Next Article in Journal
Biocompatibility of Membranes Based on a Mixture of Chitosan and Lythri herba Aqueous Extract
Next Article in Special Issue
Performing Arithmetic Operations with Locally Homogeneous Spiking Neural P Systems
Previous Article in Journal
The Effect of Non-Newtonian Fluid Midsole Footwear on Lower Limb Biomechanics after 5 km of Running in High Temperature
Previous Article in Special Issue
An Extended Membrane System with Monodirectional Tissue-like P Systems and Enhanced Particle Swarm Optimization for Data Clustering
 
 
Font Type:
Arial Georgia Verdana
Font Size:
Aa Aa Aa
Line Spacing:
Column Width:
Background:
Article

Q-MeaMetaVC: An MVC Solver of a Large-Scale Graph Based on Membrane Evolutionary Algorithms

1
School of Big Data and Computer Science Engineering, Chongqing College of Mobile Communication, Chongqing 401520, China
2
Chongqing Key Laboratory of Public Big Data Security Technology, Chongqing 401420, China
3
College of Computer Science, Chongqing University, Chongqing 400044, China
*
Author to whom correspondence should be addressed.
Appl. Sci. 2023, 13(14), 8021; https://doi.org/10.3390/app13148021
Submission received: 10 June 2023 / Revised: 6 July 2023 / Accepted: 6 July 2023 / Published: 9 July 2023
(This article belongs to the Special Issue Membrane Computing and Its Applications)

Abstract

In recent years, the rapid development of the internet and the advancement of information technology have produced a large amount of large-scale data, some of which are presented in the form of large-scale graphs, such as social networks and sensor networks. Minimum vertex cover (MVC) is an important problem in large-scale graph research. This paper proposes a solver Q-MeaMetaVC based on the MVC framework PEAF and the membrane evolution algorithm framework MEAF. First, the graph is reduced and divided into two types of connected components (bipartite graph and non-bipartite graph) to reduce the scale of the problem. Second, different membrane structures are designed for different types of connected components to better represent the connected component features and facilitate solutions. Third, a membrane evolution algorithm (MEA), which includes fusion, division, cytolysis, and selection operators, is designed to solve the connected components. Then, Q-MeaMetaVC is compared with the best MVC solver in recent years on the test set, and good experimental results that are obtained verify the feasibility and effectiveness of Q-MeaMetaVC in solving the MVC of large-scale graphs.

1. Introduction

The rapid development of the internet and the advancement of information technology have produced a large amount of large-scale graph data, such as complex and large-scale social networks [1], sensor networks [2], etc. In the real world, the MVC algorithm is widely used—for example, to solve the sensor placement problem in sensor networks. In a logistics park, monitoring each road vehicle is achieved by arranging the fewest number of sensors. Each road intersection is represented by a vertex in the graph, and each road is represented by an edge in the graph. In this way, the sensor placement problem is transformed into the problem of finding the MVC in the abstract formed graph. Another example is key individual issues in social networks. In a group, collaboration between individuals (such as co-publishing papers) is a common occurrence. We hope to find the fewest number of individuals in the group, through which we can obtain collaborative relationships between all individuals. Each individual is represented with a vertex in the graph. When there is a collaboration between individuals a and b, an edge is added between their corresponding vertices. This way, the key individual problem is transformed into the MVC in the graph. Therefore, finding the MVC on these large graphs has attracted the attention of many researchers. With the efforts of researchers, there are already many MVC solutions that show good performance in terms of operating efficiency and the accuracy of the obtained solutions.
In the research of vertex cover solvers for large-scale graphs, local search algorithms have received more and more attention [3,4,5,6,7]. The authors of [3] proposed a simple and fast edge-weighting method called Edge Age-Based Best from Multiple Selections (EABMS), which selects edges by using edge-weighting heuristics in the local search field and its time complexity O(|E|). Based on EABMS, a large-scale graph-oriented MVC solving framework EAVC was proposed. Comparing the results of the EAVC solver with existing solvers shows that EABMS is effective. The authors of [4] proposed a method based on the combination of the rough set theory and random local search algorithm, using the reduction method to simplify and reduce the complexity quickly. The (p, q)-reverse incremental verification mechanism is also used, applying incremental positive region update techniques to verify whether the desired attribute pair can be found quickly; the primary purpose of these rules is to avoid double calculations and jumping out of local optima. The authors of [5] studied the random search heuristic behavior of the MVC in sparse random graphs based on the G(n, c/n) model in order to strictly prove that the improved Karp–Sipser algorithm, called KS-VC, can be used to solve the optimality problem of c < e. At the same time, an iterative local search algorithm called Iterated Local Search (ILS) was defined. It combines randomized local search in neighborhoods of size 2 with a greedy local search algorithm. For c < 1, it reproduces the decision of KS-VC with good probability in polynomial time. The authors of [6] proposed a new method to extend the local search algorithm for large graphs. The approach builds on the theoretical assumption that large graphs consist of distinct substructures that are relatively easy to optimize. It is based on parallel kernelization and reduces the given graph by making μ parallel randomized runs of the given local search and fixing components that have been chosen in all μ runs. Additional runs of the local search method process the resulting instances. Experiments show that the proposed parallel kernelization technique can reduce standard benchmarks and large real-world graphs to 10–20% of their initial size. FastWVC [7] is designed to solve the minimum weight vertex cover (MWVC) problem in a massive graph, and a construction process is proposed to generate high-quality initial vertex cover in a short time.
The FastVC2 proposed in the article [8] combines the graph reduction strategy with the local search algorithm and performs well in solving the MVC of large-scale instances. FastVC2 outperforms FastVC [8] in 26 instances. FastVC2 combines EdgeGreedyVC with MatchVC+ and GreedyVC+ to obtain a higher-quality initial solution, using the Best from Multiple Selections (BMS) heuristic so that it can better strike a balance between time complexity and solution quality. The authors of [9] proposed a dynamic thresholding search for an MVC (DTS_MVC) algorithm, which uses a vertex-based fast search strategy and the operation-prohibiting mechanism in the threshold search stage to expand the search space without falling into local optimum. Experimental evaluation of 86 large real-world graphs shows that DTS_MVC performs very well. Based on warning propagation (WP), the authors of [10] have developed a new linear space-time algorithm called MVC-WP to solve the MVCP (Minimum Vertex Cover Problem) on large graphs. The authors of [11] proposed a dynamic feature selection algorithm based on the MVC of a large graph, which requires only a small amount of calculation. Based on MetaVC, MetaVC2 [12] introduces a neural network-based method to enhance automatic construction. During the automatic construction process, the neural network model identifies and terminates the target algorithm with unsatisfactory operation results. Intuitively, this saves a lot of time and explores many constructs within a given budget, outperforming the REAL-WORLD benchmark. The authors of [13] proposed an MVC algorithm framework PEAF (PEAF refers to the MVCP solution framework consisting of preprocessing, exact algorithm, and approximation algorithm) based on problem reduction and divide-and-conquer ideas, and designed a large sparse graph MVC solver PEAVC based on PEAF. PEAVC has slightly adjusted the execution order of the solution phase, first solving the connected components with a special structure and then solving the remaining connected components. It uses the PreP algorithm in the preprocessing stage. For bipartite graph-connected components, it uses the exact algorithm BGVC to solve. For the remaining connected components, the approximate algorithm FastVC2 is used to solve the running time according to the proportion of its vertices to the remaining vertices. The inverse processing stage uses the inverse processor Inv_PreP. It compares the reduction capabilities of multiple preprocessors, demonstrating the different strategy’s effectiveness and the superiority of PEAVC on large-scale sparse graphs.
Inspired by membrane computing, Nishida combined the membrane nested structure with other evolutionary algorithms in 2004 and proposed the membrane algorithm framework [14]. Since then, researchers have used various algorithms based on this framework to solve different problems. For example, the authors of [15] proposed a membrane clustering algorithm predicated on membrane algorithm (MA)-based automatic clustering, which can easily find the number of clusters under the control of an evolutionary communication mechanism. Combining particle swarm optimization (PSO) and MA, the authors of [16] proposed a modified membrane-inspired algorithm based on particle swarm optimization (mMPSO) to solve the path-planning problem of multi-objective robots in dynamic obstacles and dangerous environments. Furthermore, the authors of [17] proposed a new MA for numerical optimization, and the authors of [18] combined MA with Quantum Evolutionary Algorithm (QEA).
ME [19] proposed in 2019 is an evolutionary algorithm framework inspired by the behavioral characteristics of biological cells. Currently, MEA has been used to solve various combinatorial optimization problems, such as the traveling salesman problem (TSP) [20], maximum clique problem (MCP) [21], bi-objective critical node detection problem (CNDP) [22] and minimum vertex cover problem (MVCP). In [19], the MEA for solving the MVCP, called MEAMVC, is introduced. Each membrane splits some vertices into the secondary membrane during the splitting stage, and the optimal secondary membrane is selected for fusion during the fusion stage, which accelerates the search process. Experimental results show that MEAMVC performs well.
Improving search efficiency and capabilities for large sparse graphs are the two main aspects of a better MVC solver. FastVC2 has improved the search capabilities of the local search algorithm, and PEAVC has improved search efficiency. The MEA has the characteristics of solid flexibility and high search efficiency and is suitable for parallel computing. It can better prevent the search process from falling into local optimal. This article focuses on combining the PEAF framework with the membrane evolution algorithm. The main contributions include the following:
  • In combination with PEAF and MEAF, we designed an MVC solver called Q-MeaMetaVC aimed at large and sparse graphs.
  • We designed different membrane structures based on the characteristics of connected components in bipartite and non-bipartite graphs, in order to facilitate the solution.
  • We designed MEA operators suitable for MVC, including the BMS strategy used during the division, fast add operator to speed up the recovery speed after division, as well as selection and cytolysis operators.
  • We conducted parameter experiments and algorithm comparison experiments on Q-MeaMetaVC. In six of the test set instances, Q-MeaMetaVC obtained the optimal solutions that had not been reported before. The experimental results validate the feasibility and effectiveness of the membrane evolution algorithm in solving the MVCP of large-scale sparse graphs.
The rest of this article is as follows. Section 2 introduces basic knowledge, including the operators and framework of MEA and, also, briefly introduces some algorithms of MVC to the relevant definitions and solving of the MVCP. Section 3 presents in detail the membrane structure of Q-MeaMetaVC, the algorithm framework, and the algorithm design for the bipartite and non-bipartite graphs. In Section 4, a sample shows how Q-MeaMetaVC searches for higher-quality solutions. Section 5 describes comparative experiments conducted on the parameters of Q-MeaMetaVC in recent years and the test set with the best MVC solvers. The experimental results are analyzed, verifying the feasibility of Q-MeaMetaVC. Finally, the conclusion and future research are presented in Section 6.

2. Related Research

2.1. Introduction to Membrane Evolution Algorithms

Inspiration from the characteristics of biological individuals and population is the basis for biological computing models. For example, the cross, variation, and selection of the three operators in genetic algorithms [23] are abstracted from the characteristics of genes. MEA is an evolutionary algorithm inspired by the behavior of biological cells, which includes four evolutionary operators: fusion, division, cytolysis, and selection. The following is a brief introduction to these four operators and the MEAF that uses them.

