Abstract
In the actual operation of urban rail transit (URT), the vibrations of steel-spring floating-slab tracks (SSFSTs) are amplified, and the track structure has strong low-frequency acoustic radiation; therefore, it is necessary to study the acoustic radiation of SSFSTs. In addition, multi-block short track structures are often laid within the URT lines; however, many researchers studying the reduction of vibration track service performance problems only select one or several block tracks to study. In reality, many short track structures will become sound sources when a train passes, and different sound sources will have various acoustic effects during the propagation process; therefore, it is necessary to study the rationality of any track acoustic model that analyzes the acoustic radiation problem. In order to more accurately predict the acoustic characteristics of steel-spring short floating-slab tracks (SSSFSTs) on a one-span bridge, train-track-bridge interaction theory and the acoustic boundary element method (BEM) were adopted to study the acoustical differences and mechanism of the float-slab number in the acoustic model. The results showed that with the increase in the floating-slab number in the acoustic model, the acoustic radiation ability of SSSFSTs and the sound pressure in the sound field increased; however, it was not a simple linear increase. Thus, the floating-slab number in the acoustic model not only affected the acoustic radiation ability but also caused acoustic effects during the propagation process, which affected the predicted results. The vibration characteristics of each floating-slab were different, and the acoustic input conditions of different numbers of floating-slabs in the acoustic model led to significant differences in the acoustic analysis. There was also obviously a different acoustic contribution of each floating-slab to the same sound field point, which led to the significant influence of the sound pressure at the sound field points when using different acoustic models. Therefore, using acoustic models with different floating-slab numbers had a significant effect on the acoustic analysis of SSSFSTs. In order to study the acoustic characteristics of SSSFSTs on a one-span bridge, it was necessary to establish a complete acoustic model.
1. Introduction
Urban rail transit has effectively solved many problems, such as urban ground traffic congestion, and greatly improved travel efficiency, so many cities in the world are gradually building URT. However, URT also causes serious environmental vibration problems during operation, so many vibration reduction measures are used in vibration-sensitive areas, such as fastener vibration reduction, rail pillow vibration reduction, and track bed vibration reduction. The operating experience shows that the SSFST has a good vibration reduction effect; therefore, high-level vibration requirements often use the SSFST to alleviate the impact of environmental vibration in URT. At present, the studies on SSFSTs are mainly focused on the vibration isolation effect, dynamic performance, and fatigue damage.
The most critical research on SSFST is mainly focused on its vibration isolation performance. Nelson pointed out that the floating-slab system is the most effective of the vibration reduction track design options; the floating-slab track (FST) can effectively achieve vibration and noise reduction [1]. Schillemans evaluated the ground-borne noise of a double railway tunnel underneath the city of Antwerp, leading to the proposal for a FST and an estimation of the effects on the environment [2]. Lombaert established a three-dimensional numerical model for the prediction of railway-induced vibrations that fully accounted for the interaction between the train, the track, and the soil and studied the effectiveness of a FST for the control of ground-borne vibrations [3]. Li pointed out that the FST has a good ability to isolate the vibration transmitted from the track to the infrastructure, and the structure parameters have a significant influence on its vibration isolation performance [4]. Zhang studied the vertical vibration accelerations of rails and tunnel walls when a train passes through the SSFST and a general track in Metro by a site test and showed that the vibration effect of the SSFST gradually increased with the frequency increase, reaching the optimal effect at medium-high frequencies [5]. Lei established a finite element dynamic analysis model and carried out harmonic response analyses to investigate the influence of varying parameters upon the vibration reduction rate of SSFST [6]. Zhao studied different measures to further mitigate the low-frequency vibration of the natural frequency vibration of a FST in different subway operating conditions [7]. Zuo studied the capacity of the SSFST in vibration acceleration reduction, and the energy transmission losses were quantified through analysis of the experimental outcomes [8]. Luo established a three-dimensional dynamic model for coupled vehicle-floating-slab track systems on the basis of Mindlin plate theory, the influence of size effects on the slab’s natural frequencies and dynamic responses is investigated, and this model may serve as a potent tool for a more accurate assessment of train-induced vibrations in metro lines [9].
Meanwhile, the dynamic performance and control method of SSFST must be considered when the train passes. Zhai discussed the applicability of SSFST by establishing a vehicle-SSFST-coupled dynamic model to analyze the dynamic performance effects of various parameters of SSFST in the time and frequency domains [10]. Zhu proposed dynamic vibration absorbers to suppress the low-frequency vibrations of FSTs; the results showed that the scheme was effective and robust [11]. Hussein established a special periodic-structure model of FSTs to research the dynamic effect of end bearings between consecutive slab units and demonstrate the influence of the vertical stiffness of end bearings and its effect on the dynamic responses of the tracks [12]. Zhu established a train-FST vertical coupling dynamics model to study the mechanical parameters of the shear hinge of prefabricated SSSFST and then pointed out that the shear joint in a prefabricated short slab can improve the integrity of the track and vibration reduction efficiency [13]. Bashir studied the dynamic behavior of the FST subjected to train-induced vibrations using a finite element approach, and the results showed that the polyurethane pad was more effective in reducing vibrations at the FST than the steel-spring isolator by a vibration transfer mechanism [14]. To analyze the dynamic performance of the vehicle-FST system accurately, Yan established a vehicle-FST dynamic interaction model considering the flexibility of wheelsets, the influence of the rubber spring parameters, stiffness nonlinearity of the rubber spring, and wheelset flexibility on the dynamic performance of the system [15]. Fu designed two types of porous supporting layers acting as the track supporting layer and studied the mechanical performance of the porous honeycomb track slab under point loads using nonlinear material properties [16].
