Multi-Mode Lithium-Ion Battery Balancing Circuit Based on Forward Converter with Resonant Reset
Abstract
:1. Introduction
2. Balancing Circuit
2.1. Circuit Structure
2.2. Operation Principle
2.3. Circuit Analysis
2.4. ZVS Analysis
3. Analysis and Verification
3.1. Verification
3.1.1. Verification of Balancing Circuit
3.1.2. Verification of ZVS
3.2. Analysis of Balancing Performance
3.3. Influencing Factors of Balancing Performance
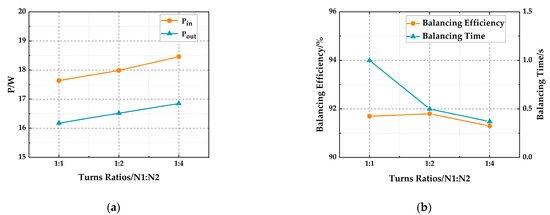
3.3.1. Effect of Converter Turn Ratios
3.3.2. Effect of Switching Cycles
3.3.3. Effect of Output Resistances
3.3.4. Effect of Balancing Modes
4. Balancing Strategy
- (1)
- The voltage of each cell in the battery pack is measured. Umax and Umin are found by the measured voltages. Then the numbers of cells of Umax and Umin are recorded.
- (2)
- (Umax − Umin) is calculated and compared with Uref1. If (Umax − Umin) > Uref1, the balancing circuit is activated. If (Umax − Umin) ≤ Uref1, the system is stopped to enter the balancing operation.
- (3)
- When the balancing system is controlled to enter the balancing state, Uavg is calculated, and (Ui − Uavg) is calculated with Ui. Then (Ui − Uavg) is compared with Uref2. If (Ui − Uavg) ≥ Uref2, the cell is identified as a high-energy cell. If (Ui − Uavg) ≤ −Uref2, the cell is identified as a low-energy cell.
- (4)
- The numbers of high-energy cells and low-energy cells involved in balancing are counted, and their numbers are noted as a and b. The balancing mode is selected according to the result of the comparison of a and b.
- (5)
- After completing the above operations, the balancing system enters a waiting state, and the next cycle is entered by the balancing system.

5. Experiments and Analysis
5.1. Experimental Parameters
5.2. Prototype Verification
5.3. Experimental Results
6. Discussion
7. Conclusions
- The proposed balancing circuit utilizes a forward converter to achieve high-power balancing.
- A switching matrix consisting of an SPST relay realizes the MC2MC (Multi-Cell-to-Multi-Cell)) balancing method, simplifies the structure of the balancing circuit, makes the circuit easier to drive and control, and reduces the cost of the balancing circuit.
- The proposed balancing strategy allows the balancing circuit to have both n-cell-to-n-cell and n-cell-to-(n-1)-cell balancing modes and provides a flexible transmission path for energy.
- An experiment with an eight-cell lithium-ion battery pack was performed. The experiment result at 1260 s shows that the proposed method has a fast balancing speed, and the comparison with [31] shows that the balancing time in the proposed method is reduced by about 82.5%. Moreover, the maximum balancing efficiency of the proposed method is about 83.31%. Consequently, the proposed method has a good balancing performance.