2.1.1. Evolution Operators

① Fusion Operator
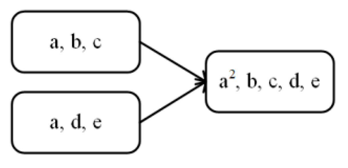
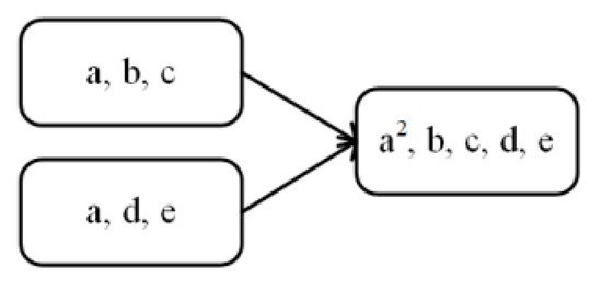
In the biological system, cells will merge, and this behavior is called cell fusion [24]. Inspired by this behavior, the computational process of merging two membranes into a new membrane is called the fusion operator. As shown in Figure 1, the result of the fusion operator is that the new membrane contains all the objects of the original membranes, and the original membranes disappear.
② Division Operator
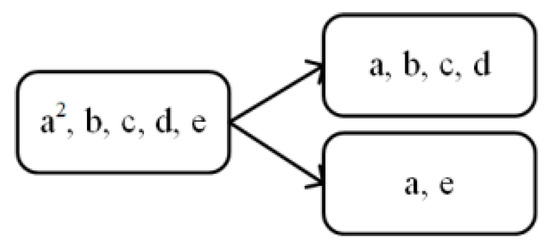
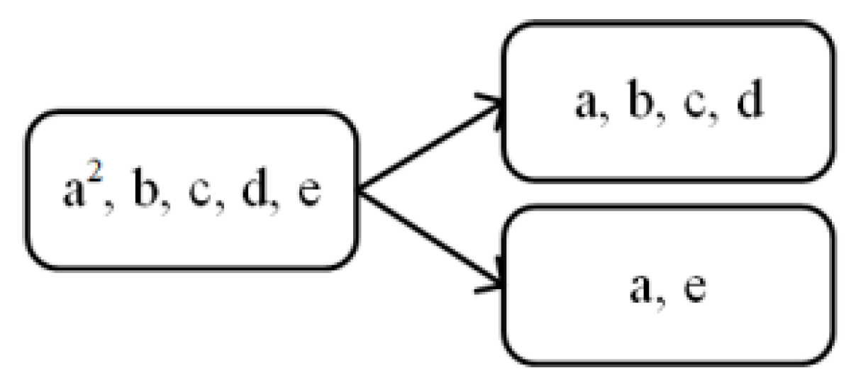
In biological systems, dividing a cell into two is called cell division. Inspired by this behavior, the calculation process of dividing a membrane into two new membranes is called the division operator. As shown in Figure 2, the division operator follows a certain strategy to place the objects from the original membrane into new, different membranes, and the original membrane disappears.
③ Cytolysis Operator
In biological systems, when the cell membrane loses function, the cells are dissolved and intracellular substances are released outside the cell. This behavior is called cell lysis. Inspired by this behavior, after the cytolysis operator is executed, the current membrane is dissolved, and the objects inside the membrane are released outside the membrane.
④ Selection Operator
In biological systems, natural selection is used to select cells that can better adapt to the environment so that they enter the subsequent evolution process. Inspired by this behavior, the selection operator selects and preserves the objects with better features within the membrane for the next generation to evolve, thereby improving the quality of the population.

2.1.2. Membrane Evolution Algorithm Framework

The membrane evolution algorithm framework (MEAF) is shown in Algorithm 1. The MEAF first uses the initialization algorithm to initialize the membrane structure and the initial population (line 1), and then it performs population parallel evolution (searching for optimization solutions) (lines 2–9). In each evolution, evolutionary operators are used sequentially for the population: fusion (line 3), division (line 4), cytolysis (line 5), and selection (line 6). Line 7 presents the corresponding algorithm for population repair to maintain the stability and diversity of the population, and line 8 presents the corresponding algorithm for individual repair to meet the solving goal requirements. When the evolutionary process meets the termination condition, MEAF outputs the optimal solution.
Algorithm 1: MEAF
Input: Problem description, requirements for the solution, end the condition;
Output: Optimal solution;
  //(1) Initialization
1  Create a membrane structure and initial population;
2  Repeat
  //(2) Evolving each membrane in parallel
3    Fusion Operator: random or selecting the membrane for fusion according to the correlation between the membranes;
4    Division Operator: random or selecting the membrane for division according to the adaptability of the membrane;
5    Cytolysis Operator: random or selecting the membrane for cytolysis according to the adaptability of the membrane;
6    Selection Operator: expanding the membrane with high adaptation;
  //(3) Repairing population
7    Repair the population to maintain its stability and diversity;
8    Repair the individual (membrane) to meet the solving objectives;
9  Until meeting the end conditions;
10 Return optimal solution.
Figure 3 shows an example of MEAF initialization with a population size of n. The initial population is composed of membranes M1 to Mn, denoted as P = {M1, M2, ..., Mn}. For any Mi (1 ≤ in), its set of objects may be a solution to the problem. The ‘best’ is a special membrane whose object set is the optimal solution obtained by the population evolution to the current stage, which serves as the output membrane of the algorithm to output the solution results.
MEAF only provides a framework for membrane evolution algorithms, where evolution operators, repair methods, and algorithm completion conditions are all related to the specific problem to be solved. This paper is based on the MEAF to study the MEA for solving the MVC of large-scale sparse graphs.

2.2. Some Algorithms for Solving MVC

This section will first introduce the relevant definition of the study of the MVCP in Section 2.2.1. After that, a brief introduction to some MVC solvers in Section 2.2.2.

2.2.1. MVCP

The MVCP can be described as follows: for an undirected graph G(V, E) (where V is the vertex set of G and E is the edge set of G), find a vertex set V0 ⊆ V with the least number of vertices so that for any edge e ∈ E, e has at least one endpoint that belongs to V0. In this paper, we will use the following terms and symbols [13]:
① graph: G = (E, V) indicates an undirected graph. V(G) is the set of all vertices in graph G, and E(G) is a set of all edges in graph G.
② neighbors of vertices: For v ∈ V(G), the neighborhood of v is denoted by N(v) = {u|u ∈ v(G) & < u, v > ∈ E(G)}, and the closed neighborhood of v is denoted by N[v] = {v} ∪ N(v).
③ degree: The number of elements in set A is recorded as |A|. The degree of vertex v is denoted by d(v) = |N(v)|.
④ vertex cover and minimum vertex cover: VC(G) is a vertex cover of G, if ∀ e ∈ E(G), and at least one endpoint of e belongs to VC(G). The vertex cover of G with the smallest vertex number is called the minimum vertex cover of G, denoted as MVC(G).
⑤ induced subgraph: Assuming V’ ⊂ V(G), the induced subgraph of V’ is denoted by G’ = G(V’), where V(G’) = V’ and E(G’) = {<v, u>|u, v∈ V’&<v, u>∈ E(G)}.
⑥ the bipartite graph: If V (G) can be divided into two independent sets, X and Y, each edge of G connects one vertex in X to one vertex in Y [25].
⑦ anti-edge: An anti-edge is a pair of nonadjacent vertices in G [26]. The set of anti-edges in G is denoted as Ē(G).
⑧ maximum matching: M(G) ⊂ E(G) is called a match of G if any two edges in M(G) do not have a common endpoint. If |M(G)| is not less than the size of any matching of G, M(G) is called the maximum match of G and is denoted as MaxM(G).

2.2.2. Some MVC Solvers

The authors of [13] proposed an MVC solution framework called PEAF, which is divided into three stages: preprocessing, solving, and reverse processing. To reduce the size of the graph, it is usually necessary to simplify the graph [27,28].
In the preprocessing stage, the preprocessing algorithm (Prep) simplifies the graph G to G’ and records the reduction information in Info. In the solving stage, the exact algorithm or approximation algorithm is used for different types of connected components of G’ to obtain the MVC set C’. In the reverse processing stage, the MVC of the original graph G is obtained based on C’ and Info.
FastVC2 [8] is improved based on FastVC. The initial solution is not constructed with the EdgegreedyVC. Still, the best solution for the three solutions generated by EdgeGreedyVC, GreedyVC+, and MatchVC+, three constructors, is used as the initial local search solution. In the same way, the NumVC2 algorithm is improved based on NumVC, and its improvement method is the same as the FastVC2.
FastVC2+P and NumVC2+P are designed to integrate the preprocessor D1 + D2 + DOM into the FastVC2 and NumVC2 algorithms. The preprocessor simplifies the input graph into a smaller graph and then solves it through a local search algorithm. Finally, the fixed vertices in the preprocessing process and the vertex cover returned by the local search algorithm of the simplified graph form the vertex cover of the original graph. The experimental results show that NumVC2+P and FastVC2+P have further improved the performance of large-scale graphs.
Meta vertex cover (MetaVC) [12] is a meta-interpreter providing top-level design. Each essential function is abstract and can be instantiated with specific functions. The top-level design of MetaVC includes three primary stages: preprocessing, construction, and search. In preprocessing, the given graph is simplified. In construction, the initial vertex cover is an excellent start to get the subsequent local search process. MetaVC executes local search to iterate the optimization vertex cover in the search phase. MetaVC achieves performance comparable to FastVC2+P in large instances. However, during the automatic configuration, MetaVC will waste a lot of time evaluating the bad configuration of the given target algorithm.
MetaVC2 is MetaVC, which can be obtained from the enhanced automatic configuration method. MetaVC2 uses a neural network-based approach to identify and terminate the target algorithm that is not optimistic during configuration. In most instances of REAL-WORLD-HARD, MetaVC2 is significantly better than MetaVC.
Overall, NuMVC2+p, FastVC2+p, and MetaVC2 have been the most competitive solvers for MVC in recent years. The three solvers can obtain solutions of the same quality in a majority of instances from REAL-WORLD-HARD. As for the average running time of the same instance, FastVC2+p is faster than NuMVC2+p and MetaVC2. MetaVC2 is able to improve the best-known solutions for 16 large MVC instances.

3. A MVC Solver Based on MEA—Q-MeaMetaVC

This section discusses the Q-MeaMetaVC solver proposed in this paper in detail. It includes membrane structures, evolutionary algorithms, and evolutionary operators.

3.1. Membrane Structure

We found that multiple instances contained many bipartite connected components during the experiment. Therefore, we designed different membrane structures for bipartite and non-bipartite graphs.
Q-MeaMetaVC is a cell-like membrane system, and its membrane structure is shown in Figure 4.
The following types of membranes are included in Q-MeaMetaVC:
① E membrane: Environmental membrane.
② P membrane: The interior of the P membrane includes graph G (G is the original graph to be solved), Ci membrane, CBj membrane, and an Answer membrane. The P membrane is responsible for reducing graph G using PreP, constructing the Ci and CBj, and obtaining the solution of the original problem using Inv_PreP after all Ci membranes and CBj membranes are solved.
③ Ci membrane: A membrane that solves the vertex cover of the non-bipartite graph-connected component.
④ CBj membrane: A membrane that solves the vertex cover of the connected component of the bipartite graph.
⑤ Answer membrane: The output membrane of the final result, whose object set consists of a vertex set and an information set.

3.1.1. Ci-membrane Structure Definition of Non-Bipartite Graph

The membrane structure of non-bipartite graph-connected component Ci is shown in Figure 5. Its object set includes M membrane (M1—MN), M’ membrane (M1′—MN’), good membrane (good1—goodN), and one best membrane, where the number of M is 3*N, and M’ and good membranes are the same as M. N is a positive integer, taking values 1, 2, 3....
① Mj membrane: The Mj in Ci is responsible for searching the vertex cover of G(Vi). The object set of each Mj is a vertex set. When this set is a vertex cover, it is said that this Mj membrane has found a vertex cover.
② goodj membrane: A goodj is a copy of the optimal solution of its corresponding Mj (for example, C1.good1 is a copy of the optimal vertex cover that C1.M1 has searched).
③ Mj’ membrane: The Mj’ stores the vertices of its corresponding Mj last divided. Since there is only one element, the name of the Mj’ indicates the vertices stored in it.
④ best membrane: Each Ci has a best membrane, which is a copy of the optimal vertex coverage found by all Mj in it.
In Q-MeaMetaVC, there are also several groups of populations composed of membranes (a collection of membranes), which are as follows:
① CP: A population composed of Ci membranes in the P membrane.
② CBP: A population composed of CBj membranes in the P membrane.
③ MP: A population composed of Mj membranes in each Ci membrane.
④ MP’: A population composed of Mj’ membranes in each Ci membrane.
⑤ GOODP: A population composed of goodj membranes in each Ci membrane.
Special instructions:
Group: This paper uses the concept of group evolution, and each group consists of three membranes (M1–M3 constitutes Group1, M4–M6 constitutes Group2, and so on). The size of groups is N in each Ci.

