Generation of a Virtual Cohort of Patients for in Silico Trials of Acute Ischemic Stroke Treatments
Abstract
:1. Introduction
2. Materials and Methods
2.1. Collection of Patient-Specific Data
2.2. Generation of Virtual Patients
2.3. Automatic 3D Reconstruction of Cerebral Vessels
2.4. Reconstruction Validation
3. Results
3.1. Generated Virtual Patients
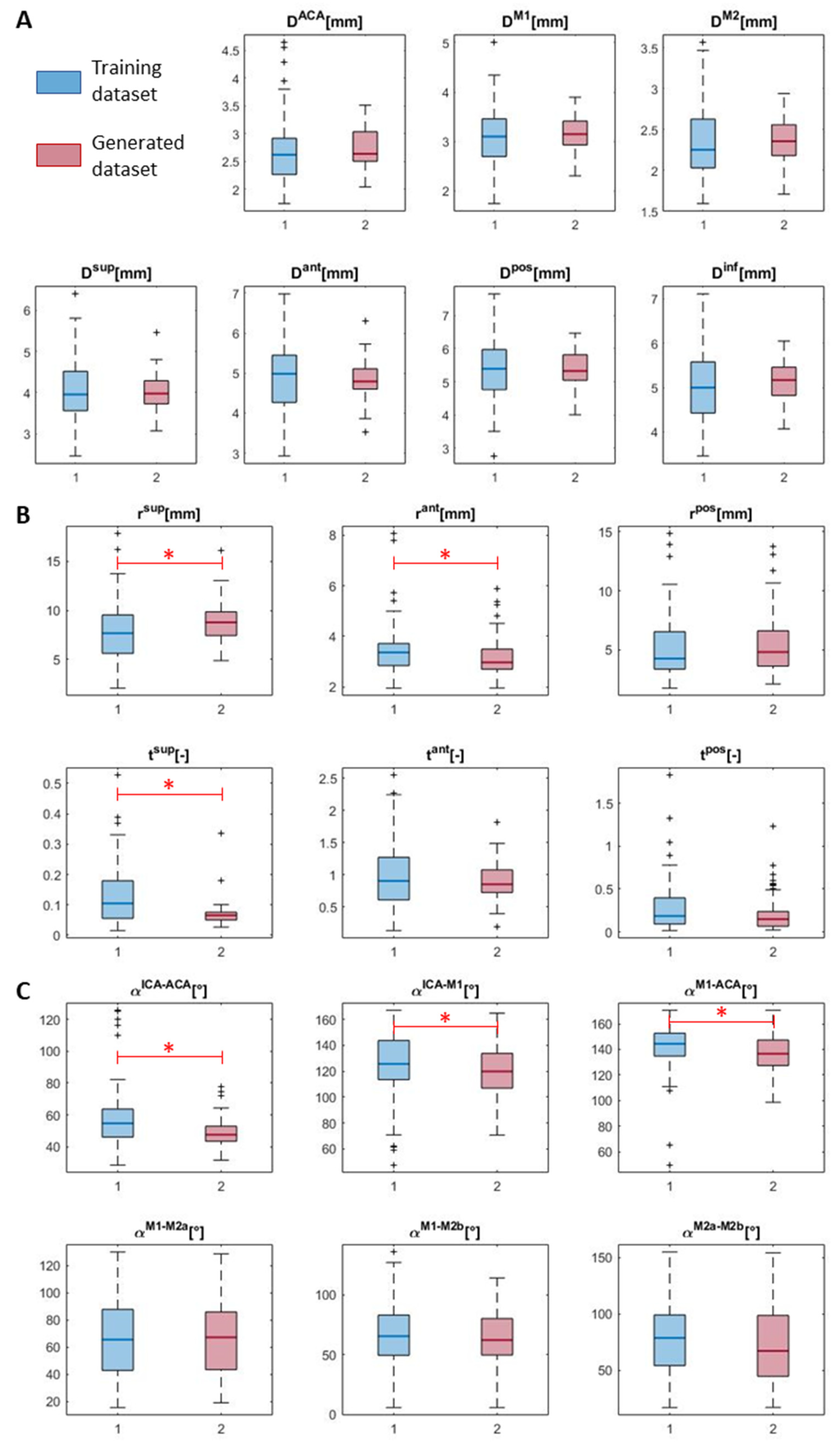
3.2. Reconstruction Validation Analysis
4. Discussion
5. Conclusions
Supplementary Materials
Author Contributions
Funding
Institutional Review Board Statement
Informed Consent Statement
Data Availability Statement
Acknowledgments
Conflicts of Interest
Appendix A

| Parameter | Admissible Min–Max Range | Median (IQR) Training Dataset | Median (IQR) Generated Dataset | h (p-Value) |
|---|---|---|---|---|
| Dsup (mm) | 2.46–6.39 | 3.95 (0.95) | 3.98 (0.56) | 0 (0.696) |
| rsup (mm) | 2.08–17.84 | 7.68 (3.92) | 8.79 (2.42) | 1 (0.001) |
| tsup (-) | 0.016–0.527 | 0.105 (0.124) | 0.066 (0.026) | 1 (~10−5) |
| Dant (mm) | 2.93–6.98 | 4.98 (1.18) | 4.79 (0.50) | 0 (0.396) |
| rant (mm) | 1.95–8.07 | 3.36 (0.87) | 2.97 (0.79) | 1 (0.003) |
| tant (-) | 0.128–2.54 | 0.901 (0.662) | 0.848 (0.351) | 0 (0.310) |
| Dpos (mm) | 2.76–7.65 | 5.39 (1.21) | 5.33 (0.77) | 0 (0.744) |
| rpos (mm) | 1.75–14.84 | 4.25 (3.17) | 4.81 (2.99) | 0 (0.376) |
| tpos (-) | 0.015–1.827 | 0.185 (0.305) | 0.149 (0.173) | 0 (0.074) |
| Dinf (mm) | 3.46–7.11 | 5.00 (1.15) | 5.17 (0.64) | 0 (0.253) |
| DACA (mm) | 1.74–4.65 | 2.62 (0.65) | 2.64 (0.53) | 0 (0.189) |
| DM1 (mm) | 1.75–5.01 | 3.10 (0.76) | 3.15 (0.48) | 0 (0.273) |
| αICA-ACA (°) | 28.57–125.63 | 54.72 (17.67) | 47.55 (9.48) | 1 (~10−4) |
| αICA-M1 (°) | 47.48–167.10 | 125.68 (30.30) | 119.89 (26.94) | 1 (0.028) |
| αM1-ACA (°) | 49.52–170.56 | 144.37 (17.92) | 136.63 (20.02) | 1 (0.038) |
| DM2 (mm) | 1.60–3.57 | 2.25 (0.60) | 2.36 (0.38) | 0 (0.232) |
| αM1-M2a (°) | 15.72–129.80 | 65.53 (44.74) | 67.22 (42.35) | 0 (0.920) |
| αM1-M2b (°) | 5.93–135.96 | 65.60 (33.71) | 62.28 (30.56) | 0 (0.433) |
| αM2a-M2b (°) | 17.18–155.02 | 78.85 (44.94) | 67.42 (53.88) | 0 (0.186) |

References
- Viceconti, M.; Henney, A.; Morley-Fletcher, E. In Silico Clinical Trials: How Computer Simulation Will Transform the Biomedical Industry. Int. J. Clin. Trials 2016, 3, 37. [Google Scholar] [CrossRef]
- Radzik, B.R.; Puttgen, H.A.; Gottesman, R.F.; Aldrich, E.M. The Role of Interventional Radiology in Cerebrovascular Disease: A Review of Cerebrovascular Anatomy and Disease. J. Radiol. Nurs. 2007, 26, 39–43. [Google Scholar] [CrossRef]
