Evaluating the Influence of Sand Particle Morphology on Shear Strength: A Comparison of Experimental and Machine Learning Approaches
Abstract
1. Introduction
2. Materials and Methods
2.1. Material
2.2. Experimental
2.2.1. Direct Shear Apparatus
2.2.2. Microscope
2.3. Mathematical Model
2.3.1. Pre-Process Data
2.3.2. Statistical Parameters
- Mean absolute error (MAE) is a measure that captures the average absolute disparity between predicted and true values. By focusing solely on the magnitude of the error, irrespective of its direction, it provides an evaluation of the model’s effectiveness in accurately forecasting the actual values.
- Root mean square error (RMSE) is a performance metric like MAE, but it considers the square of the errors, thus placing more penalty on larger discrepancies. RMSE is typically employed when substantial errors pose a greater problem than minor ones.
- Root mean square log error (RMSLE) is a useful metric when dealing with a target variable that spans a broad range of values. It employs the logarithms of both predicted and actual values, which lessens the effect of substantial discrepancies between these values. When the distribution of the target variable is skewed, employing this metric can be particularly beneficial.
- R-squared (R2) is a statistical measure that measures the degree to which the model matches the data, relative to a simple, baseline model. R2 values can range from 0 to 1, with higher values signifying a better fit. However, it is important to note that R2 can provide a skewed perspective if the underlying baseline model is unfitting, or the data are contaminated with outliers. Equations (2)–(5) show these metrics:
2.3.3. Multiple Linear Regression
2.3.4. Random Forest Regression
3. Results
3.1. Experimental Results
3.1.1. Packing Density
3.1.2. Shear Strength
3.2. Machine Learning Models
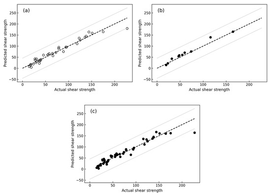
3.2.1. Multiple Linear Regression
3.2.2. Random Forest Regression
4. Discussion
4.1. Particulate Shape and Size
4.2. Active Lateral Earth Pressure
4.3. Method Comparison
4.4. Importance of Features
5. Conclusions
- Across the range of poorly graded sand sizes, the large sand sample exhibits higher density and shear strength compared to both medium and fine sand.
- The shear strength of well-graded sand is higher than that of poorly graded medium and fine sand, but not as high as that of poorly graded coarse sand.
- The particle shape regularity, including its roundness and sphericity, is not related to the mean particle size.
- In a monodisperse system of glass beads with a similar shape and size, larger particles contribute to greater shear strength compared to their smaller counterparts.
- As the mean particle size of sand decreases, the specific gravity increases and the density decreases, leading to a sample with a higher void ratio. Therefore, finer sand has a higher coefficient of volume compressibility compared to coarse sand.
- The active lateral earth pressure increases as the particle size, density, and confining pressure increases.
- The machine learning models (MLR and RFR) show excellent accuracy in predicting the shear strength of sand based on different particle shapes, sizes, and gradations. In the case of MLR, the R-squared accuracy is 0.95 for the training data, 0.94 for the testing data, as well as 0.93 when using the entire dataset with 10-fold CV method. Similarly, for RFR, the R-squared accuracy is 0.98 for the training data, 0.97 for the testing data, and 0.90 when employing the entire dataset with the 10-fold CV method.
- When using the train–test split, the machine learning models (MLR and RFR) agree on the importance of the following input features in sequence: normal stress and dry density. However, when using the 10-fold CV, the importance of the input features shifts to mean particle size and coefficient of uniformity.
- Future research could address different types of soil (silt and clay), different parameters that could influence the shear strength (moisture content, temperature, strain rate, and stress history), as well as different machine learning algorithms for further exploration.