3.1.2. Definition of CBj Membrane Structure of the Bipartite Graph

The CBj membrane structure for processing the bipartite graph-connected component is shown in Figure 6. Its object set includes the X, Y, X’, Y’, MaxM, and best membrane.
① X and Y membranes: Their object sets are two independent sets of bipartite graphs.
② X’, Y’ membrane: The inner object set is the unmatched vertex set in X and Y, respectively.
③ MaxM membrane: It is the maximum matching membrane, which stores the maximum matching vertices of the bipartite graph.
④ best membrane: Its objects are included in the minimum vertex cover.

3.1.3. Intramembrane Objects and Operations

Objects in Q-MeaMetaVC include membranes, vertices of the graph, and information storage class objects. In particular, Vi is used to represent the vertex set formed by the vertices of the connected component in the graph.
We define operations on membrane objects to include the following:
① A − B: If both A and B are membranes, it means removing all objects in B from A; if A is a membrane, it means removing object B from A.
② A + B: If B is a membrane object, it means adding all objects in B to A. Otherwise, it means adding B objects to A.
③ A = B: If B ≠ ⌀, it means that A becomes a copy of B, A membrane is cleared, and the object set of B membrane is completely copied into the A membrane. Otherwise, it means that the A membrane and all objects inside the A membrane are deleted.
④ A: Unless otherwise specified, it means all element sets inside the A membrane.
⑤ A.B: If B is an object, it means the B object in the A membrane; if it is a population, it means the B population in A; otherwise, it means the entire element set of the B membrane in the A membrane. All occurrences of “E.P.” are omitted in this paper.
S O D : transfer o (object or object set) from S membrane to D membrane.
⑦ N(A): If A is a membrane, it means the neighborhood of objects in the A membrane.
In addition, we use age to represent the period during which the state of an object has not changed (its maintenance is not reflected in the algorithm) and part to define a subset of the element set of a membrane. For example, M.bestPart represents the elements with the highest fitness in the M membrane.
Formula (1) gives the edge set of the connected component to be searched that is not covered by the vertex set of the membrane Ci.M:
UCE(Ci.M) = E(G(Vi)) − E(G(Ci.M))
Formula (2) gives the fitness of the object o in the Ci.M membrane, which means that changing the state of o in Ci.M leads to a change in the number of edges that the Ci.M membrane cannot cover.
f i t ( o , M ) = UCE M UCE M + o ,   o M UCE M UCE M o ,   o   M
Formula (3) is used to calculate the adaptability of the M membrane to the environment.
Fit(M) = −|UCE(M)|
Section 3.4.3 uses Formula (2) to select the vertices that are divided or fused. This operator pays more attention to the fitness of the object in the membrane, and the object with poor fitness will be eliminated. In the cytolysis and selection operators, Formula (3) is used to evaluate the quality of the membrane to formulate an evolutionary strategy.

3.2. Algorithm Description

Based on the membrane structure in Section 3.1 and referring to the PEAVC algorithm [13], Algorithm 2 uses the Q-MeaMetaVC proposed in this paper to solve the MVCP. The processing of Q-MeaMetaVC is divided into four stages: preprocessing stage, bipartite graph solution stage, non-bipartite graph solution stage, and inverse processing stage.
(1)
Preprocessing stage. The P membrane first executes the PreP algorithm to reduce the graph G to obtain the reduced graph G’ and the reduced information set Info (line 1), and then transfers the Info to the Answer membrane (line 3). Populations CBP and CP are constructed to solve bipartite connected components and non-bipartite connected components by ConstructMembrane1 (Algorithm 3) and ConstructMembrane2, respectively (lines 4–6).
(2)
Bipartite graph solution stage. Each CB membrane runs in parallel (line 7), solves its vertex cover with the bipartite graph solver Bipartite_graph (Algorithm 4), and passes the obtained solution into its best membrane (line 8). Subsequently, the Answer membrane adds the set of objects in the CBj.best membrane (line 9); afterward, the CBj membrane dissolves (line 10).
Algorithm 2: Q-MeaMetaVC//Membrane evolution algorithm for solving the MVCP
Input: graph G = (V, E), number of groups N, longest running time MRT, number of divisions and fusions in a single iteration iterCount, the number of side extractions bms_e, the number of vertex extractions bms_v, the maximum cytolysis maxReCoustruct;
Output: a coverage of graph G;
 (1) Preprocessing: Simplify the scale of the graph
1  <G’ = (V’, E’), Info> = PreP(G);//Refer to the PreP algorithm in [13]
2  Create an empty Answer membrane in the P membrane;
3  P I n f o A n s w e r ;
   //Initialize the membrane structure
4  if G’ is a connected component of a bipartite graph, then
5   CBP = ConstructMembrane1; // Constructing the initial membrane structure of bipartite graphs. Refer to Algorithm 3
6  else CP = ConstructMembrane2; // Constructing the initial membrane structure of the non-bipartite graph. Refer to Algorithm 5
 (2) Bipartite graph solution stage
7  for CBj in CBP do://Can be parallelized; the actual implementation is serial processing
8    CBj.best = Bipartite_graph(G(Vj));//Refer to Algorithm 4
9    Answer+ CBj.best;
10    Cytolysis (CBj)
 (3) Non-bipartite graph solution stage
 //Organize the information
11   if (Ci membrane exists) then
12    vNumLetf = the sum of the number of objects of the Ci membrane;
 //Q-Meta search process
13    for Ci in CP do  //can be parallelized; the actual implementation is serial processing
14     MRTi = MRT/vNumLetf * |Vi|;
15     Ci = ConstructMetaPopulations(i, 3*N);  //refer to Algorithm 6
16     repairPopulation(Ci, MP);  //refer to Algorithm 7
17     Repeat
(a) Division and fusion  //parallel
18       Division_and_Fusion(Ci.MP, iterCount, bms_k, bms_e);
        (b) Synchronous information retrieval end condition  //serial
19       bestMem = the membrane with the smallest number of elements in Ci.best (when the number of elements is the same, choose the membrane with the shortest time and the fewest search steps);
20        if(|bestMem| < |Ci.best|) Ci.best = bestMem;
          //determine whether to terminate
21          if(running time> = MRTi) then:
22           Answer + Ci.best;
23           Cytolysis(Ci);
24           break;
25        repairPopulation(Ci.MP);  //refer to Algorithm 7
        (c) selection and Cytolysis  //parallel
26        CytolysisAndSelection(Ci.MP, maxReCoustruct);
27     until false;
(4) Inverse processing stage
28   Inv_PreP(Answer);  //refer to the Inv_PreP algorithm in [13]
29   return Answer.  //output result
(3)
Non-bipartite graph solution stage. It mainly includes information organization and the Q-Meta process.
① Organize information. If Ci membranes exist, count the total number of objects in the C (lines 11–12), and solve the vertex cover it is responsible for in the Q-Meta stage; otherwise, enter the inverse processing stage.
② Q-Meta process. Each Ci membrane will solve the vertex cover of the corresponding connected component. Q-MeaMetaVC allocates the running time of each Ci proportional to the number of vertices of the connected component (line 14). Before searching, use the ConstructMetaPopulation algorithm (Algorithm 6) for Ci to construct MP, GOODP and initialize its best membrane (line 15). After that, Q-MeaMetaVC will use the repair operator (line 16, Section 3.4.2), division and fusion operator (line 18, Section 3.4.3), and the selection and cytolysis operator (line 26, Section 3.4.4) to try to find better vertex cover of G(Vi) until reaching the end condition. The Answer membrane will fuse with the Ci.best membrane (line 22), and then the Ci will lyse itself (line 23). When all Ci is dissolved, it will enter the reverse processing stage.
(4)
Reverse processing stage: The Answer membrane modifies the vertex set according to the information set through the Inv_PreP algorithm so that the vertex set of Answer becomes a vertex cover of the original image (line 28) and finally outputs the result (line 29).
Compared with the PEAVC algorithm [13], Q-MeaMetaVC and PEAVC are both used to solve large-scale sparse graphs, but due to the limitation of FastVC2’s search ability, PEAVC can easily fall into the local optimization. The Q-MeaMetaVC is based on the membrane evolution algorithm, which has the advantages of good flexibility, high search efficiency, and the ability to effectively avoid local optimum effectivel.
Q-MeaMetaVC adopts the BMS strategy of adding vertices in the search stage of MetaVC and the heuristic method of selecting and removing vertices in the Q-Meta stage. For example, when selecting a vertex to join, randomly select an uncovered edge and select a vertex with lower fitness. If the fitness of the two vertices is equal, choose an older endpoint to join. At the same time, selecting a vertex to remove also selects the vertex with the lowest fitness in the candidate subset. If they are equal, select the vertex with older age. The difference between them is that Q-MeaMetaVC mainly has four stages, while MetaVC has only three stages: preprocessing, construction, and search. Q-MeaMetaVC specifically treats bipartite and non-bipartite graphs differently.

3.3. Bipartite Graph Solving Algorithm

This section mainly explains the solution of the bipartite graph, including the creation of the membrane structure, the design of the MVC algorithm for solving the bipartite graph, and the verification of the algorithm’s feasibility through an example analysis.

3.3.1. Create a Membrane Structure

The bipartite graph creates a membrane structure, as shown in Algorithm 3. First, create an empty CB1 membrane in the P membrane, then construct the X, Y, best, and MaxM membranes in the CB1 membrane. If there are s connected components of the bipartite graph, copy s-1 CB1 membranes, and finally return to the CBP membrane.
Algorithm 3: ConstructMembrane1 //Create the membrane structure using the bipartite graph
Input: s
Output: CBP membrane;
1  Create an empty CB1 membrane in the P membrane;
2   Create an X membrane in the CB1 membrane;
3   Create a Y membrane in the CB1 membrane;
4   Create the best membrane in the CB1 membrane;
5   Create a MaxM membrane in the CB1 membrane;
 //If there are s bipartite graph-connected components
6  k←2;
7  while k ≤ s do
8   CBP = CB1 U CopyCBtoCB(CB1, CBk);   //copy s-1 CB1
9    k++;
10  end while
11  return CBP membrane;

