Ultraviolet Erythemal Irradiance (UVER) under Different Sky Conditions in Burgos, Spain: Multilinear Regression and Artificial Neural Network Models
Abstract
1. Introduction
2. Experimental Data and Quality Control
3. Methodology
3.1. Feature Selection
3.2. Multilinear Regression Model
3.3. Artificial Neural Network Model
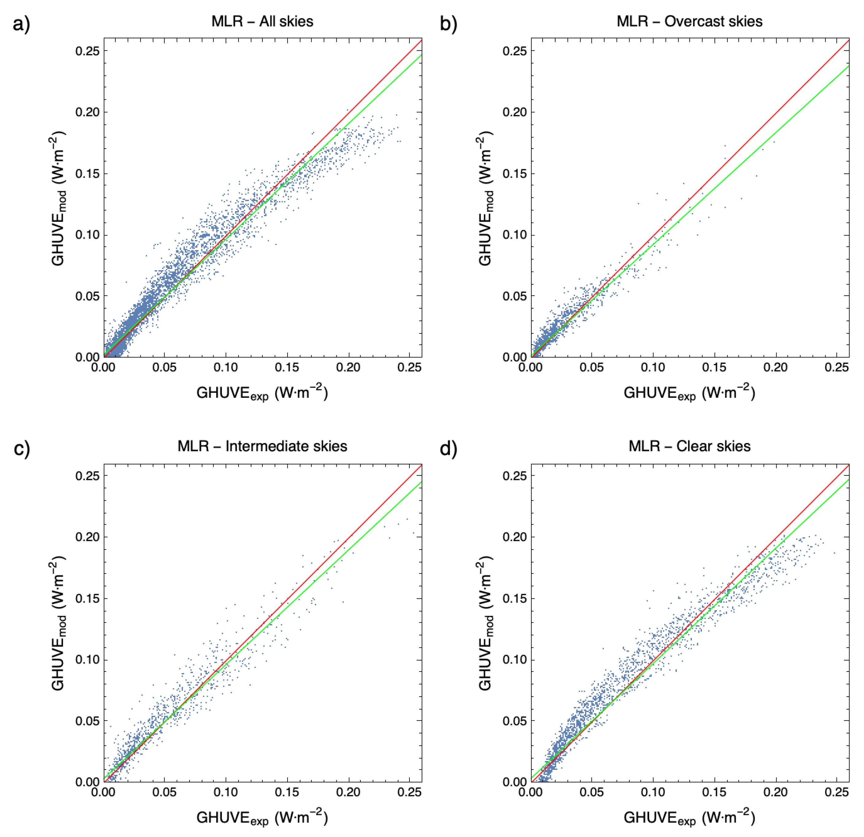
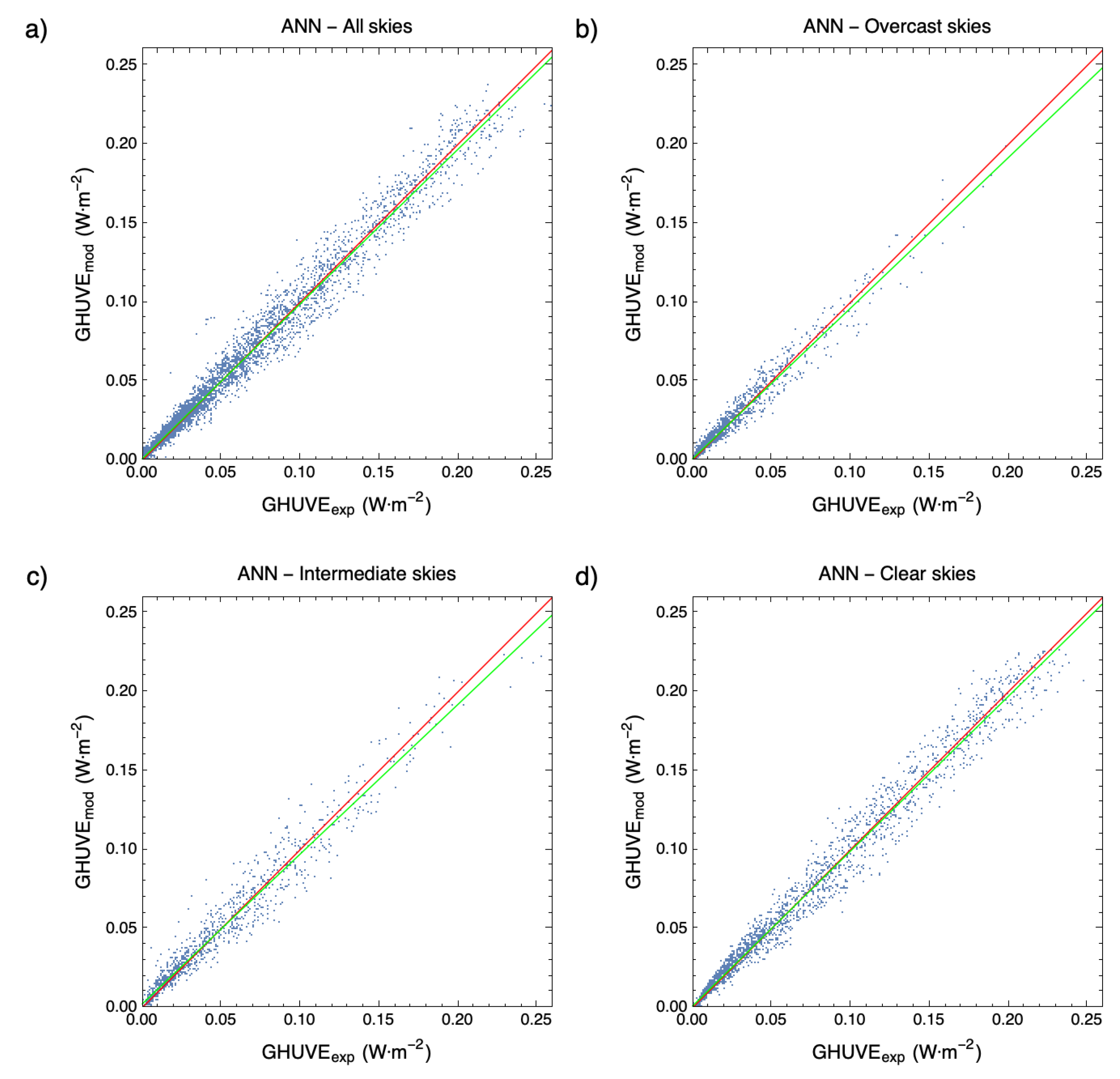
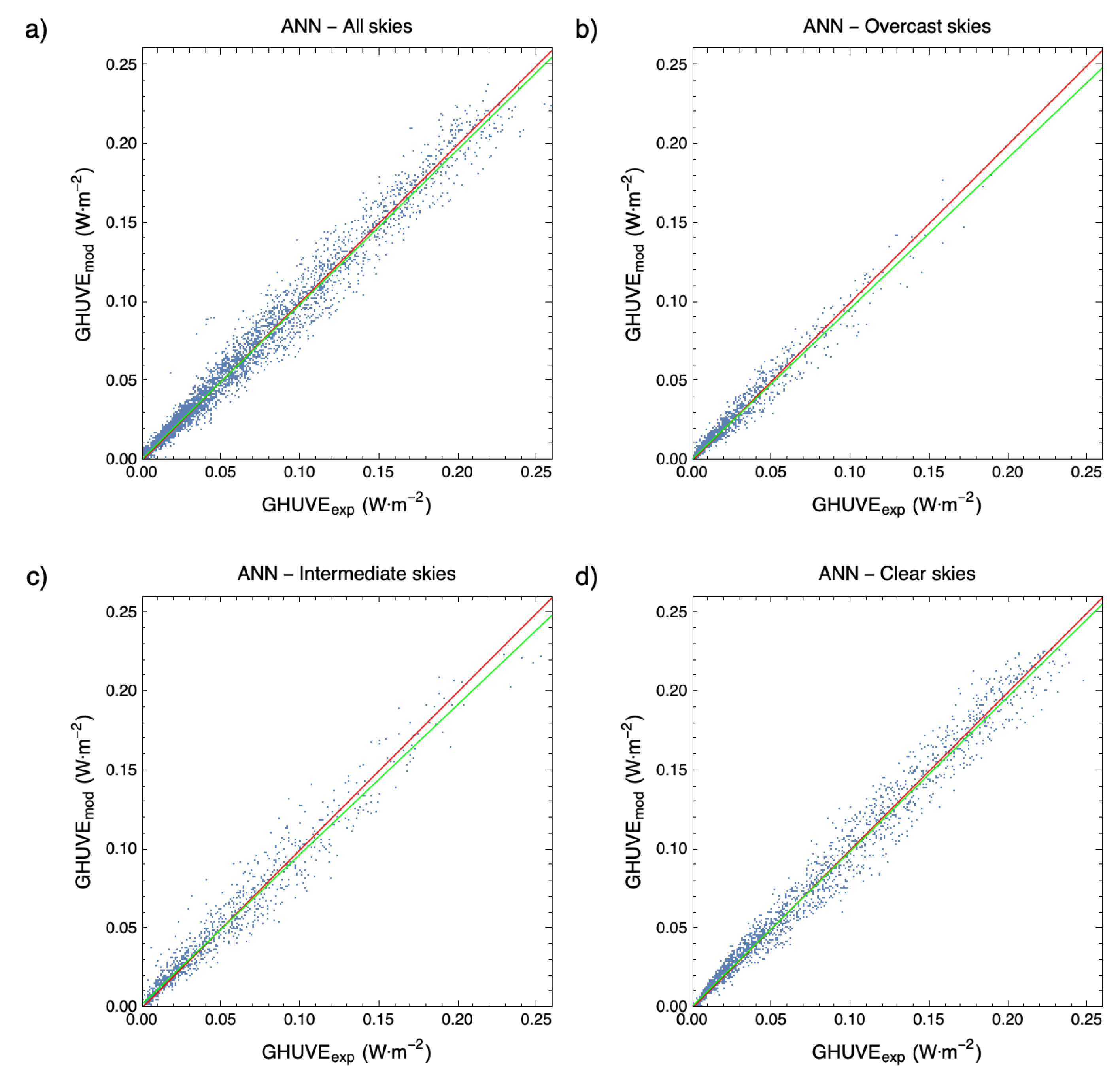
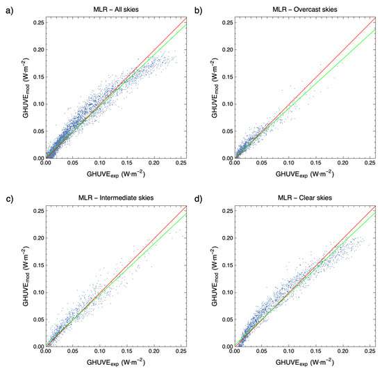
4. Results and Discussion
5. Conclusions
Author Contributions
Funding
Institutional Review Board Statement
Informed Consent Statement
Data Availability Statement
Conflicts of Interest
Nomenclature
| Solar constant (=1361.1 W/m2) | |
| Cloud cover (%) | |
| Diffuse fraction | |
| Diffuse horizontal irradiance (W/m2) | |
| Direct normal irradiance (W/m2) | |
| Global horizontal irradiance (W/m2) | |
| Global horizontal UV erythemal irradiance (W/m2) | |
| Clearness index | |
| Diffuse to extraterrestrial irradiance | |
| Number of data points | |
| Normalized root mean square error | |
| Normalized mean bias error ) | |
| Pearson correlation coefficient | |
| Relative humidity (%) | |
| Determination coefficient | |
| Air temperature (°C) | |
| Total ozone column | |
| Wind speed | |
| Perez´s brightness factor | |
| Perez´s clearness index | |
| The average value of the orbital eccentricity of the Earth | |
| Solar zenith angle (rad) | |
| ψ | Solar azimuth angle (rad) |
References
- Ahmed, A.A.M.; Ahmed, M.H.; Saha, S.K.; Ahmed, O.; Sutradhar, A. Optimization algorithms as training approach with hybrid deep learning methods to develop an ultraviolet index forecasting model. Stoch. Environ. Res. Risk Assess. 2022, 36, 3011–3039. [Google Scholar] [CrossRef]
- González-Rodríguez, L.; de Oliveira, A.P.; Rodríguez-López, L.; Rosas, J.; Contreras, D.; Baeza, A.C. A Study of UVER in Santiago, Chile Based on Long-Term In Situ Measurements (Five Years) and Empirical Modelling. Energies 2021, 14, 368. [Google Scholar] [CrossRef]
- Salvadori, G.; Lista, D.; Burattini, C.; Gugliermetti, L.; Leccese, F.; Bisegna, F. Sun Exposure of Body Districts: Development and Validation of an Algorithm to Predict the Erythemal Ultra Violet Dose. Int. J. Environ. Res. Public Heal. 2019, 16, 3632. [Google Scholar] [CrossRef] [PubMed]
