Abstract
Objective: This study aimed to compare the force degradation of elastomeric chains submerged in commonly used mouthrinses. Methods: One hundred samples of elastomeric orthodontic chains from five different brands (Ormco, GC, RMO, Forestandent, and 3M Unitek) were initially activated on double length, and the force was measured with a universal mechanical testing machine. Then, elastomeric modules were thermocycled and immersed into four different mouthrinses: Octenident, Vitis Orthodontic, Perio Plus+, and Listerine through a total number of three cycles which simulated 30 days of intraoral exposure. Force decay was measured after each cycle. Results: All specimens showed statistically significant force degradation over the tested period (p < 0.001). After thermocycling and immersion in oral antiseptics, the lowest measured force was found in Forestadent EOC in Listerine with a median of 70 cN (70–75 cN) and Vitis orthodontic with a median of 70 cN (70–80 cN). On the contrary, the least prone to force reduction was the control group of Ormco 280 cN (275–285 cN) and RMO 280 cN (270–280 cN). Conclusions: Elastomeric chains’ force degradation could be exacerbated by the use of mouth rinses. These data could be beneficial in choosing the appropriate combination of elastomeric chain and mouthrinse for optimal results of orthodontic therapy.
1. Introduction
Elastomeric chains are used in various situations and stages of orthodontic treatment as an important source of force transmission to the teeth [1,2,3]. In orthodontics, light and continuous force are of great importance. It is well known that once elastomeric chains are activated, they immediately undergo significant force decay [4,5]. According to the latest systematic review and meta-analysis, maximum force decay is present during the initial days following the placement of elastomeric chains/modules, which is reduced to approximately 50% within three weeks [6]. This loss of force needs to be prevented as much as possible to avoid inefficient tooth movement, which will consequently prolong orthodontic treatment [1,7]. The endurance of elastomers predominantly determines their composition and diameter, while the force degradation can be influenced by several factors such as saliva, pH, temperature changes, enzymatic and microbial events, the duration of the extension, and chemical plaque control [8]. Elastomeric chains, as well as other fixed orthodontic appliances, increase the possibility of biofilm retention, making mechanical control of plaque accumulation more difficult and facilitating plaque retention, gingivitis, and initial caries or white spot lesions [9]. Mechanical cleaning is the most effective way of removing dental plaque [3,10]. In addition to using only a toothbrush and dentifrice, patients are advised to use additional oral hygiene tools such as interdental brushes and chemical/antibacterial mouth rinses [1,3,9]. The use of mouth rinses efficiently reduces cariogenic plaque in patients with fixed orthodontic appliances. It is commonly recommended to use the mouthwash twice a day, once before going to sleep and once in the morning, with quantities of mouthwash varying between 10 and 20 mL. The most commonly used active agents are chlorhexidine, octenidine, essential oil (Listerine), cetylpyridinium, NaF, and AmF/SnF2 because of their effectiveness in the reduction of cariogenic plaque [3,11]. Chlorhexidine is the gold standard for the chemical control of oral biofilm due to its bactericidal spectrum and high substantivity in the oral cavity. It is recommended to be used for no more than two weeks due to its adverse reactions to oral mucosa [12]. Octenidine, widely used on skin and wounds, has relatively new indications for application on the oral mucosa, but the effect on orthodontic appliances is not yet investigated. Essential oils containing mouthwashes due to their antimicrobial and anti-inflammatory properties are commonly used since their usage is not time limited [8]. Cetylpyridinium chloricum (CPC) containing mouth rinses gained popularity recently due to its effectiveness during the COVID-19 pandemic [13]. Its adjunctive use in dentistry had limited effects in controlling plaque accumulation and gingivitis levels, with no adverse microbiological or tissue effects [14]. In addition to the therapeutic effect of mouthrinses, they are also widely accepted by patients due to their simple use and breath-freshening effect [11,15].
There are several studies that deal with the effect of different oral mouthwashes on the force decay of elastomeric chains. The results are inconclusive and opposite. Studies that have shown increased force decay, such as the study of Behnaz et al. on bleaching and sodium fluoride mouthwashes, recommended using them for a short period of time [16]. However, other studies demonstrated that there was no relationship between force loss and substances present in mouth rinses [1,17]. Takeda et al. established that CPC had anti-SARS-CoV-2 actions without altering the virus envelope, and low quantities inhibit the infectivity of human-isolated SARS-CoV-2 strains in saliva [18]. Because of that, it gained popularity in everyday usage. To the best of our knowledge, there is a lack of studies that deal with the influence of mouthrinse containing CPC on force decay of elastomeric orthodontic chains since, as it was mentioned before, it was rarely in use before COVID-19. Recent systematic reviews claim that mouthwashes tend to increase the speed of force decay resulting in a loss of effectiveness, especially in those containing alcohol [19].