- Phipps, M.S.; Cronin, C.A. Management of Acute Ischemic Stroke. BMJ 2020, 368, l6983. [Google Scholar] [CrossRef]
- Luraghi, G.; Bridio, S.; Rodriguez Matas, J.F.; Dubini, G.; Boodt, N.; Gijsen, F.J.H.; van der Lugt, A.; Fereidoonnezhad, B.; Moerman, K.M.; McGarry, P.; et al. The First Virtual Patient-Specific Thrombectomy Procedure. J. Biomech. 2021, 126, 110622. [Google Scholar] [CrossRef]
- Luraghi, G.; Bridio, S.; Lissoni, V.; Dubini, G.; Dwivedi, A.; McCarthy, R.; Fereidoonnezhad, B.; McGarry, P.; Gijsen, F.J.H.; Rodriguez Matas, J.F.; et al. Combined Stent-Retriever and Aspiration Intra-Arterial Thrombectomy Performance for Fragmentable Blood Clots: A Proof-of-Concept Computational Study. J. Mech. Behav. Biomed. Mater. 2022, 135, 105462. [Google Scholar] [CrossRef]
- Mousavi JS, S.M.; Faghihi, D.; Sommer, K.; Bhurwani, M.M.S.; Patel, T.R.; Santo, B.; Waqas, M.; Ionita, C.; Levy, E.I.; Siddiqui, A.H.; et al. Realistic Computer Modelling of Stent Retriever Thrombectomy: A Hybrid Finite-Element Analysis-Smoothed Particle Hydrodynamics Model. J. R. Soc. Interface 2021, 18, 20210583. [Google Scholar] [CrossRef]
- Liu, R.; Jin, C.; Wang, L.; Yang, Y.; Fan, Y.; Wang, W. Simulation of Stent Retriever Thrombectomy in Acute Ischemic Stroke by Finite Element Analysis. Comput. Methods Biomech. Biomed. Eng. 2021, 25, 740–749. [Google Scholar] [CrossRef]
- Miller, C.; Konduri, P.; Bridio, S.; Luraghi, G.; Arrarte Terreros, N.; Boodt, N.; Samuels, N.; Rodriguez Matas, J.F.; Migliavacca, F.; Lingsma, H.; et al. In Silico Thrombectomy Trials for Acute Ischemic Stroke. Comput. Methods Programs Biomed. 2023, 228, 107244. [Google Scholar] [CrossRef]
- Bridio, S.; Luraghi, G.; Rodriguez Matas, J.F.; Dubini, G.; Giassi, G.G.; Maggio, G.; Kawamoto, J.N.; Moerman, K.M.; McGarry, P.; Konduri, P.R.; et al. Impact of the Internal Carotid Artery Morphology on In Silico Stent-Retriever Thrombectomy Outcome. Front. Med. Technol. 2021, 3, 719909. [Google Scholar] [CrossRef]
- Zhu, L.; Liebeskind, D.S.; Jahan, R.; Starkman, S.; Salamon, N.; Duckwiler, G.; Vinuela, F.; Tateshima, S.; Gonzalez, N.; Villablanca, P.; et al. Thrombus Branching and Vessel Curvature Are Important Determinants of Middle Cerebral Artery Trunk Recanalization with Merci Thrombectomy Devices. Stroke 2012, 43, 787–792. [Google Scholar] [CrossRef]
- Schwaiger, B.J.; Gersing, A.S.; Zimmer, C.; Prothmann, S. The Curved MCA: Influence of Vessel Anatomy on Recanalization Results of Mechanical Thrombectomy after Acute Ischemic Stroke. AJNR Am. J. Neuroradiol. 2015, 36, 971–976. [Google Scholar] [CrossRef]
