, 19, 159–169. [Google Scholar] [CrossRef]
- Attia, A.A.; Girgis, B.S.; Fathy, N.A. Removal of methylene blue by carbons derived from peach stones by H3PO4 activation: Batch and column studies. Dye. Pigment. 2008, 76, 282–289. [Google Scholar] [CrossRef]
- Jung, K.W.; Choi, B.H.; Hwang, M.J.; Jeong, T.U.; Ahn, K.H. Fabrication of granular activated carbons derived from spent coffee grounds by entrapment in calcium alginate beads for adsorption of acid orange 7 and methylene blue. Bioresour. Technol. 2016, 219, 185–195. [Google Scholar] [CrossRef]
- Tan, I.A.W.; Ahmad, A.L.; Hameed, B.H. Adsorption of basic dye on high-surface-area activated carbon prepared from coconut husk: Equilibrium, kinetic and thermodynamic studies. J. Hazard. Mater. 2008, 154, 337–346. [Google Scholar] [CrossRef]
- Hassan, R.; Arida, H.; Montasser, M.; Abdel Latif, N. Synthesis of new schiff base from natural products for remediation of water pollution with heavy metals in industrial areas. J. Chem. 2013, 2013, 240568. [Google Scholar] [CrossRef]
- Ali, M.H.; Abdel-Satar, A.M. Removal of some heavy metals from aqueous solutions using natural wastes orange peel activated carbon. IJRDO-J. Appl. Sci. 2017, 3, 13–30. [Google Scholar]
- Jabar, J.M.; Odusote, Y.A.; Ayinde, Y.T.; Yılmaz, M. African almond (Terminalia catappa L.) leaves biochar prepared through pyrolysis using H3PO4 as chemical activator for sequestration of methylene blue dye. Results Eng. 2022, 14, 100385. [Google Scholar] [CrossRef]
- Haji, A.A.; Mohammed, N.M.S. Optimization of Arsenic Adsorption onto Activated Carbon of Potato Peel Using Response Surface Methodology. Sci. J. Univ. Zakho 2019, 7, 37–44. [Google Scholar] [CrossRef]
- Jabar, J.M.; Odusote, Y.A. Utilization of prepared activated biochar from water lily (Nymphaea lotus) stem for adsorption of malachite green dye from aqueous solution. Biomass Convers. Biorefinery 2021, 1–12. [Google Scholar] [CrossRef]
- Jabar, J.M.; Odusote, Y.A. Removal of cibacron blue 3G-A (CB) dye from aqueous solution using chemo-physically activated biochar from oil palm empty fruit bunch fiber. Arab. J. Chem. 2020, 13, 5417–5429. [Google Scholar] [CrossRef]
- Quyen, V.t.; Pham, T.H.; Kim, J.; Thanh, D.M.; Thang, P.Q.; Van Le, Q.; Jung, S.H.; Kim, T.Y. Biosorbent derived from coffee husk for efficient removal of toxic heavy metals from wastewater. Chemosphere 2021, 284, 131312. [Google Scholar] [CrossRef] [PubMed]
- Pagalan, E.; Sebron, M.; Gomez, S.; Salva, S.J.; Ampusta, R.; Macarayo, A.J.; Joyno, C.; Ido, A.; Arazo, R. Activated carbon from spent coffee grounds as an adsorbent for treatment of water contaminated by aniline yellow dye. Ind. Crops Prod. 2020, 145, 111953. [Google Scholar] [CrossRef]
- Zhou, J.; Luo, A.; Zhao, Y. Preparation and characterisation of activated carbon from waste tea by physical activation using steam. J. Air Waste Manag. Assoc. 2018, 68, 1269–1277. [Google Scholar] [CrossRef] [PubMed]
- Esquivel, P.; Jiménez, V.M. Functional properties of coffee and coffee by-products. Food Res. Int. 2012, 46, 488–495. [Google Scholar] [CrossRef]
- Hein, L.; Gatzweiler, F. The economic value of coffee (Coffea arabica) genetic resources. Ecol. Econ. 2006, 60, 176–185. [Google Scholar] [CrossRef]
- Lashermes, P.; Andrade, A.C.; Etienne, H. Genomics of Coffee One of the World’s Largest Traded Commodities. Genomics Trop. Crops Plants 2008, 1, 203–226. [Google Scholar] [CrossRef]
- Mussatto, S.I.; Machado, E.M.S.; Martins, S.; Teixeira, J.A. Production, Composition, and Application of Coffee and Its Industrial Residues. Food Bioprocess Technol. 2011, 4, 661–672. [Google Scholar] [CrossRef]
- Asimakopoulos, G.; Baikousi, M.; Kostas, V.; Papantoniou, M.; Bourlinos, A.B.; Zbořil, R.; Karakassides, M.A.; Salmas, C.E. Nanoporous activated carbon derived via pyrolysis process of spent coffee: Structural characterization. investigation of its use for hexavalent chromium removal. Appl. Sci. 2020, 10, 8812. [Google Scholar] [CrossRef]
