Improving Mobile-Based Cervical Cytology Screening: A Deep Learning Nucleus-Based Approach for Lesion Detection
Abstract
:1. Introduction
2. Related Work
3. Dataset
3.1. Nucleus-Based Cervical Lesion Dataset
4. Methodology
4.1. Mobile-Based Framework for Cervical Cytology Screening: Pipeline Overview
4.2. Nucleus-Based Cervical Lesion Detection Model
4.2.1. Training Optimizations
4.2.2. Transfer Learning Optimizations
4.2.3. Detected Classes Optimization
4.2.4. Model Evaluation
4.2.5. Post-Processing Optimizations
5. Results and Discussion
5.1. Training Optimizations
5.2. Transfer Learning Optimizations
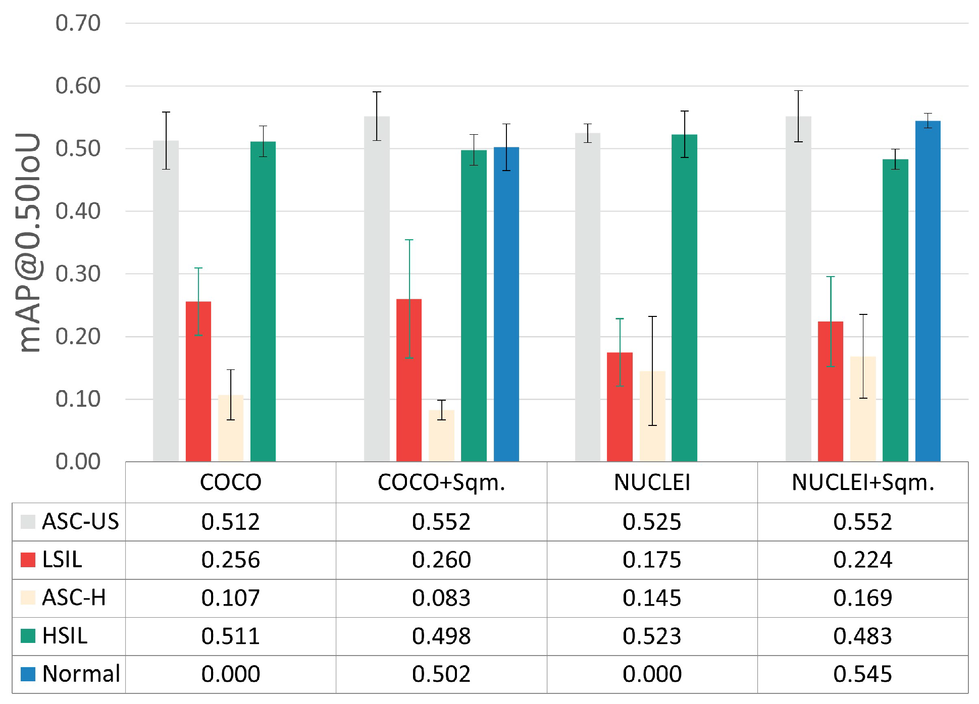
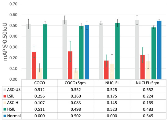
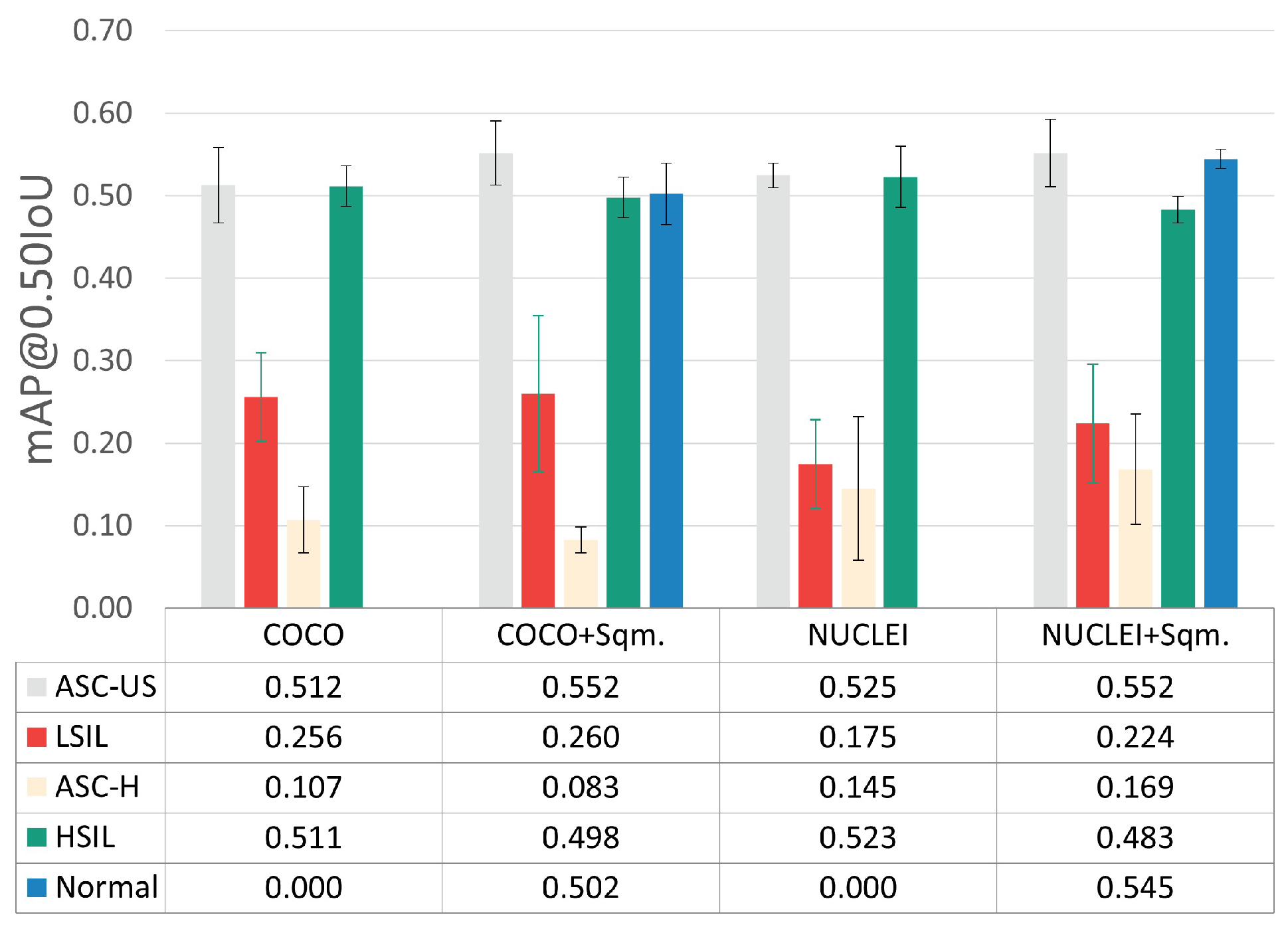
5.3. Detected Class Optimizations
5.4. Data Augmentation
5.5. Nucleus-Based versus Region-Based Approaches
5.6. Post-Processing Optimizations
6. Conclusions and Future Work
Author Contributions
Funding
Institutional Review Board Statement
Informed Consent Statement
Data Availability Statement
Acknowledgments
Conflicts of Interest
Abbreviations
| Sqm. | Squamous nuclei |
| Aug. | Augmented |
| LBC | Liquid-Based Cytology |
| AI | Artificial Intelligence |
| TBS. | The Bethesda System |
| CAD | Computer-Aided Diagnosis |
| COCO | Common Objects in Context |
| FPN | Feature Pyramid Network |
| SSD | Single-Shot Detector |
| CNN | Convolutional Neural Network |
| YOLO | You Only Look Once |
| WSI | Whole-Slide Imaging |
| IoT | Internet of Things |
| ASC-US | Atypical Squamous Cell of Undetermined Significance |
| LSIL | Low-grade Squamous Intraepithelial Lesion |
| ASC-H | Atypical Squamous Cell, cannot rule out High-grade lesion |
| HSIL | High-grade Squamous Intraepithelial Lesion |
| SCC | Squamous Cell Carcinoma |
| 3D | Three Dimensions |
| NMS | Non-Maximum Suppression |
| CPU | Central Processing Unit |
| GPU | Graphics Processing Unit |
| VRAM | Video Random Access Memory |
| IoU | Intersection over Union |
| AR | Average Recall |
| AP | Average Precision |
| mAP | Mean Average Precision |
| FN | False Negative |
| FP | False Positive |
| TP | True Positive |
| LR | Learning Rate |
| BS | Batch Size |
| GAN | Generative Adversarial Network |
| SPFNet | Series-Parallel Fusion Network |
| CEENET | Cervical Ensemble Network |
| EN-FELM | EfficientNet Fuzzy Extreme-Learning Machine |
References
