Structure-Dependent Electrochemical Behavior of 2-Pyridone Derivatives: A Combined Experimental and Theoretical Study
Abstract
:1. Introduction
2. Materials and Methods
2.1. Electrochemical Measurements
2.2. UV-Vis Measurements
2.3. Method of Calculation
- Vertical transition of pyridone molecular form, where the final state preserves the geometry of the initial state:
- 2.
- Adiabatic transition of the pyridone molecular form where the final radical state is energetically relaxed to its minimum:
3. Results and Discussion
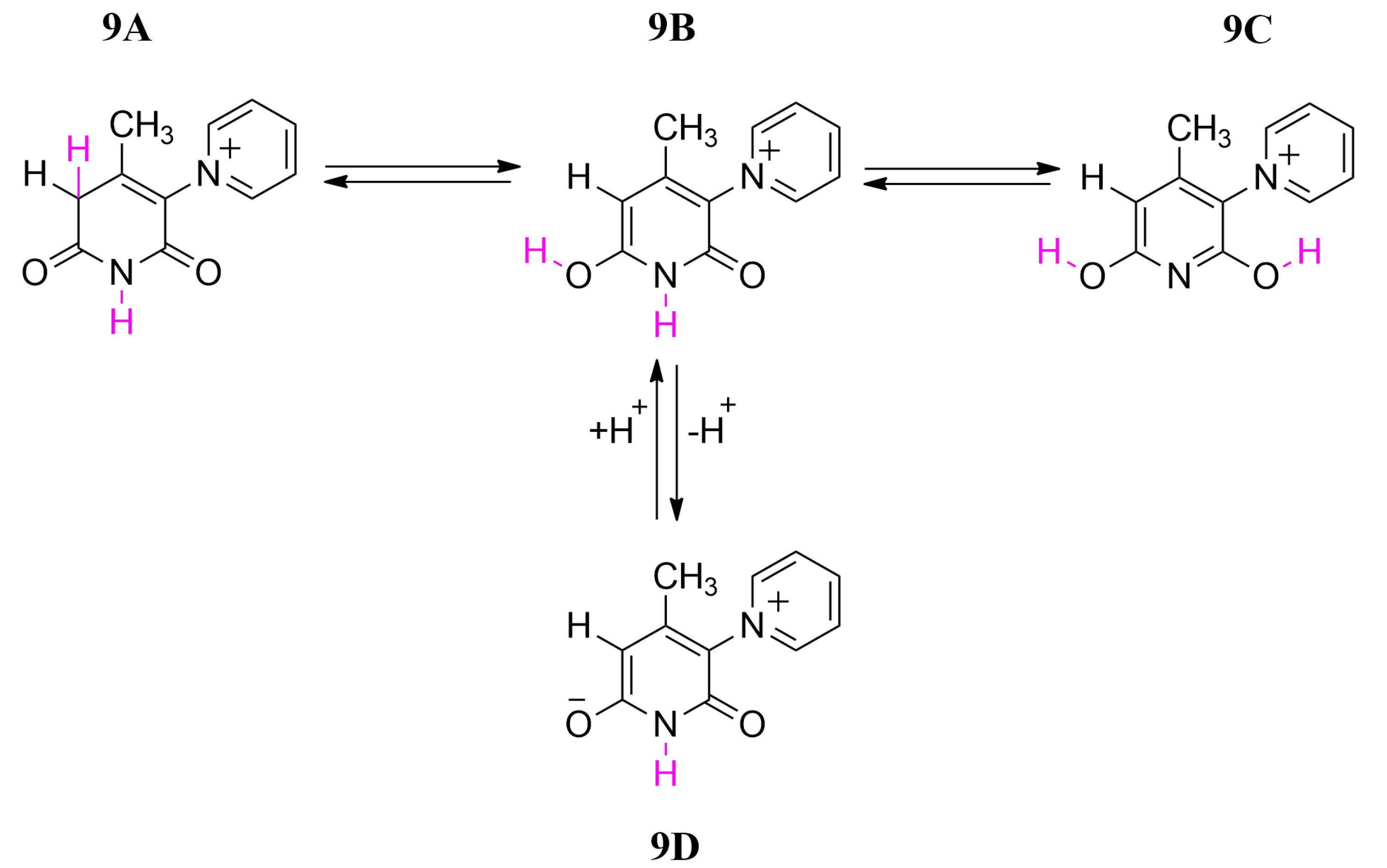
3.1. Pyridones: UV-Vis and Electrochemical Measurement Perspective
3.2. Calculated vs. Experimental: The Explanation of Electrochemical Behavior
4. Conclusions
Supplementary Materials
Author Contributions
Funding
Institutional Review Board Statement
Informed Consent Statement
Data Availability Statement
Acknowledgments
Conflicts of Interest
References
- Zhang, Y.; Pike, A. Pyridones in drug discovery: Recent advances. Bioorg. Med. Chem. Lett. 2021, 38, 127849. [Google Scholar] [CrossRef]
- Li, Q.; Mitscher, L.; Shen, L. The 2-pyridone antibacterial agents: Bacterial topoisomerase inhibitors. Med. Res. Rev. 2000, 20, 231–293. [Google Scholar] [CrossRef] [PubMed]
- Fujita, Y.; Oguri, H.; Oikawa, H. Biosynthetic studies on the antibiotics PF1140: A novel pathway for a 2-pyridone framework. Tetrahedron Lett. 2005, 46, 5885–5888. [Google Scholar] [CrossRef]
- Fassihi, A.; Abedi, D.; Saghaie, L.; Sabet, R.; Fazeli, H.; Bostaki, G.; Deilami, O.; Sadinpou, H. Synthesis, antimicrobial evaluation and QSAR study of some 3-hydroxypyridine-4-one and 3-hydroxypyran-4-one derivatives. Eur. J. Med. Chem. 2009, 44, 2145–2157. [Google Scholar] [CrossRef] [PubMed]
- Semple, G.; Andersson, B.; Chhajlani, V.; Georgsson, J.; Johansson, M.; Rosenquist, A.; Swanson, L. Synthesis and biological activity of kappa opioid receptor agonists. Part 2: Preparation of 3-aryl-2-pyridone analogues generated by solution- and solid-phase parallel synthesis methods. Bioorg. Med. Chem. Lett. 2003, 13, 1141–1145. [Google Scholar] [CrossRef]
- Parreira, R.; Abrahão, O., Jr.; Galembeck, S. Conformational preferences of nonnucleoside HIV-1 reverse transcriptase inhibitors. Tetrahedron 2001, 57, 3243–3253. [Google Scholar] [CrossRef]
- Hasvold, L.; Wang, W.; Gwaltney, S.; Rockway, T.; Nelson, L.; Mantei, R.; Fakhoury, S.; Sullivan, G.; Li, Q.; Lin, N.; et al. Pyridone-containing farnesyltransferase inhibitors: Synthesis and biological evaluation. Bioorg. Med. Chem. Lett. 2003, 13, 4001–4005. [Google Scholar] [CrossRef] [PubMed]