- Mittal, A.; Mittal, J.; Malviya, A.; Kaur, D.; Gupta, V.K. Adsorption of hazardous dye crystal violet from wastewater by waste materials. J. Colloid Interface Sci. 2010, 343, 463–473. [Google Scholar] [CrossRef]
- Senthilkumaar, S.; Kalaamani, P.; Subburaam, C.V. Liquid phase adsorption of Crystal violet onto activated carbons derived from male flowers of coconut tree. J. Hazard. Mater. 2006, 136, 800–808. [Google Scholar] [CrossRef]
- ThermoFicher Scientific. Fiches De Donnees De Securite (Fds) Crystal Violet; ThermoFicher Scientific: Waltham, MA, USA, 2020. [Google Scholar]
- Martinetz, D.U.S. Environmental Protection Agency (US-EPA): Maßnahmen und Aktivitäten. Umweltwiss. Schadst.-Forsch. Z 1989, 1, 6. [Google Scholar] [CrossRef]
- Patra, C.; Medisetti, R.M.N.; Pakshirajan, K.; Narayanasamy, S. Assessment of raw, acid-modified and chelated biomass for sequestration of hexavalent chromium from aqueous solution using Sterculia villosa Roxb. shells. Environ. Sci. Pollut. Res. 2019, 26, 23625–23637. [Google Scholar] [CrossRef]
- Reffas, A.; Bernardet, V.; David, B.; Reinert, L.; Lehocine, M.B.; Dubois, M.; Batisse, N.; Duclaux, L. Carbons prepared from coffee grounds by H3PO4 activation: Characterization and adsorption of methylene blue and Nylosan Red N-2RBL. J. Hazard. Mater. 2010, 175, 779–788. [Google Scholar] [CrossRef]
- Jung, K.W.; Choi, B.H.; Hwang, M.J.; Choi, J.W.; Lee, S.H.; Chang, J.S.; Ahn, K.H. Adsorptive removal of anionic azo dye from aqueous solution using activated carbon derived from extracted coffee residues. J. Clean. Prod. 2017, 166, 360–368. [Google Scholar] [CrossRef]
- Lim, J.W.; Lam, K.Y.; Bashir, M.J.K.; Yeong, Y.F.; Lam, M.K.; Ho, Y.C. Spent coffee grounds-based activated carbon preparation for sequestering of malachite green. AIP Conf. Proc. 2016, 1787, 040008. [Google Scholar] [CrossRef]
- Laksaci, H.; Khelifi, A.; Belhamdi, B.; Trari, M. Valorization of coffee grounds into activated carbon using physic—Chemical activation by KOH/CO2. J. Environ. Chem. Eng. 2017, 5, 5061–5066. [Google Scholar] [CrossRef]
- Le, V.T.; Tran, T.K.N.; Tran, D.L.; Le, H.S.; Doan, V.D.; Bui, Q.D.; Nguyen, H.T. One-pot synthesis of a novel magnetic activated carbon/clay composite for removal of heavy metals from aqueous solution. J. Dispers. Sci. Technol. 2019, 40, 1761–1776. [Google Scholar] [CrossRef]
- Boudrahem, F.; Aissani-Benissad, F.; Aït-Amar, H. Batch sorption dynamics and equilibrium for the removal of lead ions from aqueous phase using activated carbon developed from coffee residue activated with zinc chloride. J. Environ. Manag. 2009, 90, 3031–3039. [Google Scholar] [CrossRef]
- Hernández Rodiguez, M.; Yperman, J.; Carleer, R.; Maggen, J.; Daddi, D.; Gryglewicz, G.; Van der Bruggen, B.; Falcón Hernández, J.; Otero Calvis, A. Adsorption of Ni(II) on spent coffee and coffee husk based activated carbon. J. Environ. Chem. Eng. 2018, 6, 1161–1170. [Google Scholar] [CrossRef]
- Plaza, M.G.; González, A.S.; Pevida, C.; Pis, J.J.; Rubiera, F. Valorisation of spent coffee grounds as CO2 adsorbents for postcombustion capture applications. Appl. Energy 2012, 99, 272–279. [Google Scholar] [CrossRef]
- Bamba, D.; Dongui, B.; Trokourey, A.; Zoro, G.E. Etudes comparées des méthodes de préparation du charbon actif, suivies d ’ un test de dépollution d’une eau contaminée au diuron Comparative studies of activated carbon preparation methods, followed by depollution test of diuron contaminated water. J. Soc. Ouest-Afr. Chim. 2009, 28, 41–52. [Google Scholar]
- Zubrik, A.; Matik, M.; Hredzák, S.; Lovás, M.; Danková, Z.; Kováčová, M.; Briančin, J. Preparation of chemically activated carbon from waste biomass by single-stage and two-stage pyrolysis. J. Clean. Prod. 2017, 143, 643–653. [Google Scholar] [CrossRef]
- Su, T.; Song, Y.; Lan, X.; Gao, W. Adsorption Optimized of the Coal-Based Material and Application for Cyanide Wastewater Treatment. Green Process. Synth. 2019, 8, 391–398. [Google Scholar] [CrossRef]
- ASTM D4607-14; ASTM Standard Test Method for Determination of Iodine Number of Activated Carbon 1. ASTM: West Conshohocken, PA, USA, 2006; Volume 94, pp. 1–5.
