FDTD Method for Electromagnetic Simulations in Media Described by Time-Fractional Constitutive Relations
Abstract
:1. Introduction
2. Fractional Derivative
3. FO Model of Dielectric Media
4. FDTD Algorithm
4.1. Update Equations
4.2. Stability
5. Simulation Results
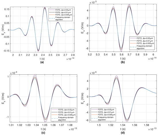
5.1. Simulations of Wave Propagation
5.2. Simulations of Reflections
6. Computational Complexity
7. Conclusions
Author Contributions
Funding
Institutional Review Board Statement
Informed Consent Statement
Data Availability Statement
Conflicts of Interest
Abbreviations
| FDTD | Finite-difference time-domain |
| TF | Time fractional |
| FO | Fractional order |
| IO | Integer order |
| ADE | Auxiliary differential equation |
Appendix A. Derivation of Numerical-Dispersion Relation for FO FDTD
Appendix B. Derivation of Stability Condition for FO FDTD

Appendix C. Generalization of Stability Condition towards Three-Dimensional FO FDTD
References
- Nasrolahpour, H. A Note on Fractional Electrodynamics. Commun. Nonlinear Sci. Numer. Simul. 2013, 18, 2589–2593. [Google Scholar] [CrossRef]
- Tarasov, V.E. Fractional Dynamics: Applications of Fractional Calculus to Dynamics of Particles, Fields and Media; Springer Science & Business Media: Berlin/Heidelberg, Germany, 2011. [Google Scholar]
- Gabriel, S.; Lau, R.W.; Gabriel, C. The Dielectric Properties of Biological Tissues: III. Parametric Models for the Dielectric Spectrum of Tissues. Phys. Med. Biol. 1996, 41, 2271. [Google Scholar] [CrossRef] [PubMed]
- Westerlund, S. Dead Matter Has Memory! Phys. Scr. 1991, 43, 174. [Google Scholar] [CrossRef]
- Westerlund, S.; Ekstam, L. Capacitor Theory. IEEE Trans. Dielectr. Electr. Insul. 1994, 1, 826–839. [Google Scholar] [CrossRef]
- Engheta, N. Fractional Curl Operator in Electromagnetics. Microw. Opt. Technol. Lett. 1998, 17, 86–91. [Google Scholar] [CrossRef]
- Naqvi, S.; Naqvi, Q.; Hussain, A. Modelling of Transmission Through a Chiral Slab Using Fractional Curl Operator. Opt. Commun. 2006, 266, 404–406. [Google Scholar] [CrossRef]
- Engheta, N. On the Role of Fractional Calculus in Electromagnetic Theory. IEEE Antennas Propag. Mag. 1997, 39, 35–46. [Google Scholar] [CrossRef]
- Taflove, A.; Hagness, S.C. Computational Electrodynamics: The Finite-Difference Time-Domain Method, 3rd ed.; Artech House: Norwood, Australia, 2005. [Google Scholar]
- Mescia, L.; Bia, P.; Caratelli, D. FDTD-Based Electromagnetic Modeling of Dielectric Materials with Fractional Dispersive Response. Electronics 2022, 11, 1588. [Google Scholar] [CrossRef]
- Kelley, D.F.; Destan, T.J.; Luebbers, R.J. Debye Function Expansions of Complex Permittivity Using a Hybrid Particle Swarm-Least Squares Optimization Approach. IEEE Trans. Antennas Propag. 2007, 55, 1999–2005. [Google Scholar] [CrossRef]
- Wuren, T.; Takai, T.; Fujii, M.; Sakagami, I. Effective 2-Debye-Pole FDTD Model of Electromagnetic Interaction Between Whole Human Body and UWB Radiation. IEEE Microw. Wirel. Components Lett. 2007, 17, 483–485. [Google Scholar] [CrossRef]
- Causley, M.F.; Petropoulos, P.G.; Jiang, S. Incorporating the Havriliak–Negami Dielectric Model in the FD-TD Method. J. Comput. Phys. 2011, 230, 3884–3899. [Google Scholar] [CrossRef]
- Su, S.; Dai, W.; Haynie, D.T.; Simicevic, N. Use of the Z-Transform to Investigate Nanopulse Penetration of Biological Matter. Bioelectromagnetics 2005, 26, 389–397. [Google Scholar] [CrossRef] [PubMed]
- Guo, B.; Li, J.; Zmuda, H. A New FDTD Formulation for Wave Propagation in Biological Media with Cole–Cole Model. IEEE Microw. Wirel. Compon. Lett. 2006, 16, 633–635. [Google Scholar] [CrossRef]
- Chakarothai, J. Novel FDTD Scheme for Analysis of Frequency-Dependent Medium Using Fast Inverse Laplace Transform and Prony’s Method. IEEE Trans. Antennas Propag. 2019, 67, 6076–6089. [Google Scholar] [CrossRef]
