Interlayer Isolation Structures Considering Soil–Structure Interaction under Long-Period Ground Motions: An Experimental Analysis
Abstract
1. Introduction
2. Design of the Shaking-Table Test of the Pile–Soil-Layer Interval Seismic Structure
2.1. Test Prototype Structure and Similar Relationship
2.2. Model Scale Design
2.3. Pile Foundation Design and Production
2.4. Isolation Bearing
2.5. Soil Box Design and Production
2.6. Preparation of Model Soil
2.7. Model Assembly and Measurement-Point Layout
2.8. Ground-Motion Selection
2.9. Loading System and Working Conditions
3. Results and Analysis of the Shaking-Table Test
3.1. Test Macro Phenomenon
3.2. Dynamic Characteristics of the Model Structure
3.3. Soil–Tank Boundary Effect
3.4. Amplification Effect of the Foundation Soil and Filtering Effect
3.4.1. Amplification Effect
3.4.2. Filtering Effect
3.5. Earthquake Response of the Test Model Analysis
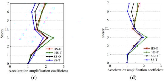
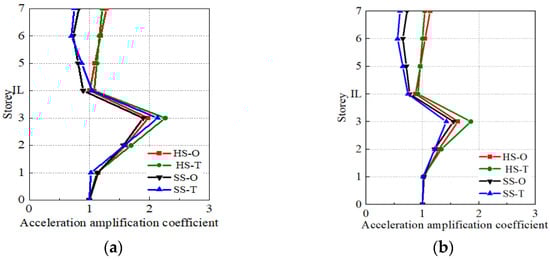
3.5.1. Floor Acceleration Response
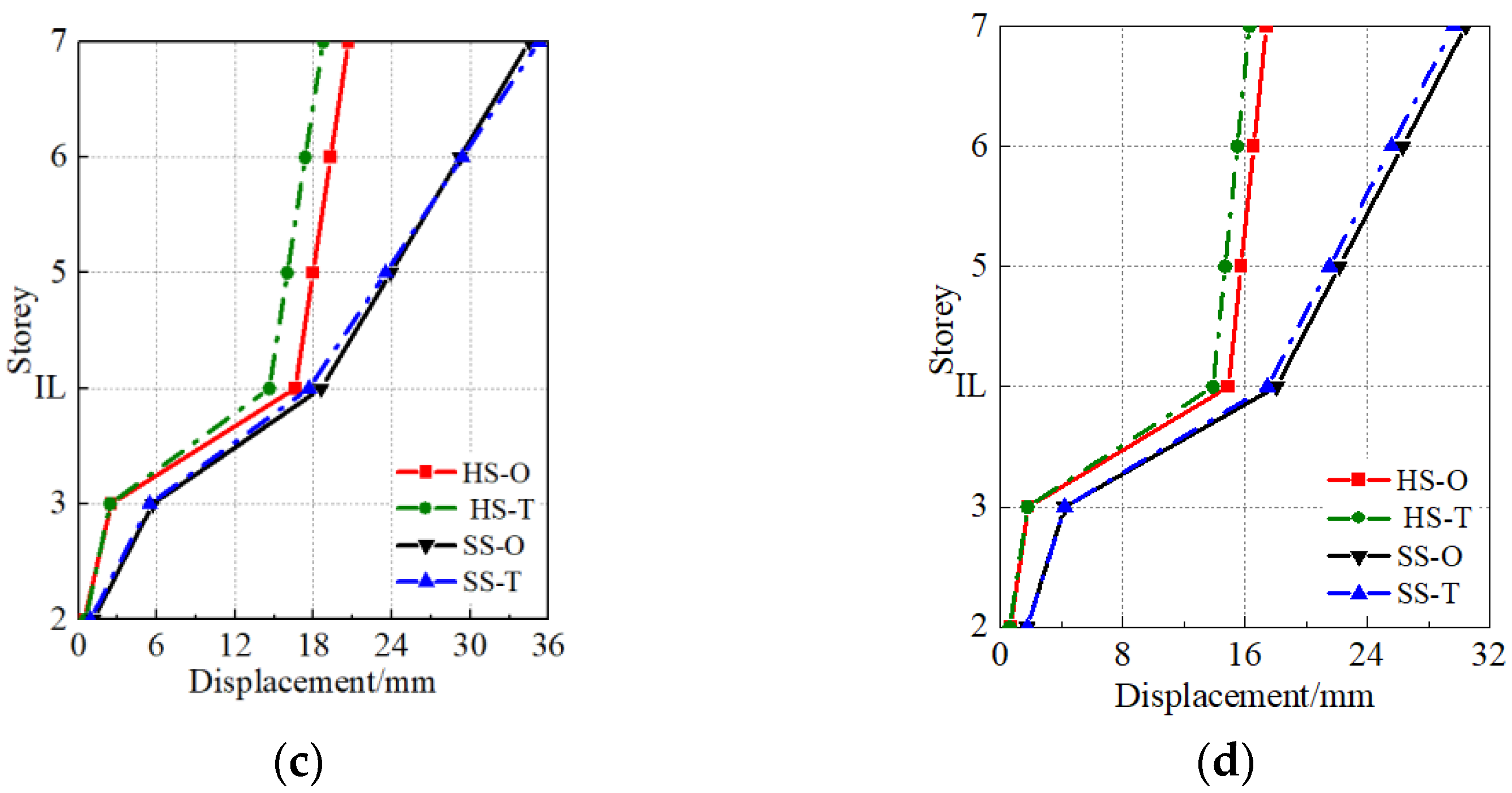
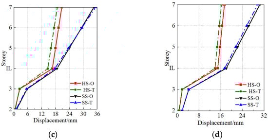
3.5.2. Floor-Displacement Response
3.5.3. Floor-Based Shear Response among Layers
4. Comparative Analysis of Theoretical and Experimental Results
4.1. Establishment of a 3D Global Finite-Element Model
4.2. Modal Comparative Analysis
4.3. Seismic-Response Analysis under Single and Bidirectional Seismic Motion
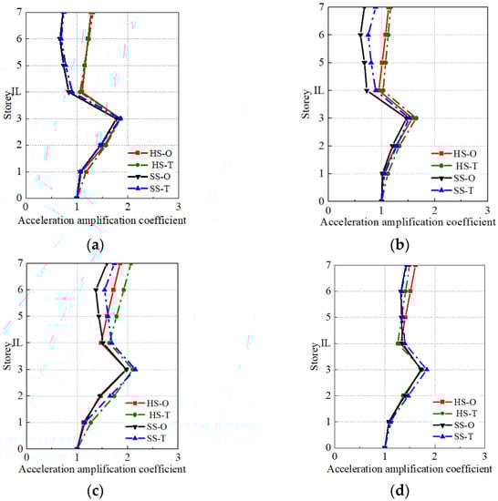
4.3.1. Comparison of Floor Acceleration Response
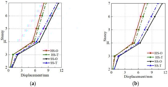
4.3.2. Comparison between Floor-Displacement Responses
4.3.3. Comparison of the Shear Response between Floors
5. Discussion and Suggestions
6. Conclusion
Author Contributions
Funding
Institutional Review Board Statement
Informed Consent Statement
Data Availability Statement
Conflicts of Interest
References
- Mylonakis, G.; Gazetas, G. Seismic soil structure interaction: Beneficial or Detrimental? Earthq. Eng. 2000, 4, 277–301. [Google Scholar] [CrossRef]
- Terzi, V.G.; Athanatopoulou, A. Dynamic optimum torsion axis under soil-stucture interaction effects. Eng. Struct. 2023, 274, 115150. [Google Scholar] [CrossRef]
- Vicencio, F.; Alexander, N.A. Dynamic Structure-Soil-Structure Interaction in unsymmetrical plan buildings due to seismic excitation. Soil Dyn. Earthq. Eng. 2019, 127, 105817. [Google Scholar] [CrossRef]
- Faiella, D.; Mele, E. Insights into inter-story isolation design through the analysis of two case studies. Eng. Struct. 2020, 215, 110660. [Google Scholar] [CrossRef]
- Lucom, J.E. Effects of soil–structure interaction on seismic base isolation. Soil Dyn. Earthq. Eng. 2014, 66, 167–177. [Google Scholar] [CrossRef]