- Nunes, C.A.; Guerreiro, M.C. Estimation of Surface Area and Pore Volume of Activated Carbons by Methylene Blue and Iodine Numbers. Quimica Nova 2011, 34, 472–476. [Google Scholar] [CrossRef]
- Boehm, H.P. Some Aspects of the Surface Chemistry of Carbon Blacks and Other Carbons. Carbon 1994, 32, 759–769. [Google Scholar] [CrossRef]
- Boehm, H.-P. Functional Groups on the Surfaces of Solids. Angew. Chem. Int. Ed. Engl. 1966, 5, 533–544. [Google Scholar] [CrossRef]
- Bakatula, E.N.; Richard, D.; Neculita, C.M.; Zagury, G.J. Determination of Point of Zero Charge of Natural Organic Materials. Environ. Sci. Pollut. Res. 2018, 25, 7823–7833. [Google Scholar] [CrossRef]
- Loulidi, I.; Boukhlifi, F.; Ouchabi, M.; Amar, A.; Jabri, M.; Kali, A.; Hadey, C. Assessment of Untreated Coffee Wastes for the Removal of Chromium (VI) from Aqueous Medium. Int. J. Chem. Eng. 2021, 2021, 9977817. [Google Scholar] [CrossRef]
- Wang, J.; Guo, X. Adsorption Kinetic Models: Physical Meanings, Applications, and Solving Methods. J. Hazard. Mater. 2020, 390, 122156. [Google Scholar] [CrossRef]
- Weber, W.J.; Morris, J.C. Closure to “Kinetics of Adsorption on Carbon from Solution”. J. Sanit. Eng. Div. 1963, 89, 53–55. [Google Scholar] [CrossRef]
- Bansal, R.C.; Goyal, M. Activated Carbon Adsorption; CRC Press: Boca Raton, FL, USA, 2005; ISBN 9781420028812. [Google Scholar]
- Kumar, K.V.; Gadipelli, S.; Wood, B.; Ramisetty, K.A.; Stewart, A.A.; Howard, C.A.; Brett, D.J.L.; Rodriguez-Reinoso, F. Characterization of the Adsorption Site Energies and Heterogeneous Surfaces of Porous Materials. J. Mater. Chem. A 2019, 7, 10104–10137. [Google Scholar] [CrossRef]
- Foo, K.Y.; Hameed, B.H. Insights into the Modeling of Adsorption Isotherm Systems. Chem. Eng. J. 2010, 156, 2–10. [Google Scholar] [CrossRef]
- Langmuir, I. The constitution and fundamental properties of solids and liquids. Part I. Solids. J. Am. Chem. Soc. 2002, 38, 2221–2295. [Google Scholar] [CrossRef]
- Ayawei, N.; Ebelegi, A.N.; Wankasi, D. Modelling and Interpretation of Adsorption Isotherms. J. Chem. 2017, 2017, 3039817. [Google Scholar] [CrossRef]
- Kumar, K.V.; Sivanesan, S. Isotherm Parameters for Basic Dyes onto Activated Carbon: Comparison of Linear and Non-Linear Method. J. Hazard. Mater. 2006, 129, 147–150. [Google Scholar] [CrossRef]
- Boulinguiez, B.; Le Cloirec, P.; Wolbert, D. Revisiting the Determination of Langmuir Parameters—Application to Tetrahydrothiophene Adsorption onto Activated Carbon. Langmuir 2008, 24, 6420–6424. [Google Scholar] [CrossRef]
- Rambabu, K.; Bharath, G.; Banat, F.; Show, P.L. Biosorption Performance of Date Palm Empty Fruit Bunch Wastes for Toxic Hexavalent Chromium Removal. Environ. Res. 2020, 187, 109694. [Google Scholar] [CrossRef]
- Anastopoulos, I.; Kyzas, G.Z. Agricultural Peels for Dye Adsorption: A Review of Recent Literature. J. Mol. Liqids 2014, 200, 381–389. [Google Scholar] [CrossRef]
- Doke, K.M.; Khan, E.M. Adsorption Thermodynamics to Clean up Wastewater; Critical Review. Rev. Environ. Sci. Biotechnol. 2013, 12, 25–44. [Google Scholar] [CrossRef]