Author Contributions
Funding
Institutional Review Board Statement
Informed Consent Statement
Data Availability Statement
Conflicts of Interest
Nomenclature
| AI | Artificial Intelligence |
| MLR | Multiple Linear Regression |
| RFR | Random Forest Regression |
| ANN | Artificial Neural Network |
| SVM | Support Vector Machine |
| ANFIS | Adaptive Neuro-Fuzzy Inference System |
| ME | Mean Error |
| MAE | Mean Absolute Error |
| MSE | Mean Square Error |
| RMSE | Root Mean Square Error |
| RMSLE | Root Mean Square Log Error |
| CV | Cross-validation |
| R2 | R-squared |
| D50 | Mean Particle Size |
| Cu | Coefficient of Uniformity |
| Cc | Coefficient of Curvature |
| Ꝭd | Dry Density |
| σn | Normal Stress |
| R | Roundness |
| S | Sphericity |
| Particle Regularity | |
| Dr | Relative Density |
| e | Void ratio |
| emin | Minimum Void Ratio |
| emax | Maximum Void Ratio |
| Gs | Specific Gravity |
| γw | Unit Weight of Water |
| Dry Unit Weight of The Sample | |
| Shear Strength | |
| SOC | Soil Organic Carbon |
References
- Lafata, L. Effect of Particle Shape and Size on Compressibility Behavior of Dredged Sediment in a Geotextile Tube Dewatering Application. 2014. Available online: https://surface.syr.edu/honors_capstone/757/ (accessed on 3 January 2023).
- Cho, G.-C.; Dodds, J.; Santamarina, J.C. Particle shape effects on packing density, stiffness, and strength: Natural and crushed sands. J. Geotech. Geoenviron. 2006, 132, 591–602. [Google Scholar] [CrossRef]
- Frost, J.; Han, J. Behavior of interfaces between fiber-reinforced polymers and sands. J. Geotech. Geoenviron. Eng. 1999, 125, 633–640. [Google Scholar] [CrossRef]
- Shaia, H. Behaviour of Fibre Reinforced Polymer Composite Piles: Experimental and Numerical Study; The University of Manchester: Manchester, UK, 2013. [Google Scholar]
- Su, L.-J.; Zhou, W.-H.; Chen, W.-B.; Jie, X. Effects of relative roughness and mean particle size on the shear strength of sand-steel interface. Measurement 2018, 122, 339–346. [Google Scholar] [CrossRef]
- Vaid, Y.; Rinne, N. Geomembrane coefficients of interface friction. Geosynth. Int. 1995, 2, 309–325. [Google Scholar] [CrossRef]
- AS1289.3.6.1; Method of Testing Soils for Engineering Purposes—Soil Classification. Australian Standard: Sydney, NSW, Australia, 2009.
- Barrett, P. The shape of rock particles, a critical review. Sedimentology 1980, 27, 291–303. [Google Scholar] [CrossRef]
- Das, B.M. Principles of Geotehcnical Engineering; Cengage Learning: Boston, MA, USA, 2010. [Google Scholar]
- Sarkar, D. Influence of Particle Characteristics on the Behaviour of Granular Materials under Static, Cyclic and Dynamic Loading. 2023. Available online: https://www.researchgate.net/profile/Debdeep-Sarkar/publication/370265264_Influence_of_particle_characteristics_on_the_behaviour_of_granular_materials_under_static_cyclic_and_dynamic_loading/links/6448dc28d749e4340e389659/Influence-of-particle-characteristics-on-the-behaviour-of-granular-materials-under-static-cyclic-and-dynamic-loading.pdf (accessed on 3 January 2023).