3.3.2. Algorithm Design

The Bipartite_graph algorithm solves the MVC for each bipartite graph-connected component, as shown in Algorithm 4. First, divide Vj into two independent sets, X and Y, and put them into the corresponding CBj.X and CBj.Y membranes, respectively (lines 1–3). Then, use the Hungarian algorithm [29] to find a maximum matching of G(Vj), put the matching vertices into the membrane MaxM (line 4), and record the maximum matching number max (line 5). At the same time, the CBj.X’ and CBj.Y’ membranes are initialized with unmatched vertices (lines 6–7). If the CBj.X’ and CBj.Y’ membranes are both empty, dissolve the CBj.X’ and CBj.Y’ membranes and transfer the objects of the CBj.X or CBj.Y membranes to the CBj.best membrane (lines 8–11). If only one of the CBj.X’ and CBj.Y’ membranes is empty, dissolve only one (lines 13–16). Transfer the unmatched neighboring vertices to the CBj.best membrane. If |CBj.best| equals max and an MVC has been found, end the process. Otherwise, all vertex neighborhoods from the previous step are considered unmatched vertexes, in which case update the X’ and Y’ membranes (Lines 17–25). Finally, return the CBj.best membrane, which is the MVC of the bipartite graph.
Algorithm 4: Bipartite_graph(G(Vj)) //Bipartite graph solves MVC
Input: G(Vj);   //Each connected bipartite diagram
Output: CBj.best;
1  Put G(Vj) into the CBj membrane;
  //Divide Vj into two independent sets, X and Y, and put them into the corresponding X and Y membrane, respectively.
2  CBj.X←an independent set of Vj in CBj;
3  CBj.Y←all vertex objects in CBj;
4  MaxM←Hungarian(G(Vj));
5  max = |MaxM|/2;
6  CBj.X’←CBj.X-MaxM;
7  CBj.Y’←CBj.Y-MaxM;
8  if (CBj.X’ is empty &&CBj.Y’ is empty) then
9     Cytolysis(CBj.X’);
10   Cytolysis(CBj.Y’);
11   CBj.best+CBj.X;
12  else
13   if(CBj.X’ is empty) then
14    Cytolysis(CBj.X’);
15   if(CBj.Y’ is empty) then
16    Cytolysis(CBj.Y’);
17  n←0;
18  for n < max do
19    CBj.best←N(CBj.X’) U N(CBj.Y’);
20    if(|CBj.best| == max) break;
21    else
22     CBj.X’←N(N(CBj.X’));
23     CBj.Y’←N(N(CBj.Y’));
24    n++;
25  end for
26  return CBj.best membrane;

3.3.3. Example Analysis

This section will use Figure 7 as an example to explain the solution process of the Bipartite_graph algorithm. This graph only has one connected component, so j = 1. First, construct the X, Y, MaxM, and best membranes in the CB1 membrane, as shown in Figure 8a. Then, place the two independent sets {V1, V2, V3} and {V4, V5, V6, V7} into the CB1.X and CB1.Y membranes, respectively. At the same time, use the Hungarian algorithm to find a maximum matching {(V1, V4), (V2, V5), (V3, V7)} in Figure 7, and put its vertex set into the MaxM membrane. The number of vertices in MaxM is 6, so the value of max is equal to 3. Separate the unmatched vertex V6 from the CB1.Y membrane and put it into the CB1.Y’ membrane. While CB1.X’ is empty, lyse it, as shown in Figure 8b. Separate the neighborhood V1 of V6 from the CB1.X membrane and put it into the CB1.best membrane; the vertex must be included in the MVC set. At the same time, take the neighbors V4 and V6 of V1 as unmatched vertices, separate them from CB1.Y, and update CB1.Y’, as shown in Figure 8c. In the same manner, separate their neighbors V1 and V2 from the CB1.X membrane and put them into the CB1.best membrane, as shown in Figure 8c. Figure 8d is the final result. The MVC set of the bipartite graph is {V1, V2, V3}.

3.4. Non-Bipartite Graph Solution Algorithm

This section mainly explains the solution of non-bipartite graphs, including the design of the initialization algorithm, repair operator, division and fusion operator, selection, and cytolysis operator.

3.4.1. Initialization Algorithm

The initialization algorithm’s quality significantly impacts the quality of the solution to the MVCP, especially when solving larger instances. Before initialization, the membrane structure needs to be created first, which is performed by the non-bipartite graph, as shown in Algorithm 5.
Algorithm 5: ConstructMembrane2//Non-bipartite graph creates membrane structure
Input: w;  //The number of connected components of the non-bipartite graph
Output: CP membrane;
1  Create an empty C1 membrane in the P membrane;
2   Create an empty best membrane in the C1 membrane;
3   Create an empty M1 membrane in the C1 membrane;
4   Create an empty good1 membrane in the C1 membrane;
5  CP = C1;
6  k←2;
7  for kw do
8   CK= C1; //copy w-1 C1
9   CP = CP∪Ck;
10   k++;
11  end for
12  return CP membrane;
The literature [8] combines three initialization algorithms—MatchVC+, EdgeGreedyVC, and GreedyVC+—and takes the optimal initial solution, among which the initial solution obtained by GreedyVC+ is the best in most cases and has a certain degree of randomness. Therefore, we use GreedyVC+ to construct M population MP.
ConstructMetaPopulations(Algorithm 6) is responsible for constructing MP populations and GOODP populations for each C membrane (such as Ci membrane) and initializing. Firstly, copy N-1 M1 membrane and N-1 good1 membrane (lines 1–2) into the C membrane. Then, for each Mx, use GreedyVC+ to construct a vertex cover of G(Vi) as the element set of Mx to initialize Mx (line 5), and make the goodx membrane save a copy of Mx membrane (line 6). Finally, the best membrane saves a copy of the optimal M membrane (line 8).
Algorithm 6: ConstructMetaPopulations  //Population initialization algorithm
Input: i, population size NP;
Output: Ci membrane;
1  Ci.MP = {M1,M2,..,MNP};
2  Ci.GOODP = {good1,good2,...,goodNP};
3  x←1;
4  for xNP do
5   Mx = GreedyVC+(G(Vi));
6   goodx = Mx;
7  end for
8  Ci.best = the optimal M membrane in MP;
9  return Ci membrane;

3.4.2. Repair Operator Implementation

The significance of the repair operator is to ensure that the membranes in the population maintain certain characteristics. Q-MeaMetaVC ensures that the number of elements per membrane is one less than the size of the smallest vertex cover currently found to ensure convergence. For each iteration of the C membrane, Q-MeaMetaVC will use the optimal search results to update the optimal population solution C.best membrane (Algorithm 2, lines 19–20) and then repair the entire population (Algorithm 2, line 25) so that the number of elements in all M membranes is |C.best|-1 (Algorithm 7, lines 1–2), and the same is actual in the process of cytolysis and selection (Algorithm 13, Line 7).
Algorithm 7: repairPopulation//Population repair algorithm
Input: Population C.MP;
Output: population;
1  for ∀ C.Mi in C.MP do
2   repairIndividual(C.Mi,|C.best|-1);
3  return C.MP;
Algorithm 8 is the process of repairing a single membrane. Because of the greedy strategy adopted, the complexity is high, so after updating the optimal solution (Algorithm 9, line 4) and selecting the solution (Algorithm 13, line 7). Every time add the highest fitness vertex(lines 6–7) or remove the lowest fitness vertex (lines 2–3) so that the number of elements in the M membrane reaches the target value. To avoid circular searching, elements with an age of 0 (whose state has just changed during the current iteration) will not be selected.
Algorithm 8: repairIndividual//Individual repair algorithm
Input: M membrane, Ci.Mj membrane, target size targetSize;
Output: M membrane;
1  while |Ci.Mj| > targetSize do
2   v = age > 0 in Ci.Mj and the vertex with the smallest fitness, when the fitness is the same, select the element with older age;
3   Ci.Mj-v;
4  end while
5  while |Ci.Mj| < targetSize do
6   v = age > 0 in Vi-Ci.Mj and the vertex with the largest fitness, select the element with older age when the fitness is the same;
7   Ci.M+v;
8  end while
9  return Ci.Mj membrane;

3.4.3. Implementation of Division and Fusion Operator

The division operator refers to dividing a membrane to form a new one. The fusion operator refers to the combination of two membranes into a new membrane, and the object set of the new one is the union of the object sets of the two membranes. If the utilization of the membrane is improved, the fusion operator will not destroy the fused membrane. Referring to local search, the M membrane of Q-MeaMetaVC will divide an element each time, and the divided element will be placed in the population MP’ and then try to fuse the membranes in MP’. As shown in Algorithm 9, each M membrane is executed in parallel. If the M finds an MVC, back up the elements in the M (line 3) and adjust the number of elements (line 4). Afterwards, split an element (line 5) through the division operator (Algorithm 10). Then, add an element (line 6) through the fusion operator (Algorithm 11).
Algorithm 9: Division and Fusion
Input: population Ci.MP, number of iterations iterCount, edge extraction times bms_e, vertex extraction times bms_v;
Output: population Ci.MP;
//Each Ci.Mj membrane is executed in parallel
1  i = 1;
2  for iiterCount do
3   while(UCE(Ci.Mj) == 0) do:
4    Ci.bestj= Ci.Mj;
5    repairIndividial(Ci.Mj, |Ci.bestj|-1);
6   end while
7   Division(Ci.Mj, bms_e);
8   Fusion(Ci.Mj, bms_e);
9   i++;
10 end for
11 return population Ci.MP;
This paper adopts the BMS strategy to divide an element with low fitness in a short time overhead to improve efficiency. Refer to Algorithm 10 for the division operator: when the number of elements in the M membrane is less than bms_v, the candidate subset S is all the elements in the M membrane. Otherwise, it is a set composed of bms_v elements extracted from S (line 1); the M membrane will split out an element with the lowest fitness in S and select the older element when the fitness is the same (lines 2–3). The split element will be put into the membrane M’ (line 4).
Algorithm 10: Division
Input: M membrane Ci.Mj, vertex extraction times bms_v;
Output: M membrane;
1  S = |Ci.Mj|> k ? A set composed of randomly selected bms_v vertexes from Ci.Mj: Ci.Mj;
2  bestv = an element with the lowest fitness in S, select the element with the older age when the fitness is the same;
3  Ci.Mj-bestv;
4  Ci.Mj’ = bestv;
5  return Ci.Mj membrane;
The fusion operator is shown in Algorithm 11: first, select the membrane element with the highest fitness in the membrane population MP’ (if the fitness is the same, select the older one) (line 2); if its fitness is greater than the most recently split element, the M membrane will add this element (lines 3–4); otherwise, it will add an element through the quik_ AddOne operator (line 5, Algorithm 12).
Algorithm 11: Fusion//Membrane fusion operator
Input: M membrane Ci.Mj, edge extraction times bms_e;
Output: M membrane;
1  droppedv = element in Ci.Mj’;
2  bestv = Ci.MP’ is the element in the membrane with the highest fitness; when the fitness is the same, select the element with older age;
3  if fit(bestv, Ci.Mj)>fit(dropedv, Ci.Mj) then
4   Ci.Mj+bestv;
5  else quick_AddOne(Ci.Mj, bms_e);
6  return Ci.Mj membrane;
Considering that the research problem is to solve the vertex cover of a large-scale sparse graph, the division and fusion operator are called frequently to ensure that the M is characterized by the number of elements that is one less than the size of the currently found MVC during the division and fusion process. To improve the efficiency of the Q-MeaMetaVC algorithm, we specifically designed the quick_AddOne algorithm, as shown in Algorithm 12.
Algorithm 12: quick_AddOne
Input: M membrane, edge extraction times bms_e;
Output: M membrane;
1  S_e = |UCE(M)| > bms_e ? Randomly extract a set composed of bms_e times from UCE (M):UCE(M);
2  beste = the oldest edge in S_e;
3  v = beste is the endpoint with higher fitness, and the endpoint with the same fitness is the older endpoint;
4  M + v;
5  return M membrane;
When the number of elements in the M membrane is less than bms_e, the candidate edge set S_e is all the edges in UCE(M). Otherwise, it is a set composed of extracting bms_e edges from S_e (line 1). M membrane adds an endpoint with a higher adaptation of the oldest edge, and the older endpoint is selected when the adaptation is the same (lines 2–4).