- Janković, B.; Manić, N.; Dodevski, V.; Radović, I.; Pijović, M.; Katnić, Đ.; Tasić, G. Physico-Chemical Characterization of Carbonized Apricot Kernel Shell as Precursor for Activated Carbon Preparation in Clean Technology Utilization. J. Clean. Prod. 2019, 236, 117614. [Google Scholar] [CrossRef]
- Son, Y.R.; Park, S.J. Preparation and Characterization of Mesoporous Activated Carbons from Nonporous Hard Carbon via Enhanced Steam Activation Strategy. Mater. Chem. Phys. 2020, 242, 122454. [Google Scholar] [CrossRef]
- Guerrero, M.; Ruiz, M.P.; Millera, Á.; Alzueta, M.U.; Bilbao, R. Characterization of Biomass Chars Formed under Different Devolatilization Conditions: Differences between Rice Husk and Eucalyptus. Energy Fuels 2008, 22, 1275–1284. [Google Scholar] [CrossRef]
- Lu, L.; Kong, C.; Sahajwalla, V.; Harris, D. Char Structural Ordering during Pyrolysis and Combustion and Its Influence on Char Reactivity. Fuel 2002, 81, 1215–1225. [Google Scholar] [CrossRef]
- Otowa, T.; Tanibata, R.; Itoh, M. Production and Adsorption Characteristics of MAXSORB: High-Surface-Area Active Carbon. Gas Sep. Purif. 1993, 7, 241–245. [Google Scholar] [CrossRef]
- Yang, K.; Peng, J.; Srinivasakannan, C.; Zhang, L.; Xia, H.; Duan, X. Preparation of High Surface Area Activated Carbon from Coconut Shells Using Microwave Heating. Bioresour. Technol. 2010, 101, 6163–6169. [Google Scholar] [CrossRef]
- Coates, J. Interpretation of Infrared Spectra, A Practical Approach. Encycl. Anal. Chem. 2006. [Google Scholar] [CrossRef]
- Lv, S.; Li, C.; Mi, J.; Meng, H. A Functional Activated Carbon for Efficient Adsorption of Phenol Derived from Pyrolysis of Rice Husk, KOH-Activation and EDTA-4Na-Modification. Appl. Surf. Sci. 2020, 510, 145425. [Google Scholar] [CrossRef]
- Lütke, S.F.; Igansi, A.V.; Pegoraro, L.; Dotto, G.L.; Pinto, L.A.A.; Cadaval, T.R.S. Preparation of Activated Carbon from Black Wattle Bark Waste and Its Application for Phenol Adsorption. J. Environ. Chem. Eng. 2019, 7, 103396. [Google Scholar] [CrossRef]
- Gao, Y.; Yue, Q.; Xu, S.; Gao, B. Activated Carbons with Well-Developed Mesoporosity Prepared by Activation with Different Alkali Salts. Mater. Lett. 2015, 146, 34–36. [Google Scholar] [CrossRef]
- Faria, P.C.C.; Órfão, J.J.M.; Pereira, M.F.R. Adsorption of Anionic and Cationic Dyes on Activated Carbons with Different Surface Chemistries. Water Res. 2004, 38, 2043–2052. [Google Scholar] [CrossRef]
- Qian, Q.; Machida, M.; Tatsumoto, H. Textural and surface chemical characteristics of activated carbons prepared from cattle manure compost. Waste Manag. 2008, 28, 1064–1071. [Google Scholar] [CrossRef]
- Saka, C. BET, TG-DTG, FT-IR, SEM, Iodine Number Analysis and Preparation of Activated Carbon from Acorn Shell by Chemical Activation with ZnCl2. J. Anal. Appl. Pyrolysis 2012, 95, 21–24. [Google Scholar] [CrossRef]
- Kouadio, L.D.; Koffi, C.L.A.; Diarra, M.; Kouyaté, A.; Yapi, H.A.Y.; Akesse, V.P.D.; Doungui, B.K.; Kone, M.; Dembele, A.; Traore, K.S. Préparation et caractérisation de charbon actif issu de la coque de cacao. Int. J. Adv. Res. 2016, 4, 625–634. [Google Scholar] [CrossRef]