- Sung, H.; Ferlay, J.; Siegel, R.; Laversanne, M.; Soerjomataram, I.; Jemal, A.; Bray, F. Global Cancer Statistics 2020: GLOBOCAN Estimates of Incidence and Mortality Worldwide for 36 Cancers in 185 Countries. CA A Cancer J. Clin. 2021, 71, 209–249. [Google Scholar] [CrossRef]
- WHO. Cancer Today. 2021. Available online: https://gco.iarc.fr/today/fact-sheets-cancers (accessed on 11 February 2021).
- Marth, C.; Landoni, F.; Mahner, S.; McCormack, M.; Gonzalez-Martin, A.; Colombo, N. Cervical cancer: ESMO Clinical Practice Guidelines for diagnosis, treatment and follow-up. Ann. Oncol. 2018, 29, iv262. [Google Scholar] [CrossRef]
- da Conceição, T.; Braga, C.; Rosado, L.; Vasconcelos, M.J.M. A Review of Computational Methods for Cervical Cells Segmentation and Abnormality Classification. Int. J. Mol. Sci. 2019, 20, 5114. [Google Scholar]
- Mosiichuk, V.; Viana, P.; Oliveira, T.; Rosado, L. Automated Adequacy Assessment of Cervical Cytology Samples Using Deep Learning. In Proceedings of the Iberian Conference on Pattern Recognition and Image Analysis, Aveiro, Portugal, 4–6 May 2022; Pinho, A.J., Georgieva, P., Teixeira, L.F., Sánchez, J.A., Eds.; Springer International Publishing: Cham, Switzerland, 2022; pp. 156–170. [Google Scholar]
- Sampaio, A.F.; Rosado, L.; Vasconcelos, M.J.M. Towards the Mobile Detection of Cervical Lesions: A Region-Based Approach for the Analysis of Microscopic Images. IEEE Access 2021, 9, 152188–152205. [Google Scholar] [CrossRef]
- Falk, T.; Mai, D.; Bensch, R.; Çiçek, d.; Abdulkadir, A.; Marrakchi, Y.; Böhm, A.; Deubner, J.; Jaeckel, Z.; Seiwald, K.; et al. U-Net: Deep learning for cell counting, detection, and morphometry. Nat. Methods 2019, 16, 67–70. [Google Scholar] [CrossRef]
- Hernández, C.X.; Sultan, M.M.; Pande, V.S. Using Deep Learning for Segmentation and Counting within Microscopy Data. arXiv 2018, arXiv:1802.10548. [Google Scholar]
- Ke, J.; Jiang, Z.; Liu, C.; Bednarz, T.; Sowmya, A.; Liang, X. Selective Detection and Segmentation of Cervical Cells. In Proceedings of the ICBBT’19: 2019 11th International Conference on Bioinformatics and Biomedical Technology, Stockholm, Sweden, 29–31 May 2019; pp. 55–61. [Google Scholar] [CrossRef]
- Chen, Y.; Tsai, J.; Ho, W. Automatic identifying and counting blood cells in smear images by using single shot detector and Taguchi method. BMC Bioinform. 2022, 22 (Suppl. 5), 635. [Google Scholar] [CrossRef]