- Dodds, J.S. Particle Shape and Stiffness: Effects on Soil Behavior; Civil and Environmental Engineering, Georgia Institute of Technology: Atlanta, GA, USA, 2003. [Google Scholar]
- Mitchell, J.K.; Soga, K. Fundamentals of Soil Behavior; John Wiley & Sons: New York, NY, USA, 2005; Volume 3. [Google Scholar]
- Wadell, H. Volume, shape, and roundness of rock particles. J. Geol. 1932, 40, 443–451. [Google Scholar] [CrossRef]
- Powers, M.C. A new roundness scale for sedimentary particles. J. Sediment. Res. 1953, 23, 117–119. [Google Scholar] [CrossRef]
- Schanz, T.; Vermeer, P. Angles of friction and dilatancy of sand. Géotechnique 1996, 46, 145–151. [Google Scholar] [CrossRef]
- Li, Y. Effects of particle shape and size distribution on the shear strength behavior of composite soils. Bull. Eng. Geol. Environ. 2013, 72, 371–381. [Google Scholar] [CrossRef]
- Peng, Z.; Chen, C.; Wu, L. Numerical investigation of particle shape effect on sand shear strength. Arab. J. Sci. Eng. 2021, 46, 10585–10595. [Google Scholar] [CrossRef]
- Otsubo, M.; O’sullivan, C.; Sim, W.W.; Ibraim, E. Quantitative assessment of the influence of surface roughness on soil stiffness. Géotechnique 2015, 65, 694–700. [Google Scholar] [CrossRef]
- Santamarina, C.; Cascante, G. Effect of surface roughness on wave propagation parameters. Geotechnique 1998, 48, 129–136. [Google Scholar] [CrossRef]
- Tsomokos, A.; Georgiannou, V. Effect of grain shape and angularity on the undrained response of fine sands. Can. Geotech. J. 2010, 47, 539–551. [Google Scholar] [CrossRef]
- Menq, F.; Stokoe, K. Linear dynamic properties of sandy and gravelly soils from large-scale resonant tests. In Proceedings of the Deformation Characteristics of Geomaterials, IS Lyon 2003, Lyon, France, 22–24 September 2003; pp. 63–71. [Google Scholar]
- Miura, K.; Maeda, K.; Furukawa, M.; Toki, S. Physical characteristics of sands with different primary properties. Soils Found. 1997, 37, 53–64. [Google Scholar] [CrossRef]
- Vangla, P.; Latha, G.M. Influence of particle size on the friction and interfacial shear strength of sands of similar morphology. Int. J. Geosynth. Ground Eng. 2015, 1, 6. [Google Scholar] [CrossRef]
- Wang, J.-J.; Zhang, H.-P.; Tang, S.-C.; Liang, Y. Effects of particle size distribution on shear strength of accumulation soil. J. Geotech. Geoenviron. Eng. 2013, 139, 1994–1997. [Google Scholar] [CrossRef]
- Islam, M.N.; Siddika, A.; Hossain, M.B.; Rahman, A.; Asad, M.A. Effect of particle size on the shear strength behavior of sands. arXiv 2019, arXiv:1902.09079. [Google Scholar]
- Alias, R.; Kasa, A.; Taha, M. Particle size effect on shear strength of granular materials in direct shear test. Int. J. Civ. Environ. Eng. 2014, 8, 1144–1147. [Google Scholar]
- Skinner, A. A note on the influence of interparticle friction on the shearing strength of a random assembly of spherical particles. Geotechnique 1969, 19, 150–157. [Google Scholar] [CrossRef]
- Xie, X.; Wu, T.; Zhu, M.; Jiang, G.; Xu, Y.; Wang, X.; Pu, L. Comparison of random forest and multiple linear regression models for estimation of soil extracellular enzyme activities in agricultural reclaimed coastal saline land. Ecol. Indic. 2021, 120, 106925. [Google Scholar] [CrossRef]
- Zhang, H.; Wu, P.; Yin, A.; Yang, X.; Zhang, M.; Gao, C. Prediction of soil organic carbon in an intensively managed reclamation zone of eastern China: A comparison of multiple linear regressions and the random forest model. Sci. Total Environ. 2017, 592, 704–713. [Google Scholar] [CrossRef] [PubMed]
- Jang, J.-S. ANFIS: Adaptive-network-based fuzzy inference system. IEEE Trans. Syst. Man Cybern. 1993, 23, 665–685. [Google Scholar] [CrossRef]
- Keshwani, D.R.; Jones, D.D.; Brand, R.M. Takagi–Sugeno Fuzzy Modeling of Skin Permeability. Cutan. Ocul. Toxicol. 2005, 24, 149–163. [Google Scholar] [CrossRef] [PubMed]