- Alados-Arboledas, L.; Alados, I.; Foyo-Moreno, I.; Olmo, F.; Alcántara, A. The influence of clouds on surface UV erythemal irradiance. Atmos. Res. 2003, 66, 273–290. [Google Scholar] [CrossRef]
- Cadet, J.-M.; Portafaix, T.; Bencherif, H.; Lamy, K.; Brogniez, C.; Auriol, F.; Metzger, J.-M.; Boudreault, L.-E.; Wright, C.Y. Inter-Comparison Campaign of Solar UVR Instruments under Clear Sky Conditions at Reunion Island (21° S, 55° E). Int. J. Environ. Res. Public Health 2020, 17, 2867. [Google Scholar] [CrossRef]
- Serrano, A.; Antón, M.; Cancillo, M.L.; Mateos, V.L. Daily and annual variations of erythemal ultraviolet radiation in Southwestern Spain. Ann. Geophys. 2006, 24, 427–441. [Google Scholar] [CrossRef][Green Version]
- Serrano, M.-A.; Cañada, J.; Moreno, J.C.; Gurrea, G. Solar ultraviolet doses and vitamin D in a northern mid-latitude. Sci. Total. Environ. 2017, 574, 744–750. [Google Scholar] [CrossRef]
- Vuilleumier, L.; Harris, T.; Nenes, A.; Backes, C.; Vernez, D. Developing a UV climatology for public health purposes using satellite data. Environ. Int. 2021, 146, 106177. [Google Scholar] [CrossRef]
- Human, S.; Bajic, V. Modelling Ultraviolet Irradiance in South Africa. Radiat. Prot. Dosim. 2000, 91, 181–183. [Google Scholar] [CrossRef]
- Modenese, A.; Gobba, F.; Paolucci, V.; John, S.M.; Sartorelli, P.; Wittlich, M. Occupational solar UV exposure in construction workers in Italy: Results of a one-month monitoring with personal dosimeters. In Proceedings of the 2020 IEEE International Conference on Environment and Electrical Engineering and 2020 IEEE Industrial and Commercial Power Systems Europe (EEEIC/I&CPS Europe), Madrid, Spain, 9–12 June 2020; pp. 1–5. [Google Scholar] [CrossRef]
- Vitt, R.; Laschewski, G.; Bais, A.F.; Diémoz, H.; Fountoulakis, I.; Siani, A.-M.; Matzarakis, A. UV-Index Climatology for Europe Based on Satellite Data. Atmosphere 2020, 11, 727. [Google Scholar] [CrossRef]
- Utrillas, M.; Marín, M.; Esteve, A.; Salazar, G.; Suárez, H.; Gandía, S.; Martínez-Lozano, J. Relationship between erythemal UV and broadband solar irradiation at high altitude in Northwestern Argentina. Energy 2018, 162, 136–147. [Google Scholar] [CrossRef]