- Weiss, M.; Agulnik, M. Tazemetostat as a treatment for epithelioid sarcoma. Expert Opin. Orphan Drugs 2020, 8, 311–315. [Google Scholar] [CrossRef]
- Forrestall, K.L.; Burley, D.E.; Cash, M.K.; Pottie, I.R.; Darvesh, S. 2-Pyridone natural products as inhibitors of SARS-CoV-2 main protease. Chem.-Biol. Interact. 2021, 335, 109348. [Google Scholar] [CrossRef]
- Wang, P.; Verma, P.; Xia, G.; Shi, J.; Qiao, J.X.; Tao, S.; Cheng, P.T.W.; Poss, M.A.; Farmer, M.E.; Yeung, K.; et al. Ligand-accelerated non-directed C–H functionalization of arenes. Nature 2017, 551, 489–493. [Google Scholar] [CrossRef]
- Mandal, T.; Dey, A.; Pathak, S.; Islam, M.; Konar, S.; Ortega-Castro, J.; Seth, S.K.; Ray, P.P.; Frontera, A.; Mukhopadhyay, S. Structures, photoresponse properties and DNA binding abilities of 4-(4-pyridinyl)-2-pyridone salts. RSC Adv. 2019, 9, 9663–9677. [Google Scholar] [CrossRef] [PubMed]
- Xia, Y.; Li, G.; Zhu, Y.; He, Q.; Hu, C. Facile preparation of metal-free graphitic-like carbon nitride/graphene oxide composite for simultaneous determination of uric acid and dopamine. Microchem. J. 2023, 190, 108726. [Google Scholar] [CrossRef]
- Li, G.; Qi, X.; Wu, J.; Xu, L.; Wan, X.; Liu, Y.; Chen, Y.; Li, Q. Ultrasensitive, label-free voltammetric determination of norfloxacin based on molecularly imprinted polymers and Au nanoparticle-functionalized black phosphorus nanosheet nanocomposite. J. Hazard. Mater. 2022, 436, 129107. [Google Scholar] [CrossRef]
- Li, G.; Wu, J.; Qi, X.; Wan, X.; Liu, Y.; Chen, Y.; Xu, L. Molecularly imprinted polypyrrole film-coated poly(3,4-ethylenedioxythiophene): Polystyrene sulfonate-functionalized black phosphorene for the selective and robust detection of norfloxacin. Mater. Today Chem. 2022, 26, 101043. [Google Scholar] [CrossRef]
- Lin, S.; Lin, Y.; He, B.; Pu, B.; Ren, Y.; Wang, G.; Luo, Y.; Shi, S. Reclaiming Neglected Compounds as Promising Solid State Electrolytes by Predicting Electrochemical Stability Window with Dynamically Determined Decomposition Pathway. Adv. Energy Mater. 2022, 12, 2201808. [Google Scholar] [CrossRef]
- Tufail, M.K.; Zhai, P.; Khokar, W.; Jia, M.; Zhao, N.; Guo, X. Evaluation of solid electrolytes: Development of conventional and interdisciplinary approach. Interdiscip. Mater. 2023, 2, 529–568. [Google Scholar] [CrossRef]
- Tufail, M.K.; Zhai, P.; Jia, M.; Zhao, N.; Guo, X. Design of Solid Electrolytes with Fast Ion Transport: Computation-Driven and Practical Approaches. Energy Mater. Adv. 2023, 4, 0015. [Google Scholar] [CrossRef]