- Yang, D.; Liu, Y.; Zhang, C.; Zhang, Y. Preparation and characterization of activated carbon from amygdalus shell. Chin. J. Environ. Eng. 2013, 7, 5007–5011. [Google Scholar]
- Gottipati, R. Preparation and Characterization of Microporous Activated Carbon from Biomass and its Application in the Removal of Chromium (VI) from Aqueous Phase Department of Chemical Engineering. Ph.D. Thesis, Department of Chemical Engineering, National Institute of Technology, Rourkela, India, 2012; pp. 1–242. [Google Scholar]
- Nizam, N.U.M.; Hanafiah, M.M.; Mahmoudi, E.; Halim, A.A.; Mohammad, A.W. The Removal of Anionic and Cationic Dyes from an Aqueous Solution Using Biomass-Based Activated Carbon. Sci. Rep. 2021, 11, 8623. [Google Scholar] [CrossRef]
- Yang, J.; Yu, M.; Chen, W. Adsorption of Hexavalent Chromium from Aqueous Solution by Activated Carbon Prepared from Longan Seed: Kinetics, Equilibrium and Thermodynamics. J. Ind. Eng. Chem. 2015, 21, 414–422. [Google Scholar] [CrossRef]
- El Nemr, A.; Aboughaly, R.M.; El Sikaily, A.; Ragab, S.; Masoud, M.S.; Ramadan, M.S. Microporous Nano-Activated Carbon Type I Derived from Orange Peel and Its Application for Cr(VI) Removal from Aquatic Environment. Biomass Convers. Biorefinery 2020. [Google Scholar] [CrossRef]
- Jabar, J.M.; Adebayo, M.A.; Owokotomo, I.A.; Odusote, Y.A.; Yılmaz, M. Synthesis of High Surface Area Mesoporous ZnCl2–Activated Cocoa (Theobroma Cacao L) Leaves Biochar Derived via Pyrolysis for Crystal Violet Dye Removal. Heliyon 2022, 8, e10873. [Google Scholar] [CrossRef]
- Prajapati, A.K.; Das, S.; Mondal, M.K. Exhaustive Studies on Toxic Cr(VI) Removal Mechanism from Aqueous Solution Using Activated Carbon of Aloe Vera Waste Leaves. J. Mol. Liqids 2020, 307, 112956. [Google Scholar] [CrossRef]
- Streit, A.F.M.; Côrtes, L.N.; Druzian, S.P.; Godinho, M.; Collazzo, G.C.; Perondi, D.; Dotto, G.L. Development of High Quality Activated Carbon from Biological Sludge and Its Application for Dyes Removal from Aqueous Solutions. Sci. Total Environ. 2019, 660, 277–287. [Google Scholar] [CrossRef]
- Ghorbani, F.; Kamari, S.; Zamani, S.; Akbari, S.; Salehi, M. Optimization and Modeling of Aqueous Cr(VI) Adsorption onto Activated Carbon Prepared from Sugar Beet Bagasse Agricultural Waste by Application of Response Surface Methodology. Surf. Interfaces 2020, 18, 100444. [Google Scholar] [CrossRef]
- Prajapati, A.K.; Mondal, M.K. Comprehensive Kinetic and Mass Transfer Modeling for Methylene Blue Dye Adsorption onto CuO Nanoparticles Loaded on Nanoporous Activated Carbon Prepared from Waste Coconut Shell. J. Mol. Liqids 2020, 307, 112949. [Google Scholar] [CrossRef]
- Foroutan, R.; Peighambardoust, S.J.; Peighambardoust, S.H.; Pateiro, M.; Lorenzo, J.M. Adsorption of Crystal Violet Dye Using Activated Carbon of Lemon Wood and Activated Carbon/Fe3O4 Magnetic Nanocomposite from Aqueous Solutions: A Kinetic, Equilibrium and Thermodynamic Study. Molecules 2021, 26, 2241. [Google Scholar] [CrossRef]