- Bilbao, J.; Román, R.; Yousif, C.; Mateos, D.; de Miguel, A. Total ozone column, water vapour and aerosol effects on erythemal and global solar irradiance in Marsaxlokk, Malta. Atmos. Environ. 2014, 99, 508–518. [Google Scholar] [CrossRef]
- ISO/CIE 17166:2019(E); Erythema Reference Action Spectrum and Standard Erythema Dose. ISO: Geneva, Switzerland; CIE: Vienna, Austria, 2019. [Google Scholar]
- Leal, S.; Tíba, C.; Piacentini, R. Daily UV radiation modeling with the usage of statistical correlations and artificial neural networks. Renew. Energy 2011, 36, 3337–3344. [Google Scholar] [CrossRef]
- Esteve, A.R.; Marín, M.J.; Tena, F.; Utrillas, M.P.; Martínez-Lozano, J.A. Influence of cloudiness over the values of erythemal radiation in Valencia, Spain. Int. J. Clim. 2010, 30, 127–136. [Google Scholar] [CrossRef]
- Bilbao, J.; Mateos, D.; Yousif, C.; Román, R.; De Miguel, A. Influence of cloudiness on erythemal solar irradiance in Marsaxlokk, Malta: Two case studies. Sol. Energy 2016, 136, 475–486. [Google Scholar] [CrossRef]
- de Miguel, A.; Román, R.; Bilbao, J.; Mateos, D. Evolution of erythemal and total shortwave solar radiation in Valladolid, Spain: Effects of atmospheric factors. J. Atmos. Sol. -Terr. Phys. 2011, 73, 578–586. [Google Scholar] [CrossRef]
- Bilbao, J.; Román, R.; Yousif, C.; Pérez-Burgos, A.; Mateos, D.; de Miguel, A. Global, diffuse, beam and ultraviolet solar irradiance recorded in Malta and atmospheric component influences under cloudless skies. Sol. Energy 2015, 121, 131–138. [Google Scholar] [CrossRef]
- Antón, M.; Serrano, A.; Cancillo, M.; García, J. Influence of the relative optical air mass on ultraviolet erythemal irradiance. J. Atmos. Sol. -Terr. Phys. 2009, 71, 2027–2031. [Google Scholar] [CrossRef]
- McKenzie, R.L.; Matthews, W.A.; Johnston, P.V. The relationship between erythemal UV and ozone, derived from spectral irradiance measurements. Geophys. Res. Lett. 1991, 18, 2269–2272. [Google Scholar] [CrossRef]
- Antón, M.; Cazorla, A.; Mateos, D.; Costa, M.J.; Olmo, F.J.; Alados-Arboledas, L. Sensitivity of UV Erythemal Radiation to Total Ozone Changes under Different Sky Conditions: Results for Granada, Spain. Photochem. Photobiol. 2016, 92, 215–219. [Google Scholar] [CrossRef] [PubMed]