Author Contributions
Funding
Institutional Review Board Statement
Informed Consent Statement
Data Availability Statement
Conflicts of Interest
References
- Liu, K.; Zou, C.; Li, K.; Wik, T. Charging Pattern Optimization for Lithium-Ion Batteries with an Electrothermal-Aging Model. IEEE Trans. Ind. Inform. 2018, 14, 5463–5474. [Google Scholar] [CrossRef]
- Kirbis, G.; Selcan, D.; Kos, M.; Kramberger, I. High Performance Autonomous Charge Equalization in Series Connected Batteries. IEEE Trans. Aerosp. Electron. Syst. 2019, 55, 95–107. [Google Scholar] [CrossRef]
- Xu, B.; Yan, Z.; Zhou, W.; Zhang, L.; Yang, H.; Liu, Y.; Liu, L. A Bidirectional Integrated Equalizer Based on the Sepic–Zeta Converter for Hybrid Energy Storage System. IEEE Trans. Power Electron. 2022, 37, 12659–12668. [Google Scholar] [CrossRef]
- Alvarez-Diazcomas, A.; Estévez-Bén, A.A.; Rodríguez-Reséndiz, J.; Martínez-Prado, M.-A.; Carrillo-Serrano, R.V.; Thenozhi, S. A Review of Battery Equalizer Circuits for Electric Vehicle Applications. Energies 2020, 13, 5688. [Google Scholar] [CrossRef]
- Wu, L.; Pang, K.; Zheng, Y.; Huang, P.; Chen, Y. A multi-module equalization system for lithium-ion battery packs. Int. J. Energy Res. 2021, 46, 2771–2782. [Google Scholar] [CrossRef]
- Hannan, M.A.; Hoque, M.M.; Peng, S.E.; Uddin, M.N. Lithium-Ion Battery Charge Equalization Algorithm for Electric Vehicle Applications. IEEE Trans. Ind. Appl. 2017, 53, 2541–2549. [Google Scholar] [CrossRef]
- Raeber, M.; Heinzelmann, A.; Abdeslam, D.O. Analysis of an Active Charge Balancing Method Based on a Single Nonisolated DC/DC Converter. IEEE Trans. Ind. Electron. 2021, 68, 2257–2265. [Google Scholar] [CrossRef]
- Martyushev, N.V.; Malozyomov, B.V.; Sorokova, S.N.; Efremenkov, E.A.; Valuev, D.V.; Qi, M. Review Models and Methods for Determining and Predicting the Reliability of Technical Systems and Transport. Mathematics 2023, 11, 3317. [Google Scholar] [CrossRef]
- Isametova, M.E.; Nussipali, R.; Martyushev, N.V.; Malozyomov, B.V.; Efremenkov, E.A.; Isametov, A. Mathematical Modeling of the Reliability of Polymer Composite Materials. Mathematics 2022, 10, 3978. [Google Scholar] [CrossRef]
- Zaitseva, E.; Levashenko, V.; Rabcan, J. A new method for analysis of Multi-State systems based on Multi-valued decision diagram under epistemic uncertainty. Reliab. Eng. Syst. Saf. 2023, 229, 108868. [Google Scholar]
- Li, Y.; Han, Y. A Module-Integrated Distributed Battery Energy Storage and Management System. IEEE Trans. Power Electron. 2016, 31, 8260–8270. [Google Scholar] [CrossRef]
- Ye, Y.; Cheng, K.W.E.; Fong, Y.C.; Xue, X.; Lin, J. Topology, Modeling, and Design of Switched-Capacitor-Based Cell Balancing Systems and Their Balancing Exploration. IEEE Trans. Power Electron. 2017, 32, 4444–4454. [Google Scholar] [CrossRef]
- Gallardo-Lozano, J.; Romero-Cadaval, E.; Milanes-Montero, M.I.; Guerrero-Martinez, M.A. Battery equalization active methods. J. Power Sources 2014, 246, 934–949. [Google Scholar] [CrossRef]