For the slab tracks, another important study is the fatigue damage problem. Huang studied the vibration characteristics of SSFST suitable for a 160 km/h URT during fatigue; the results indicated the fatigue loading aggravated the vibration level; however, the track system could still achieve excellent working performance [17]. Zhang established a vehicle-FST rigid-flexible coupling dynamic model to study the influence of vibration isolator failure on vehicle operation performance and FST vibration reduction effectiveness. The results showed that the failure of steel-spring vibration isolators had a significant impact on the operating safety and stability of vehicles and led to other track diseases [18]. Zhu proposed a damage detection method based on the one-dimensional residual convolution network that achieved accurate positioning of damaged steel springs in SSFST [19]. Saffari put forward a comprehensive thermo-vibro-acoustic evaluation, providing valuable insights into the dynamic response and sound radiation characteristics of multi-layered asphalt systems under various operating conditions [20]. Huang investigated the vibration characteristics and transmission law of the polyurethane mat floating-slab track during the fatigue process by using full-scale indoor laboratory models. The results showed that the fatigue loading accelerated the degradation of the under-slab polyurethane mats, reducing the capacity of dissipating energy; the polyurethane mat floating-slab track performed better in dissipating the vibration energy along the longitudinal direction, and the fatigue loading would aggravate the vibration level [21]. Li established a novel finite element model of the longitudinally continuous slab track to assess the influences of the dual applications of anchors and coatings on the damages of the longitudinally continuous slab tracks and to identify the effectiveness of different track maintenance methods in mitigating track damages [22].
Urban rail transit elevated railways use SSFSTs to mitigate the effects of environmental vibration as well. Wei studied the vibration reduction characteristics of an elevated SSFST in the time-frequency domain using finite element and field test methods [23]. Yang analyzed the reduction vibration influence of SSFST parameters by establishing a three-dimensional finite element model of floating-slab-tunnel-soil and then pointed out that the FST had the vibration reduction characteristics of impeding high frequency and amplifying low frequency [24]. Shi established a coupled vehicle-SSFST-bridge dynamics model using Green’s function method to investigate the dynamic response of the system in the high-frequency range [25]. Liang established the acoustic-vibration prediction model of a large-span steel-truss cable-stayed bridge to analyze the vibration and noise reduction characteristics and effects of three vibration reduction tracks on the bridge [26]. Liu evaluated the vibration and noise reduction effects of different vibration reduction tracks on the subway viaduct; the results showed that the vibration reduction tracks could reduce the noise of bridges [27]. Luo evaluated the efficiency of five noise mitigation measures, including a rubber floating-slab track, and pointed out that the combined control strategy showed overall better performance than individual mitigation measures within the efficient noise reduction regions [28]. Li studied the effect of SSFSTs on bridges and the impact of their parameters on the structural noise of bridges [29].
However, although a vibration reduction track laid on an elevated railway can reduce the vibration and noise of an elevated bridge, the vibration of the track is amplified. Liu pointed out that the vibration of the SSFST on the bridge intensified [30]. Feng studied the low-frequency vibration characteristics of simply supported BGB laying SSFST, and the results showed that the vibration reduction effect of the bridge was intensified by intensifying the SSFST vibration at 15–30 Hz [31]. The literature [23] obtained similar results. Therefore, it is also necessary to carry out research related to the acoustic radiation problem when the track vibration on the bridge is amplified. Yang studied the acoustic radiation characteristics of the reduction vibration track on U-beam bridges [32]. Zhang studied the acoustic vibration characteristics of steel-spring short floating-slab tracks (SSSFSTs) on BGB [33]. Zhang studied the low-frequency acoustic radiation characteristics and mechanism of SSFST on URT bridges. The investigation indicated that the SSFST had strong acoustic radiation capability; the acoustic radiation of the vibration reduction track on the bridge should be of great concern [34]. Feng studied the acoustic radiation characteristics of ballastless track in HSR by the wavenumber finite element-boundary element method, and the research showed that the track slab made a very important contribution to the acoustic [35]. Zhou investigated the reason and control method for the noise suddenly increasing in the vehicle when the train is running on the SSFST; the results provided a reference for the design of SSFSTs in terms of noise control [36].
In summary, in order to reduce the impact of vibration, the SSSFSTs are often used in URT because this track has good vibration damping performance. However, when a train passes, the SSSFSTs can also produce noise due to vibration. This has been considered in a few studies, especially how the vibration of SSSFSTs on a bridge can be aggravated in practical applications. In addition, the acoustic waves of each floating slab have mutual superposition or phase elimination and other acoustic effects in the propagation process; therefore, whether the model of SSSFST dynamic performance described in previous research is suitable for the analysis of acoustic radiation characteristics needs to be further studied. In order to study the acoustic radiation characteristics of SSSFSTs on one-span bridges, it is necessary to establish a detailed acoustic model that can accurately reflect the acoustic radiation characteristics. Therefore, based on train-track-bridge interaction theory and acoustic theory, this paper systematically analyzes the selection of the acoustic radiation model of SSSFSTs on a one-span bridge. This research provides a reasonable acoustic analysis model for evaluating the influence of SSSFSTs on the surrounding acoustic environment.
2. Prediction Model of Acoustic Radiation from SSSFSTs on a Bridge
The dynamical equations of the URT system can be expressed as follows:
where M, C, and K are the mass, damping, and stiffness matrices; and , , u and R are the acceleration, velocity, displacement, and generalized load vectors, respectively. When applied to the vehicle subsystem, track subsystem, and bridge subsystem, respectively, they can describe the motion state of each subsystem of the elevated railways. The vehicle-track-bridge interaction schematic is shown in Figure 1. The theory used here has been widely used in practical engineering problems [37,38].
Figure 1.
Vehicle-track-bridge dynamic interaction model.