- Umar, Y.; Bashir Ibrahim, M. Equilibrium and Thermodynamic Studies on Adsorption of Hexavalent Chromium from Aqueous Solution onto Low Cost Activated Carbon. Int. J. Eng. Manuf. 2020, 10, 52–70. [Google Scholar] [CrossRef]
- Gupta, T.; Lataye, D. Removal of Crystal Violet and Methylene Blue Dyes Using Acacia Nilotica Sawdust Activated Carbon. Indian J. Chem. Technol. IJCT 2019, 26, 52–68. [Google Scholar]
- Astuti, W.; Sulistyaningsih, T.; Kusumastuti, E.; Thomas, G.Y.R.S.; Kusnadi, R.Y. Thermal Conversion of Pineapple Crown Leaf Waste to Magnetized Activated Carbon for Dye Removal. Bioresour. Technol. 2019, 287, 121426. [Google Scholar] [CrossRef]
- Tcheka, C.; Abia, D.; Iya-sou, D.; Tamgue, A.L.T. Removal of Crystal Violet Dye from Aqueous Solutions Using Chemically Activated Carbons by H3po4 Activation from Corn Cobs and Corn Roots: Kinetic and Equilibrium Isotherm Studies. Moroc. J. Chem. 2021, 9, 221–231. [Google Scholar] [CrossRef]
- Abbas, M.; Harrache, Z.; Trari, M. Mass-Transfer Processes in the Adsorption of Crystal Violet by Activated Carbon Derived from Pomegranate Peels: Kinetics and Thermodynamic Studies. J. Eng. Fibers Fabr. 2020, 15, 1558925020919847. [Google Scholar] [CrossRef]
- Doke, K.M.; Yusufi, M.; Joseph, R.D.; Khan, E.M. Comparative Adsorption of Crystal Violet and Congo Red onto ZnCl2 Activated Carbon. J. Dispers. Sci. Technol. 2016, 37, 1671–1681. [Google Scholar] [CrossRef]
- Ait Ahsaine, H.; Zbair, M.; Anfar, Z.; Naciri, Y.; El Haouti, R.; El Alem, N.; Ezahri, M. Cationic Dyes Adsorption onto High Surface Area ‘Almond Shell’ Activated Carbon: Kinetics, Equilibrium Isotherms and Surface Statistical Modeling. Mater. Today Chem. 2018, 8, 121–132. [Google Scholar] [CrossRef]
- Ayoub, G.M.; Damaj, A.; El-Rassy, H.; Al-Hindi, M.; Zayyat, R.M. Equilibrium and kinetic studies on adsorption of chromium(VI) onto pine-needle-generated activated carbon. SN Appl. Sci. 2019, 1, 1562. [Google Scholar] [CrossRef]
- El Nemr, A.; Aboughaly, R.M.; El Sikaily, A.; Ragab, S.; Masoud, M.S.; Ramadan, M.S. Utilization of Sugarcane Bagasse/ZnCl2 for Sustainable Production of Microporous Nano-Activated Carbons of Type I for Toxic Cr(VI) Removal from Aqueous Environment. Biomass Convers. Biorefinery 2021. [Google Scholar] [CrossRef]
- Haroon, H.; Shah, J.A.; Khan, M.S.; Alam, T.; Khan, R.; Asad, S.A.; Ali, M.A.; Farooq, G.; Iqbal, M.; Bilal, M. Activated Carbon from a Specific Plant Precursor Biomass for Hazardous Cr(VI) Adsorption and Recovery Studies in Batch and Column Reactors: Isotherm and Kinetic Modeling. J. Water Process Eng. 2020, 38, 101577. [Google Scholar] [CrossRef]
- Khemmari, F.; Benrachedi, K. Valorization of Peach Stones to High Efficient Activated Carbon: Synthesis, Characterization, and Application for Cr(VI) Removal from Aqueous Medium. Energy Sources Part Recovery Util. Environ. Eff. 2020, 42, 688–699. [Google Scholar] [CrossRef]















| Contaminant | Parameters | |||||
|---|---|---|---|---|---|---|
| pH | C0 (mg/L) | Cads (g/100 mL) | t (Min) | T (°C) | ||