- Sanchez, G.; Serrano, A.; Cancillo, M.L. Modeling the erythemal surface diffuse irradiance fraction for Badajoz, Spain. Atmos. Meas. Tech. 2017, 17, 12697–12708. [Google Scholar] [CrossRef]
- Mateos, D.; Bilbao, J.; de Miguel, A.; Pérez-Burgos, A. Dependence of ultraviolet (erythemal and total) radiation and CMF values on total and low cloud covers in Central Spain. Atmos. Res. 2010, 98, 21–27. [Google Scholar] [CrossRef]
- Bilbao, J.; Román, R.; de Miguel, A.; Mateos, D. Long-term solar erythemal UV irradiance data reconstruction in Spain using a semiempirical method. J. Geophys. Res. Atmos. 2011, 116, D22211. [Google Scholar] [CrossRef]
- Lindfors, A.; Kaurola, J.; Arola, A.; Koskela, T.; Lakkala, K.; Josefsson, W.; Olseth, J.A.; Johnsen, B. A method for reconstruction of past UV radiation based on radiative transfer modeling: Applied to four stations in northern Europe. J. Geophys. Res. Earth Surf. 2007, 112, D23201. [Google Scholar] [CrossRef]
- Buntoung, S.; Janjai, S.; Nunez, M.; Choosri, P.; Pratummasoot, N.; Chiwpreecha, K. Sensitivity of erythemal UV/global irradiance ratios to atmospheric parameters: Application for estimating erythemal radiation at four sites in Thailand. Atmos. Res. 2014, 149, 24–34. [Google Scholar] [CrossRef]
- García-Rodríguez, A.; Granados-López, D.; García-Rodríguez, S.; Díez-Mediavilla, M.; Alonso-Tristán, C. Modelling Photosynthetic Active Radiation (PAR) through meteorological indices under all sky conditions. Agric. For. Meteorol. 2021, 310, 108627. [Google Scholar] [CrossRef]
- Dieste-Velasco, M.I.; García-Rodríguez, S.; García-Rodríguez, A.; Díez-Mediavilla, M.; Alonso-Tristán, C. Modeling Horizontal Ultraviolet Irradiance for All Sky Conditions by Using Artificial Neural Networks and Regression Models. Appl. Sci. 2023, 13, 1473. [Google Scholar] [CrossRef]
- Fatima-Ezzahra, D.; Abdellah, B.; Abdellatif, G. Estimation of ultraviolet solar irradiation of semi-arid area–case of Benguerir. In Proceedings of the 2020 International Conference on Electrical and Information Technologies (ICEIT), Rabat, Morocco, 4–7 March 2020; pp. 1–5. [Google Scholar] [CrossRef]