- Wu, Y.; Lu, J.; Zhao, X.; Lin, Y. Model Test and Analysis of Horizontal Torsional Coupling Effect for Large Substructure Layer Isolation. Eng. Sci. Technol. 2018, 50, 48–55. [Google Scholar]
- Zhu, X.; Pan, R.; Li, J.; Lin, G. Study of isolation effectiveness of nuclear reactor building with three-dimensional seismic base isolation. Eng. Comput. 2021, 39, 1209–1233. [Google Scholar] [CrossRef]
- Wang, S.J.; Chang, K.C.; Hwang, J.S.; Lee, B.H. Simplified analysis of mid-story seismically isolated buildings. Earthq. Eng. Struct. Dyn. 2011, 40, 119–133. [Google Scholar]
- Rocha, L.E.; Pérez, J.; Avilés López, A.; Colunga, T. Influence of soil-structure interaction on isolated buildings for SF6 gas-insulated substations. In Proceedings of the 4th ECCOMAS Thematic Conference on Computational Methods in Structural Dynamics and Earthquake Engineering, Kos Island, Greece, 12–14 June 2013. [Google Scholar]
- Li, C.; Liu, W.; Wang, S.; Du, D.; Wang, H. Shaking table test on high-rise isolated structure on soft soil foundation. J. Build. Struct. 2013, 34, 72–78. [Google Scholar]
- Ulitsky, V.; Lisyuk, B.M.; Shashkin, G.A. An efficient method for estimating the dynamic response of base-isolated structure with SSI effect. Adv. Soil Mech. Geotech. Eng. 2014, 4, 235. [Google Scholar]
- Tsai, C.S.; Chen, C.S.; Chen, B.J. Effects of unbounded media on seismic responses of FPS-isolated structures. Struct. Control Health Monit. 2004, 11, 1–20. [Google Scholar]
- Haiqing, L.; Zhijiao, S. Influence of soil-structure dynamic interaction on isolation effect of lead-rubber bearing. J. Earthq. Eng. Eng. Vib. 2010, 30, 161–165. [Google Scholar] [CrossRef]
- Yu, X.; Zhuang, H.; Li, S. Investigation into the seismic reduction factor of isolated structure with SSI effect on soft sites. World Inf. Earthq. Eng. 2017, 33, 183–191. [Google Scholar]
- Zhuang, H.; Yu, X.; Zhu, C.; Jin, D. Shaking table tests for the seismic response of a base-isolated structure with the SSI effect. Soil Dyn. Earthq. Eng. 2014, 67, 208–218. [Google Scholar]
- Zhuang, H.; Fu, J.; Yu, X.; Chen, S.; Cai, X. Earthquake responses of a base-isolated structure on a multi-layered soft soil foundation by using shaking table tests. Eng. Struct. 2019, 179, 79–91. [Google Scholar] [CrossRef]
- Wu, Y.; Zheng, Z.; Yan, G.; Wu, Z.; Chen, B.; Liu, N. Shaking table test study on pile soil interlayer isolation structures under far-field long-term seismic motion. J. Build. Struct. 2021, 42, 11–22. [Google Scholar]
- Xu, L.; Wu, Y.; Tian, H. Shaking table test study on eccentric foundation isolation structure of soft soil foundation under long-term seismic action. J. Build. Struct. 2022, 43, 1–11. [Google Scholar]