- Xie, W.; Noble, J.; Zisserman, A. Microscopy cell counting and detection with fully convolutional regression networks. Comput. Methods Biomech. Biomed. Eng. Imaging Vis. 2018, 6, 283–292. [Google Scholar] [CrossRef]
- Zhu, X.; Li, X.; Ong, K.H.; Zhang, W.; Li, W.; Li, L.; Young, D.; Su, Y.; Shang, B.; Peng, L.; et al. Hybrid AI-assistive diagnostic model permits rapid TBS classification of cervical liquid-based thin-layer cell smears. Nat. Commun. 2021, 12, 3541. [Google Scholar] [CrossRef]
- Meenakshisundaram, N.; Govindaraj, D. An Automatic Method for Identification of Cervical Cancer based on Multilayer Perceptron Neural Network. In Proceedings of the 2023 International Conference on Artificial Intelligence and Knowledge Discovery in Concurrent Engineering (ICECONF), Chennai, India, 5–7 January 2023; pp. 1–7. [Google Scholar] [CrossRef]
- Kumari, C.; Padmashree, S.; Bhavani, R.; Priya, R. Detection and Identification of Cervical Cancer on Elephant Herding Optimization on Convolutional Neural Network. In Proceedings of the 2022 IEEE 2nd Mysore Sub Section International Conference (MysuruCon), Mysuru, India, 16–17 October 2022; pp. 1–8. [Google Scholar] [CrossRef]
- Diniz, D.; Rezende, M.; Bianchi, A.; Carneiro, C.; Luz, E.; Moreira, G.; Ushizima, D.; Medeiros, F.; Souza, M. A Deep Learning Ensemble Method to Assist Cytopathologists in Pap Test Image Classification. J. Imaging 2021, 7, 111. [Google Scholar] [CrossRef]
- Bingöl, H. NCA -based hybrid convolutional neural network model for classification of cervical cancer on gauss-enhanced pap-smear images. Int. J. Imaging Syst. Technol. 2022, 32, 1978–1989. [Google Scholar] [CrossRef]
- Master, O.; Ganatra, A.; Kotecha, K. Cervical cancer detection in pap smear whole slide images using convNet with transfer learning and progressive resizing. PeerJ Comput. Sci. 2021, 7, e348. [Google Scholar] [CrossRef]
- Xia, M.; Zhang, G.; Mu, C.; Guan, B.; Wang, M. In Proceedings of the Cervical Cancer Cell Detection Based on Deep Convolutional Neural Network, Shenyang, China, 27–29 July 2020; pp. 6527–6532. [CrossRef]
- Subarna, T.; Sukumar, P. Detection and classification of cervical cancer images using CEENET deep learning approach. J. Intell. Fuzzy Syst. 2022, 43, 3695–3707. [Google Scholar] [CrossRef]
- Suphalakshmi, A.; Appathurai, A.; Jeyam, A.; Subramanian, M. Cervical cancer classification using efficient net and fuzzy extreme learning machine. J. Intell. Fuzzy Syst. 2022, 43, 6333–6342. [Google Scholar] [CrossRef]