- Alados, I.; Gomera, M.A.; Foyo-Moreno, I.; Alados-Arboledas, L. Neural network for the estimation of UV erythemal irradiance using solar broadband irradiance. Int. J. Clim. 2007, 27, 1791–1799. [Google Scholar] [CrossRef]
- Barbero, F.J.; López, G.; Batlles, F.J. Determination of daily solar ultraviolet radiation using statistical models and artificial neural networks. Ann. Geophys. 2006, 24, 2105–2114. [Google Scholar] [CrossRef]
- Jacovides, C.; Tymvios, F.; Boland, J.; Tsitouri, M. Artificial Neural Network models for estimating daily solar global UV, PAR and broadband radiant fluxes in an eastern Mediterranean site. Atmos. Res. 2015, 152, 138–145. [Google Scholar] [CrossRef]
- Junk, J.; Feister, U.; Helbig, A. Reconstruction of daily solar UV irradiation from 1893 to 2002 in Potsdam, Germany. Int. J. Biometeorol. 2007, 51, 505–512. [Google Scholar] [CrossRef]
- Feister, U.; Junk, J.; Woldt, M.; Bais, A.; Helbig, A.; Janouch, M.; Josefsson, W.; Kazantzidis, A.; Lindfors, A.; Outer, P.N.D.; et al. Long-term solar UV radiation reconstructed by ANN modelling with emphasis on spatial characteristics of input data. Atmos. Meas. Tech. 2008, 8, 3107–3118. [Google Scholar] [CrossRef]
- Malinovic-Milicevic, S.; Vyklyuk, Y.; Radovanovic, M.M.; Petrovic, M.D. Long-term erythemal ultraviolet radiation in Novi Sad (Serbia) reconstructed by neural network modelling. Int. J. Clim. 2018, 38, 3264–3272. [Google Scholar] [CrossRef]
- Alados, I.; Mellado, J.A.; Ramos, F.; Alados-Arboledas, L. Estimating UV Erythemal Irradiance by Means of Neural Networks¶. Photochem. Photobiol. 2004, 80, 351–358. [Google Scholar] [CrossRef] [PubMed]
- Antón, M.; Cancillo, M.L.; Serrano, A.; García, J.A. A Multiple Regression Analysis Between UV Radiation Measurements at Badajoz and Ozone, Reflectivity and Aerosols Estimated by TOMS. Phys. Scr. 2005, 2005, 21. [Google Scholar] [CrossRef]
- Kim, J.; Lee, Y.G.; Koo, J.-H.; Lee, H. Relative Contributions of Clouds and Aerosols to Surface Erythemal UV and Global Horizontal Irradiance in Korea. Energies 2020, 13, 1504. [Google Scholar] [CrossRef]