- Koseoglou, M.; Tsioumas, E.; Jabbour, N.; Mademlis, C. Highly Effective Cell Equalization in a Lithium-Ion Battery Management System. IEEE Trans. Power Electron. 2020, 35, 2088–2099. [Google Scholar] [CrossRef]
- Guo, X.; Liu, Z.; Xu, X.; Geng, J.; Kang, L. Integrated balancing method for series-parallel battery packs based on LC energy storage. IET Electron. Power Appl. 2021, 15, 579–592. [Google Scholar] [CrossRef]
- Shams, I.; Mekhilef, S.; Tey, K.S. Advancement of voltage equalizer topologies for serially connected solar modules as partial shading mitigation technique: A comprehensive review. J. Clean. Prod. 2021, 285, 124824. [Google Scholar] [CrossRef]
- Gokdag, M.; Akbaba, M.; Gulbudak, O. Switched-capacitor converter for PV modules under partial shading and mismatch conditions. Sol. Energy 2018, 170, 723–731. [Google Scholar] [CrossRef]
- Uno, M.; Liu, X.; Sato, H.; Saito, Y. Panel-to-Substring PWM Differential Power Processing Converter and Its Maximum Power Point Tracking Technique for Solar Roof of Plug-In Electric Vehicles. IEEE Access 2022, 10, 42883–42896. [Google Scholar] [CrossRef]
- Bhang, B.G.; Lee, W.; Kim, G.G.; Choi, J.H.; Park, S.Y.; Ahn, H.-K. Power Performance of Bifacial c-Si PV Modules with Different Shading Ratios. IEEE J. Photovolt. 2019, 9, 1413–1420. [Google Scholar] [CrossRef]
- Zhang, H.; Wang, Y.; Qi, H.; Zhang, J. Active Battery Equalization Method Based on Redundant Battery for Electric Vehicles. IEEE Trans. Veh. Technol. 2019, 68, 7531–7543. [Google Scholar] [CrossRef]
- Phung, T.H.; Collet, A.; Crebier, J.-C. An Optimized Topology for Next-to-Next Balancing of Series-Connected Lithium-ion Cells. IEEE Trans. Power Electron. 2014, 29, 4603–4613. [Google Scholar] [CrossRef]
- Andrew, C.B.; Mehdi, F. Double-Tiered Switched-Capacitor Battery Charge Equalization Technique. IEEE Trans. Ind. Electron. 2008, 55, 2277–2285. [Google Scholar]
- Dong, B.; Li, Y.; Han, Y. Parallel Architecture for Battery Charge Equalization. IEEE Trans. Power Electron. 2015, 30, 4906–4913. [Google Scholar] [CrossRef]
- Ye, Y.; Cheng, K.W.E.; Yeung, Y.P.B. Zero-Current Switching Switched-Capacitor Zero-Voltage-Gap Automatic Equalization System for Series Battery String. IEEE Trans. Power Electron. 2012, 27, 3234–3242. [Google Scholar]
- Qin, D.; Qin, S.; Wang, T.; Wu, H.; Chen, J. Balanced Control System Based on Bidirectional Flyback DC Converter. Energies 2022, 15, 7226. [Google Scholar] [CrossRef]
- Lee, K.-M.; Chung, Y.-C.; Sung, C.-H.; Kang, B. Active Cell Balancing of Li-Ion Batteries Using LC Series Resonant Circuit. IEEE Trans. Ind. Electron. 2015, 62, 5491–5501. [Google Scholar] [CrossRef]
- Yarlagadda, S.; Hartley, T.T.; Husain, I. A Battery Management System Using an Active Charge Equalization Technique Based on a DC/DC Converter Topology. IEEE Trans. Ind. Appl. 2013, 49, 2720–2729. [Google Scholar] [CrossRef]
- Einhorn, M.; Guertlschmid, W.; Blochberger, T.; Kumpusch, R.; Permann, R.; Conte, F.V.; Kral, C.; Fleig, J. A Current Equalization Method for Serially Connected Battery Cells Using a Single Power Converter for Each Cell. IEEE Trans. Veh. Technol. 2011, 60, 4227–4237. [Google Scholar] [CrossRef]