- Banik, S.; Sindhoora; Melanthota, K.; Arbaaz.; Vaz, J.; Kadambalithaya, V.; Hussain, I.; Dutta, S.; Mazumder, N. Recent trends in smartphone-based detection for biomedical applications: A review. Anal. Bioanal. Chem. 2021, 413, 2389–2406. [Google Scholar] [CrossRef]
- de Haan, K.; Ceylan Koydemir, H.; Rivenson, Y.; Tseng, D.; Van Dyne, E.; Bakic, L.; Karinca, D.; Liang, K.; Ilango, M.; Gumustekin, E.; et al. Automated screening of sickle cells using a smartphone-based microscope and deep learning. NPJ Digit. Med. 2020, 3, 76. [Google Scholar] [CrossRef]
- Rosado, L.; Correia da Costa, J.M.; Elias, D.; Cardoso, J. Automated Detection of Malaria Parasites on Thick Blood Smears via Mobile Devices. Procedia Comput. Sci. 2016, 90, 138–144. [Google Scholar] [CrossRef]
- Rosado, L.; Costa, J.M.C.d.; Elias, D.; Cardoso, J.S. Mobile-Based Analysis of Malaria-Infected Thin Blood Smears: Automated Species and Life Cycle Stage Determination. Sensors 2017, 17, 2167. [Google Scholar] [CrossRef]
- Holmström, O.; Linder, N.; Ngasala, B.; Mårtensson, A.; Linder, E.; Lundin, M.; Moilanen, H.; Suutala, A.; Diwan, V.; Lundin, J. Point-of-care mobile digital microscopy and deep learning for the detection of soil-transmitted helminths and Schistosoma haematobium. Glob. Health Action 2017, 10, 1337325. [Google Scholar] [CrossRef]
- Wei, Q.; Qi, H.; Luo, W.; Tseng, D.; Ki, S.; Wan, Z.; Göröcs, Z.; Bentolila, L.; Wu, T.T.; Sun, R.; et al. Fluorescent Imaging of Single Nanoparticles and Viruses on a Smart Phone. ACS Nano 2013, 7, 9147–9155. [Google Scholar] [CrossRef]
- Rosado, L.; Oliveira, J.; Vasconcelos, M.J.M.; da Costa, J.M.C.; Elias, D.; Cardoso, J.S. μSmartScope: 3D-printed Smartphone Microscope with Motorized Automated Stage. In Proceedings of the 10th International Joint Conference on Biomedical Engineering Systems and Technologies—BIODEVICES, (BIOSTEC 2017), Porto, Portugal, 21–23 February 2017; INSTICC. SciTePress: Lisbon, Portugal, 2017; pp. 38–48. [Google Scholar] [CrossRef]
- Rosado, L.; Silva, P.T.; Faria, J.; Oliveira, J.; Vasconcelos, M.J.M.; da Costa, J.M.C.; Elias, D.; Cardoso, J.S. μSmartScope: Towards a Fully Automated 3D-printed Smartphone Microscope with Motorized Stage. Commun. Comput. Inf. Sci. Book Ser. 2018, 4, 19–44. [Google Scholar]
- Brandão, P.; Silva, P.T.; Parente, M.; Rosado, L. µSmartScope: Towards a low-cost microscopic medical device for cervical cancer screening using additive manufacturing and optimization. Proc. Inst. Mech. Eng. Part L J. Mater. Des. Appl. 2021, 236, 267–279. [Google Scholar]