This paper took an elevated BGB with SSFST for URT as the research object, in which the vehicle model adopted the Type A subway vehicle and established a 35-degree-of-freedom multi-rigid body dynamics model. The dynamic parameters of the Type A subway vehicle can be seen in the literature [18]. The SSFSTs used the 3D finite element model, in which a total of four SSSFSTs were laid on the bridge. The 24 m BGB was simplified as a thin-shell structure to reduce the computational burden. The finite element model did not consider the bridge pier. According to the actual position of the pier, simply supported constraints were applied to the bottom plate of the box-girder bridge. For the finite element model, the element size of beam 188 of the rail was 0.05 m, and the 3D element size of the SSSFSTs was 0.3/0.1/0.1 m for length/width/thickness. The finite element model of the SSFSTs-BGB system and the dynamic parameters can be seen in Figure 2 and Figure 3, and Table 1. The excitation was the sixth-grade track irregularity PSD of the US Federal Railroad Administration. The wheel-rail interaction force was calculated using the display integration method proposed by academician Zhai [39], and the above wheel-rail force was applied to the finite element model of the line infrastructure as a moving load to solve for its dynamic response. The obtained results were able to provide accurate acoustic boundary conditions for subsequent acoustic solutions.
Figure 2.
The SSSFSTs are on the bridge and finite element models.
Figure 3.
The label for SSSFSTs on the bridge.
Table 1.
Element types and dynamic parameters of the track-bridge finite model [34,40].
The acoustic boundary element method [41] was used to calculate the acoustic radiation of the floating-slabs. The application of the acoustic boundary element method in predicting low-frequency acoustic radiation from structures has been widely recognized for its accuracy and effectiveness. For the acoustic boundary element method, based on the acoustic wave equation, Sommerfeld radiation condition, and Neumann boundary condition Meanwhile, the following basic assumptions are made in the calculation of the acoustic radiation of floating-slabs: The propagation medium is ideal; the air has no reaction force on the floating-slab plate; the floating-slab is the only sound source; the sound waves of the floating-slab are unaffected by the surrounding buildings; the sound waves have no interference effect in propagating; and structural noise is steady-state analysis.
3. Theoretical Model Verification
3.1. Comparative Verification of Dynamic Calculation Models
The SSSFSTs two-line BGB was selected as the research object. The acceleration response of the floating-slab vertical vibration was calculated using UM multi-body system dynamics simulation software 9.1 and compared with this paper’s model to verify its accuracy. The parameters of various sub-models used in UM demonstrate consistency with the parameters of this paper’s model. The vehicle’s operating speed was 80 km/h. The coupled vehicle-track-bridge dynamics model established in the UM software and the solution process are shown in Figure 4.
Figure 4.
Dynamics model of UM dynamic simulation software and solution process diagram: (a) UM vehicle-track-bridge dynamics model; (b) vehicle-track-bridge dynamics calculation process in UM.
The vertical dynamics of the track structure were the main influencing factor in its acoustic radiation; therefore, the vertical vibration acceleration response at the center of the second floating-slab on the bridge was chosen for comparison in this paper. A comparison of the vertical vibration acceleration at the center of the second floating-slab, calculated using UM dynamics simulation software and the model in this paper, is shown in Figure 5.
Figure 5.
Comparison of calculation results of two models: (a) The model calculation results of this paper; (b) The calculation results of UM software.
As shown in Figure 5, the acceleration response of the floating-slab vertical vibration obtained by the two methods was in good agreement. The waveforms were consistent, and the vibration time range and amplitude were also in agreement. This shows that the dynamics model established in this paper can solve the dynamics of the track system. In terms of accuracy, it can be used as an input for acoustic calculations and provides reliable acoustic boundary conditions.
3.2. Discussion of the Vibration Reduction Track Noise Test Problem and the Verification of Theoretical Methods
More noise sources are formed when the train passes the bridge, including wheel-track noise, aerodynamic noise, collector system noise, track and bridge structure noise, train vibration noise, etc. When testing the structure noise of a track on a bridge, the acoustic radiation of different sources will affect each other, and the tests also need to avoid the interference of background noise. The structural noise of a ballastless track and that of a bridge have similar frequency ranges; therefore, it is difficult to obtain acoustic radiation test information for an SSFST on the bridge. In addition, the selection of acoustic test point locations on the track structure is affected by acoustic effects during propagation as well as the influence of the various noise source signals. Therefore, it is difficult to test the structural noise of the ballastless track in the field.
This suggests that further research and development are needed for field testing techniques for the acoustic radiation of track structures. In this paper, the dynamic and acoustic solution methods have already been widely adopted and recognized. A large number of researchers have used vehicle-track-bridge interaction theory to solve the dynamic characteristics of tracks and bridges and the acoustic boundary element method to calculate the low-frequency structural noise. Therefore, the hybrid numerical integration method in this paper was able to accurately and effectively predict the structure noise of SSFSTs.
However, in order to further verify the method’s effectiveness, the acoustic radiation characteristics of the four short floating-slabs on the 24 m bridge in this paper are compared with the acoustic radiation characteristics of the 24 m long floating-slab in the literature [34]. Both adopt the SSFST on the 24 m BGB of URT, and the dynamic and acoustic analysis methods are the same. Meanwhile, the parameters of vehicle, track, bridge, and vehicle speed are consistent. Therefore, the effectiveness of the acoustic radiation prediction method adopted in this paper can be demonstrated by comparing the calculation results of the reference [34]. The sound field points of comparison and subsequent analysis are shown in Figure 6; the interval of the field points is 1 m. The noise caused by URT operations mainly affected the acoustic environment along the railway and in vehicles. Therefore, this paper selected 25 m from the longitudinal centerline of the track and the sound field point directly above the track as the main object of study, as shown in Figure 6.
Figure 6.
The research points to the selection of the track acoustic characteristics in the free sound field.
The comparison of sound radiation characteristics shows in Figure 7 and Figure 8 that the sound power and sound pressure spectrum curves are very similar, and the frequencies of sound radiation peak are basically the same in most frequency ranges. The main difference is reflected in the 0~50 Hz frequency range; it can be seen that because the vibration of SSSFST is larger through comparison of vibration, the sound radiation capacity is stronger. The vibration of the floating-slab is mainly manifested as the whole bending vibration below 15 Hz, and the acoustic radiation characteristics of the long floating-slab are stronger than those of the short floating-slab. Therefore, the comparison with the research results in the literature [34] can verify the effectiveness of the acoustic prediction method in this paper and can effectively predict the acoustic radiation characteristics of SSSFST.
