LightSeg: Local Spatial Perception Convolution for Real-Time Semantic Segmentation
Abstract
1. Introduction
- It proposes the novel local spatial perception convolution (LSPConv) to extract both global and local features.
- It introduces the LSP Block, based on LSPConv, to enhance the receptive field while reducing computation.
- It presents LightSeg, a real-time semantic segmentation model, achieving high inference speeds on embedded devices and GPUs, demonstrating its efficiency and versatility.
2. Related Works
2.1. Semantic Segmentation
2.2. Real-Time Semantic Segmentation
3. Methods
3.1. Overall Architecture
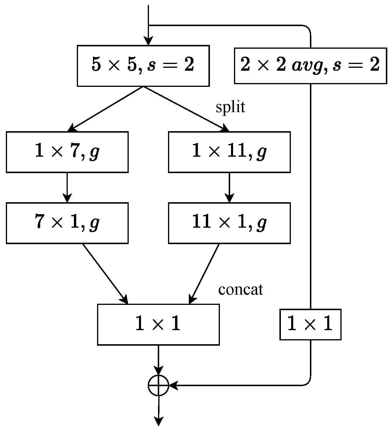
3.2. Local Spatial Perception Convolution
3.3. Local Spatial Perception Block
3.4. Hierarchical Feature Decoding and Fusion
4. Experiments
4.1. Datasets
4.2. Training Setup and Parameters
4.3. LSPBlock Ablation Studies
4.4. LSPBlock Location Ablation Studies
4.5. Block Ablation Studies
4.6. Timing Setup and Parameters
4.7. Comparison with State-of-the-Art Methods
4.8. Effective Receptive Field Analysis
- The D Block in RegSeg effectively increases the receptive field, but also causes sparse gradients due to its dilated convolution structure, resulting in the “Gridding Effect”.
- Both LightSeg and RegSeg exhibited relatively small ERFs in the early stages of the network.
- In Stage 3, LightSeg showed a global receptive field while still maintaining a strong focus on local regions.
5. Conclusions
Author Contributions
Funding
Institutional Review Board Statement
Informed Consent Statement
Data Availability Statement
Conflicts of Interest
Abbreviations
| FCN | Fully Convolutional Networks |
| CNN | Convolutional Neural Networks |
| LSPConv | Local Spatial Perception Convolution |
| LSPBlock | Local Spatial Perception Block |
| CUDA | Compute Unified Device Architecture (a parallel computing platform by NVIDIA) |
| GPU | Graphics Processing Unit |
| FPS | Frames Per Second (the number of frames processed or displayed per second) |
| GFlops | Gigaflops (the number of billions of floating-point operations per second) |
| mIoU | Mean Intersection over Union (a metric used to evaluate the accuracy of segmentation models) |
| TensorRT | Tensor Runtime (an optimization and inference engine for deep learning models) |
References
- Howard, A.G.; Zhu, M.; Chen, B.; Kalenichenko, D.; Wang, W.; Weyand, T.; Andreetto, M.; Adam, H. Mobilenets: Efficient convolutional neural networks for mobile vision applications. arXiv 2017, arXiv:1704.04861. [Google Scholar]
- Sandler, M.; Howard, A.; Zhu, M.; Zhmoginov, A.; Chen, L. Mobilenetv2: The next generation of on-device computer vision networks. In Proceedings of the IEEE Conference on Computer Vision and Pattern Recognition, Salt Lake City, UT, USA, 18–22 June 2018. [Google Scholar]
- Howard, A.; Sandler, M.; Chu, G.; Chen, L.C.; Chen, B.; Tan, M.; Wang, W.; Zhu, Y.; Pang, R.; Vasudevan, V.; et al. Searching for mobilenetv3. In Proceedings of the IEEE International Conference on Computer Vision, Seoul, South Korea, 27 October–2 November 2019; pp. 1314–1324. [Google Scholar]