3.4.4. Selection and Cytolysis Operator

The original definition of the cytolysis operator is to lyse the worst membranes in some populations, while the selection operator will amplify the best membranes in some populations. Q-MeaMetaVC optimizes this concept. The cytolysis operator of Q-MeaMetaVC will lyse part of the membrane to make it jump out of the local optimum. For other membranes, refer to one part of the reference object set in the best membrane to add part of the selection.
As shown in Algorithm 13 Q-MeaMetaVC divides MP into multiple groups, each composed of three M membranes. The CytolysisAndSelection algorithm will try to make the three membranes in each group search in three directions. The membrane with the highest fitness is good enough, so the cytolysis operator (Algorithm 14) is used to discard min(maxReCoustruct, min(|M|,|Vi|−|M|)/2) elements to destroy its structure (line 3). The membrane with the second highest fitness uses the selection operator (Algorithm 15) to expand the “good” information (line 5, bestPart represents the set of elements with the highest fitness in the bestMem membrane). The membrane with the lowest fitness will expand the “bad” information and try to search from the opposite direction (line 6, worstPart represents the set of elements with the lowest fitness in the bestMem membrane). Such a design will expand the search space of Q-MeaMetaVC and avoid excessive similarity between membranes to a certain extent.
Algorithm 13: Cytolysis and Selection
Input: Population Ci.MP, maximum dissolved amount maxReCoustruct;
Output: population;
# each group Groupi in Ci. MP executes concurrently
1  bestMem = the membrane with the highest fitness in Groupi;
   # Each membrane Mx in Groupi executes in parallel
2   if Fit(Mx) is the largest in Groupi then
3    Cytolysis(Mx,min(maxReCoustruct,min(|Mx|−|Vi|−|Mx|)/2));
4   else if Fit(Mx) is the second largest then in Groupi:
5    Selection(Mx, bestMem, bestPart);
6   else Selection(Mx, bestMem, worstPart);
7   repairIndividial(Mx,|bestMem|);
8  return Ci.MP;
The cytolysis operator is shown in Algorithm 14; the M membrane will randomly discard dropCount elements.
Algorithm 14: Cytolysis operator
Input: M membrane, dissolved amount dropCount;
Output: M membrane;
1  i = 1;
2  for i ≤ dropCount do
3   v = a random element in M;
4   M−v;
5   i++;
6  return M membrane;
The selection operator is shown in Algorithm 15. The M membrane will refer to an element set part and add elements v (fitness(v, M)! = 0), which the M membrane does not have and which are not completely unable to adapt (lines 1–3).
Algorithm 15: Selection operator
Input: M membrane, membrane fragment part;
Output: M membrane;
1  for each object v in part do
2   if(v does not belong to M and fitness(v, M)! = 0);
3    M + v;
4 return M membrane;

4. Example Analysis

This section will take the undirected graph in Figure 9a as an example to explain the solution process of Q-MeaMetaVC (vi is numbered i in the figure). Figure 10 and Figure 11 show how Q-MeaMetaVC operates in one cycle; the parameters are N = 1, bms_v = 720, bms_e = 50, and dropCount = 76.
The process of Q-MeaMetaVC execution is as follows:
① Initially, graph G is in the P membrane, as shown in Figure 10a.
② Preprocessing: First, use PreP for pretreatment in the P membrane; because N[v28]⊆N[v27], v27 is the dominant vertex. After deleting v27, v29 is the dominant vertex, so continue to delete v29. PreP can no longer reduce G, and the preprocessing stage is over. The result of graph G reduction is shown in Figure 9b, and the membrane structure at this time is shown in Figure 10b.
③ The simplified graph of CP and CBP structure is shown in Figure 9b. The vertices of different connected components belong to different C membranes; v1~v20 and v21~v26, respectively, belong to different connected components (G(V1) and G(V2) (V1 = {v1, v2, v3, v4, v5, v6, v7, v8, v9, v10, v11, v12, v13, v14, v15, v16, v17, v18, v19, v20}, V2 = {v21, v22, v23, v24, v25, v26 })), so two C membranes are generated, C1 and CB1, responsible for solving the MVC of G(V1) and G(V2), respectively. In addition, the Answer membrane is generated to store the solved vertex cover, and the Info is passed to Answer. The membrane structure constructed is shown in Figure 10c.
④ Bipartite graph solution stage: After preprocessing, different C membranes are responsible for solving different connected components so that all C membranes will be judged in parallel. In Figure 9b, G(V2) is a bipartite graph, so using Bipartite_graph to obtain its MVC set is {v21, v22, v23}, and it will be transferred to the Answer membrane. Then, the CB1 membrane lyses itself. The membrane structure after this stage is shown in Figure 10d.
⑤ Sort out the information stage: After the bipartite graph branches are solved, the sum of the vertex of the remaining connected components is counted, and vNumLeft is 20.
⑥ Q-Meta search stage: First, the search time of each Ci membrane is allocated according to the number of vertices of connected components. The search time of C1 MRT1 = 3600s.
(6.1) Construct MP: Since the parameter N = 1, ConstructMetaPopulation will construct three M membranes (M1, M2, and M3) in the C1 membrane through the GreedyVC+ algorithm: three good membranes (good1, good2, good3) and the best membrane, where the goodi membrane is a copy of the Mi, and the best membrane is a copy of the optimal goodi membrane. The result is shown in Figure 11a.
(6.2) Population repair: As shown in Figure 11b, before using the four evolution operators in parallel to search, the repairPopulation algorithm is used to control the number of the M membrane elements. Because |best| = 13, M1 discards the v18 with the worst fitness, M2 discards v8, and M3 discards v3 (all discarded vertices are marked in orange). Finally, the number of vertices for all M membranes is 12 (|best|−1).
(6.3) Division: Since the number of objects in the M membrane is less than the parameter bms_v (720), the M1 membrane splits v15, an element with the lowest fitness, into M1’; similarly, M2 transfers v16 to M2’, and M3 splits v15 to M3’ (all splitted vertices are marked in blue), as shown in Figure 11c.
(6.4) Fusion: Since the element v16 (green mark) in M2’ has a higher fitness than the element v15 just split from M1 (fitness(v16, M1) = 2, fitness(v15, M1) = 1), M1 will merge a copy of M2’, while M2 and M3 cannot find such elements in MP’. The membrane structure is shown in Figure 11d.
(6.5) Fast addition: Since |M2|<|best2|-1, quickly add elements using the quick_AddOne algorithm. Ē(M2) = {<v2, v8>, <v15, v16>}, |Ē(M2)|<bms_e, so find the oldest edge <v2, v8>. Because the two endpoints have the same fitness (fitness(v2, M2) = 1, fitness(v8, M2) = 1), add an older endpoint v2 (red mark) to M2. Similarly, add v4 to M3. The membrane structure is shown in Figure 11e. At this time, |UCE(M1)| = 0, |UCE(M3)| = 0, M1 and M3 have found a better vertex cover. Then, back up this solution, control the number of elements, and start the next round of iterations (starting from stage 6.3) until the number of iterations reaches iterCount. Carry out the synchronization work of the global information. When the termination is reached, enter stage ⑦; otherwise, enter stage (6.6).
Assume that on a certain search path, the membrane structure changes as shown in Figure 12a. After jumping out of the division and fusion stage, the termination condition is not reached, and enters the selection and cytolysis stage (as shown in Figure 12).
(6.6) Selection and cytolysis: Since the number of membranes is 3, M1, M2, and M3 form a unique group. Fit(M1) = −1, Fit(M2) = −2, Fit(M3) = −4. Because M1 has the highest fitness, it will break the local optimum through the cytolysis operator; M2 has the second-best fitness, so it will refer to M1.bestPart ({v20}, the set of vertexes with the highest fitness) by selection operator to optimize itself. Similarly, the fitness of M3 ranks third, so it will refer to M1.worstPart ({v1, v3, v4}, a set of vertexes with the lowest fitness) to optimize itself by selection operator. M1 randomly discards four objects {v1, v7, v9, v15}; M2 selects the objects ({v20}) in M1.bestPart that are not in M2 and whose fitness is not 0 one by one, and copies them to the membrane; M3 selects and copies the objects in M1.worstPart that are not in M3 and whose fitness is not 0 to the membrane (add v3 first, then add v1). The membrane structure at this time is shown in Figure 12b. The vertices that change during this process are marked in purple.
(6.7) Repair after selection and cytolysis: After the selection and cytolysis phase, each M membrane is repaired by a greedy strategy so that the number of membranes is |best|-1. M1 adds v16(fitness(v16, M1) = 2), v8(fitness(v8, M1) = 2), v10(fitness(v10, M1) = 1), v12(fitness(v12, M1) = 2); M2 removes v19(fitness(v19, M2) = 0); M3 removes v12(fitness(v12, M3) = 0), v10(fitness(v10, M3) = 0) in sequence. The membrane structure at this time is Figure 12c shows. The vertices that change during this process are marked in orange.
Then, the division and fusion stage is entered (stage 6.3). During the first round of division and fusion, M1 splits v13 (fitness(v13, M1) = 1); M2 splits v3 (fitness(v3, M2) = 0); M3 splits v3 (fitness(v3, M2) = 0), and the result is shown in Figure 12d (all splitted vertices are marked in blue). Subsequently, because the elements of each sub-membrane in MP’ have no value to M1, M2, M3 (the elements just split or the existing elements), with the help of the quick repair operator, M1 adds v14; M2 adds v2; and M3 adds v2. The membrane structure at this time is shown in Figure 12e (quickly added vertices are marked in red), where |UCE(M1)| = 0, |UCE(M2)| = 0, |UCE(M3)| = 0. So far, all three membranes have found better MVC.
⑦ End of iteration: After the iteration, the membrane structure is shown in Figure 13a, and C1 will transfer the object set in its best membrane to the Answer membrane and dissolve itself, as shown in Figure 13b.
⑧ Reverse processing: When no Ci membrane survives, the reverse processing program starts, and the vertex set in the Answer membrane is modified according to the information in the Info set through the Inv_PreP algorithm. The Answer membrane obtains a vertex cover of the original instance as shown in Figure 13c, so the vertex cover in Figure 9a solved by Q-MeaMetaVC is {v1, v2, v4, v6, v7, v9, v11, v13, v15, v17, v18, v20, v21, v22, v23, v27, v29}.

5. Analysis of Experimental Results

5.1. Experimental Environment

In this paper, PreP is used as the preprocessor in the experiment. The test consists of 35 instances in the REAL-WORLD benchmark with connected components of a non-bipartite graph after the PreP reduction (called the test set).
This paper compares Q-MeaMetaVC based on the membrane evolution algorithm framework with several excellent local search algorithms (FastVC2+p, NuMVC2+p, PEAVC, MetaVC, MetaVC2). The experimental results of FastVC2+p and NuMVC2+p in the literature [8], the experimental results of MetaVC and MetaVC2 in the literature [12], and the experimental results of PEAVC in the literature [13] are used. FastVC2+p and NuMVC2+p are implemented in C++, g++ (version 4.4.5) compiled with the ‘-O3’ option. The relevant experiments in [14] were carried out on a computer cluster. Each computer in the cluster was equipped with a 32-core Intel Xeon E5-2683 CPU and 94 GB memory, and the operating system was CentOS 7.6.1810. Both PEAVC and Q-MeaMetaVC are implemented in C++ language, compiled by g++ (6.3.0 version), with ‘-O3’ option, and executed on a server with a 6-core Intel Xeon (Cascade Lake) Platinum 8269CY 2.5GHz CPU under Ubuntu Linux (version 16.04).
All experiments were performed ten times in each instance (with random number seeds 1, 2, ..., 10, respectively) (MetaVC and MetaVC2 were performed 100 times). The local search time of MetaVC, MetaVC2, and PEAVC is limited to 3600 s, so the parameter MRT of Q-MeaMetaVC is set to 3600.
For each solver on each instance, three metrics are evaluated in this chapter:
“Minimum” means the smallest value for the vertex cover size found by the solver in multiple runs.
“Average” means the average value of the scale of the vertex cover obtained by the solver in multiple runs.
“Time” represents the average effective run time (the time, in seconds, to find the final solution in each execution) of multiple experiments.
The given tables show the best results for each instance in bold. The minimum run time for each instance is also in bold.