- Martinez-Ortiz, F.; Vera, J.; Molina, P. Electrochemical behaviour of aldimines derived from 1-amino-4,6-diphenyl-2-pyridone 1-benzylideneamino-4,6-diphenyl-2-pyridone in ethanolic Britton-Robinson buffer. J. Electroanal. Chem. 1983, 154, 193–203. [Google Scholar] [CrossRef]
- Vera, J.; Martinez-Ortiz, F.; Ripoll, A.; Molina, P. Electrochemical behaviour of l-amino-4,6-diphenyl-2-pyridone in ethanolic buffer. Electrochim. Acta 1986, 31, 1231–1233. [Google Scholar] [CrossRef]
- Smits, R.; Turovska, B.; Belyakov, S.; Plotniece, A.; Duburs, G. Synthesis of 5-carboxy-6-methyl-3,4-dihydro-2(1H)-pyridone derivatives and their electrochemical oxidation to 2-pyridones. Chem. Phys. Lett. 2016, 649, 84–87. [Google Scholar] [CrossRef]
- Ogle, Y.V.; Baumane, L.K.; Gavar, R.A.; Kadysh, V.P.; Stradyn’, Y.P.; Lusis, V.K.; Mutsenietse, D.K.; Dubur, G.Y. Electrolytic oxidation of 2,6-dimethyl-3,5-bis(ethoxycarbonyl)-1,2-dihydropyridines in acetonitrile on platinum electrodes. Chem. Heterocycl. Compd. 1984, 20, 522–529. [Google Scholar] [CrossRef]
- Tadić, J.; Mihajlović, M.; Jovanović, M.; Mijin, D. Continuous flow synthesis of some 6- and 1,6-substituted 3-cyano-4-methyl-2-pyridones. J. Serb. Chem. Soc. 2019, 84, 531–538. [Google Scholar] [CrossRef]
- Mašulović, A.D.; Lađarević, J.M.; Radovanović, L.D.; Vitnik, Ž.J.; Vitnik, V.D.; Rogan, J.R.; Mijin, D.Ž. Charge assisted assembly of zwitterionic pyridone hydrates. J. Mol. Struct. 2021, 1237, 130419. [Google Scholar] [CrossRef]
- Reynolds, J.E., III; Josowicz, M.; Tyler, P.; Vegha, R.B.; Solntsev, K.M. Spectral and redox properties of the GFP synthetic chromophores as a function of pH in buffered media. Chem. Commun. 2013, 49, 7788–7790. [Google Scholar] [CrossRef]
- Mongay, C.; Cerda, V. A Britton-Robinson buffer of known ionic strength. Ann. Chim. Rome 1974, 64, 409–412. [Google Scholar]
- Pandey, M.M.; Jaipal, A.; Kumar, A.; Malik, R.; Charde, S.Y. Determination of pKa of felodipine using UV–Visible spectroscopy. Spectrochim. Acta A 2013, 115, 887–890. [Google Scholar] [CrossRef]
- Frisch, M.J.; Trucks, G.W.; Schlegel, H.B.; Scuseria, G.E.; Robb, M.A.; Cheeseman, J.R.; Scalmani, G.; Barone, V.; Mennucci, B.; Petersson, G.A.; et al. Gaussian 09, Revision C.01; Gaussian, Inc.: Wallingford, CT, USA, 2010. [Google Scholar]
- Becke, A.D. Density-functional thermochemistry. III. The role of exact exchange. J. Chem. Phys. 1993, 98, 5648–5652. [Google Scholar] [CrossRef]
- Zhao, Y.; Truhlar, D.G. The M06 suite of density functionals for main group thermochemistry, thermochemical kinetics, noncovalent interactions, excited states, and transition elements: Two new functionals and systematic testing of four M06-class functionals and 12 other functional. Theor. Chem. Acc. 2008, 120, 215–241. [Google Scholar]