- Al-Mahasneh, M.; Aljarrah, M.; Rababah, T.; Alu’datt, M. Application of hybrid neural fuzzy system (ANFIS) in food processing and technology. Food Eng. Rev. 2016, 8, 351–366. [Google Scholar] [CrossRef]
- Sonmez, A.Y.; Kale, S.; Ozdemir, R.C.; Kadak, A.E. An adaptive neuro-fuzzy inference system (ANFIS) to predict of cadmium (Cd) concentrations in the Filyos River, Turkey. Turk. J. Fish. Aquat. Sci. 2018, 18, 1333–1343. [Google Scholar] [CrossRef] [PubMed]
- Bensaber, B.A.; Diaz, C.G.P.; Lahrouni, Y. Design and modeling an Adaptive Neuro-Fuzzy Inference System (ANFIS) for the prediction of a security index in VANET. J. Comput. Sci. 2020, 47, 101234. [Google Scholar] [CrossRef]
- Akkaya, E. ANFIS based prediction model for biomass heating value using proximate analysis components. Fuel 2016, 180, 687–693. [Google Scholar] [CrossRef]
- Abdulshahed, A.M.; Longstaff, A.P.; Fletcher, S. The application of ANFIS prediction models for thermal error compensation on CNC machine tools. Appl. Soft Comput. 2015, 27, 158–168. [Google Scholar] [CrossRef]
- Hsieh, M.-C.; Maurya, S.N.; Luo, W.-J.; Li, K.-Y.; Hao, L.; Bhuyar, P. Coolant Volume Prediction for Spindle Cooler with Adaptive Neuro-fuzzy Inference System Control Method. Sens. Mater. 2022, 34, 2447–2466. [Google Scholar] [CrossRef]
- Bardhan, A.; Samui, P. Application of artificial intelligence techniques in slope stability analysis: A short review and future prospects. Int. J. Geotech. Earthq. Eng. (IJGEE) 2022, 13, 1–22. [Google Scholar] [CrossRef]
- Inazumi, S.; Intui, S.; Jotisankasa, A.; Chaiprakaikeow, S.; Kojima, K. Artificial intelligence system for supporting soil classification. Results Eng. 2020, 8, 100188. [Google Scholar] [CrossRef]
- Singh, B.; Sihag, P.; Pandhiani, S.M.; Debnath, S.; Gautam, S. Estimation of permeability of soil using easy measured soil parameters: Assessing the artificial intelligence-based models. ISH J. Hydraul. Eng. 2021, 27, 38–48. [Google Scholar] [CrossRef]
- Baghbani, A.; Costa, S.; Choundhury, T.; Faradonbeh, R.S. Prediction of Parallel Desiccation Cracks of Clays Using a Classification and Regression Tree (CART) Technique. In Proceedings of the 8th International Symposium on Geotechnical Safety and Risk (ISGSR), Newcastle, Australia, 14–16 December 2022. [Google Scholar]
- Daghistani, F.; Baghbani, A.; Abuel Naga, H.; Faradonbeh, R.S. Internal Friction Angle of Cohesionless Binary Mixture Sand–Granular Rubber Using Experimental Study and Machine Learning. Geosciences 2023, 13, 197. [Google Scholar] [CrossRef]
- Baghbani, A.; Daghistani, F.; Baghbani, H.; Kiany, K. Predicting the Strength of Recycled Glass Powder-Based Geopolymers for Improving Mechanical Behavior of Clay Soils Using Artificial Intelligence; EasyChair: Manchester, UK, 2023. [Google Scholar]
- Baghbani, A.; Daghistani, F.; Kiany, K.; Shalchiyan, M.M. AI-Based Prediction of Strength and Tensile Properties of Expansive Soil Stabilized with Recycled Ash and Natural Fibers; EasyChair: Manchester, UK, 2023. [Google Scholar]
- Baghbani, A.; Daghistani, F.; Baghbani, H.; Kiany, K.; Bazaz, J.B. Artificial Intelligence-Based Prediction of Geotechnical Impacts of Polyethylene Bottles and Polypropylene on Clayey Soil; EasyChair: Manchester, UK, 2023. [Google Scholar]
- Baghbani, A.; Daghistani, F.; Naga, H.A.; Costa, S. Development of a Support Vector Machine (SVM) and a Classification and Regression Tree (CART) to Predict the Shear Strength of Sand Rubber Mixtures. In Proceedings of the 8th International Symposium on Geotechnical Safety and Risk (ISGSR), Newcastle, Australia, 14–16 December 2022. [Google Scholar]
- AS1774.19; The Determination of Sieve Analysis and Moisture Content. Australian Standard: Sydney, NSW, Australia, 2003.