- Kim, C.-H.; Kim, M.-Y.; Moon, G.-W. A Modularized Charge Equalizer Using a Battery Monitoring IC for Series-Connected Li-Ion Battery Strings in Electric Vehicles. IEEE Trans. Power Electron. 2013, 28, 3779–3787. [Google Scholar] [CrossRef]
- Imtiaz, A.M.; Khan, F.H. “Time Shared Flyback Converter” Based Regenerative Cell Balancing Technique for Series Connected Li-Ion Battery Strings. IEEE Trans. Power Electron. 2013, 28, 5960–5975. [Google Scholar] [CrossRef]
- Xiangwei, G.; Jiahao, G.; Zhen, L.; Kang, L.; Xiaozhuo, X. Active balancing method for series battery pack based on flyback converter. IET Circuits Devices Syst. 2020, 14, 1129–1134. [Google Scholar] [CrossRef]
- Hsieh, Y.-H.; Liang, T.-J.; Chen, S.-M.O.; Horng, W.-Y.; Chung, Y.-Y. A Novel High-Efficiency Compact-Size Low-Cost Balancing Method for Series-Connected Battery Applications. IEEE Trans. Power Electron. 2013, 28, 5927–5939. [Google Scholar] [CrossRef]
- Shang, Y.; Xia, B.; Zhang, C.; Cui, N.; Yang, J.; Mi, C.C. An Automatic Equalizer Based on Forward–Flyback Converter for Series-Connected Battery Strings. IEEE Trans. Ind. Electron. 2017, 64, 5380–5391. [Google Scholar] [CrossRef]
- Zhou, G.; Zhang, X.; Gao, K.; Tian, Q.; Xu, S. Two-Mode Active Balancing Circuit Based on Switched-Capacitor and Three-Resonant-State LC Units for Series-Connected Cell Strings. IEEE Trans. Ind. Electron. 2022, 69, 4845–4858. [Google Scholar] [CrossRef]
- George, A.; Peter, H.; Thomas, M. Active Cell Balancing System using an Isolated Share Bus for Li-Ion Battery Management Focusing on Satellite Applications. In Proceedings of the 2011 IEEE Long Island Systems, Applications and Technology Conference, Farmingdale, NY, USA, 6 May 2011. [Google Scholar]
- Shang, Y.; Zhang, Q.; Cui, N.; Duan, B.; Zhou, Z.; Zhang, C. Multicell-to-Multicell Equalizers Based on Matrix and Half-Bridge LC Converters for Series-Connected Battery Strings. IEEE J. Emerg. Sel. Top. Power Electron. 2020, 8, 1755–1766. [Google Scholar] [CrossRef]
- Luo, X.; Kang, L.; Lu, C.; Linghu, J.; Lin, H.; Hu, B. An Enhanced Multicell-to-Multicell Battery Equalizer Based on Bipolar-Resonant LC Converter. Electronics 2021, 10, 293. [Google Scholar] [CrossRef]
- Luo, S.; Qin, D.; Wu, H.; Wang, T.; Chen, J. Multi-Cell-to-Multi-Cell Battery Equalization in Series Battery Packs Based on Variable Duty Cycle. Energies 2022, 15, 3263. [Google Scholar] [CrossRef]
- Guo, X.; Geng, J.; Liu, Z.; Xu, X.; Cao, W. A Flyback Converter-Based Hybrid Balancing Method for Series-Connected Battery Pack in Electric Vehicles. IEEE Trans. Veh. Technol. 2021, 70, 6626–6635. [Google Scholar] [CrossRef]














| Parameters | Values |
|---|---|
| Lm1 Lm2 | 80 μH |
| Cr1 Cr2 | 100 nF |
| Ro1 Ro2 | 1 Ω |
| RT1a RT2a/RT1b RT2b | 0.36 Ω/3 Ω |
| TS | 25 μs 30 μs 35 μs 40 μs 45 μs 50 μs |
| TS/μs | Theory/% | Simulation/% |
|---|---|---|
| 25 | 44 | 55 |
| 30 | 53 | 64 |
| 35 | 60 | 70 |
| 40 | 65 | 75 |
| 45 | 69 | 78 |
| 50 | 72 | 80 |