According to Javidi et al., mouthrinses are among the most critical contributors to force decay in elastomeric chains [20]. However, the effect of different mouthwashes on the force decay of orthodontic chains remains unclear, and a unanimous conclusion cannot be reached. Additionally, the lack of studies that deal with the effect of mouthrinses containing CPC on force decay made the authors investigate its influence on the chosen brands of chains. Hence, due to the opposite and various results in the literature, this study aimed to compare the force degradation of elastomeric chains submerged in commonly used mouthrinses.
2. Materials and Methods
2.1. Specimen Preparation
The study consisted of 5 different elastomeric orthodontic chains (EOC): Clear generation II Power chain (Ormco, Orange, CA, USA), GC Ortho chain (GC Europe, Leuven, Belgium), F. M. Ringlet Elastomeric chain (Rocky Mountain Orthodontics®, Franklin, TN, USA), Happy elastics spool chain (Forestadent, Pforzheim, Germany), and AlastiK Chain (3M Unitek, Monrovia, CA, USA). They were cut into 6 link segments (15 mm), which simulate the distance from canine to canine. The sample consisted of 100 elastomeric chain cuts, 20 of each manufacturer. In order to activate the samples to double the original length, individualized plates were designed on TinkerCad (Autodesk, San Francisco, CA, USA) and printed on a Renfert 3D printer (Renfert GmbH, Hilzingen, Germany) with SIMPLEX aligner model filaments (Φ 1.75 mm, printing temperature 235–255 °C, printing bed temperature 90 °C; Renfert GmbH, Hilzingen, Germany). The dimensions of the plates were 4 mm × 3.2 mm, with an intercylinder length of 3 mm, so elastomeric chains could be activated on double length (Figure 1). In total, 10 plates were printed for 10 chain samples each.
Figure 1.
Individualized plates designed in TinkerCad.
Oral antiseptics used in this study were: Octenident (Schülke & Mayr GmbH, Norderstedt, Germany) with active ingredient octenidine, Vitis Orthodontic (DENTAID S.L, Cerdanyola, Spain) with active ingredient cetylpyridinium chloridum, Perio Plus (Curaden Germany GmbH, Stutenseeu, Germany) (active ingredient chlorhexidine), Listerine Total Care (Johnson & Johnson, New Brunswick, NJ, USA) (essential oils as active ingredients), and distilled water as a control (Table 1). Two plates of stretched EOC segments were allocated to one oral antiseptic group (Figure 2).
Table 1.
Oral antiseptics used in the study.
Figure 2.
Printed plates and schematic representation of activated EOC samples.
2.2. Study Protocol
The protocol was designed with three phases and four force measurements. All specimens were subjected to three phases of 500 thermocycles in distilled water on a thermocycling machine (Thermocycler THE 1200; SD Mechatronik, Feldkirchen-Westerham, Germany) and five minutes immersion in oral antiseptic or distilled water as a control, which simulated 10 days of intraoral use each with the cumulative effect of 30 days. The time simulation of this study was considered to be four weeks, which is the ideal interval between orthodontic sessions to replace elastomeric chains. The thermocycling regimen was established according to the ISO Norm TS 11405:2015 [21]. The specimens underwent 1500 thermocycling cycles in which they were held repeatedly, first in 5 °C cold water and then in 55 °C hot water, for 20 s each to approximate EOC application of 30 days. The force was measured with a universal mechanical testing machine (Model 4411; Instron, Canton, USA) at four time points: baseline measurement, after the first phase (500 thermocycles and 5 min immersion, simulating 10 days), after the second (500 thermocycles and 5 min immersion, simulating 20 days), and after the third phase (500 thermocycles and 5 s minute immersion, simulating 30 days) (Figure 3.).
Figure 3.
Study protocol. F0—initial force measurement, F1—force measurement after 500 thermocycles, F2—force measurement after 1000 thermocycles, F3—force measurement after 1500 thermocycles.
2.3. Sample Size Calculation
A priori sample size calculation was conducted using the G*Power program. The used test was ANOVA: repeated measures, within-between interaction, with parameters used as follows: effect size f 0.20, α err prob 0.05, power 85%. The total sample size needed was 90 for an actual power of 86.04%. So, we used 100 samples to ensure the appropriate power.