- Yu, X.; Zhuang, H.Y.; Chen, G.X. Prediction method research of seismic response and seismic isolation effect of isolated structure on soft soil foundation. Zhen dong Gong cheng Xue bao. J. Vib. Eng. 2017, 30, 817–826. [Google Scholar] [CrossRef]
- Wu, Y.; Chen, J.; Fang, H. Shaking table test study on interlayer isolation structure of soft sandwich foundation under long-term seismic motion. J. Vib. Eng. 2023, 36, 345–356. [Google Scholar] [CrossRef]
- Shi, J.; Dong, X.; Lin, Y. Experimental study on base isolation structures considering SSI effect under long-term seismic motion. J. Appl. Fundam. Eng. Sci. 2022, 30, 936–950. [Google Scholar]
- Chang, S.; Zhang, S. Engineering Geological Handbook; China Construction Industry Press: Beijing, China, 2007. [Google Scholar]
- Wu, Y.; Lu, J.; Qi, A. Shaking table test and numerical analysis of mid-story isolation eccentric structure with tower-podium. Adv. Mech. Eng. 2019, 11, 1–16. [Google Scholar] [CrossRef]
- Shi, W.; Chen, W.; Lin, Y.; Wu, Y. Fabrication and Testing of a Laminar Shear Soil Box for a Shaking-Table Test. ASCE Pract. Period. Struct. Des. Constr. 2021, 26, 04021030. [Google Scholar] [CrossRef]
- Jing, L.; Zhuo, X.; Wang, X. Effect of complex site on seismic wave propagation. Earthq. Eng. Eng. Vib. 2005, 25, 16. [Google Scholar]
- Chen, W.; Ma, J.; Cao, S.; Wang, Q.; Wang, M. Shaking table test study on seismic performance of inclined pile foundations in liquefiable soil. Environ. Earth Sci. 2020, 79, 398. [Google Scholar] [CrossRef]
































| Types | Physical Quantity | Similarity Relationship | Similarity Ratio | |
|---|---|---|---|---|
| Structure | Foundation Soil | |||
| Property of geometric | Length l | Sl | 1/12 | 1/12 |
| Linear displacement x | Sx = Sl | 1/12 | 1/12 | |
| Properties of materials | Elastic modulus E | SE | 1 | 1/4 |
| Upper structural density ρ | Sρ | 12 | 1 | |
| Upper structural mass m | Sm = SρSl3 | 1/144 | 1/1728 | |
| Support stress σ | Sσ | 1 | / | |
| Soil shear modulus G | SG | / | 1/4 | |
| Properties of dynamic | Stiffness k | Sk = SE Sl | 1/12 | / |
| Time t | St = Sl0.5 Sa−0.5 | 0.288 | 0.288 | |
| Acceleration a | Sa | 1 | 1 | |
| Performance | Parameter |
|---|---|
| The first shape coefficient of S1 | 10.94 |
| The second shape coefficient of S2 | 4.38 |
| Bearing pressure on the area of /mm2 | 3848 |
| Vertical compressive stiffness, /kN·mm−1 | 59 |
| 100% level equivalent stiffness, /kN·mm−1 | 0.098 |
| The yield strength/kN | 0.16 |
| The stiffness before yielding, /kN·mm−1 | 1.071 |
| The stiffness after yielding, /kN·mm−1 | 0.089 |
| The shear modulus of rubber, /MPa | 0.392 |
| Effective diameter, /mm | 70 |