- Pereira, C.; Silva, P.T.; Rosado, L.; Mota, L.; Martins, J. The Design Thinking Process in the Development of an Intelligent Microscopic Equipment. In Proceedings of the Advances in Design and Digital Communication II, Cham, Switzerland, 4–6 November 2022; pp. 170–182. [Google Scholar]
- Jantzen, J.; Norup, J.; Dounias, G.; Bjerregaard, B. Pap-smear Benchmark Data For Pattern Classification. Nat. Inspired Smart Inf. Syst. (NiSIS) 2005, 1–9. [Google Scholar]
- Plissiti, M.; Dimitrakopoulos, P.; Sfikas, G.; Nikou, C.; Krikoni, O.; Charchanti, A. Sipakmed: A New Dataset for Feature and Image Based Classification of Normal and Pathological Cervical Cells in Pap Smear Images. In Proceedings of the 25th IEEE International Conference on Image Processing (ICIP), Athens, Greece, 7–10 October 2018; pp. 3144–3148. [Google Scholar] [CrossRef]
- Phoulady, H.A.; Mouton, P.R. A New Cervical Cytology Dataset for Nucleus Detection and Image Classification (Cervix93) and Methods for Cervical Nucleus Detection. arXiv 2018, arXiv:1811.09651. [Google Scholar]
- Lu, Z.; Carneiro, G.; Bradley, A. An Improved Joint Optimization of Multiple Level Set Functions for the Segmentation of Overlapping Cervical Cells. IEEE Trans. Image Process. 2015, 24, 1261–1272. [Google Scholar] [CrossRef]
- Lu, Z.; Carneiro, G.; Bradley, A.; Ushizima, D.; Nosrati, M.S.; Bianchi, A.; Carneiro, C.; Hamarneh, G. Evaluation of Three Algorithms for the Segmentation of Overlapping Cervical Cells. IEEE J. Biomed. Health Inform. 2016, 21, 441–450. [Google Scholar] [CrossRef]
- Rezende, M.T.; Tobias, A.H.G.; Silva, R.; Oliveira, P.H.C.; Medeiros, F.N.S.; Ushizima, D.M.; Carneiro, C.M.; Bianchi, A.G.C. Cric searchable image database as a public platform for conventional pap smear cytology data. Nat. Sci. Data 2021, 8, 151. [Google Scholar] [CrossRef]
- Nayar, R.; Wilbur, D.C. The Bethesda System for Reporting Cervical Cytology: Definitions, Criteria, and Explanatory Notes; Springer International Publishing: Cham, Switzerland, 2015; pp. 1–321. [Google Scholar] [CrossRef]
- Bergstra, J.; Bengio, Y. Random search for hyper-parameter optimization. J. Mach. Learn. Res. 2012, 13, 740–755. [Google Scholar]