Figure 7.
Comparison of the sound power.

Figure 8.
Comparison of the sound pressure at different sound points.
4. Rationalization of the Acoustic Radiation Model of a Track on a Bridge
The study of the vibration or vibration isolation of tracks often uses a piece or part of the track structure as the object. However, when trains pass the bridge, multiple short-track structures laid on one span of the bridge become noise sources. In order to reflect more accurately the acoustic characteristics of track structure on the bridge, the rationality of the sound radiation prediction model of track structure needs further study. Therefore, it was essential to establish a reasonable and effective acoustical analysis model, and it was necessary to systematically study the establishment of the acoustic model to provide a theoretical basis for the subsequent acoustical analysis of the track structure.
The acoustic boundary element models of one floating-slab (Group 2), two floating-slabs (Group 2 and Group 3), and four floating-slabs (Group 1~4) were established, and the acoustic radiation characteristics of the three acoustic models under the same operating conditions were calculated. The floating-slab markings of the SSSFSTs on the bridge are shown in Figure 3. Sound waves are easily affected by different acoustic effects in the process of propagation; the linear sound pressure level of different field points in the sound field can reflect the difference in the propagation process of different numbers of floating-slab radiation sound waves and does not reflect the impact of the number of floating-slabs on its acoustic radiation capacity. Therefore, a comparison of the radiated sound power calculated by the three acoustic models was first used to analyze the acoustic radiation capabilities embodied by the different acoustic models. Next, the propagation characteristics of acoustic radiation from different numbers of floating-slabs were analyzed using the linear sound pressure levels at different field points and the contribution of acoustic radiation from floating-slabs. Since A-weighting will greatly attenuate the acoustic characteristics of low-frequency noise and ignore the hazards of low-frequency noise, this paper adopted the acoustic evaluation parameters of linear weighting to study the low-frequency acoustic radiation characteristics of track structures instead of the more commonly used A-weighting method, and the unit was uniformly dB/L (linear). The radiated sound power for different numbers of floating-slabs is given in Figure 9, from which it can be seen that the sound power calculated by the three acoustic models differed considerably throughout the frequency range. As the number of floating-slabs in the acoustic model increased, the sound power was enhanced throughout the frequency range, but not in linear increments. The overall average sound power of the three acoustic models in the studied frequency range is given in Figure 9b, which gives a visual indication of the effect of the number of floating-slabs on the acoustic radiation capacity.
Figure 9.
Comparison of the acoustic power of different numbers floating on slabs: (a) The sound power spectrum of different numbers of floating-slabs; (b) The average sound power of different numbers of floating-slabs.
The linear sound pressure levels at field points SF1, SF4, and SF8 were used as examples to further analyze the effect of different numbers of floating-slabs on the acoustic radiation of the track structure. Figure 10 gives the linear sound pressure level frequency spectral curves of the three sound-receiving points, and it can be seen from the Figures that the overall sound pressure of the same scene increased with the number of floating-slabs, which was more obvious in the main vibration frequency range. Due to the influence of acoustic effects, such as superposition and phase extinction, on the propagation of sound waves radiated from different floating-slabs, the trend of the linear sound pressure spectrum curve was not as regular as the sound power spectrum curve, and the sound power spectrum curve showed more obvious differences. Using the main vibration frequency range where the sound pressure spectral curve was different, it can be seen that at the same height of the field points SF1 and SF4, the sound pressure radiated by the four floating-slabs in the main vibration frequency range was significantly stronger. At the nearest field point, SF8, the difference between the sound pressure radiated by the two and four floating-slabs was very small.

Figure 10.
Comparison of linear sound pressure at different sound field points for different numbers of floating-slabs: (a) Comparison of linear sound pressure at SF1 for different numbers of floating-slabs; (b) Comparison of linear sound pressure at SF4 for different numbers of floating-slabs; (c) Comparison of linear sound pressure at SF8 for different numbers of floating-slabs.
From the difference between the linear sound pressure levels at different field points and acoustic principles, we know that the sound pressure received at the receiving point is closely related to the propagation angle of the sound wave and the distance of the source; therefore, the increase in the number of floating-slabs in the acoustic model can not only enhance its acoustic radiation capacity but also affect the sound pressure received at different field points. The acoustic radiation caused by the vertical vibration of the two floating-slabs (Group 1 and Group 4) could be effectively radiated to the far field, and the sound pressure radiated by the four floating-slabs was significantly greater at this part of the field. From the comparison of the overall average linear sound pressure levels of the floating-slabs at different field points given in Figure 10, it can be seen that the number of floating-slabs had a greater effect on the overall average linear sound pressure level at the far field point SF1. The difference of the overall sound pressure at the points directly above the sound field (SF4 and SF8) was smaller than that of the far-field sound field, and the closer to the floating-slab, the smaller the difference of the overall sound pressure. Therefore, when using linear sound pressure to analyze the acoustic radiation characteristics of the track structure, the propagation characteristics need to be considered comprehensively, as they are closely related to the number of sound sources in the acoustic model and the selection of the sound field.