- AS1289.6.2.2; Soil Strength and Consolidation Tests—Determination of Shear Strength of a Soil—Direct Shear Test Using a Shear Box. Australian Standard: Sydney, NSW, Australia, 2020.
- Krumbein, W.; Sloss, L. Stratigraphy and Sedimentation, 2nd ed.; Friedman, WH and Company: San Francisco, CA, USA, 1963; Volume 660. [Google Scholar]
- Liu, Y.-L.; Nisa, E.C.; Kuan, Y.-D.; Luo, W.-J.; Feng, C.-C. Combining deep neural network with genetic algorithm for axial flow fan design and development. Processes 2023, 11, 122. [Google Scholar] [CrossRef]
- Joseph, V.R. Optimal ratio for data splitting. Stat. Anal. Data Min. ASA Data Sci. J. 2022, 15, 531–538. [Google Scholar] [CrossRef]
- Vakharia, V.; Shah, M.; Nair, P.; Borade, H.; Sahlot, P.; Wankhede, V. Estimation of Lithium-ion Battery Discharge Capacity by Integrating Optimized Explainable-AI and Stacked LSTM Model. Batteries 2023, 9, 125. [Google Scholar] [CrossRef]
- Rochman, E.; Rachmad, A.; Fatah, D.; Setiawan, W.; Kustiyahningsih, Y. Classification of Salt Quality based on Salt-Forming Composition using Random Forest. J. Phys. Conf. Ser. 2022, 2406, 012021. [Google Scholar] [CrossRef]
- Burmister, D.M. Study of the Physical Characteristics of Soils, with Special Reference to Earth Structures; Department of Civil Engineering Columbia University: New York, NY, USA, 1938. [Google Scholar]
- Guyon, E.; Delenne, J.Y.; Radjai, F.; Kamrin, K.; Butler, E. Built on Sand: The Science of Granular Materials; MIT Press: Cambridge, MA, USA, 2020. [Google Scholar]
- Maroof, M.A.; Mahboubi, A.; Vincens, E.; Noorzad, A. Effects of particle morphology on the minimum and maximum void ratios of granular materials. Granul. Matter 2022, 24, 1–24. [Google Scholar] [CrossRef]
- Terzaghi, K.; Peck, R.B.; Mesri, G. Soil Mechanics in Engineering Practice; John Wiley & Sons: Hoboken, NJ, USA, 1996. [Google Scholar]
- Bowles, J.E. Engineering Properties of Soils and Their Measurement; McGraw-Hill, Inc.: New York, NY, USA, 1992. [Google Scholar]
- Voivret, C.; Radjai, F.; Delenne, J.-Y.; El Youssoufi, M.S. Space-filling properties of polydisperse granular media. Phys. Rev. E 2007, 76, 021301. [Google Scholar] [CrossRef]
- Etemadi, S.; Khashei, M. Etemadi multiple linear regression. Measurement 2021, 186, 110080. [Google Scholar] [CrossRef]
- Breiman, L. Random forests. Mach. Learn. 2001, 45, 5–32. [Google Scholar] [CrossRef]
- Pahlavan-Rad, M.R.; Dahmardeh, K.; Hadizadeh, M.; Keykha, G.; Mohammadnia, N.; Gangali, M.; Keikha, M.; Davatgar, N.; Brungard, C. Prediction of soil water infiltration using multiple linear regression and random forest in a dry flood plain, eastern Iran. Catena 2020, 194, 104715. [Google Scholar] [CrossRef]

