- Lin, T.Y.; Maire, M.; Belongie, S.; Hays, J.; Perona, P.; Ramanan, D.; Dollár, P.; Zitnick, C.L. Microsoft coco: Common objects in context. In Proceedings of the Computer Vision—ECCV 2014: 13th European Conference, Zurich, Switzerland, 6–12 September 2014; Springer: Cham, Switzerland, 2014; pp. 740–755. [Google Scholar]
- Monti, M.; D’Aniello, D.; Scopelliti, A.; Tibaldi, V.; Santangelo, G.; Colagiovanni, V.; Giannini, A.; Palaia, I.; Perniola, G.; Giancotti, A.; et al. Relationship between cervical excisional treatment for cervical intraepithelial neoplasia and obstetrical outcome. Minerva Obstet. Gynecol. 2020, 73, 233–246. [Google Scholar] [CrossRef]
- Giannini, A.; Di Donato, V.; Sopracordevole, F.; Ciavattini, A.; Ghelardi, A.; Vizza, E.; D’Oria, O.; Simoncini, T.; Plotti, F.; Casarin, J.; et al. Outcomes of High-Grade Cervical Dysplasia with Positive Margins and HPV Persistence after Cervical Conization. Vaccines 2023, 11, 698. [Google Scholar] [CrossRef]










| Class | Annotations | ||
|---|---|---|---|
| Regions | Nuclei | ||
| Squamous cells | ASC-US | 477 | 768 |
| LSIL | 96 | 144 | |
| ASC-H | 109 | 132 | |
| HSIL | 232 | 329 | |
| SCC | 13 | 22 | |
| Normal | 31,698 | ||
| Total | 927 | 33,093 | |
| ASC-US | LSIL | ASC-H | HSIL-SCC | Normal | ||
|---|---|---|---|---|---|---|
| Train | Annotations | 596 | 82 | 101 | 315 | 897 |
| Patches with annotations | 669 | |||||
| Empty patches | 1165 | |||||
| Test | Annotations | 169 | 61 | 31 | 35 | 12,739 |
| Patches with annotations | 182 | |||||
| Empty patches | 19,886 | |||||
| Index | Learning Rate | Batch Size |
|---|---|---|
| 1 | 5.462 × 10−4 | 16 |
| 2 | 1.149 × 10−3 | 8 |
| 3 | 4.229 × 10−3 | 16 |
| 4 | 1.291 × 10−2 | 8 |
| 5 | 4.862 × 10−5 | 16 |
| ASC-US | LSIL | ASC-H | HSIL | Normal | Patches w/Ann. | Empty Patches | |
|---|---|---|---|---|---|---|---|
| Original | |||||||
| Train | 596 | 82 | 101 | 315 | 897 | 669 | 1094 |
| Fold 1 | 384 | 44 | 50 | 215 | 561 | 432 | 724 |
| Fold 2 | 412 | 64 | 83 | 210 | 620 | 462 | 728 |
| Fold 3 | 396 | 56 | 69 | 205 | 613 | 444 | 736 |
| Augmented | |||||||
| Train | 708 | 572 | 681 | 654 | 1803 | 1561 | 1094 |
| Fold 1 | 463 | 307 | 375 | 441 | 1011 | 988 | 724 |
| Fold 2 | 497 | 446 | 548 | 438 | 1335 | 1113 | 728 |
| Fold 3 | 457 | 391 | 439 | 429 | 1260 | 1021 | 736 |
| Score Threshold | Class | AP | Recall | Accuracy | Specificity | F1 | Youden | TP | FP | FN |
|---|---|---|---|---|---|---|---|---|---|---|
| Before Optimization | ||||||||||
| 0.500 | ASC-US | 0.1073 | 0.1824 | 0.9221 | 0.9314 | 0.0547 | 0.1137 | 31 | 932 | 139 |