- Krishnan, R.; Binkley, J.S.; Seeger, R.; Pople, J.A. Self-consistent molecular orbital methods. XX. Basis set for correlated wave-functions. J. Chem. Phys. 1980, 72, 650–654. [Google Scholar] [CrossRef]
- McLean, A.D.; Chandler, G.S. Contracted Gaussian-basis sets for molecular calculations. I. Secomd row atoms, Z = 11–18. J. Chem. Phys. 1980, 72, 5639–5648. [Google Scholar] [CrossRef]
- Barone, V.; Cossi, M. Quantum calculation of molecular energies and energy gradients in solution by a conductor solvent model. J. Phys. Chem. A 1998, 102, 1995–2001. [Google Scholar] [CrossRef]
- Paolone, A.; Brutti, S. Comparison of the Performances of Different Computational Methods to Calculate the Electrochemical Stability of Selected Ionic Liquids. Materials 2021, 14, 3221. [Google Scholar] [CrossRef]
- Schwarz, W.M. Colorant and Ink Compositions. U.S. Patent 5413630, 9 May 1995. [Google Scholar]
- Vasantha, V.S.; Chen, S.-M. Synergistic effect of a catechin-immobilized poly(3,4-ethylenedioxythiophene)-modified electrode on electrocatalysis of NADH in the presence of ascorbic acid and uric acid. Electrochim. Acta 2006, 52, 665–674. [Google Scholar] [CrossRef]
- Nady, H.; El-Rabiei, M.M.; Abd El-Hafez, G.M. Electrochemical oxidation behavior of some hazardous phenolic compounds in acidic solution. Egypt. J. Pet. 2017, 26, 669–678. [Google Scholar] [CrossRef]
- Vajdle, O.; Šekuljica, S.; Guzsvány, V.; Nagy, L.; Kónya, Z.; Avramov Ivić, M.; Mijin, D.; Petrović, S.; Anojčić, J. Use of carbon paste electrode and modified by gold nanoparticles for selected macrolide antibiotics determination as standard and in pharmaceutical preparations. J. Electroanal. Chem. 2020, 873, 114324. [Google Scholar] [CrossRef]
- Lucas, F.; McIntosh, N.; Jacques, E.; Lebreton, C.; Heinrich, B.; Donnio, B.; Jeannin, O.; Rault-Berthelot, J.; Quinton, C.; Cornil, J.; et al. [4]Cyclo-N-alkyl-2,7-carbazoles: Influence of the Alkyl Chain Length on the Structural, Electronic, and Charge Transport Properties. J. Am. Chem. Soc. 2021, 143, 8804–8820. [Google Scholar] [CrossRef] [PubMed]
- Ivanov, M.V.; Wang, D.; Zhang, D.; Rathore, R.; Reid, S.A. Vertical vs. adiabatic ionization energies in solution and gas-phase: Probing ionization-induced reorganization in conformationally-mobile bichromophoric actuators using photoelectron spectroscopy, electrochemistry and theory. Phys. Chem. Chem. Phys. 2018, 20, 25615–25622. [Google Scholar] [CrossRef]