| Material | Range (mm) | Grade | Cu | Cc | D50 (mm) | Gs | R | S | |
|---|---|---|---|---|---|---|---|---|---|
| L5-Sand | 1.18 to 0.6 | PG 1 | 1.44 | 0.96 | 0.89 | 2.65 | 0.288 | 0.589 | 0.439 |
| L4-Sand | 0.6 to 0.425 | PG | 1.20 | 0.97 | 0.51 | 2.68 | 0.421 | 0.546 | 0.484 |
| L3-Sand | 0.425 to 0.3 | PG | 1.20 | 0.97 | 0.36 | 2.69 | 0.302 | 0.591 | 0.447 |
| L2-Sand | 0.3 to 0.15 | PG | 1.45 | 0.96 | 0.23 | 2.74 | 0.288 | 0.578 | 0.433 |
| L1-Sand | 0.15 to 0.075 | PG | 1.45 | 0.96 | 0.11 | - | 0.289 | 0.541 | 0.415 |
| B-Sand | 2.36 to 0.075 | WG 2 | 6.16 | 1.24 | 0.58 | 2.67 | - | - | - |
| B6-Sand | 2.36 to 1.18 | PG | 1.45 | 0.96 | 1.77 | 2.66 | - | - | - |
| B5-Sand | 1.18 to 0.6 | PG | 1.44 | 0.96 | 0.89 | 2.67 | 0.263 | 0.557 | 0.410 |
| B4-Sand | 0.6 to 0.425 | PG | 1.20 | 0.97 | 0.51 | 2.66 | 0.246 | 0.538 | 0.392 |
| B3-Sand | 0.425 to 0.3 | PG | 1.20 | 0.97 | 0.36 | 2.69 | 0.279 | 0.584 | 0.432 |
| B2-Sand | 0.3 to 0.15 | PG | 1.45 | 0.96 | 0.23 | 2.69 | 0.270 | 0.583 | 0.427 |
| B1-Sand | 0.15 to 0.075 | PG | 1.45 | 0.96 | 0.11 | 2.70 | 0.328 | 0.580 | 0.454 |
| M5-Sand | 1.18 to 0.6 | PG | 1.44 | 0.96 | 0.89 | 2.68 | 0.189 | 0.551 | 0.370 |
| M4-Sand | 0.6 to 0.425 | PG | 1.20 | 0.97 | 0.51 | 2.69 | 0.206 | 0.565 | 0.386 |
| M3-Sand | 0.425 to 0.3 | PG | 1.20 | 0.97 | 0.36 | 2.67 | 0.327 | 0.597 | 0.462 |
| M2-Sand | 0.3 to 0.15 | PG | 1.45 | 0.96 | 0.23 | 2.72 | 0.299 | 0.542 | 0.421 |
| M1-Sand | 0.15 to 0.075 | PG | 1.45 | 0.96 | 0.11 | - | 0.389 | 0.499 | 0.444 |
| P5-Sand | 1.18 to 0.6 | PG | 1.44 | 0.96 | 0.89 | 2.66 | 0.246 | 0.559 | 0.403 |
| P4-Sand | 0.6 to 0.425 | PG | 1.20 | 0.97 | 0.51 | 2.68 | 0.203 | 0.575 | 0.389 |
| P3-Sand | 0.425 to 0.3 | PG | 1.20 | 0.97 | 0.36 | 2.69 | 0.233 | 0.523 | 0.378 |
| P2-Sand | 0.3 to 0.15 | PG | 1.45 | 0.96 | 0.23 | 2.67 | 0.286 | 0.565 | 0.426 |
| P1-Sand | 0.15 to 0.075 | PG | 1.45 | 0.96 | 0.11 | - | 0.330 | 0.508 | 0.419 |
| GB6 * | 2.36 to 1.18 | PG | 1.45 | 0.96 | 1.77 | 2.45 | 1 | 1 | 1 |
| GB5 | 1.18 to 0.6 | PG | 1.44 | 0.96 | 0.89 | 2.45 | 1 | 1 | 1 |
| Phase | Parameter | Value |
|---|---|---|
| Train and Test Sets | test_size | 0.2 |
| random_state | 0 | |
| K-Fold Cross-Validation | n_splits | 10 |
| random_state | 0 | |
| shuffle | True | |
| Feature Importance Estimation | n_repeats | 10 |
| Visualisation | start_point | 0 |
| boundary_shift | 20% |
| Phase | Parameter | Value |
|---|---|---|
| Train and Test Sets | test_size | 0.2 |
| random_state | 0 | |
| K-Fold Cross-Validation | n_splits | 10 |