- Srivatsa, S.; Duan, Y.; Sheppard, J.P.; Pahwa, S.; Pace, J.; Zhou, X.; Bambakidis, N.C. Cerebral Vessel Anatomy as a Predictor of First-Pass Effect in Mechanical Thrombectomy for Emergent Large-Vessel Occlusion. J. Neurosurg. 2021, 134, 576–584. [Google Scholar] [CrossRef] [PubMed]
- Mousavi Janbeh Sarayi, S.M.; Santo, B.A.; Waqas, M.; Monterio, A.; Veeturi, S.S.; Jenkins, T.D.; Levy, E.I.; Siddiqui, A.H.; Tutino, V.M. Vascular Cross-Section, Rather Than Tortuosity, Can Classify First-Pass Outcome of Mechanical Thrombectomy for Ischemic Stroke. Stroke Vasc. Interv. Neurol. 2023, 3, e000646. [Google Scholar] [CrossRef]
- Dutra, B.G.; Tolhuisen, M.L.; Alves, H.C.B.R.; Treurniet, K.M.; Kappelhof, M.; Yoo, A.J.; Jansen, I.G.H.; Dippel, D.W.J.; Van Zwam, W.H.; Van Oostenbrugge, R.J.; et al. Thrombus Imaging Characteristics and Outcomes in Acute Ischemic Stroke Patients Undergoing Endovascular Treatment. Stroke 2019, 50, 2057–2064. [Google Scholar] [CrossRef]
- Luraghi, G.; Rodriguez Matas, J.F.; Dubini, G.; Berti, F.; Bridio, S.; Duffy, S.; Dwivedi, A.; McCarthy, R.; Fereidoonnezhad, B.; McGarry, P.; et al. Applicability Assessment of a Stent-Retriever Thrombectomy Finite-Element Model. Interface Focus 2021, 11, 20190123. [Google Scholar] [CrossRef]
- Józsa, T.I.; Padmos, R.M.; Samuels, N.; El-Bouri, W.K.; Hoekstra, A.G.; Payne, S.J. A Porous Circulation Model of the Human Brain for in Silico Clinical Trials in Ischaemic Stroke: A Human Brain Model for Ischaemic Stroke. Interface Focus 2021, 11, 20190127. [Google Scholar] [CrossRef]
- Niederer, S.A.; Aboelkassem, Y.; Cantwell, C.D.; Corrado, C.; Coveney, S.; Cherry, E.M.; Delhaas, T.; Fenton, F.H.; Panfilov, A.V.; Pathmanathan, P.; et al. Creation and Application of Virtual Patient Cohorts of Heart Models: Virtual Cohorts of Heart Models. Philos. Trans. R. Soc. A Math. Phys. Eng. Sci. 2020, 378. [Google Scholar] [CrossRef]
- Rodero, C.; Strocchi, M.; Marciniak, M.; Longobardi, S.; Whitaker, J.; O’Neill, M.D.; Gillette, K.; Augustin, C.; Plank, G.; Vigmond, E.J.; et al. Linking Statistical Shape Models and Simulated Function in the Healthy Adult Human Heart. PLoS Comput. Biol. 2021, 17, e1008851. [Google Scholar] [CrossRef]
- Romero, P.; Lozano, M.; Martínez-Gil, F.; Serra, D.; Sebastián, R.; Lamata, P.; García-Fernández, I. Clinically-Driven Virtual Patient Cohorts Generation: An Application to Aorta. Front. Physiol. 2021, 12, 713118. [Google Scholar] [CrossRef]