- Zhang, X.; Zhou, X.; Lin, M.; Sun, J. Shufflenet: An extremely efficient convolutional neural network for mobile devices. In Proceedings of the IEEE Conference on Computer Vision and Pattern Recognition, Salt Lake City, UT, USA, 18–22 June 2018; pp. 6848–6856. [Google Scholar]
- Yan, M.; Xiong, R.; Shen, Y.; Jin, C.; Wang, Y. Intelligent generation of Peking opera facial masks with deep learning frameworks. Herit. Sci. 2023, 11, 20. [Google Scholar] [CrossRef]
- Zhu, Z.; Xu, M.; Bai, S.; Huang, T.; Bai, X. Asymmetric non-local neural networks for semantic segmentation. In Proceedings of the IEEE/CVF International Conference on Computer Vision, Seoul, South Korea, 27 October–2 November 2019; pp. 593–602. [Google Scholar]
- Fu, J.; Liu, J.; Tian, H.; Li, Y.; Bao, Y.; Fang, Z.; Lu, H. Dual attention network for scene segmentation. In Proceedings of the IEEE Conference on Computer Vision and Pattern Recognition, Long Beach, CA, USA, 16–20 June 2019; pp. 3146–3154. [Google Scholar]
- Yan, M.; Lou, X.; Chan, C.A.; Wang, Y.; Jiang, W. A semantic and emotion-based dual latent variable generation model for a dialogue system. CAAI Trans. Intell. Technol. 2023, 8, 319–330. [Google Scholar] [CrossRef]
- Xie, S.; Girshick, R.; Dollár, P.; Tu, Z.; He, K. Aggregated residual transformations for deep neural networks. In Proceedings of the IEEE Conference on Computer Vision and Pattern Recognition, Honolulu, HI, USA, 21–26 July 2017; pp. 1492–1500. [Google Scholar]
- Gao, R. Rethinking Dilated Convolution for Real-Time Semantic Segmentation. In Proceedings of the IEEE/CVF Conference on Computer Vision and Pattern Recognition (CVPR) Workshops, Vancouver, BC, Canada, 18–22 June 2023; pp. 4674–4683. [Google Scholar]
- Yu, F.; Koltun, V.; Funkhouser, T. Dilated residual networks. In Proceedings of the IEEE Conference on Computer Vision and Pattern Recognition, Honolulu, HI, USA, 21–26 July 2017; pp. 472–480. [Google Scholar]
- Wang, P.; Chen, P.; Yuan, Y.; Liu, D.; Huang, Z.; Hou, X.; Cottrell, G. Understanding convolution for semantic segmentation. In Proceedings of the 2018 IEEE Winter Conference on Applications of Computer Vision (WACV), Lake Tahoe, NV, USA, 12–15 March 2018; pp. 1451–1460. [Google Scholar]
- Long, J.; Shelhamer, E.; Darrell, T. Fully convolutional networks for semantic segmentation. In Proceedings of the IEEE Conference on Computer Vision and Pattern Recognition, Boston, MA, USA, 7–12 June 2015; pp. 3431–3440. [Google Scholar]
- Ronneberger, O.; Fischer, P.; Brox, T. U-net: Convolutional networks for biomedical image segmentation. In Medical Image Computing and Computer-Assisted Intervention—MICCAI 2015, Proceedings of the 18th International Conference, Munich, Germany, 5–9 October 2015; Springer: Berlin/Heidelberg, Germany, 2015; pp. 234–241. [Google Scholar]
- Chen, L.C.; Papandreou, G.; Kokkinos, I.; Murphy, K.; Yuille, A.L. Semantic image segmentation with deep convolutional nets and fully connected crfs. arXiv 2014, arXiv:1412.7062. [Google Scholar]