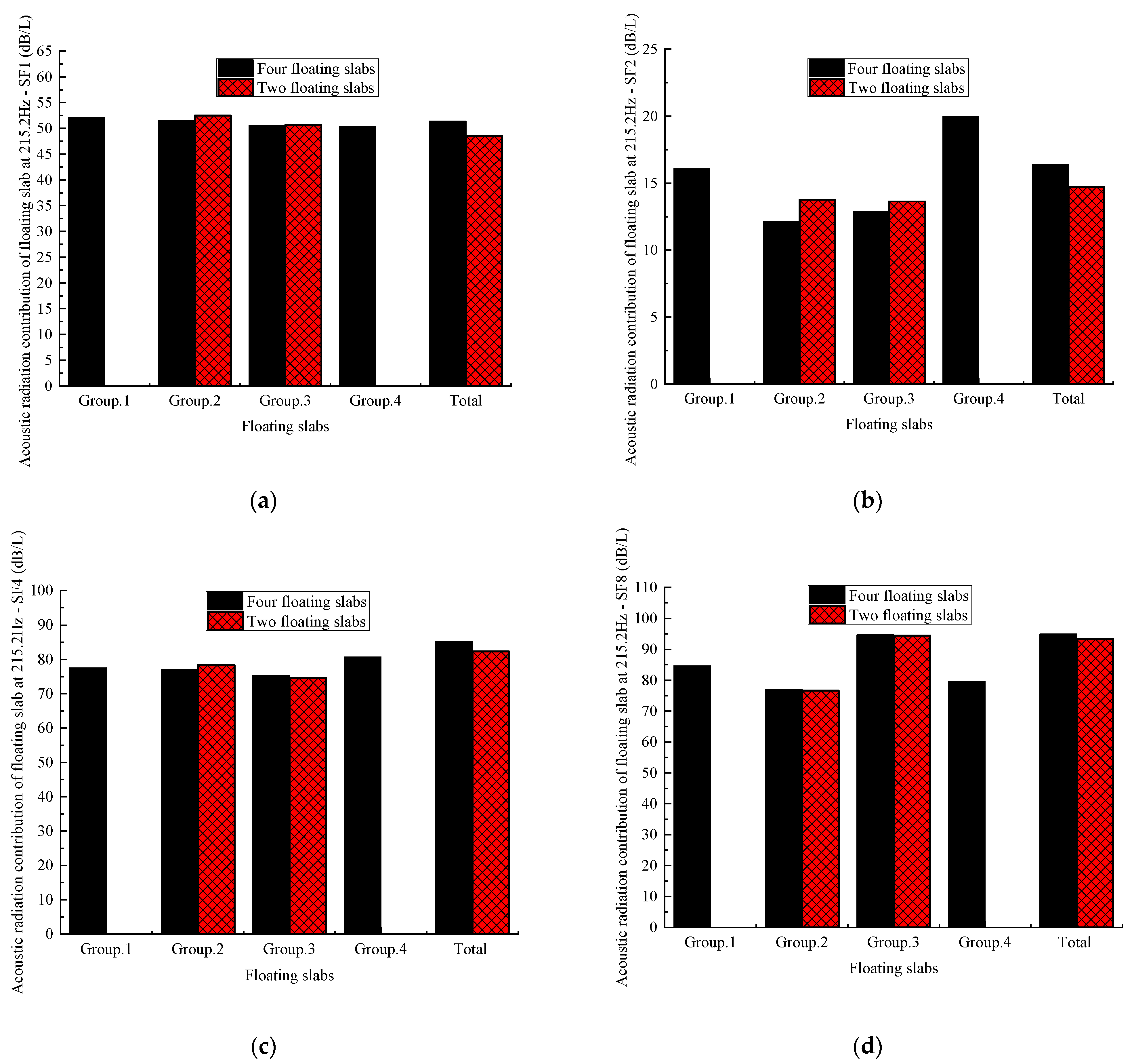
Figure 11 gives a comparison of the acoustic radiation contribution of the floating-slabs at 215.2 Hz in different acoustic models, from which it can be seen that different floating-slabs had different degrees of acoustic radiation contribution in all sound fields. The contribution of the two floating-slabs at the end of the bridge to the sound field in the middle of the span was very significant and stronger than the contribution of the middle floating-slab at most of the field points. From Figure 11b,c, it is obvious that the fourth floating-slab had the most prominent acoustic radiation contribution, and the first floating-slab also had a strong acoustic radiation contribution. A comparison of the acoustic radiation contribution of the floating-slab at 64.4 Hz is given in Figure 12, which yielded similar results to the above analysis. The biggest difference is shown in Figure 12b, where the acoustic radiation of the first and second floating-slabs positively contributed at field SF2, while the third and fourth slabs negatively contributed, with an overall positive sound pressure in the overall SSFST acoustic analysis model. In contrast, when the analysis was performed using the acoustic model considering only two floating-slabs, the acoustic radiation contributions of the second and third floating-slabs were positive and negative, respectively, and the overall sound pressure was negative. This further shows that there is a significant difference in the acoustic radiation contribution of different floating-slabs in the same sound field, and the number of floating-slabs has a significant effect on the acoustic analysis of the track structure. Using Figure 11 and Figure 12 to compare and analyze the acoustic radiation contribution of the second floating-slab (Group 2) and the third floating-slab (Group 3), it can be seen that in different acoustic models, the acoustic radiation contribution of these two floating-slabs was amplified or attenuated at most field points, indicating that the acoustic radiation of different floating-slabs is superimposed or offset. The acoustic radiation contribution of the same floating-slab to the same field points will differ in different acoustic models.
Figure 11.
Acoustic radiation contribution of floating-slabs to different sound field points at 215.2 Hz: (a) Contribution of acoustic radiation to the field point SF1; (b) Contribution of acoustic radiation to the field point SF2. (c) Contribution of acoustic radiation to the field point SF4. (d) Contribution of acoustic radiation to the field point SF8.
Figure 12.
Acoustic radiation contribution of floating-slabs to different sound field points at 64.4 Hz: (a) Contribution of acoustic radiation to the field point SF1; (b) Contribution of acoustic radiation to the field point SF2; (c) Contribution of acoustic radiation to the field point SF4; (d) Contribution of acoustic radiation to the field point SF8.