- Rekanos, I.T.; Papadopoulos, T.G. An Auxiliary Differential Equation Method for FDTD Modeling of Wave Propagation in Cole-Cole Dispersive Media. IEEE Trans. Antennas Propag. 2010, 58, 3666–3674. [Google Scholar] [CrossRef]
- Abdullah, H.H.; Elsadek, H.; ElDeeb, H.; Bagherzadeh, N. Fractional Derivatives Based Scheme for FDTD Modeling of n th-Order Cole–Cole Dispersive Media. IEEE Antennas Wirel. Propag. Lett. 2012, 11, 281–284. [Google Scholar] [CrossRef]
- Mescia, L.; Bia, P.; Caratelli, D. Fractional-Calculus-Based FDTD Method for Solving Pulse Propagation Problems. In Proceedings of the 2015 International Conference on Electromagnetics in Advanced Applications (ICEAA), Turin, Italy, 7–11 September 2015; IEEE: Piscataway, NJ, USA, 2015; pp. 460–463. [Google Scholar]
- Mescia, L.; Bia, P.; Caratelli, D. Fractional-Calculus-Based Electromagnetic Tool to Study Pulse Propagation in Arbitrary Dispersive Dielectrics. Phys. Status Solidi (A) 2019, 216, 1800557. [Google Scholar] [CrossRef]
- Moreles, M.A.; Lainez, R. Mathematical Modelling of Fractional Order Circuit Elements and Bioimpedance Applications. Commun. Nonlinear Sci. Numer. Simul. 2017, 46, 81–88. [Google Scholar] [CrossRef]
- Stefański, T.P.; Gulgowski, J. Signal Propagation in Electromagnetic Media Described by Fractional-Order Models. Commun. Nonlinear Sci. Numer. Simul. 2020, 82, 105029. [Google Scholar] [CrossRef]
- Stefański, T.P.; Gulgowski, J. Fundamental Properties of Solutions to Fractional-Order Maxwell’s Equations. J. Electromagn. Waves Appl. 2020, 34, 1955–1976. [Google Scholar] [CrossRef]
- Li, C.; Zeng, F. Numerical Methods for Fractional Calculus; CRC Press: Boca Raton, FL, USA, 2015; Volume 24. [Google Scholar]
- Gulgowski, J.; Stefański, T.P.; Trofimowicz, D. On Applications of Elements Modelled by Fractional Derivatives in Circuit Theory. Energies 2020, 13, 5768. [Google Scholar] [CrossRef]
- Luchko, Y.; Mainardi, F.; Povstenko, Y. Propagation Speed of the Maximum of the Fundamental Solution to the Fractional Diffusion–Wave Equation. Comput. Math. Appl. 2013, 66, 774–784. [Google Scholar] [CrossRef]
- Yuste, S.B.; Acedo, L. An Explicit Finite Difference Method and a New von Neumann-Type Stability Analysis for Fractional Diffusion Equations. SIAM J. Numer. Anal. 2005, 42, 1862–1874. [Google Scholar] [CrossRef]
- Silvester, J.R. Determinants of Block Matrices. Math. Gaz. 2000, 84, 460–467. [Google Scholar] [CrossRef]







Disclaimer/Publisher’s Note: The statements, opinions and data contained in all publications are solely those of the individual author(s) and contributor(s) and not of MDPI and/or the editor(s). MDPI and/or the editor(s) disclaim responsibility for any injury to people or property resulting from any ideas, methods, instructions or products referred to in the content. |
© 2023 by the authors. Licensee MDPI, Basel, Switzerland. This article is an open access article distributed under the terms and conditions of the Creative Commons Attribution (CC BY) license (https://creativecommons.org/licenses/by/4.0/).
Share and Cite
Pietruszka, P.; Stefański, T.P.; Gulgowski, J. FDTD Method for Electromagnetic Simulations in Media Described by Time-Fractional Constitutive Relations. Appl. Sci. 2023, 13, 10654. https://doi.org/10.3390/app131910654
Pietruszka P, Stefański TP, Gulgowski J. FDTD Method for Electromagnetic Simulations in Media Described by Time-Fractional Constitutive Relations. Applied Sciences. 2023; 13(19):10654. https://doi.org/10.3390/app131910654
Chicago/Turabian StylePietruszka, Piotr, Tomasz P. Stefański, and Jacek Gulgowski. 2023. "FDTD Method for Electromagnetic Simulations in Media Described by Time-Fractional Constitutive Relations" Applied Sciences 13, no. 19: 10654. https://doi.org/10.3390/app131910654
APA StylePietruszka, P., Stefański, T. P., & Gulgowski, J. (2023). FDTD Method for Electromagnetic Simulations in Media Described by Time-Fractional Constitutive Relations. Applied Sciences, 13(19), 10654. https://doi.org/10.3390/app131910654