5.2. Experimental Results and Analysis

5.2.1. Q-MeaMetaVC Parameter Experiment

Since there are many parameters to be trained in MetaVC2, we trained MetaVC2 on a computer cluster for two days. Each computer in the group is equipped with a 32-core Intel Xeon E5-2683 CPU and 94 GB of memory. Considering that the research dataset is mainly REAL-WORLD-HARD, the relevant parameters of Q-MeaMetaVC follow the results of MetaVC2 (bms_v = 720, maxReConstruct = 76). When bms_e is 50, there is a 99.5% probability of selecting an edge with an age of 10%, so the parameter bms_e = 50. We only conduct experiments for the parameter N and the number of iterations iterCount.
In this section, experiments are carried out in cases where N is 1, 2. The detailed experimental results are shown in Table 1 (when N is 1, the sub-thread of a single program is 3, so four programs run at the same time; when N is 2, the number of sub-threads of a single program is 6, so two programs run at the same time).
When N = 1, Q-MeaMetaVC obtains a better minimum value of the quality of the solution in more instances. Although the average quality of solutions obtained by N = 2 in a large number of instances (17/35) is better, Table 1 shows that the average quality of solutions obtained by Q-MeaMetaVC at N = 2 is limited (with a difference of less than or equal to 1 point) in most of the instances (16/17). This article aims to find a solver that performs better in terms of the quality of the optimal solution, so N = 1 is chosen.
Figure 14 compares the minimum and average values of the solution quality obtained by Q-MeaMetaVC under different parameters N. Where the number indicates the number of instances, the black color block indicates the better quality of the solution when N = 1, and the light gray indicates that the quality of the solution obtained by N = 1 and N = 2 is the same, and dark gray indicates that solutions with N = 1 are of worse quality.
In this paper, experiments are carried out in the cases where the iterCount is 15,000, 30,000, 45,000, and 60,000. The detailed experimental results are shown in Table 2. Figure 15 counts the instances where the optimal minimum and average values of the solution quality obtained by Q-MeaMetaVC at different iterations are optimal. The numbers represent the number of instances, the dotted line represents the average value of the solution quality, and the solid line represents the minimum value of the solution quality. For example, “30” in the figure means that when the iterCount is 30,000, and the minimum value of the solution quality of Q-MeaMetaVC in 30 instances can reach the optimum.
Q-MeaMetaVC has a better minimum value of the solution quality obtained in most instances when iterCount = 30,000 and can reach the optimal value in 85.71% (30/35) instances. The average value of the solution quality that can be obtained on 57.14% (20/35) of the instances is optimal, slightly lower than when iterCount is 15,000 (22/35). When iterCount is 60,000, the performance is close to the worst in terms of the minimum and average values of the solution quality, so iterCount = 30,000 is selected.

5.2.2. Comparison of Experimental Results between Q-MeaMetaVC and Other Solvers

To verify the performance of Q-MeaMetaVC, we list the experimental results of Q-MeaMetaVC on the test set and other excellent solvers, including MetaVC2, MetaVC, PEAVC, NuMVC2+p, and FastVC2+p in Table 3. Figure 16 shows the number of instances of the best solution obtained by each solver.
The following can be observed from the experimental results:
(1) Q-MeaMetaVC only performs averagely in “sc-pwtk”, “sc-shipsec1”, “sc-shipsec5”, “soc-orkut”, and “soc-pokec”; however, it performs well in other instances.
(2) The optimal solution obtained by Q-MeaMetaVC in 82.9% (29/35) instances has the best quality—more than 65.7%, 28.6%, 25.7%, 31.4%, and 28.6% of MetaVC2, MetaVC, PEAVC, NuMVC2+p, and FastVC2+p. The average quality of the solution obtained by Q-MeaMetaVC in 80% (28/35) of the instances is the best, far exceeding 42.9%, 17.1%, 28.6%, 20%, and 20%.of MetaVC2, MetaVC, PEAVC, NuMVC2+p, and FastVC2+p.
(3) Figure 17 shows an example distribution of the difference between the quality of the solutions of MetaVC2, MetaVC, PEAVC, NuMVC2+p, and FastVC2+p and the quality of the solutions of Q-MeaMetaVC. Among them, Iasd(x) and Iosd(x) are calculated according to Formulas (4) and (5), respectively.
Iasd(x) = average quality of solution of algorithm x − average quality of solution of algorithm Q-MeaMetaVC
Iosd(x) = optimal quality of solution of algorithm x − the optimal quality of solution of algorithm Q-MeaMetaVC...
According to Figure 17a, it can be concluded that the optimal quality of the Q-MeaMetaVC solution is better than that of MetaVC2 in ten instances. In comparison, MetaVC2 performs better in five instances. Overall, Iosd (MetaVC2) is less than −10 in four instances and not less than −1000 in all instances, while the difference is greater than 10 in seven instances and greater than 1000 in one instance. In nineteen instances, the optimal quality of the Q-MeaMetaVC solution is better than that of MetaVC2, while MetaVC2 performs better in five instances. Overall, Iasd(MetaVC2) is less than −10 in four instances and not less than −1000 in all instances, while the difference is greater than 10 in seven instances and greater than 1000 in one instance.
Observing Figure 17b–e, it can be concluded that Q-MeaMetaVC performs better in almost all instances regarding the average and optimal quality of the solution. The average value of Iasd(MetaVC2) for each test set instance is 200.13, and the average value of Iosd(MetaVC2) is 183.17; the average of Iasd(MetaVC) is 318.43, and the average of Iosd(MetaVC) is 297.69; the average of Iasd(PEAVC) is 125.49, and the average of Iosd(PEAVC) is 125.29; the average value of Iasd(NuMVC2+p) is 4735.13, and the average value of Iosd(NuMVC2+p) is 4714.4; the average value of Iasd(FastVC2+p) is 344.7, and the average value of Iosd(FastVC2+p) is 340.94.
(4) We summarized the known optimal solutions given in the literature and the results of the literature [13] as known optimal solutions (column 2 of Table 3). Q-MeaMetaVC reached the known optimal solution in 23 instances and updated the optimal solution in six instances (the data marked with “*” in Table 3). However, MetaVC2, MetaVC, PEAVC, NuMVC2+p, and FastVC2+p reached the known optimal solutions in 23, 10, 9, 11, and 10 instances, respectively.
(5) Based on the MEAF, this paper adopts different strategies to solve the MVC of large-scale graphs, which can theoretically reduce the time to find the final solution. However, due to the serial method used in this experiment, the effect is not significant and has certain limitations.

6. Conclusions

The MVC problem is a mathematical problem generated by abstracting the application problems in the real world. Its research has tremendous significance for solving related practical engineering problems. This study has been conducted from the perspective of membrane evolutionary algorithm and aims to design the algorithm called Q-MeaMetaVC to solve the MVC problem, combining the MEAF and PEAF frameworks. First, the membrane structure of Q-MeaMetaVC was designed based on the characteristics of connected components in bipartite and non-bipartite graphs. In addition, several operators of the membrane evolutionary algorithm were designed and optimized, including the use of the BMS strategy in the splitting process and the fast-add operator to speed up the recovery speed after division. According to the fitness situation, the three membranes in a group searched in different directions, expanding the search space and improving the ability of the solver. To verify the effectiveness of Q-MeaMetaVC, we designed experiments on 35 instances where PEAVC failed to obtain accurate solutions. The results showed that known optimal solutions were obtained in 29 instances, and new optimal solutions were obtained in 6 instances. Therefore, compared with the best minimum vertex cover in recent years, Q-MeaMetaVC has better performance.
In future work and research, more experiments can be conducted on parameter settings to improve algorithm performance. We would like to design more efficient membrane evolutionary algorithms for MVC as well as other graph problems on massive graphs so that we can better verify the universality of the membrane evolutionary algorithm.

Author Contributions

Conceptualization, C.L. and P.G.; formal analysis, P.G. and C.L.; investigation, J.G. and C.L.; methodology, C.L. and J.G.; resources, P.G. and Q.D.; validation, C.L.; supervision, P.G.; writing—original draft, C.L. and J.G.; writing—review and editing, P.G., C.L. and Q.D. All authors have read and agreed to the published version of the manuscript.

Funding

This research received no external funding.

Institutional Review Board Statement

Not applicable.

Informed Consent Statement

Not applicable.

Data Availability Statement

The data for this experiment are all sourced from public datasets.

Conflicts of Interest

The authors declare no conflict of interest.