- Tadić, J.D.; Lađarević, J.M.; Vitnik, Ž.J.; Vitnik, V.D.; Stanojković, T.P.; Matić, I.Z.; Mijin, D.Ž. Novel azo pyridone dyes based on dihydropyrimidinone skeleton: Synthesis, DFT study and anticancer activity. Dye. Pigment. 2021, 187, 109123. [Google Scholar] [CrossRef]







| Form | B3LYP | M06-2X | ||
|---|---|---|---|---|
| ERel * (kcal mol−1) | ω (%) | ERel (kcal mol−1) | ω (%) | |
| 9A | 0.00 | 99.33 | 0.00 | 90.63 |
| 9B | 3.00 | 0.65 | 1.58 | 6.44 |
| 9C | 5.27 | 0.01 | 2.08 | 2.77 |
| Compound Form | E0(radical)/Hartree | E0(ground)/Hartree | VIE/eV | AIE/eV | ΔIE */eV |
|---|---|---|---|---|---|
| 9A | –684.99165 | –685.00377 | 8.65 | 8.32 | 0.33 |
| 9B | –685.05465 | –685.06112 | 6.87 | 6.69 | 0.18 |
| 9D | –684.67384 | –684.67969 | 5.58 | 5.42 | 0.16 |
Disclaimer/Publisher’s Note: The statements, opinions and data contained in all publications are solely those of the individual author(s) and contributor(s) and not of MDPI and/or the editor(s). MDPI and/or the editor(s) disclaim responsibility for any injury to people or property resulting from any ideas, methods, instructions or products referred to in the content. |
© 2023 by the authors. Licensee MDPI, Basel, Switzerland. This article is an open access article distributed under the terms and conditions of the Creative Commons Attribution (CC BY) license (https://creativecommons.org/licenses/by/4.0/).
Share and Cite
Mašulović, A.; Lović, J.D.; Lađarević, J.; Vitnik, V.; Vitnik, Ž.; Avramov Ivić, M.; Mijin, D. Structure-Dependent Electrochemical Behavior of 2-Pyridone Derivatives: A Combined Experimental and Theoretical Study. Appl. Sci. 2023, 13, 10276. https://doi.org/10.3390/app131810276
Mašulović A, Lović JD, Lađarević J, Vitnik V, Vitnik Ž, Avramov Ivić M, Mijin D. Structure-Dependent Electrochemical Behavior of 2-Pyridone Derivatives: A Combined Experimental and Theoretical Study. Applied Sciences. 2023; 13(18):10276. https://doi.org/10.3390/app131810276
Chicago/Turabian StyleMašulović, Aleksandra, Jelena D. Lović, Jelena Lađarević, Vesna Vitnik, Željko Vitnik, Milka Avramov Ivić, and Dušan Mijin. 2023. "Structure-Dependent Electrochemical Behavior of 2-Pyridone Derivatives: A Combined Experimental and Theoretical Study" Applied Sciences 13, no. 18: 10276. https://doi.org/10.3390/app131810276
APA StyleMašulović, A., Lović, J. D., Lađarević, J., Vitnik, V., Vitnik, Ž., Avramov Ivić, M., & Mijin, D. (2023). Structure-Dependent Electrochemical Behavior of 2-Pyridone Derivatives: A Combined Experimental and Theoretical Study. Applied Sciences, 13(18), 10276. https://doi.org/10.3390/app131810276