| LSIL | 0 | 0 | 0.9953 | 0.9997 | 0 | −0.0003 | 0 | 4 | 61 | |
| ASC-H | 0 | 0 | 0.9970 | 0.9993 | 0 | −0.0003 | 0 | 10 | 31 | |
| HSIL | 0.1524 | 0.1714 | 0.9950 | 0.9972 | 0.1500 | 0.1686 | 6 | 39 | 29 | |
| Sqm. Normal | 0.8023 | 0.6864 | 0.6518 | 0.1990 | 0.7855 | −0.1147 | 8767 | 781 | 4006 | |
| After Optimization | ||||||||||
| 0.660 | ASC-US | 0.1098 | 0.0529 | 0.9859 | 0.9969 | 0.0804 | 0.0498 | 9 | 45 | 161 |
| 0.500 | LSIL | 0 | 0 | 0.9955 | 0.9997 | 0 | −0.0003 | 0 | 4 | 61 |
| 0.424 | ASC-H | 0.0600 | 0.0645 | 0.9957 | 0.9977 | 0.0597 | 0.0622 | 2 | 34 | 29 |
| 0.486 | HSIL | 0.1758 | 0.2286 | 0.9942 | 0.9961 | 0.1600 | 0.2247 | 8 | 57 | 27 |
| 0.415 | Sqm. Normal | 0.8271 | 0.7943 | 0.7065 | 0.0878 | 0.8258 | −0.1180 | 10,145 | 1652 | 2628 |
Disclaimer/Publisher’s Note: The statements, opinions and data contained in all publications are solely those of the individual author(s) and contributor(s) and not of MDPI and/or the editor(s). MDPI and/or the editor(s) disclaim responsibility for any injury to people or property resulting from any ideas, methods, instructions or products referred to in the content. |
© 2023 by the authors. Licensee MDPI, Basel, Switzerland. This article is an open access article distributed under the terms and conditions of the Creative Commons Attribution (CC BY) license (https://creativecommons.org/licenses/by/4.0/).
Share and Cite
Mosiichuk, V.; Sampaio, A.; Viana, P.; Oliveira, T.; Rosado, L. Improving Mobile-Based Cervical Cytology Screening: A Deep Learning Nucleus-Based Approach for Lesion Detection. Appl. Sci. 2023, 13, 9850. https://doi.org/10.3390/app13179850
Mosiichuk V, Sampaio A, Viana P, Oliveira T, Rosado L. Improving Mobile-Based Cervical Cytology Screening: A Deep Learning Nucleus-Based Approach for Lesion Detection. Applied Sciences. 2023; 13(17):9850. https://doi.org/10.3390/app13179850
Chicago/Turabian StyleMosiichuk, Vladyslav, Ana Sampaio, Paula Viana, Tiago Oliveira, and Luís Rosado. 2023. "Improving Mobile-Based Cervical Cytology Screening: A Deep Learning Nucleus-Based Approach for Lesion Detection" Applied Sciences 13, no. 17: 9850. https://doi.org/10.3390/app13179850
APA StyleMosiichuk, V., Sampaio, A., Viana, P., Oliveira, T., & Rosado, L. (2023). Improving Mobile-Based Cervical Cytology Screening: A Deep Learning Nucleus-Based Approach for Lesion Detection. Applied Sciences, 13(17), 9850. https://doi.org/10.3390/app13179850