From the comparison of the acoustic vibration characteristics of different numbers of floating-slabs (Figure 13 and Figure 14), it can be seen that the vibration amplitudes of the second and third floating-slabs at 64.4 Hz were the same as those of the second floating-slab alone. Still, there was a big difference in the acoustic radiation pattern. The acoustic radiation range was more concentrated in the sound field area directly above and below the two floating-slabs, and the maximum and minimum values of sound pressure were higher and lower than those of the single floating-slab, respectively. In the main vibration frequency range (215.2 Hz, for example), the vibration pattern and vibration amplitude of the floating-slabs were the same; however, there were obvious differences in the acoustic radiation pattern across the mid-transverse sound field. In the mid- and far-field regions, the acoustic radiation pattern spread with the increase in the number of floating-slabs, and the sound pressure amplitude gradually increased.
Figure 13.
The vibration acceleration and the mid-span sound field sound radiation pattern of different numbers floating-slabs at 64.4 Hz (Unit: left column—m/s2; right column—dB/L): (a) Vibration acceleration cloud picture of a single floating-slab at 64.4 Hz; (b) Acoustic radiation pattern of a single floating-slab at 64.4 Hz; (c) Vibration acceleration cloud picture of two floating-slabs at 64.4 Hz; (d) Acoustic radiation pattern of two floating-slabs at 64.4 Hz; (e) Vibration acceleration cloud picture of four floating-slabs at 64.4 Hz; (f) Vibration acceleration cloud picture of four floating-slabs at 64.4 Hz.
Figure 14.
The vibration acceleration and the mid-span sound field sound radiation pattern of different numbers floating-slabs at 215.2 Hz (Unit: left column—m/s2; right column—dB/L): (a) Vibration acceleration cloud picture of a single floating-slab at 215.2 Hz; (b) Acoustic radiation pattern of a single floating-slab at 215.2 Hz; (c) Vibration acceleration cloud picture of two floating-slabs at 215.2 Hz; (d) Acoustic radiation pattern of two floating-slabs at 215.2 Hz; (e) Vibration acceleration cloud picture of four floating-slabs at 215.2 Hz; (f) Vibration acceleration cloud picture of four floating-slabs at 215.2 Hz.
By comparing the acoustic vibration characteristics of different numbers of floating-slabs at 64.4 Hz and 215.2 Hz, it can be seen that the inputs of acoustic boundary conditions were very different when different acoustic models were used for the analysis. The vibration characteristics of all the floating-slabs affect their acoustic radiation patterns and change the sound pressure received at the acoustic point in the sound field.
5. Discussion
Urban rail transit is faced with serious vibration and noise problems in the development process, and the environmental vibration is mainly alleviated by damping tracks. At present, with the application of various types of damping tracks, the environmental vibration problem has been effectively controlled; however, in the more vibration-sensitive areas, it is necessary to study the higher level of vibration reduction measures. In addition to the noise reduction problem involved in urban rail transit, damping tracks are often used as well. However, the effect of damping tracks on noise control is limited, and it will give rise to some new problems. Therefore, it is difficult to realize the noise control of rail transit by using damping tracks.
In practical engineering applications of the damping track, it is necessary not only to improve the vibration damping performance and effect but also to pay attention to its vibration and noise. Although suppression vibration measures of the damping track have been studied, attention should be paid to the acoustic radiation of the damping track as well. The authors believe that the influence of the damping track structure noise on the acoustic environment along the URT and inside the train could be re-evaluated in more detail in the future, especially the influence of low-frequency noise. The suppression vibration measures of the damping track can obtain a certain noise reduction effect; however, the acoustic principle is more complicated than the vibration principle; therefore, it is necessary to further study the noise radiation mechanism of damping tracks and then carefully consider the noise reduction problem.
Finally, the underground line is mainly used for urban rail transit. When the damping track becomes a low-frequency sound source through vibration, especially when the vibration of the damping track intensifies, the noise problem cannot be ignored. Therefore, it is necessary to systematically study the theoretical and experimental methods for determining the acoustic-vibration characteristics of the damping track.
6. Conclusions
To study the acoustic radiation characteristics of a track structure formed by multiple SSSFSTs on a bridge, this paper compared and analyzed the acoustic radiation characteristics of different numbers of floating-slabs, investigated the rationality of establishing an acoustic model of the track structure on the bridge, and conducted an in-depth study on the mechanism of the differences. The following conclusions were obtained:
- (1)
- The acoustic radiation characteristics obtained from the acoustic models with different numbers of floating-slabs were significantly different. With an increased number of floating-slabs in the acoustic model, the acoustic radiation capacity of the SSSFSTs and the sound pressure radiated to the outside were enhanced. However, this did not occur in simple linear increments.
- (2)
- The vibration characteristics of each floating-slab on the one-span bridge were different, and the acoustic input conditions of different numbers of floating-slabs in the acoustic models used for acoustic analysis led to significant differences in the acoustic analysis results.
- (3)
- With the same number of floating-slabs in the acoustic model, there were obvious differences in different floating-slab acoustic contributions at the same sound point. Using acoustic models with different floating-slab numbers, the acoustic contribution of the same floating-slab showed amplified or weakened contributions at the same sound point. Therefore, the number of sound sources in the acoustic model directly affects the acoustic calculation results because the sound waves of each floating-slab can cause acoustic effects during the propagation process.
For SSFSTs of a 24 m box girder bridge, this paper studied the influence of acoustic characteristics using different acoustic models of floating-slab numbers. The upper limit number that can be used without leading to an influence of the floating-slabs on the acoustic radiation according to the laying situation of SSFSTs on the one-span bridge was not analyzed in detail, that is, to what extent an increase in the number of floating-slabs will not influence the acoustic analysis results. This problem requires further analysis in the future. This paper provides a reasonable research basis for the acoustic analysis of SSSFSTs. The field-testing technology of SSSFSTs still needs to be further studied.
Author Contributions
X.Z. (Xiaoyun Zhang): Establishing the modes and data analysis, writing the original manuscript. X.Z. (Xiaoan Zhang): Methodology, review, and revise the manuscript. J.X.: Data processing, review, and editing. L.Y. and G.S.: Data curation, formal analysis, review, and revising the manuscript. All authors have read and agreed to the published version of the manuscript.