References

  1. Wang, R.; Rho, S. Dynamics prediction of large-scale social network based on cooperative behavior. Sustain. Cites Soc. 2019, 46, 101435. [Google Scholar] [CrossRef]
  2. Fu, X.; Fortino, G.; Pace, P.; Aloi, G.; Li, W. Environment-fusion multipath routing protocol for wireless sensor networks. Inform. Fusion. 2020, 53, 4–19. [Google Scholar] [CrossRef]
  3. Quan, C.; Guo, P. A Local Search Method based on Edge Age Strategy for Minimum Vertex Cover Problem in Massive Graphs. Expert Syst. Appl. 2021, 182, 115185. [Google Scholar] [CrossRef]
  4. Zhou, Q.; Xie, X.; Dai, H. A novel rough set-based approach for minimum vertex cover of hyper-graphs. Neural. Comput. Appl. 2022, 34, 21793–21808. [Google Scholar] [CrossRef]
  5. Witt, C. Analysis of an iterated local search algorithm for vertex cover in sparse random graphs. Theor. Comput. Sci. 2012, 425, 117–125. [Google Scholar] [CrossRef]
  6. Gao, W.; Friedrich, T.; Kötzing, T.; Neumann, F. Scaling up Local Search for Minimum Vertex Cover in Large Graphs by Parallel Kernelization. In Proceedings of the AI 2017: Advances in Artificial Intelligence: 30th Australasian Joint Conference, Melbourne, Australasian, 19–20 August 2017. [Google Scholar]
  7. Cai, S.; Li, Y.; Hou, W. Towards faster local search for minimum weight vertex cover on massive graphs. Inf. Sci. 2019, 471, 64–79. [Google Scholar] [CrossRef]
  8. Cai, S.; Lin, J.; Luo, C. Finding a small vertex cover in massive sparse graphs: Construct, local search, and preprocess. J. Artif. Intell. Res. 2017, 59, 463–494. [Google Scholar] [CrossRef]
  9. Chen, Y.; Hao, J.K. Dynamic thresholding search for minimum vertex cover in massive sparse graphs. Eng. Appl. Artif. Intel. 2019, 82, 76–84. [Google Scholar] [CrossRef]
  10. Xu, H.; Sun, K.X.; Koenig, S. A Warning Propagation-Based Linear-Time-and-Space Algorithm for the Minimum Vertex Cover Problem on Giant Graphs. In Proceedings of the 15th International Conference on the Integration of Constraint Programming, Artificial Intelligence, and Operations Research, Delft, The Netherlands, 26–29 June 2018. [Google Scholar]
  11. Li, Y.; Cai, S.; Hou, W. An Efficient Local Search Algorithm for Minimum Weighted Vertex Cover on Massive Graphs. In Proceedings of the Asia-Pacific Conference on Simulated Evolution and Learning, Shenzhen, China, 10–13 November 2017. [Google Scholar]
  12. Luo, C.; Hoos, H.H.; Cai, S.; Lin, Q.; Zhang, H.; Zhang, D. Local search with efficient automatic configuration for minimum vertex cover. In Proceedings of the 28th International Joint Conference on Artificial Intelligence, MaCao, China, 10–16 August 2019. [Google Scholar]
  13. Gu, J.Q.; Guo, P. PEAVC: An improved minimum vertex cover solver for massive sparse graphs. Eng. Appl. Artif. Intel. 2021, 104, 104344. [Google Scholar] [CrossRef]
  14. Nishida, T.Y. Membrane Algorithms. In Proceedings of the 6th International Conference on Membrane Computing, Vienna, Austria, 18–21 July 2005. [Google Scholar]
  15. Peng, H.; Wang, J.; Shi, P. An automatic clustering algorithm inspired by membrane computing. Pattern Recogn. Lett. 2015, 68, 34–40. [Google Scholar] [CrossRef]
  16. Wang, X.Y.; Zhang, G.X.; Zhao, J.B.; Rong, H.N.; Ipate, F.; Lefticaru, R. A modified membrane-inspired algorithm based on particle swarm optimization for mobile robot path planning. Int. J. Comput. Commun. 2015, 10, 732–745. [Google Scholar] [CrossRef]
  17. Cheng, J.; Zhang, G.X.; Zeng, X. A novel membrane algorithm based on differential evolution for numerical optimization. Int. J. Unconv. Comput. 2011, 7, 159–183. [Google Scholar]
  18. Zhang, G.X.; Cheng, J.; Gheorghe, M.; Ipate, F.; Wang, X. QEAM: An approximate algorithm using P systems with active membranes. Int. J. Comput. Commun. 2015, 10, 263–279. [Google Scholar] [CrossRef]
  19. Guo, P.; Quan, C.; Chen, H. MEAMVC: A membrane evolutionary algorithm for solving minimum vertex cover problem. IEEE Access 2019, 7, 60774–60784. [Google Scholar] [CrossRef]
  20. Guo, P.; Hou, M.; Ye, L. MEATSP: A membrane evolutionary algorithm for solving TSP. IEEE Access 2020, 8, 199081–199096. [Google Scholar] [CrossRef]
  21. Guo, P.; Wang, X.; Zeng, Y.; Chen, H. MEAMCP: A membrane evolutionary algorithm for solving maximum clique problem. IEEE Access 2019, 7, 108360–108370. [Google Scholar] [CrossRef]
  22. Xu, Y.; Guo, P.; Precup, R.E. MEA-CNDP: A membrane evolutionary algorithm for solving biobjective critical node detection problem. Comput. Intel. Neurosc. 2021, 2021, 8406864. [Google Scholar] [CrossRef]
  23. Sharma, S.; Monika. Variation in Selection Operator of Genetic Algorithm to Optimize TSP. Int. J. Emerg. Technol. Comput. Appl. Sci. IJETCAS 2015, 12, 111–114. [Google Scholar]
  24. Delzanno, G.; Begin, L.V. On the verification of membrane systems with dynamic structure. Nat. Comput. 2010, 9, 795–818. [Google Scholar] [CrossRef]
  25. Liu, J. Maximal independent sets in bipartite graphs. J. Graph. Theor. 2010, 17, 495–507. [Google Scholar] [CrossRef]
  26. Fomin, F.V.; Grandoni, F.; Kratsch, D. A measure & conquer approach for the analysis of exact algorithms. J Assoc Com Mach. 2009, 56, 1–32. [Google Scholar]
  27. Chen, J.; Kanj, I.A.; Jia, W. Vertex cover: Further observations and further improvements. J. Algorithm. 2001, 41, 280–301. [Google Scholar] [CrossRef]
  28. Akiba, T.; Iwata, Y. Branch-and-reduce exponential/FPT algorithms in practice: A case study of vertex cover. Theor. Comput. Sci. 2016, 609, 211–225. [Google Scholar] [CrossRef]
  29. Kuhn, H.W. The hungarian method for the assignment problem. Nav. Res. Log. 2010, 52, 7–21. [Google Scholar] [CrossRef]
Figure 1. Example of the fusion operator.
Figure 1. Example of the fusion operator.
Applsci 13 08021 g001
Figure 2. Example of the division operator.
Figure 2. Example of the division operator.
Applsci 13 08021 g002
Figure 3. The initial membrane structure of the MEAF.
Figure 3. The initial membrane structure of the MEAF.
Applsci 13 08021 g003
Figure 4. The base membrane structure of Q-MeaMetaVC.
Figure 4. The base membrane structure of Q-MeaMetaVC.
Applsci 13 08021 g004
Figure 5. The non-bipartite graph-connected component Ci membrane structure.
Figure 5. The non-bipartite graph-connected component Ci membrane structure.
Applsci 13 08021 g005
Figure 6. CBj membrane structure for processing the bipartite graph-connected component.
Figure 6. CBj membrane structure for processing the bipartite graph-connected component.
Applsci 13 08021 g006
Figure 7. The original bipartite graph.
Figure 7. The original bipartite graph.
Applsci 13 08021 g007
Figure 8. Bipartite graph solution example.
Figure 8. Bipartite graph solution example.
Applsci 13 08021 g008aApplsci 13 08021 g008b
Figure 9. An instance of the original graph and its result after preprocessing.
Figure 9. An instance of the original graph and its result after preprocessing.
Applsci 13 08021 g009
Figure 10. An example of how Q-MeaMetaVC solves a minimum vertex cover problem.
Figure 10. An example of how Q-MeaMetaVC solves a minimum vertex cover problem.
Applsci 13 08021 g010
Figure 11. An example about how division and fusion work.
Figure 11. An example about how division and fusion work.
Applsci 13 08021 g011
Figure 12. An example of how Selection and Cytolysis works.
Figure 12. An example of how Selection and Cytolysis works.
Applsci 13 08021 g012
Figure 13. An example of what to do in the inverse processing stage.
Figure 13. An example of what to do in the inverse processing stage.
Applsci 13 08021 g013
Figure 14. Compares the minimum and the average size of the solutions obtained by Q-MeaMetaVC with different N.
Figure 14. Compares the minimum and the average size of the solutions obtained by Q-MeaMetaVC with different N.
Applsci 13 08021 g014
Figure 15. The number of instances in which the minimum and the average size of the solutions obtained by Q-MeaMetaVC reach the optimal values under different iterCounts.
Figure 15. The number of instances in which the minimum and the average size of the solutions obtained by Q-MeaMetaVC reach the optimal values under different iterCounts.
Applsci 13 08021 g015
Figure 16. The number of instances in which each solver performs the best.
Figure 16. The number of instances in which each solver performs the best.
Applsci 13 08021 g016
Figure 17. Instance distribution based on the differences between the sizes of the solutions in the testing set.
Figure 17. Instance distribution based on the differences between the sizes of the solutions in the testing set.
Applsci 13 08021 g017aApplsci 13 08021 g017b
Table 1. The experimental results of Q-MeaMetaVC under different “N”.
Table 1. The experimental results of Q-MeaMetaVC under different “N”.
Instances12
inf-roadNet-CA999,513.7/999,509/1144.41999,512.8/999,509/902.15
inf-roadNet-PA554,210.3/554,205/882.88554,207.8/554,205/1111.63
inf-road-usa11,519,304.8/11,519,293/767.0111,519,278.1/11,519,268/720.8
sc-nasasrb51,239.6/51,238/1054.6451,239/51,238/1015.19
sc-pkustk1389,218.3/89,217/842.3289,217.9/89,217/718.53
sc-pwtk207,681.4/207,679/1427.4207,680.8/207,679/1387.16
sc-shipsec1117,020.3/117,002/2856.26117,022.2/117,006/3213.08
sc-shipsec5146,862/146,844/2961.84146,862.6/146,851/2688.26
soc-delicious85,298/85,298/0.685,298/85,298/1.07
soc-digg103,234/103,234/1.05103,234/103,234/1.05
socfb-Berkeley1317,209.9/17,209/139.8917,209.6/17,209/868.77
socfb-CMU4986/4986/2.214986/4986/0.98
socfb-Duke147683/7683/2.767683/7683/2.18
socfb-Indiana23,313.7/23,313/988.9323,313.6/23,313/826.84
socfb-MIT4657/4657/0.574657/4657/0.31
socfb-OR36,547/36,547/15.1736,547/36,547/8.75
socfb-Penn9431,158.3/31,157/1608.5131,158.2/31,157/1069.04
socfb-Stanford38517/8517/65.068517/8517/24.67
socfb-Texas8428,164.4/28,164/1673.9628,164.3/28,164/1398.75
socfb-UCLA15,221.8/15,221/495.2315,221.4/15,221/1038.04
socfb-UConn13,230/13,230/215.4313,229.8/13,229/180.76
socfb-UCSB3711,261/11,261/22.0411,261/11,261/11.69
socfb-UF27,303.8/27,303/1061.8127,303.5/27,303/1566.06
socfb-UIllinois24,089.8/24,089/1705.0324,089.9/24,089/1121.46
socfb-Wisconsin8718,382.7/18,382/410.918,382.3/18,382/1132.81
soc-flickr153,271/153,271/0.47153,271/153,271/0.47
soc-gowalla84,222/84,222/0.184,222/84,222/0.09
soc-livejournal1,868,903/1,868,903/6.161,868,903/1,868,903/6.08
soc-orkut2,170,999/2,170,901/41002,171,077.1/2,171,040/4111.31
soc-pokec843,367.2/843,360/2637.71843,366.2/843,361/2735.03
tech-as-skitter525,027.8/525,026/7.27525,027/525,026/6.75
tech-RL-caida74,599.2/74,598/0.374,598.8/74,598/0.27
web-it-2004414,507/414,507/0.57414,507/414,507/0.57
web-sk-200558,173/58,173/0.858,173/58,173/0.59
web-wikipedia2009648,294/648,294/3.04648,294/648,294/1.95
Average/Minimum/Time. Bold represents the best result and the minimum run time for each instance.
Table 2. The experimental results of the Q-MeaMetaVC experimental results under different iterCoun.
Table 2. The experimental results of the Q-MeaMetaVC experimental results under different iterCoun.
Instances15,00030,00045,00060,000
inf-roadNet-CA999,512.9(999,510)1050.04999,513.7(999,509)1144.41999,519.2(999,513)1131.58999,519.6(999,511)1129.13
inf-roadNet-PA554,207.9(554,205)901.93554,210.3(554,205)882.88554,211.4(554,208)1268.53554,213.1(554,210)1035.96
inf-road-usa11,519,281.2(11,519,273)692.5811,519,304.8(11,519,293)767.0111,519,315.1(11,519,303)822.211,519,334.6(11,519,324)851.13
sc-nasasrb51,241.6(51,241)838.5751,239.6(51,238)1054.6451,238.8(51,238)935.851,238.7(51,238)1217.07
sc-pkustk1389,220.2(89,220)1449.5689,218.3(89,217)842.3289,217.7(89,217)659.3189,217.1(89,217)1389.19
sc-pwtk207,682.3(207,681)1654.35207,681.4(207,679)1427.4207,681(207,679)1363.19207,681.1(207,677)1660.61
sc-shipsec1117,027.8(117,008)2799.44117,020.3(117,002)2856.26117,028.8(117,010)3193.93117,038.2(117,020)2840.11
sc-shipsec5146,863.1(146,837)2922.88146,862(146,844)2961.84146,870.9(146,844)2862.5146,880.6(146,858)2717.67
soc-delicious85,298(85,298)0.4285,298(85,298)0.685,298(85,298)3.9985,298(85,298)0.44
soc-digg103,234(103,234)1.05103,234(103,234)1.05103,234(103,234)1.05103,234(103,234)1.05
socfb-Berkeley1317,209.8(17,209)465.3617,209.9(17,209)139.8917,209.5(17,209)1032.5517,209.6(17,209)630.78
socfb-CMU4986(4986)2.364986(4986)2.214986(4986)4.544986(4986)2.56
socfb-Duke147683(7683)3.737683(7683)2.767683(7683)5.657683(7683)5.87
socfb-Indiana23,313.3(23,313)1151.9523,313.7(23,313)988.9323,313.7(23,313)651.6723,313.5(23,313)1254.63
socfb-MIT4657(4657)0.714657(4657)0.574657(4657)0.844657(4657)0.58
socfb-OR36,547(36,547)21.836,547(36,547)15.1736,547(36,547)23.1136,547(36,547)16.53
socfb-Penn9431,158.6(31,157)656.831,158.3(31,157)1608.5131,158.4(31,157)1105.4631,158.1(31,157)1816.72
socfb-Stanford38517(8517)133.18517(8517)65.068517(8517)91.628517(8517)162.43
socfb-Texas8428,164.4(28,164)1194.5828,164.4(28,164)1673.9628,164.7(28,164)1796.5128,164.5(28,164)2051.29
socfb-UCLA15,222(15,222)384.1515,221.8(15,221)495.2315,221.4(15,221)1325.215,221.5(15,221)644.76
socfb-UConn13,230(13,230)276.8513,230(13,230)215.4313,229.9(13,229)186.0713,230(13,230)184.48
socfb-UCSB3711,261(11,261)22.7811,261(11,261)22.0411,261(11,261)16.4511,261(11,261)18.87
socfb-UF27,303.8(27,303)1603.327,303.8(27,303)1061.827,304.2(27,303)1417.2427,304.3(27,303)1173.8
socfb-UIllinois24,090.1(24,089)1259.3124,089.8(24,089)1705.0324,090(24,089)978.6824,090.1(24,089)889.65
socfb-Wisconsin8718,383(18,383)189.0318,382.7(18,382)410.918,382.5(18,382)799.0218,382.9(18,382)379.94
soc-flickr153,271(153,271)0.47153,271(153,271)0.47153,271(153,271)0.47153,271(153,271)0.47
soc-gowalla84,222(84,222)0.0984,222(84,222)0.184,222(84,222)0.0984,222(84,222)0.1
soc-livejournal1,868,903(1,868,903)6.091,868,903(1,868,903)6.161,868,903(1,868,903)6.131,868,903(1,868,903)6.53
soc-orkut2,171,014.7(2,170,927)4108.872,170,999(2,170,901)41002,171,002.7(2,170,915)4099.632,171,002(2,170,955)4100.39
soc-pokec843,365.4(843,361)3140.92843,367.2(843,360)2637.71843,366.9(84,3362)2574.51843,368.2(843,362)2906.09
tech-as-skitter525,027.6(525,024)37.52525,027.8(525,026)7.27525,027.9(525,027)7.35525,028(525,027)7.19
tech-RL-caida74,599.2(74,598)0.3174,599.2(74,598)0.374,598.9(74,598)109.4374,599.2(74,598)0.3
web-it-2004414,507(414,507)0.57414,507(414,507)0.57414,507(414,507)0.57414,507(414,507)0.57
web-sk-200558,173(58,173)0.8258,173(58,173)0.858,173(58,173)0.858,173(58,173)0.78
webwikipedia2009648,294(648,294)2.06648,294(648,294)3.04648,294(648,294)2.83648,294(648,294)4.48
Average (Minimum) Time. Bold represents the best result and the minimum run time for each instance.
Table 3. The experimental results of Q-MeaMetaVC, MetaVC2, MetaVC, PEAVC, NuMVC2+p and FastVC2+p on the testing set.
Table 3. The experimental results of Q-MeaMetaVC, MetaVC2, MetaVC, PEAVC, NuMVC2+p and FastVC2+p on the testing set.
InstanceKnown Optimal SolutionQ-MeaMetaVCMetaVC2MetaVCPEAVCNuMVC2+pFastVC2+p
inf-roadNet-CA999,651999,513.7/999,509 */1,144.41999,911.64/999,854/3380.571,000,500.03/1,000,347/3493999,667.3/999,651/405.0231,005,475.4/1,005,377/514.31,001,109.7/1,001,065/615.65
inf-roadNet-PA554,291554,210.3/554,205 */882.88554,346.98/554,320/3207.33554,582.2/554,530/3536554,296/554,291/395.939557,366.9/557,312/250.17555,082.9/555,046/158.76
inf-road-usa11,522,4771,1519,304.8/11,519,293 */767.0111,525,847.64/11,525,352/349611,527,749.68/11,527,313/356911,522,602.4/11,522,477/204.50111,654,194.8/11,654,069/968.0111,527,731.7/11,527,630/1000
sc-nasasrb51,23851,239.6/51,238/1054.6451,240.06/51,238/1056.5251,240.9/51,239/118851,240/51,240/198.69851,249.9/51,248/330.2751,239.2/51,239/275.69
sc-pkustk1389,21789,218.3/89,217/842.3289,234.12/89,232/1195.9889,224.66/89,223/120989,226/89,226/47.43889,221.6/89,221/294.2889,228.5/89,227/51.87
sc-pwtk207,671207,681.4/207,679/1427.4207,676.66/207,674/1183.57207,678.02/207,674/2096207,678.2/207,677/974.495207,695.9/207,684/449.29207,681.9/207,673/796.31
sc-shipsec1116,849117,020.3/117,002/2856.26116,871.15/116,849/3129.61116,945.75/116,922/3472117,275.6/117,275/957.182117,326.1/117,282/997.78117,292.4/117,276/893.55
sc-shipsec5146,768146,862/146,844/2961.84146,787.57/146,768/3366.05146,967.64/146,912/3495147,054/147,054/603.901147,152.1/147,131/995.17147,055.2/147,043/545.29
soc-delicious85,30385,298/85,298 */0.685,372.75/85,358/2801.9685,382.47/85,368/289485,303/85,303/799.80585,391.6/85,383/550.7485,342.7/85,341/537.59
soc-digg103,234103,234/103,234/1.05103,234/103,234/3.6103,234/103,234/3.42103,234/103,234/<0.001103,234/103,234/1.45103,234/103,234/1.43
socfb-Berkeley1317,20917,209.9/17,209/139.8917,209.91/17,209/774.6117,212.98/17,210/112217,211/17,211/73.1217,217.3/17,214/742.8317,211.9/17,210/369.86
socfb-CMU49864986/4986/2.214986/4986/8.644986.41/4986/688.24986/4986/701.6024986/4986/130.824986.6/4986/104.63
socfb-Duke1476837683/7683/2.767683/7683/7.767683/7683/6557683/7683/30.7337683.3/7683/241.797683/7683/201.17
socfb-Indiana23,31323,313.7/23,313/988.9323,313.97/23,313/926.3223,317.3/23,314/168623,315/23,315/35.57623,327/23,320/645.323,317.1/23,315/524.84
socfb-MIT46574657/4657/0.574657/4657/2.334657/4657/103.24657/4657/0.4324657/4657/3.254657/4657/4.53
socfb-OR36,54736,547/36,547/15.1736,547/36,547/340.1836,550.08/36,549/122736,548/36,548/726.10436,553.1/36,551/571.8836,548.4/36,548/74.84
socfb-Penn9431,15831,158.3/31,157 */1608.5131,159.82/31,158/1201.931,164.72/31,161/151531,164/31,164/59.00831,183.7/31,181/606.9231,164/31,161/414.21
socfb-Stanford385178517/8517/65.068517/8517/443.738518/8518/10.338518/8518/2.7218518/8518/6.358518/8518/1.69
socfb-Texas8428,16428,164.4/28,164/1673.9628,165.6/28,164/908.4728,170.83/28,166/175128,172/28,172/329.48128,182.9/28,177/570.7928,170.8/28,166/481.56
socfb-UCLA15,22115,221.8/15,221/495.2315,222.41/15,221/983.1515,223.6/15,222/106715,224/15,224/86.80715,226.4/15,225/466.8515,224.1/15,223/242.24
socfb-UConn13,23013,230/13,230/215.4313,230.03/13,230/751.8113,231.67/13,230/118913,231/13,231/686.4413,233.7/13,233/442.0613,231.7/13,230/188.83
socfb-UCSB3711,26111,261/11,261/22.0411,261/11,261/52.9811,262.08/11,261/422.411,262/11,262/168.47211,262.1/11,261/327.9311,262.1/11,261/395.18
socfb-UF27,30327,303.8/27,303/1061.8127,303.9/27,303/1046.4827,308.52/27,305/185527,305/27,305/703.57727,323.1/27,320/544.1827,308.4/27,306/370.66
socfb-UIllinois24,08924,089.8/24,089/1705.0324,090.48/24,089/1228.4324,094/24,092/162824,093/24,093/374.10524,105.9/24,104/529.524,093.6/24,092/350.65
socfb-Wisconsin8718,38218,382.7/18,382/410.918,382.93/18,382/352.1918,384.89/18,383/156418,384/18,384/728.19718,391.1/18,389/541.0418,384.6/18,383/408.83
soc-flickr153,271153,271/153,271/0.47153,271/153,271/4.52153,271/153,271/2.01153,271/153,271/0.679153,271/153,271/0.91153,271/153,271/0.59
soc-gowalla84,22284,222/84,222/0.184,222/84,222/0.484,222/84,222/0.4684,222/84,222/0.09384,222/84,222/0.1284,222/84,222/1.17
soc-livejournal1,868,9031,868,903/1,868,903/6.161,868,910.32/1,868,905/1330.851,868,910.69/1,868,907/21631,868,904/1,868,904/0.011,868,903.2/1,868,903/619.111,868,918.4/1,868,917/5.25
soc-orkut2,170,7732,170,999/2,170,901/41002,170,854.66/2,170,773/3350.662,171,951.4/2,171,860/35632,171,362.7/2,171,327/1494.2172,190,777.1/2,190,339/999.82,171,236.4/2,171,200/996.03
soc-pokec843,348843,367.2/843,360/2637.71843,355.56/843,348/3223.25843,374.87/843,364/3289843,374/843,374/590.446844,306.2/844,272/204.47843,380.4/843,377/574.95
tech-as-skitter525,027525,027.8/525,026 */7.27525,196.02/525,183/2737.99525,200.99/525,186/3323525,027.8/525,027/0.707525,187.4/525,163/963.41525,277.9/525,269/596.61
tech-RL-caida74,59374,599.2/74,598/0.374,630.29/74,621/2758.9974,629.39/74,621/296874,598/74,598/7.49374,597/74,593/832.0674,654/74,651/862.06
web-it-2004414,507414,507/414,507/0.57414,516.06/414,515/1024.03414,515.95/414,515/1261414,507/414,507/<0.001414,510.2/414,507/19.71414,528/414,528/281.47
web-sk-200558,17358,173/58,173/0.858,173/58,173/50.7558,173/58,173/61.9958,173/58,173/<0.00158,173.4/58,173/86.2958,173/58,173/1.41
web-wikipedia2009648,294648,294/648,294/3.04648,294/648,294/228.54648,296.36/648,294/1681648,294/648,294/88.279648,294/648,294/112.3648,314.9/648,305/1.76
Average/Minimum/Tim. Bold represents the best result and the minimum run time for each instance. * represents the updated optimal solution.
Disclaimer/Publisher’s Note: The statements, opinions and data contained in all publications are solely those of the individual author(s) and contributor(s) and not of MDPI and/or the editor(s). MDPI and/or the editor(s) disclaim responsibility for any injury to people or property resulting from any ideas, methods, instructions or products referred to in the content.