- Thamsen, B.; Yevtushenko, P.; Gundelwein, L.; Setio, A.A.A.; Lamecker, H.; Kelm, M.; Schafstedde, M.; Heimann, T.; Kuehne, T.; Goubergrits, L. Synthetic Database of Aortic Morphometry and Hemodynamics: Overcoming Medical Imaging Data Availability. IEEE Trans. Med. Imaging 2021, 40, 1438–1449. [Google Scholar] [CrossRef]
- Jansen, I.G.H.; Mulder, M.J.H.L.; Goldhoorn, R.J.B. Endovascular Treatment for Acute Ischaemic Stroke in Routine Clinical Practice: Prospective, Observational Cohort Study (MR CLEAN Registry). BMJ 2018, 360, k949. [Google Scholar] [CrossRef]
- Chen, L.; Mossa-Basha, M.; Balu, N.; Canton, G.; Sun, J.; Pimentel, K.; Hatsukami, T.S.; Hwang, J.N.; Yuan, C. Development of a Quantitative Intracranial Vascular Features Extraction Tool on 3D MRA Using Semiautomated Open-Curve Active Contour Vessel Tracing. Magn. Reson. Med. 2018, 79, 3229–3238. [Google Scholar] [CrossRef] [PubMed]
- Heimann, T.; Meinzer, H.P. Statistical Shape Models for 3D Medical Image Segmentation: A Review. Med. Image Anal. 2009, 13, 543–563. [Google Scholar] [CrossRef]
- Rai, A.T.; Hogg, J.P.; Cline, B.; Hobbs, G. Cerebrovascular Geometry in the Anterior Circulation: An Analysis of Diameter, Length and the Vessel Taper. J. Neurointerv. Surg. 2013, 5, 371–375. [Google Scholar] [CrossRef]
- Muller, H.R.; Brunh61zl, C.; Radii, E.W.; Buser, M. Neuro—Radiology Sex and Side Differences of Cerebral Arterial Caliber. Neuroradiology 1991, 33, 212–216. [Google Scholar] [CrossRef] [PubMed]
- Mokin, M.; Waqas, M.; Chin, F.; Rai, H.; Senko, J.; Sparks, A.; Ducharme, R.W.; Springer, M.; Borlongan, C.V.; Levy, E.I.; et al. Semi-Automated Measurement of Vascular Tortuosity and Its Implications for Mechanical Thrombectomy Performance. Neuroradiology 2021, 63, 381–389. [Google Scholar] [CrossRef]
- Koskinen, S.M.; Soinne, L.; Valanne, L.; Silvennoinen, H. The Normal Internal Carotid Artery: A Computed Tomography Angiographic Study. Neuroradiology 2014, 56, 723–729. [Google Scholar] [CrossRef]
- Luisi, C.A.; Amiri, A.; Büsen, M.; Sichermann, T.; Nikoubashman, O.; Wiesmann, M.; Steinseifer, U.; Müller, M.; Neidlin, M. Investigation of Cerebral Hemodynamics during Endovascular Aspiration: Development of an Experimental and Numerical Setup. Cardiovasc. Eng. Technol. 2023, 14, 393–403. [Google Scholar] [CrossRef] [PubMed]
- Cootes, T.; Taylor, C.; Cooper, D.; Graham, J. Active Shape Models—Their Training and Application. Comput. Vis. Image Underst. 1995, 61, 38–59. [Google Scholar] [CrossRef]