Funding
This research was funded by the National Natural Science Foundation of China, grant number 52362049; the Lanzhou Science and Technology Planning Project, grant number 2022-ZD-131; the University Youth Fund Project of Lanzhou Jiaotong University, grant number 2021014; the Natural Science Foundation of Gansu Province, grant numbers 22JR5RA344 and 22JR11RA152; and the Young Doctor Foundation Education Department of Gansu Province, grant numbers 2022QB-063 and 2023QB-037.
Institutional Review Board Statement
Not applicable.
Informed Consent Statement
Not applicable.
Data Availability Statement
The data used to support the findings of this study are available from the corresponding author upon request.
Conflicts of Interest
The authors declare no conflict of interest.
References
- Nelson, J. Recent Developments in Ground-borne Noise and Vibration Control. J. Sound Vib. 1996, 93, 367–376. [Google Scholar] [CrossRef]
- Schillemans, L. Impact of sound and vibration of the north-south high-speed railway connection through the city of antwerp belgium. J. Sound Vib. 2003, 267, 637–649. [Google Scholar] [CrossRef]
- Lombaert, G.; Degrande, G.; Vanhauwere, B.; Vandeborght, B.; François, S. The control of ground-borne vibrations from railway traffic by means of continuous floating slabs. J. Sound Vib. 2006, 297, 946–961. [Google Scholar] [CrossRef]
- Li, Z.; Wu, T. Modelling and Analysis of Force Transmission in Floating-slab Track for Railways. Proc. Inst. Mech. Eng. Part F J. Rail Rapid Transit 2008, 222, 45–57. [Google Scholar] [CrossRef]
- Zhang, H.; Huo, M.; Meng, L.; An, X.S. Site test and analysis of vibration attenuation effect of steel spring floating slab track. Adv. Mater. Res. 2015, 1065, 388–392. [Google Scholar] [CrossRef]
- Lei, X.; Jiang, C. Analysis of vibration reduction effect of steel spring floating slab track with finite elements. J. Vib. Control 2016, 22, 1462–1471. [Google Scholar] [CrossRef]
- Zhao, Z.; Wei, K.; Ding, W.; Du, W.; Li, H. UM-SIMULINK Co-simulation for the vibration reduction optimization of a magnetorheological damping steel-spring floating slab track. Constr. Build. Mater. 2021, 307, 124923. [Google Scholar] [CrossRef]
- Zuo, J.; Du, T.; Chen, W.; Fang, C.; Zhang, S.; Zou, C.; Huang, L.; Chen, H. Experimental study of concrete floating slab municipal road with steel spring isolators under vehicle loads. Constr. Build. Mater. 2022, 315, 125686. [Google Scholar]
- Luo, J.; Zhu, S.; Zhai, W. Development of a track dynamics model using Mindlin plate theory and its application to coupled vehicle-floating slab track systems. Mech. Syst. Signal Process. 2020, 140, 106641. [Google Scholar] [CrossRef]
- Zhai, W.; Xu, P.; Wei, K. Analysis of vibration reduction characteristics and applicability of steel-spring floating-slab track. Constr. Build. Mater. 2011, 19, 215–222. [Google Scholar] [CrossRef]
- Zhu, S.; Yang, J.; Yan, H.; Zhang, L.; Cai, C. Low-frequency vibration control of floating slab tracks using dynamic vibration absorbers. Veh. Syst. Dyn. 2015, 53, 1296–1314. [Google Scholar] [CrossRef]
- Hussein, M.; Costa, P. The effect of end bearings on the dynamic behaviour of floating-slab tracks with discrete slab units. Int. J. Rail Transp. 2017, 5, 38–46. [Google Scholar] [CrossRef]
- Zhu, Z.; Huang, Y.; Huang, C.; Ding, D.; Liu, X. Dynamic response of prefabricated short section steel spring floating plate track considering shear hinge action. J. Vib. Eng. 2021, 34, 799–808. (In Chinese) [Google Scholar]
- Bashir, S.; Mandhaniya, P.; Akhtar, N. Influence of plasticity and vibration isolators on an underground floating slab track using finite element analysis. In Structures; Elsevier: Amsterdam, The Netherlands, 2023; Volume 55, pp. 1783–1792. [Google Scholar]
- Yan, B.; Pan, L.; Xu, L.; Deng, X.; Liu, W.; Du, X. Dynamic performance analysis of floating slab track system considering flexible wheelset. Constr. Build. Mater. 2023, 393, 132074. [Google Scholar]
- Fu, H.; Kaewunruen, S. Numerical investigation of porous composite honeycomb track slab under point load. Mater. Today Proc. 2022, 65, 1628–1633. [Google Scholar] [CrossRef]
- Huang, X.; Zeng, Z.; Wang, D.; Luo, X.; Li, P.; Wang, W. Experimental study on the vibration reduction characteristics of the floating slab track for 160 km/h urban rail transit. In Structures; Elsevier: Amsterdam, The Netherlands, 2023; Volume 51, pp. 1230–1244. [Google Scholar]
- Zhang, C.; Liu, D.; Zhang, X.; Yi, Q.; Wang, L.; Wang, P. Influence of vibration isolator failure on vehicle operation performance and floating slab track structure vibration reduction effectivness. Shock Vib. 2019, 2019, 8385310. [Google Scholar]
- Zhu, S.; Zhang, Q.; Yuan, Z.; Zhai, W. Damage detection for floating-slab track steel-spring based on residual convolutional network. J. Traffic Transp. Eng. 2022, 22, 123–135. (In Chinese) [Google Scholar]
- Saffari, P.R.; Thongchom, C.; Jearsiripongkul, T.; Saffari, P.R.; Keawsawasvong, S.; Kongwat, S. Thermo-vibro-acoustic analysis of pavement under a harmonically rectangular moving load. Int. J. Thermofluids 2023, 20, 100409. [Google Scholar]