Share and Cite

MDPI and ACS Style

Liao, C.; Guo, P.; Gu, J.; Deng, Q. Q-MeaMetaVC: An MVC Solver of a Large-Scale Graph Based on Membrane Evolutionary Algorithms. Appl. Sci. 2023, 13, 8021. https://doi.org/10.3390/app13148021

AMA Style

Liao C, Guo P, Gu J, Deng Q. Q-MeaMetaVC: An MVC Solver of a Large-Scale Graph Based on Membrane Evolutionary Algorithms. Applied Sciences. 2023; 13(14):8021. https://doi.org/10.3390/app13148021

Chicago/Turabian Style

Liao, Chunmei, Ping Guo, Jiaqi Gu, and Qiuju Deng. 2023. "Q-MeaMetaVC: An MVC Solver of a Large-Scale Graph Based on Membrane Evolutionary Algorithms" Applied Sciences 13, no. 14: 8021. https://doi.org/10.3390/app13148021

APA Style

Liao, C., Guo, P., Gu, J., & Deng, Q. (2023). Q-MeaMetaVC: An MVC Solver of a Large-Scale Graph Based on Membrane Evolutionary Algorithms. Applied Sciences, 13(14), 8021. https://doi.org/10.3390/app13148021

Note that from the first issue of 2016, this journal uses article numbers instead of page numbers. See further details here.

Article Metrics

Back to TopTop