- Sophocleous, F.; Biffi, B.; Milano, E.G.; Bruse, J.; Caputo, M.; Rajakaruna, C.; Schievano, S.; Emanueli, C.; Bucciarelli-Ducci, C.; Biglino, G. Aortic Morphological Variability in Patients with Bicuspid Aortic Valve and Aortic Coarctation. Eur. J. Cardio-Thorac. Surg. 2019, 55, 704–713. [Google Scholar] [CrossRef]
- Cosentino, F.; Raffa, G.M.; Gentile, G.; Agnese, V.; Bellavia, D.; Pilato, M.; Pasta, S. Statistical Shape Analysis of Ascending Thoracic Aortic Aneurysm: Correlation between Shape and Biomechanical Descriptors. J. Pers. Med. 2020, 10, 28. [Google Scholar] [CrossRef] [PubMed]







Disclaimer/Publisher’s Note: The statements, opinions and data contained in all publications are solely those of the individual author(s) and contributor(s) and not of MDPI and/or the editor(s). MDPI and/or the editor(s) disclaim responsibility for any injury to people or property resulting from any ideas, methods, instructions or products referred to in the content. |
© 2023 by the authors. Licensee MDPI, Basel, Switzerland. This article is an open access article distributed under the terms and conditions of the Creative Commons Attribution (CC BY) license (https://creativecommons.org/licenses/by/4.0/).
Share and Cite
Bridio, S.; Luraghi, G.; Ramella, A.; Rodriguez Matas, J.F.; Dubini, G.; Luisi, C.A.; Neidlin, M.; Konduri, P.; Arrarte Terreros, N.; Marquering, H.A.; et al. Generation of a Virtual Cohort of Patients for in Silico Trials of Acute Ischemic Stroke Treatments. Appl. Sci. 2023, 13, 10074. https://doi.org/10.3390/app131810074
Bridio S, Luraghi G, Ramella A, Rodriguez Matas JF, Dubini G, Luisi CA, Neidlin M, Konduri P, Arrarte Terreros N, Marquering HA, et al. Generation of a Virtual Cohort of Patients for in Silico Trials of Acute Ischemic Stroke Treatments. Applied Sciences. 2023; 13(18):10074. https://doi.org/10.3390/app131810074
Chicago/Turabian StyleBridio, Sara, Giulia Luraghi, Anna Ramella, Jose Felix Rodriguez Matas, Gabriele Dubini, Claudio A. Luisi, Michael Neidlin, Praneeta Konduri, Nerea Arrarte Terreros, Henk A. Marquering, and et al. 2023. "Generation of a Virtual Cohort of Patients for in Silico Trials of Acute Ischemic Stroke Treatments" Applied Sciences 13, no. 18: 10074. https://doi.org/10.3390/app131810074
APA StyleBridio, S., Luraghi, G., Ramella, A., Rodriguez Matas, J. F., Dubini, G., Luisi, C. A., Neidlin, M., Konduri, P., Arrarte Terreros, N., Marquering, H. A., Majoie, C. B. L. M., & Migliavacca, F. (2023). Generation of a Virtual Cohort of Patients for in Silico Trials of Acute Ischemic Stroke Treatments. Applied Sciences, 13(18), 10074. https://doi.org/10.3390/app131810074