- Foyo-Moreno, I.; Alados, I.; Alados-Arboledas, L. Adaptation of an empirical model for erythemal ultraviolet irradiance. Ann. Geophys. 2007, 25, 1499–1508. [Google Scholar] [CrossRef]
- ISO 15469:2004(E)/CIE S 011/E:2003; Spatial Distribution of Daylight—CIE Standard General Sky. ISO: Geneva, Switzerland; CIE: Vienna, Austria, 2004. [Google Scholar]
- Granados-López, D.; Suárez-García, A.; Díez-Mediavilla, M.; Alonso-Tristán, C. Feature selection for CIE standard sky classification. Sol. Energy 2021, 218, 95–107. [Google Scholar] [CrossRef]
- Suárez-García, A.; Díez-Mediavilla, M.; Granados-López, D.; González-Peña, D.; Alonso-Tristán, C. Benchmarking of meteorological indices for sky cloudiness classification. Sol. Energy 2020, 195, 499–513. [Google Scholar] [CrossRef]
- Beyer, H.G.; Martinez, J.P.; Suri, M.T.J.L.; Lorenz, E.; Müller, S.C.; Hoyer-Klick, C.; Ineichen, P. Report on Benchmarking of Radiation Products. Management and Exploitation of Solar Resource Knowledge. In Proceedings of the EUROSUN 2008, 1st International Congress on Heating, Cooling and Buildings, ISES, Lisbon, Portugal, 7–10 October 2008. [Google Scholar]
- Gueymard, C.A. Revised composite extraterrestrial spectrum based on recent solar irradiance observations. Sol. Energy 2018, 169, 434–440. [Google Scholar] [CrossRef]
- Erbs, D.; Klein, S.; Duffie, J. Estimation of the diffuse radiation fraction for hourly, daily and monthly-average global radiation. Sol. Energy 1982, 28, 293–302. [Google Scholar] [CrossRef]
- Iqbal, M. An Introduction to Solar Radiation; Academic Press: New York, NY, USA, 1983. [Google Scholar] [CrossRef]
- Perez, R.; Ineichen, P.; Seals, R.; Michalsky, J.; Stewart, R. Modeling daylight availability and irradiance components from direct and global irradiance. Sol. Energy 1990, 44, 271–289. [Google Scholar] [CrossRef]
- Gueymard, C.A. A reevaluation of the solar constant based on a 42-year total solar irradiance time series and a reconciliation of spaceborne observations. Sol. Energy 2018, 168, 2–9. [Google Scholar]
- Mukaka, M. Statistics corner: A guide to appropriate use of correlation in medical research. Malawi MesicL J. 2012, 24, 69–71. [Google Scholar] [CrossRef]
- Heaton, J. Artificial Intelligence for Humans, Volume 3: Deep Learning and Neural Networks; Heaton Research, Inc.: St. Louis, MO, USA, 2015. [Google Scholar]