| CV | pH effect | 2–12 | 100 | 0.1 | 45 | 30 |
| Cads effect | 9 | 100 | 0–0.5 | 45 | 30 | |
| Effect of t | 9 | 100 | 0.1 | 0–120 | 30 | |
| Effect of T | 9 | 100 | 0.1 | 45 | 25–50 | |
| Isotherm | 9 | 50–500 | 0.1 | 60 | 30 | |
| Cr (VI) | pH effect | 2–10 | 100 | 0.15 | 70 | 30 |
| Cads effect | 6 | 100 | 0–0.5 | 70 | 30 | |
| Effect of t | 6 | 100 | 0.15 | 0–120 | 30 | |
| Effect of T | 6 | 100 | 0.15 | 70 | 25–50 | |
| Isotherm | 6 | 50–300 | 0.15 | 80 | 30 | |
| Element | % Weight | % Atomic |
|---|---|---|
| C | 84.48 | 91.48 |
| O | 6.37 | 5.17 |
| Mg | 0.99 | 0.53 |
| P | 1.56 | 0.66 |
| S | 0.44 | 0.16 |
| Ca | 6.16 | 2.00 |
| Material | Carboxylic (mmol/g) | Lactones (mmol/g) | Hydroxyls (mmol/g) | Acidity (mmol/g) | Basicity (mmol/g) |
|---|---|---|---|---|---|
| SCGs | 0.82 | 0.09 | 0.15 | 1.06 | 0.74 |
| ACSCGs | 0.12 | 0.03 | 0.08 | 0.23 | 0.96 |
| Parameters | CV | Cr (VI) | |||||||
|---|---|---|---|---|---|---|---|---|---|
| T (K) | 298 | 303 | 313 | 323 | 298 | 303 | 313 | 323 | |
| PFO | qe.exp (mg/g) | 96.2 | 94.5 | 92.9 | 91 | 63.4 | 60.2 | 59.3 | 57.8 |
| qe.cal | 98.7 | 97.7 | 95.9 | 94.5 | 66.2 | 62.98 | 62.3 | 61.0 | |
| k1 (min−1) | 0.146 | 0.148 | 0.150 | 0.152 | 0.209 | 0.227 | 0.242 | 0.257 | |
| R2 | 0.981 | 0.991 | 0.992 | 0.993 | 0.980 | 0.979 | 0.975 | 0.970 | |
| χ2 | 6.61 | 6.46 | 5.67 | 4.45 | 7.08 | 7.32 | 8.40 | 9.26 | |
| PSO | qe.cal (mg/g) | 95.5 | 94.5 | 92.6 | 91.1 | 62.3 | 59.3 | 58.7 | 57.5 |
| k2 (g/mg·min) | 0.0039 | 0.0040 | 0.0043 | 0.0044 | 0.0052 | 0.0058 | 0.0060 | 0.0063 | |
| R2 | 0.998 | 0.999 | 0.999 | 0.999 | 0.999 | 0.999 | 0.999 | 0.999 | |
| χ2 | 4.62 | 4.57 | 4.53 | 3.49 | 1.25 | 1.02 | 0.62 | 0.38 | |
| CV | Cr (VI) | ||||||||
|---|---|---|---|---|---|---|---|---|---|
| T (K) | T (K) | ||||||||
| 298 | 303 | 313 | 323 | 298 | 303 | 313 | 323 | ||
| Step 1 | kd1 (mg·min2/g) | 33.85 | 34.74 | 36.06 | 41.90 | 27.80 | 27.90 | 27.94 | 28.55 |
| C1 (mg/g) | −17.20 | −10.01 | −10.03 | −9.04 | −17.57 | −16.99 | −17.35 | −17.68 | |
| R2 | 0.972 | 0.972 | 0.975 | 0.977 | 0.980 | 0.988 | 0.989 | 0.989 | |
| Step 2 | kd2 (mg·min2/g) | 6.08 | 6.11 | 6.48 | 6.65 | 9.22 | 12.10 | 12.27 | 12.94 |
| C2 (mg/g) | 53.38 | 54.62 | 52.27 | 50.22 | 24.15 | 16.18 | 15.02 | 15.35 | |
| R2 | 0.971 | 0.986 | 0.987 | 0.990 | 0.920 | 0.980 | 0.984 | 0.982 | |
| Step 3 | kd3 (mg·min2/g) | 0.008 | 0.092 | 0.151 | 0.319 | 0.459 | 0.567 | 0.744 | 0.751 |
| C3 (mg/g) | 96.32 | 94.38 | 91.99 | 88.75 | 56.03 | 53.12 | 53.95 | 53.65 | |
| R2 | 0.986 | 0.984 | 0.962 | 0.838 | 0.894 | 0.946 | 0.943 | 0.954 | |
| Model | Parameters | Adsorbent | |
|---|---|---|---|
| CV | Cr (VI) | ||
| Langmuir | qm (mg/g) | 352.1 | 187.6 |
| KL (L/mg) | 0.05 | 0.12 | |
| R2 | 0.999 | 0.999 | |
| χ2 | 11.14 | 8.69 | |
| Freundlich | KF (mg/g) (L/mg) 1/n | 72.2 | 75.1 |
| n | 3.45 | 5.45 | |
| R2 | 0.961 | 0.982 | |
| χ2 | 505.6 | 51.1 | |
| Temkin | A (L/g) | 1.10 | 10.61 |
| B | 41.98 | 100.68 | |
| R2 | 0.972 | 0.981 | |
| χ2 | 28.13 | 10.26 | |
| T (°C) | CV | Cr (VI) | ||||||
|---|---|---|---|---|---|---|---|---|