- Chen, L.C.; Papandreou, G.; Kokkinos, I.; Murphy, K.; Yuille, A.L. Deeplab: Semantic image segmentation with deep convolutional nets, atrous convolution, and fully connected crfs. IEEE Trans. Pattern Anal. Mach. Intell. 2017, 40, 834–848. [Google Scholar] [CrossRef] [PubMed]
- Chen, L.C.; Papandreou, G.; Schroff, F.; Adam, H. Rethinking atrous convolution for semantic image segmentation. arXiv 2017, arXiv:1706.05587. [Google Scholar]
- Dosovitskiy, A.; Beyer, L.; Kolesnikov, A.; Weissenborn, D.; Zhai, X.; Unterthiner, T.; Dehghani, M.; Minderer, M.; Heigold, G.; Gelly, S.; et al. An image is worth 16x16 words: Transformers for image recognition at scale. arXiv 2020, arXiv:2010.11929. [Google Scholar]
- Zheng, S.; Lu, J.; Zhao, H.; Zhu, X.; Luo, Z.; Wang, Y.; Fu, Y.; Feng, J.; Xiang, T.; Torr, P.H.; et al. Rethinking semantic segmentation from a sequence-to-sequence perspective with transformers. In Proceedings of the IEEE Conference on Computer Vision and Pattern Recognition, Virtual, 19–25 June 2021; pp. 6881–6890. [Google Scholar]
- Chen, J.; Lu, Y.; Yu, Q.; Luo, X.; Adeli, E.; Wang, Y.; Lu, L.; Yuille, A.L.; Zhou, Y. Transunet: Transformers make strong encoders for medical image segmentation. arXiv 2021, arXiv:2102.04306. [Google Scholar]
- Xie, E.; Wang, W.; Yu, Z.; Anandkumar, A.; Alvarez, J.M.; Luo, P. SegFormer: Simple and efficient design for semantic segmentation with transformers. Adv. Neural Inf. Process. Syst. 2021, 34, 12077–12090. [Google Scholar]
- Jia, S. LRD-SLAM: A Lightweight Robust Dynamic SLAM Method by Semantic Segmentation Network. Wirel. Commun. Mob. Comput. 2022, 2022, 7332390. [Google Scholar] [CrossRef]
- Maaz, M.; Shaker, A.; Cholakkal, H.; Khan, S.; Zamir, S.W.; Anwer, R.M.; Shahbaz Khan, F. Edgenext: Efficiently amalgamated cnn-transformer architecture for mobile vision applications. In European Conference on Computer Vision; Springer: Cham, Switzerland, 2022; pp. 3–20. [Google Scholar]
- Chen, Y.; Dai, X.; Chen, D.; Liu, M.; Dong, X.; Yuan, L.; Liu, Z. Mobile-former: Bridging mobilenet and transformer. In Proceedings of the IEEE/CVF Conference on Computer Vision and Pattern Recognition, New Orleans, LA, USA, 19–24 July 2022; pp. 5270–5279. [Google Scholar]
- Zhao, P.; Haitao, H.; Li, A.; Mansourian, A. Impact of data processing on deriving micro-mobility patterns from vehicle availability data. Transp. Res. Part Transp. Environ. 2021, 97, 102913. [Google Scholar] [CrossRef]
- Chen, L.C.; Zhu, Y.; Papandreou, G.; Schroff, F.; Adam, H. Encoder-decoder with atrous separable convolution for semantic image segmentation. In Proceedings of the European Conference on Computer Vision (ECCV), Munich, Germany, 8–14 September 2018; pp. 801–818. [Google Scholar]
- Cordts, M.; Omran, M.; Ramos, S.; Rehfeld, T.; Enzweiler, M.; Benenson, R.; Franke, U.; Roth, S.; Schiele, B. The Cityscapes Dataset for Semantic Urban Scene Understanding. In Proceedings of the IEEE Conference on Computer Vision and Pattern Recognition, Las Vegas, NV, USA, 27–30 June 2016. [Google Scholar]