- Huang, X.; Zeng, Z.; Li, Z.; Luo, X.; Yin, H.; Wang, W. Experimental study on vibration characteristics of the floating slab with under-slab polyurethane mats considering fatigue loading effect. Eng. Struct. 2023, 276, 115322. [Google Scholar]
- Li, Y.; Chen, J.; Wang, J.; Kaewunruen, S. Nonlinear modelling for structural damage assessments of reinforced and coated longitudinally coupled slab tracks. Dev. Built Environ. 2023, 15, 100204. [Google Scholar]
- Wei, H.; Lian, S.; Zhou, Y. Vibration reduction characteristics of steel spring floatting slab track in metro viaduct. J. Tongji Univ. (Nat. Sci.) 2012, 40, 1342–1348. (In Chinese) [Google Scholar]
- Yang, W.; Li, M.; Gu, S.; Wang, M.; Zhang, N.; Ma, B.; Wang, M.; Ge, J. Research on the source reduction of vibration of Chengdu museum induced by metro running. J. Railw. Eng. Soc. 2016, 33, 102–108. (In Chinese) [Google Scholar]
- Shi, G.; Yang, J.; Yang, X. Parameter Influences of Light Floating Slab on Its Vertical Vibration Excited by Track Irregularity. Open Mech. Eng. J. 2014, 8, 206–213. [Google Scholar] [CrossRef]
- Liang, L.; Li, X.; Bi, R.; Gong, Z.; Sun, Y. Investigation of the effect of vibration-reducing tracks on the vibration and noise from a large-span steel bridge. J. Vib. Control. 2022, 29, 2184–2197. [Google Scholar]
- Liu, J.; Liu, P.; Yang, Y.; Dong, Z.; Zhou, C.; Liang, X. Tests and analysis for vibration and noise reduction effect of track on metro visduct. J. Vib. Shock 2022, 41, 83–89. (In Chinese) [Google Scholar]
- Luo, Y.; Song, L.; Zhang, C.; Ni, Y. Experimental evaluation and numerical interpretation of various noise mitigation strategies for in-service elevated suburban rail. Measurement 2023, 219, 113276. [Google Scholar]
- Li, X.; Guo, Z.; Lei, K.; Hu, X.; Liang, L. Effects of steel spring floating slab on vibration and noise of a rail transit box-girder. Transport 2022, 175, 261–274. [Google Scholar] [CrossRef]
- Liu, X. Research on the Vertical Vibration Transmissibility of Steel Spring Floating Slab Track Structure on the 32m Simply Supported Box Beam; Beijing Jiaotong University: Beijing, China, 2011. (In Chinese) [Google Scholar]
- Feng, D.; Yang, J.; Yu, J.; Xu, H. Influence of vibration damping track on viaduct girder’s low-frequency vibration characteristics. Railw. Eng. 2015, 12, 7–11. (In Chinese) [Google Scholar]
- Yang, L.; Shi, G.; Zhang, X.; Zhang, X. Shadowing effect of urban rail transit trough girders on sound radiation of track structure on bridge. J. Railw. Sci. Eng. 2021, 18, 2366–2374. (In Chinese) [Google Scholar]
- Zhang, X.; Zhang, X.; Shi, G.; He, Z.; Yang, L.; Du, M. Acoustic-vibration characteristics of steel-spring-floating-slab-track on urban rail transit bridge. In Proceedings of the 2nd International Conference on Rail Transportation (ICRT 2021), ASCE, Reston, VA, USA, 2022. [Google Scholar]
- Zhang, X.; Zhang, X.; Wang, K.; Shi, G.; Huang, Z. Structural vibration acoustic radiation characteristics of steel spring floating-slab track on bridge. J. China. Railw. Soc. 2022, 44, 89–95. (In Chinese) [Google Scholar]
- Feng, Q.; Xin, W.; Luo, X.; Liu, Q.; Lei, X. Analysis of acoustic radiation properties of ballastless track using wavenumber finite element and boundary element method. J. China Railw. Soc. 2019, 41, 102–109. (In Chinese) [Google Scholar]
- Zhou, Q.; He, Y.; Li, M.; Liu, Z.; He, Y.; Sheng, X. A parametric study on the structural noise radiation characteristics of a steel spring floating slab track. Adv. Mech. Eng. 2022, 14, 1687–8132. [Google Scholar]
- Zhai, W.; Xia, H.; Cai, C.; Gao, M.; Li, X.; Guo, X.; Zhang, N.; Wang, K. High-speed train-track-bridge dynamic interactions-Part I: Theoretical model and numerical simulation. Int. J. Rail Transp. 2013, 1, 3–24. [Google Scholar] [CrossRef]
- Zhai, W.; Wang, S.; Zhang, N.; Gao, M.; Xia, H.; Cai, C.; Zhao, C. High-speed train-track-bridge dynamic interactions-Part II: Experimental validation and engineering application. Int. J. Rail Transp. 2013, 1, 25–41. [Google Scholar] [CrossRef]
- Zhai, W. Vehicle–Track Coupled Dynamics: Theory and Applications; Springer: Singapore, 2020. [Google Scholar]
- Zhang, X.; Zhai, W.; Chen, Z.; Yang, J. Characteristic and mechanism of structural acoustic radiation for box girder bridge in urban rail transit. Sci. Total Environ. 2018, 627, 1303–1314. [Google Scholar]
- Hsiao, G.; Wendland, W. Boundary Integral Equations; Springer: Berlin, Germany, 2008. [Google Scholar]
Disclaimer/Publisher’s Note: The statements, opinions and data contained in all publications are solely those of the individual author(s) and contributor(s) and not of MDPI and/or the editor(s). MDPI and/or the editor(s) disclaim responsibility for any injury to people or property resulting from any ideas, methods, instructions or products referred to in the content. |
© 2023 by the authors. Licensee MDPI, Basel, Switzerland. This article is an open access article distributed under the terms and conditions of the Creative Commons Attribution (CC BY) license (https://creativecommons.org/licenses/by/4.0/).