2.4. Statistical Analysis
An analysis of data normality using the Shapiro–Wilk test and asymmetry tests revealed a non-normal distribution was computed using Statistica (TIBCO® Statistica™ Version 14.0.0.15, Palo Alto, CA, USA). Considering this, non-parametric tests were used: Mann–Whitney U (Mann–Whitney–Wilcoxon) for pairs and the Kruskal–Wallis test with post hoc multiple p comparison for groups. Friedman ANOVA was used since the assumptions necessary to run the one-way ANOVA with repeated measures were violated. p < 0.05 was considered significant.
3. Results
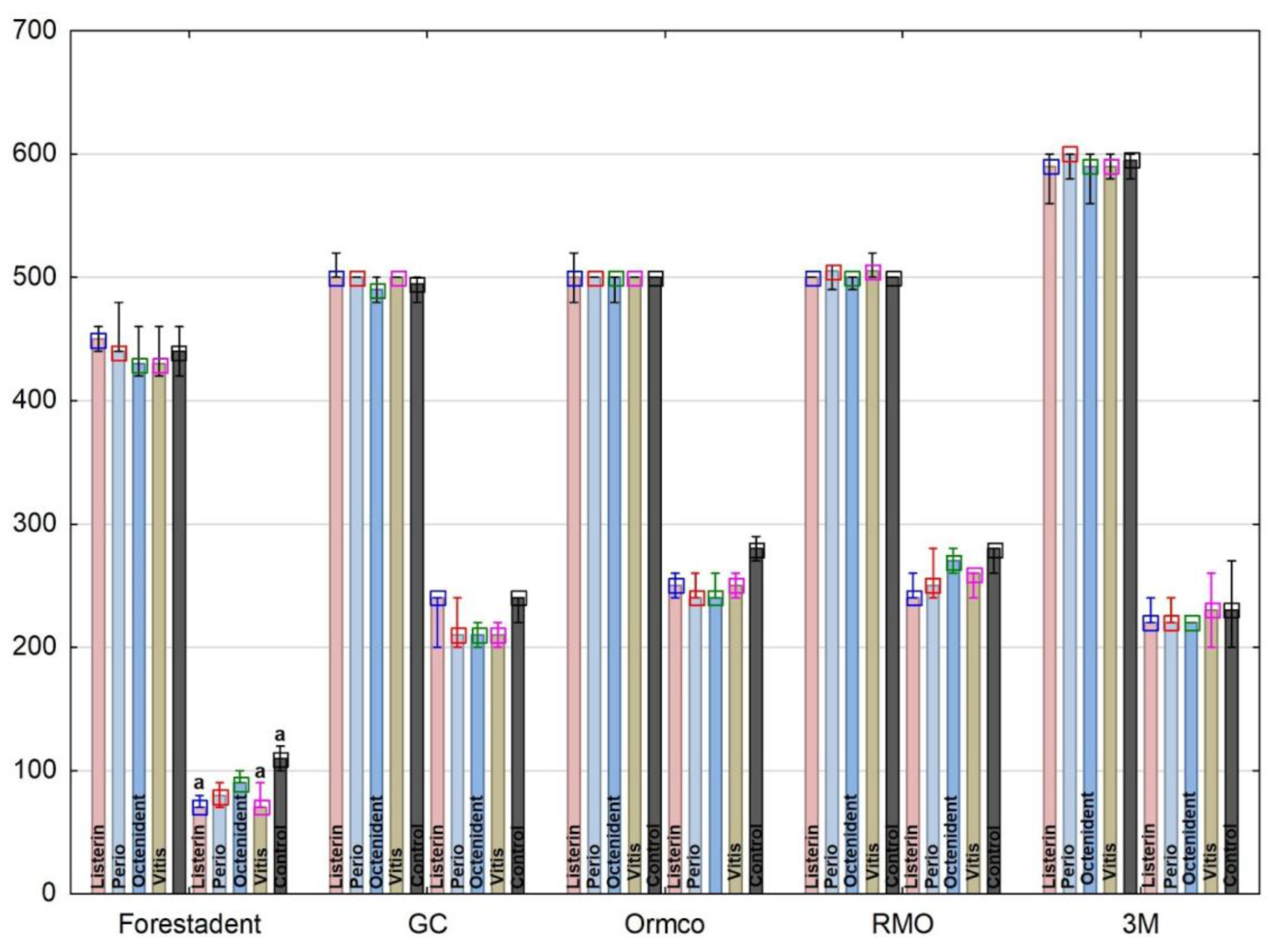
The baseline to 30 days force decay of EOC in different oral antiseptics in centiNewton (cN) is shown in Figure 4, while the effect of thermocycling on force decay in three sets of 500 thermocycles simulating 10, 20, and 30 days of use can be found in Figure 5. The initial EOC force values ranged from 420 to 600 cN. The highest was measured in 3M, with a median of 600 cN (580–600) and the lowest was measured in Forestadent, with a median of 440 cN (430–460). Both differed statistically from GC, Ormco, and RMO, which delivered an initial force of 500 cN. After three phases of thermocycling and immersion of oral antiseptics, the lowest measured force was in Forestadent EOC immersed in Listerine with a median of 70 cN (70–75 cN) and Vitis orthodontic with a median of 70 cN (70–80 cN). On the other hand, the least prone to force reduction was the control group of Ormco 280 cN (275–285 cN) and RMO 280 cN (270–280 cN).