| Ref. | Location | Model | Meteorological Variables | Models | Data Granularity |
|---|---|---|---|---|---|
| [37] | Spain | , latitude, cloudiness | 3 h | ||
| [31] | Spain | , , , | 30 min | ||
| [38] | Spain | , cloudiness, | 1 min | ||
| [27] | Thailand | , , , precipitable water | 10 min | ||
| [39] | Korea | 10 min | |||
| [40] | Spain | , | 30 min | ||
| [34] | Germany | daily | |||
| [35] | European Sites | Month, snow weight, Albedo. | 30 min | ||
| [36] | Serbia | , cloudiness, , | 10 min | ||
| [12] | Argentina | altitude | 1 min |
| Variables. | Meteorological Variables | Expression |
|---|---|---|
| Global Horizontal irradiance | measured | |
| Diffuse Horizontal irradiance | measured | |
| Direct Normal irradiance | measured | |
| Cloud cover | measured | |
| Relative Humidity | measured | |
| Air temperature | measured | |
| Wind speed | measured | |
| ψ | Solar azimuth angle | calculated |
| Solar zenith angle | calculated | |
| Diffuse fraction | ||
| Clearness index | ||
| Diffuse to extraterrestrial irradiance | ||
| Perez´s brightness factor | ||
| Perez´s clearness index |
| CIE Sky Type | [1–0.9] | (0.9–0.7] | (0.7–0.5] | (0.5–0.3] | (0.3,0] |
|---|---|---|---|---|---|
| All-sky | |||||
| Overcast | , | ||||
| Intermediate | - | ||||
| Clear | - | ||||
| Sky Types | Model | (%) | nMBE (%) | |
|---|---|---|---|---|
| All skies | ||||
| Overcast | ||||
| Intermediate | ||||
| Clear |
| Sky Condition | |||
|---|---|---|---|
| All skies (MLR1) | |||
| Overcast | |||
| Intermediate | |||
| Clear |
| Sky Condition | (%) | (%) | Sky Condition | (%) | (%) | ||
|---|---|---|---|---|---|---|---|
| All skies (MLR1) | All skies (ANN1) | ||||||
| Overcast (MLR2) | Overcast (ANN2) | ||||||
| Intermediate (MLR3) | Intermediate (ANN3) | ||||||
| Clear (MLR4) | Clear (ANN4) |
| All-Skies | (%) | |
|---|---|---|
| One neuron | Two neurons | |
| Number of Input Variables | |||||
|---|---|---|---|---|---|
| Number of neurons in the hidden layer | 3 | 4 | 5 | 6 | |
| 1 | 0 | 0 | 0 | 0 | |
| 2 | 0 | 2 | 5 | 22 | |
| 3 | 8 | 14 | 25 | 27 | |
| 4 | 18 | 28 | 41 | ||
| 5 | 30 | 48 | |||
| 6 | 57 | ||||