| Component | Parameter |
|---|---|
| Rated capacity | 3.2 Ah |
| MOSFET | SPN2054 |
| MOSFET driver | UCC27524 |
| Relay driver | 74HC595 |
| MCU controller | STM32 |
| Transformer inductance/turn ratio | 80 μH/1:2 |
| Resonant capacitor | 100 nF |
| Output resistance | 1 Ω |
| Switch period/duty cycle | 50 μs/73% |
| Balancing Circuit | Balancing Time/s | Balancing Voltage/V |
|---|---|---|
| Balancing Circuit in ref. [35] | 7250 | 3.533–3.58 |
| Proposed Balancing Circuit | 1260 | 3.151–3.193 |
| Balancing Circuit | Type | Component | ||||||
|---|---|---|---|---|---|---|---|---|
| M | D | L | C | RE | T | DR | ||
| SC circuit [24] | AC2C | 2n | 0 | n-1 | n-1 | 0 | 0 | 2n |
| LCSR circuit [26] | DC2C | 2n + 10 | 4 | 1 | 1 | 0 | 0 | n + 5 |
| Flyback circuit [30] | C2P | n + 2 | n + 2 | 0 | 0 | 0 | 1 | n + 2 |
| Forward circuit [35] | AC2AC | n | n | 0 | n | 0 | n | n |
| BRLC circuit [37] | MC2MC | 4(n + 1) | 4 | 1 | 1 | 0 | 0 | 2(n + 1) |
| Proposed circuit | MC2MC | 2 | 2 | 0 | 4 | 4n | 2 | n/2 + 1 |
| Balancing Circuit | Type | Size | Cost (USD) | Speed | Drive | |
|---|---|---|---|---|---|---|
| SC circuit [24] | AC2C | Large | 21.6 | Very High | Poor | Good |
| LCSR circuit [26] | DC2C | Small | 17 | High | Normal | Poor |
| Flyback circuit [30] | C2P | Small | 9.3 | Very Low | Normal | Good |
| Forward circuit [35] | AC2AC | Medium | 18.8 | High | Normal | Good |
| BRLC circuit [37] | MC2MC | Small | 23 | Very High | Good | Poor |
| Proposed circuit | MC2MC | Large | 13.9 | Low | Excellent | Excellent |
Disclaimer/Publisher’s Note: The statements, opinions and data contained in all publications are solely those of the individual author(s) and contributor(s) and not of MDPI and/or the editor(s). MDPI and/or the editor(s) disclaim responsibility for any injury to people or property resulting from any ideas, methods, instructions or products referred to in the content. |
© 2023 by the authors. Licensee MDPI, Basel, Switzerland. This article is an open access article distributed under the terms and conditions of the Creative Commons Attribution (CC BY) license (https://creativecommons.org/licenses/by/4.0/).
Share and Cite
Zong, Y.; Li, K.; Wang, Q.; Meng, J. Multi-Mode Lithium-Ion Battery Balancing Circuit Based on Forward Converter with Resonant Reset. Appl. Sci. 2023, 13, 10430. https://doi.org/10.3390/app131810430
Zong Y, Li K, Wang Q, Meng J. Multi-Mode Lithium-Ion Battery Balancing Circuit Based on Forward Converter with Resonant Reset. Applied Sciences. 2023; 13(18):10430. https://doi.org/10.3390/app131810430
Chicago/Turabian StyleZong, Yanliang, Kun Li, Qing Wang, and Jiaheng Meng. 2023. "Multi-Mode Lithium-Ion Battery Balancing Circuit Based on Forward Converter with Resonant Reset" Applied Sciences 13, no. 18: 10430. https://doi.org/10.3390/app131810430
APA StyleZong, Y., Li, K., Wang, Q., & Meng, J. (2023). Multi-Mode Lithium-Ion Battery Balancing Circuit Based on Forward Converter with Resonant Reset. Applied Sciences, 13(18), 10430. https://doi.org/10.3390/app131810430