| ΔH° (kJ/mol) | ΔS° (J/mol K) | ΔG° (kJ/mol) | Ea (kJ/mol) | ΔH° (kJ/mol) | ΔS° (J/mol K) | ΔG° (kJ/mol) | Ea (kJ/mol) | |
| 25 | −26.28 | −62 | −7.80 | 1.62 | −6.62 | −17.96 | −4.65 | 5.45 |
| 30 | −7.49 | −1.18 | ||||||
| 40 | −6.87 | −1.00 | ||||||
| 50 | −6.25 | −0.82 | ||||||
| Adsorbent | Precursor | Activation Agent | pH | qm (mg/g) | Reference |
|---|---|---|---|---|---|
| CV | Sawdust | H3PO4 | 6.5 | 25.2 | [89] |
| Pineapple waste | KOH | 5 | 31.24 | [90] | |
| Corn cobs | H3PO4 | 10 | 41.80 | [91] | |
| Pomegranate husks | H3PO4 | 11 | 76.92 | [92] | |
| Apple wood | ZnCl2 | 8 | 142.85 | [93] | |
| Almond shells | KOH | 10 | 625.0 | [94] | |
| Spent coffee grounds | KOH | 9 | 352.1 | This study | |
| Cr (VI) | Pine needles | KOH | 4 | 65.36 | [95] |
| Sugar cane bagasse | ZnCl2 | 1 | 277.78 | [96] | |
| Eucalyptus sawdust | H3PO4 | 5.5 | 125 | [97] | |
| Orange peel | ZnCl2 | 1 | 133.33 | [81] | |
| Peach pits | H3PO4 | 5.6 | 14.045 | [98] | |
| Aloe vera waste | H2SO4 | 1.23 | 58.83 | [83] | |
| Spent coffee grounds | KOH | 6 | 187.6 | This study |
Disclaimer/Publisher’s Note: The statements, opinions and data contained in all publications are solely those of the individual author(s) and contributor(s) and not of MDPI and/or the editor(s). MDPI and/or the editor(s) disclaim responsibility for any injury to people or property resulting from any ideas, methods, instructions or products referred to in the content. |
© 2023 by the authors. Licensee MDPI, Basel, Switzerland. This article is an open access article distributed under the terms and conditions of the Creative Commons Attribution (CC BY) license (https://creativecommons.org/licenses/by/4.0/).
Share and Cite
Loulidi, I.; Jabri, M.; Amar, A.; Kali, A.; A. Alrashdi, A.; Hadey, C.; Ouchabi, M.; Abdullah, P.S.; Lgaz, H.; Cho, Y.; et al. Comparative Study on Adsorption of Crystal Violet and Chromium (VI) by Activated Carbon Derived from Spent Coffee Grounds. Appl. Sci. 2023, 13, 985. https://doi.org/10.3390/app13020985
Loulidi I, Jabri M, Amar A, Kali A, A. Alrashdi A, Hadey C, Ouchabi M, Abdullah PS, Lgaz H, Cho Y, et al. Comparative Study on Adsorption of Crystal Violet and Chromium (VI) by Activated Carbon Derived from Spent Coffee Grounds. Applied Sciences. 2023; 13(2):985. https://doi.org/10.3390/app13020985
Chicago/Turabian StyleLoulidi, Ilyasse, Maria Jabri, Abdelouahed Amar, Abderahim Kali, Awad A. Alrashdi, Chaimaa Hadey, Mbarka Ouchabi, Palsan Sannasi Abdullah, Hassane Lgaz, Youngjae Cho, and et al. 2023. "Comparative Study on Adsorption of Crystal Violet and Chromium (VI) by Activated Carbon Derived from Spent Coffee Grounds" Applied Sciences 13, no. 2: 985. https://doi.org/10.3390/app13020985
APA StyleLoulidi, I., Jabri, M., Amar, A., Kali, A., A. Alrashdi, A., Hadey, C., Ouchabi, M., Abdullah, P. S., Lgaz, H., Cho, Y., & Boukhlifi, F. (2023). Comparative Study on Adsorption of Crystal Violet and Chromium (VI) by Activated Carbon Derived from Spent Coffee Grounds. Applied Sciences, 13(2), 985. https://doi.org/10.3390/app13020985