| Number of Variables/Neurons in the Hidden Layer | Meteorological Variables | ||
|---|---|---|---|
| Model 1 | 5/2 | ||
| Model 2 | 5/3 | ||
| Model 3 | 5/4 | ||
| Model 4 | 5/5 | ||
| Model 5 | 6/2 | ||
| Model 6 | 6/3 | ||
| Model 7 | 6/4 | ||
| Model 8 | 6/5 | ||
| Model 9 | 6/6 |
Disclaimer/Publisher’s Note: The statements, opinions and data contained in all publications are solely those of the individual author(s) and contributor(s) and not of MDPI and/or the editor(s). MDPI and/or the editor(s) disclaim responsibility for any injury to people or property resulting from any ideas, methods, instructions or products referred to in the content. |
© 2023 by the authors. Licensee MDPI, Basel, Switzerland. This article is an open access article distributed under the terms and conditions of the Creative Commons Attribution (CC BY) license (https://creativecommons.org/licenses/by/4.0/).
Share and Cite
García-Rodríguez, S.; García-Rodríguez, A.; Granados-López, D.; García, I.; Alonso-Tristán, C. Ultraviolet Erythemal Irradiance (UVER) under Different Sky Conditions in Burgos, Spain: Multilinear Regression and Artificial Neural Network Models. Appl. Sci. 2023, 13, 10979. https://doi.org/10.3390/app131910979
García-Rodríguez S, García-Rodríguez A, Granados-López D, García I, Alonso-Tristán C. Ultraviolet Erythemal Irradiance (UVER) under Different Sky Conditions in Burgos, Spain: Multilinear Regression and Artificial Neural Network Models. Applied Sciences. 2023; 13(19):10979. https://doi.org/10.3390/app131910979
Chicago/Turabian StyleGarcía-Rodríguez, S., A. García-Rodríguez, D. Granados-López, I. García, and C. Alonso-Tristán. 2023. "Ultraviolet Erythemal Irradiance (UVER) under Different Sky Conditions in Burgos, Spain: Multilinear Regression and Artificial Neural Network Models" Applied Sciences 13, no. 19: 10979. https://doi.org/10.3390/app131910979
APA StyleGarcía-Rodríguez, S., García-Rodríguez, A., Granados-López, D., García, I., & Alonso-Tristán, C. (2023). Ultraviolet Erythemal Irradiance (UVER) under Different Sky Conditions in Burgos, Spain: Multilinear Regression and Artificial Neural Network Models. Applied Sciences, 13(19), 10979. https://doi.org/10.3390/app131910979