| Clear height, /mm | 50 |
| Lead core diameter/mm | 5 |
| Sealing plate thickness, /mm | 8 |
| The steel plate thickness, /mm | 2 |
| The layer number of steel plate, /layer | 9 |
| The rubber layer thickness, /mm | 1.60 |
| Rubber layer, /slice | 10 |
| Species | Density/ (kg·m−3) | Moisture Content/% | Liquid Limit/ % | Plastic Limit/ % | Status | Friction Angle/ ° | Cohesion/MPa |
|---|---|---|---|---|---|---|---|
| clay | 1760 | 29 | 18.93 | 40.66 | plasticity | 17 | 0.022 |
| Type | Name | Magnitude | Station | Fault Distance/km | PGA/g | PGV/PGA | Tr/s | |
|---|---|---|---|---|---|---|---|---|
| Near-field ordinary | Friuli | 6.5 | TMZ270 | 15.82 | 30.02 | 0.09 | 0.52 | |
| Imperial Valley | 6.95 | ELC180 | 6.09 | 30.82 | 0.11 | 0.76 | ||
| Loma Prieta | 6.93 | CYC285 | 20.34 | 40.52 | 0.09 | 0.64 | ||
| Far-field ordinary | Kobe | 6.9 | HIK090 | 95.72 | 15.19 | 0.11 | 0.57 | |
| CHICHI | 7.62 | TAP032E | 94.84 | 25.03 | 0.18 | 0.37 | ||
| Kobe | 6.9 | FUK090 | 158.61 | 5.23 | 0.13 | 0.93 | ||
| Near-field pulse | Kocaeli | 7.51 | YPT060 | 4.83 | 63.18 | 0.23 | 2.18 | |
| CHICHI | 7.62 | TCU036E | 19.83 | 57.21 | 0.43 | 2.89 | ||
| CHICHI | 7.62 | TCU063E | 9.78 | 43.42 | 0.24 | 2.25 | ||
| Far-field harmonic-like | CHICHI | 7.62 | ILA004N | 88.89 | 25.71 | 0.41 | 3.07 | |
| CHICHI | 7.62 | ILA055N | 90.30 | 23.39 | 0.35 | 3.18 | ||
| Landers | 7.28 | ARC172 | 137.25 | 24.28 | 0.39 | 3.32 | ||
| PGA (X-Direction) | PGA (Y-Direction) | Ground-Motion Types and Working Conditions | |||
|---|---|---|---|---|---|
| Near-Field Ordinary | Far-Field Ordinary | Near-Field Pulse | Far-Field Harmonic | ||
| 0.1 g | / | TA1–3 | TA4–6 | TA7–9 | TA10–12 |
| 0.1 g | 0.085 g | TA13–15 | TA16–18 | TA19–21 | TA22–24 |
| 0.2 g | / | TA25–27 | TA28–30 | TA31–33 | TA34–36 |
| Model Structure | Rigid Layer Interval Model | Soft Soil Layer Interval Shock Model |
|---|---|---|
| Natural vibration period before test (s) | 0.455 | 0.543 |
| Natural vibration period after test (s) | 0.459 | 0.585 |
| Damping ratio before test | 0.104 | 0.141 |
| Damping ratio after test | 0.103 | 0.152 |
| Ground Motion | TA1/g | TA2/g | TA3/g | TA4/g | X Deviation | Y Deviation |
|---|---|---|---|---|---|---|
| TMZ270 | 0.105 | 0.102 | 0.087 | 0.085 | 2.94% | 2.34% |
| TAP032E | 0.109 | 0.105 | 0.091 | 0.088 | 3.81% | 3.41% |
| TCU036E | 0.131 | 0.125 | 0.111 | 0.107 | 4.80% | 3.74% |
| ILA004N | 0.169 | 0.160 | 0.142 | 0.135 | 5.63% | 5.19% |
| Peak Acceleration (g) | Ground Motion | Mesa Peak Acceleration (g) | Soil-Surface Peak Acceleration (g) | Amplification Coefficient of Foundation Soil |
|---|---|---|---|---|
| 0.1 g | TMZ270 | 0.078 | 0.104 | 1.333 |
| ELC180 | 0.085 | 0.105 | 1.235 | |