| random_state | 0 | |
| shuffle | True | |
| Model | n_estimators | 100 |
| random_state | 0 | |
| Visualisation | start_point | 0 |
| boundary_shift | 20% |
| Training Database | Testing Database | 10-Fold CV | |
|---|---|---|---|
| Observations | 36 | 10 | 46 |
| MAE | 8.31 | 7.67 | 9.28 |
| RMSE | 11.87 | 10.08 | 13.57 |
| RMSLE | 0.29 | 0.17 | 0.35 |
| R2 | 0.95 | 0.94 | 0.93 |
| Training Database | Testing Database | 10-Fold CV | |
|---|---|---|---|
| Observations | 36 | 10 | 46 |
| MAE | 3.79 | 5.68 | 9.83 |
| RMSE | 6.55 | 7.37 | 15.8 |
| RMSLE | 0.07 | 0.09 | 0.19 |
| R2 | 0.98 | 0.97 | 0.90 |
| Performance Metrics | MLR | RFR | ||||
|---|---|---|---|---|---|---|
| Training Data | Testing Data | 10-Fold CV | Training Data | Testing Data | 10-Fold CV | |
| MAE | 8.31 | 7.67 | 9.28 | 3.79 | 5.68 | 9.83 |
| RMSE | 11.87 | 10.08 | 13.57 | 6.55 | 7.37 | 15.8 |
| RMSLE | 0.29 | 0.17 | 0.35 | 0.07 | 0.09 | 0.19 |
| R2 | 0.95 | 0.94 | 0.93 | 0.98 | 0.97 | 0.90 |
Disclaimer/Publisher’s Note: The statements, opinions and data contained in all publications are solely those of the individual author(s) and contributor(s) and not of MDPI and/or the editor(s). MDPI and/or the editor(s) disclaim responsibility for any injury to people or property resulting from any ideas, methods, instructions or products referred to in the content. |
© 2023 by the authors. Licensee MDPI, Basel, Switzerland. This article is an open access article distributed under the terms and conditions of the Creative Commons Attribution (CC BY) license (https://creativecommons.org/licenses/by/4.0/).
Share and Cite
Daghistani, F.; Abuel-Naga, H. Evaluating the Influence of Sand Particle Morphology on Shear Strength: A Comparison of Experimental and Machine Learning Approaches. Appl. Sci. 2023, 13, 8160. https://doi.org/10.3390/app13148160
Daghistani F, Abuel-Naga H. Evaluating the Influence of Sand Particle Morphology on Shear Strength: A Comparison of Experimental and Machine Learning Approaches. Applied Sciences. 2023; 13(14):8160. https://doi.org/10.3390/app13148160
Chicago/Turabian StyleDaghistani, Firas, and Hossam Abuel-Naga. 2023. "Evaluating the Influence of Sand Particle Morphology on Shear Strength: A Comparison of Experimental and Machine Learning Approaches" Applied Sciences 13, no. 14: 8160. https://doi.org/10.3390/app13148160
APA StyleDaghistani, F., & Abuel-Naga, H. (2023). Evaluating the Influence of Sand Particle Morphology on Shear Strength: A Comparison of Experimental and Machine Learning Approaches. Applied Sciences, 13(14), 8160. https://doi.org/10.3390/app13148160