- Brostow, G.J.; Shotton, J.; Fauqueur, J.; Cipolla, R. Segmentation and Recognition Using Structure from Motion Point Clouds. In Proceedings of the European Conference on Computer Vision (ECCV), Marseille, France, 12–18 October 2008; pp. 44–57. [Google Scholar]
- Brostow, G.J.; Fauqueur, J.; Cipolla, R. Semantic Object Classes in Video: A High-Definition Ground Truth Database. Pattern Recognit. Lett. 2008, 30, 88–97. [Google Scholar] [CrossRef]
- Cubuk, E.D.; Zoph, B.; Shlens, J.; Le, Q.V. Randaugment: Practical automated data augmentation with a reduced search space. In Proceedings of the IEEE Conference on Computer Vision and Pattern Recognition, hlSeattle, WA, USA, 13–19 June 2020; pp. 702–703. [Google Scholar]
- Zhu, Y.; Sapra, K.; Reda, F.A.; Shih, K.J.; Newsam, S.; Tao, A.; Catanzaro, B. Improving semantic segmentation via video propagation and label relaxation. In Proceedings of the IEEE/CVF Conference on Computer Vision and Pattern Recognition, Long Beach, CA, USA, 16–20 June 2019; pp. 8856–8865. [Google Scholar]
- Si, H.; Zhang, Z.; Lv, F.; Yu, G.; Lu, F. Real-time semantic segmentation via multiply spatial fusion network. arXiv 2019, arXiv:1911.07217. [Google Scholar]
- Orsic, M.; Kreso, I.; Bevandic, P.; Segvic, S. In defense of pre-trained imagenet architectures for real-time semantic segmentation of road-driving images. In Proceedings of the IEEE/CVF Conference on Computer Vision and Pattern Recognition, Long Beach, CA, USA, 16–20 June 2019; pp. 12607–12616. [Google Scholar]
- Chen, W.; Gong, X.; Liu, X.; Zhang, Q.; Li, Y.; Wang, Z. FasterSeg: Searching for Faster Real-time Semantic Segmentation. arXiv 2019, arXiv:1912.10917. [Google Scholar]
- Yu, C.; Wang, J.; Peng, C.; Gao, C.; Yu, G.; Sang, N. Bisenet: Bilateral segmentation network for real-time semantic segmentation. In Proceedings of the European Conference on Computer Vision (ECCV), Munich, Germany, 8–14 September 2018; pp. 325–341. [Google Scholar]
- Pan, H.; Hong, Y.; Sun, W.; Jia, Y. Deep Dual-Resolution Networks for Real-Time and Accurate Semantic Segmentation of Traffic Scenes. IEEE Trans. Intell. Transp. Syst. 2022, 24, 3448–3460. [Google Scholar] [CrossRef]
- Fan, M.; Lai, S.; Huang, J.; Wei, X.; Chai, Z.; Luo, J.; Wei, X. Rethinking bisenet for real-time semantic segmentation. In Proceedings of the IEEE Conference on Computer Vision and Pattern Recognition, Virtual, 19–25 June 2021; pp. 9716–9725. [Google Scholar]
- Lin, P.; Sun, P.; Cheng, G.; Xie, S.; Li, X.; Shi, J. Graph-guided architecture search for real-time semantic segmentation. In Proceedings of the IEEE Conference on Computer Vision and Pattern Recognition, hlSeattle, WA, USA, 13–19 June 2020; pp. 4203–4212. [Google Scholar]
- Zhang, Y.; Qiu, Z.; Liu, J.; Yao, T.; Liu, D.; Mei, T. Customizable architecture search for semantic segmentation. In Proceedings of the IEEE/CVF Conference on Computer Vision and Pattern Recognition, Long Beach, CA, USA, 16–20 June 2019; pp. 11641–11650. [Google Scholar]