| CYC285 | 0.092 | 0.112 | 1.217 | |
| 0.1 g | HIK090 | 0.097 | 0.107 | 1.103 |
| TAP032E | 0.098 | 0.111 | 1.133 | |
| FUK090 | 0.089 | 0.103 | 1.157 | |
| 0.1 g | YPT060 | 0.087 | 0.113 | 1.299 |
| TCU036E | 0.109 | 0.136 | 1.248 | |
| TCU063E | 0.104 | 0.141 | 1.356 | |
| 0.1 g | ILA004N | 0.095 | 0.163 | 1.716 |
| ILA055N | 0.097 | 0.166 | 1.711 | |
| ARC172 | 0.107 | 0.177 | 1.654 | |
| 0.2 g | TMZ270 | 0.172 | 0.177 | 1.029 |
| ELC180 | 0.202 | 0.239 | 1.183 | |
| CYC285 | 0.190 | 0.219 | 1.153 | |
| 0.2 g | HIK090 | 0.186 | 0.190 | 1.022 |
| TAP032E | 0.175 | 0.181 | 1.034 | |
| FUK090 | 0.199 | 0.233 | 1.171 | |
| 0.2 g | YPT060 | 0.203 | 0.229 | 1.128 |
| TCU036E | 0.197 | 0.207 | 1.051 | |
| TCU063E | 0.201 | 0.237 | 1.179 | |
| 0.2 g | ILA004N | 0.196 | 0.278 | 1.418 |
| ILA055N | 0.192 | 0.261 | 1.359 | |
| ARC172 | 0.200 | 0.263 | 1.315 |
| Model | Calculated Value/s | Experimental Value/s | Error/% |
|---|---|---|---|
| Rigid-interlayer isolation | 0.463 | 0.455 | 1.76 |
| Weak soil interlayer isolation | 0.558 | 0.543 | 2.76 |
Disclaimer/Publisher’s Note: The statements, opinions and data contained in all publications are solely those of the individual author(s) and contributor(s) and not of MDPI and/or the editor(s). MDPI and/or the editor(s) disclaim responsibility for any injury to people or property resulting from any ideas, methods, instructions or products referred to in the content. |
© 2023 by the authors. Licensee MDPI, Basel, Switzerland. This article is an open access article distributed under the terms and conditions of the Creative Commons Attribution (CC BY) license (https://creativecommons.org/licenses/by/4.0/).
Share and Cite
Xu, L.; Shi, J.; Wu, Y.; Lin, Y. Interlayer Isolation Structures Considering Soil–Structure Interaction under Long-Period Ground Motions: An Experimental Analysis. Appl. Sci. 2023, 13, 9090. https://doi.org/10.3390/app13169090
Xu L, Shi J, Wu Y, Lin Y. Interlayer Isolation Structures Considering Soil–Structure Interaction under Long-Period Ground Motions: An Experimental Analysis. Applied Sciences. 2023; 13(16):9090. https://doi.org/10.3390/app13169090
Chicago/Turabian StyleXu, Liying, Jianri Shi, Yingxiong Wu, and Youqin Lin. 2023. "Interlayer Isolation Structures Considering Soil–Structure Interaction under Long-Period Ground Motions: An Experimental Analysis" Applied Sciences 13, no. 16: 9090. https://doi.org/10.3390/app13169090
APA StyleXu, L., Shi, J., Wu, Y., & Lin, Y. (2023). Interlayer Isolation Structures Considering Soil–Structure Interaction under Long-Period Ground Motions: An Experimental Analysis. Applied Sciences, 13(16), 9090. https://doi.org/10.3390/app13169090