- Chandra, S.; Couprie, C.; Kokkinos, I. Deep spatio-temporal random fields for efficient video segmentation. In Proceedings of the IEEE Conference on Computer Vision and Pattern Recognition, Salt Lake City, UT, USA, 18–22 June 2018; pp. 8915–8924. [Google Scholar]
- Yu, C.; Gao, C.; Wang, J.; Yu, G.; Shen, C.; Sang, N. Bisenet v2: Bilateral network with guided aggregation for real-time semantic segmentation. Int. J. Comput. Vis. 2021, 129, 3051–3068. [Google Scholar] [CrossRef]











| Stage | Output Size | LightSeg-Base | LightSeg-Large | ||
|---|---|---|---|---|---|
| 1 | |||||
| 2 | |||||
| 3 | |||||
| Kernel Shape | Parameter ↓ | Delay ↓ | |
|---|---|---|---|
| LSPBlock | 16.05 KB | 0.7552 ms | |
| 18.10 KB | 0.8159 ms | ||
| 20.14 KB | 0.8477 ms | ||
| 24.24 KB | 0.8653 ms | ||
| DBlock [10] | 19.92 KB | 0.9437 ms |
| Model | mIoU ↑ | FPS ↑ | GFLOPs (Whole Model) ↓ |
|---|---|---|---|
| Our | 76.8 | 61.1 | 16.887 G |
| Regseg | 78.1 | 40.1 | 19.670 G |
| Model | val MIoU ↑ | Speed (FPS) ↑ | Pre-Training | GPU | Resolution | GFLOPs ↓ | Params ↓ |
|---|---|---|---|---|---|---|---|
| MSFNet [32] | - | 41 | IM | RTX 2080Ti | 96.8 | - | |
| SwiftNetRN-18 [33] | - | 39.9 | IM | RTX 2080Ti | 104 | 11.8 M | |
| FasterSeg [34] | 73.1 | 163.9 | None | RTX 2080Ti | 28.2 | 4.4 M | |
| BiSeNet1 [35] | 69.0 | 40.9 | IM | RTX 2080Ti | 14.8 | 5.8 M | |
| BiSeNet2 [35] | 74.8 | 42.2 | IM | RTX 2080Ti | 55.3 | 49 M | |
| DDRNet-23 [36] | 79.5 () | 37.1 | IM | RTX 2080Ti | 143.1 | 20.1 M | |
| RegSeg [10] | 35 | None | RTX 2080Ti | 39.1 | 3.34 M | ||
| LightSeg | 76.8 | 61.1 | None | RTX 2080Ti | 16.88 | 2.44 M | |
| LightSeg † | - | 115.7 | None | Jetson NX | 16.88 | 2.44 M |
Disclaimer/Publisher’s Note: The statements, opinions and data contained in all publications are solely those of the individual author(s) and contributor(s) and not of MDPI and/or the editor(s). MDPI and/or the editor(s) disclaim responsibility for any injury to people or property resulting from any ideas, methods, instructions or products referred to in the content. |
© 2023 by the authors. Licensee MDPI, Basel, Switzerland. This article is an open access article distributed under the terms and conditions of the Creative Commons Attribution (CC BY) license (https://creativecommons.org/licenses/by/4.0/).
Share and Cite
Lei, X.; Liang, J.; Gong, Z.; Jiang, Z. LightSeg: Local Spatial Perception Convolution for Real-Time Semantic Segmentation. Appl. Sci. 2023, 13, 8130. https://doi.org/10.3390/app13148130
Lei X, Liang J, Gong Z, Jiang Z. LightSeg: Local Spatial Perception Convolution for Real-Time Semantic Segmentation. Applied Sciences. 2023; 13(14):8130. https://doi.org/10.3390/app13148130
Chicago/Turabian StyleLei, Xiaochun, Jiaming Liang, Zhaoting Gong, and Zetao Jiang. 2023. "LightSeg: Local Spatial Perception Convolution for Real-Time Semantic Segmentation" Applied Sciences 13, no. 14: 8130. https://doi.org/10.3390/app13148130
APA StyleLei, X., Liang, J., Gong, Z., & Jiang, Z. (2023). LightSeg: Local Spatial Perception Convolution for Real-Time Semantic Segmentation. Applied Sciences, 13(14), 8130. https://doi.org/10.3390/app13148130