Figure 4.
Baseline to 30 days force decay of EOC in different oral antiseptics in centiNewton (cN). Note: small case indicates statistically intergroup (brand) heterogeneous data.
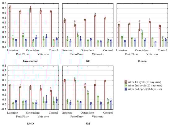
Figure 5.
Effect of thermocycling on force decay in three points of 500 thermocycles simulating 10, 20, and 30 days of use. * indicates statistically intergroup (brand) heterogeneous data.
Table 2 presents descriptive statistics (median, upper, and lower quartiles) and an intergroup comparison of the cumulative percentage of EOC force decay in different oral antiseptics (OA). In all experimental groups, Forestadent showed a statistically significant higher percentage of force decay than Ormco and RMO, while in Octenident, 3M presented a higher drop rate over RMO (p = 0.049). On the other hand, all EOC groups submerged in different oral antiseptics did not significantly differ from the control group (EOC in distilled water), with the exception of Forestandent EOC in Listerine with a drop rate of 84% (83–85%) in comparison to the control group, 75% (73–77%).
Table 2.
Descriptive statistics and intergroup comparison of cumulative percentage of EOC force decay in different oral antiseptics (OA). Q25—lower quartile, Q75—upper quartile.
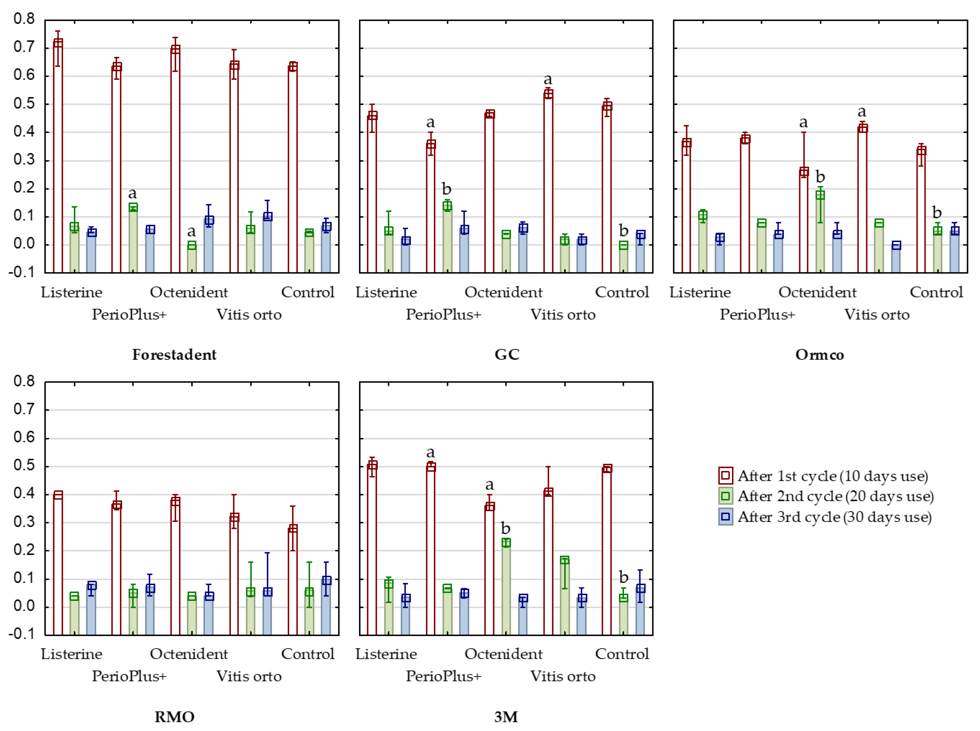
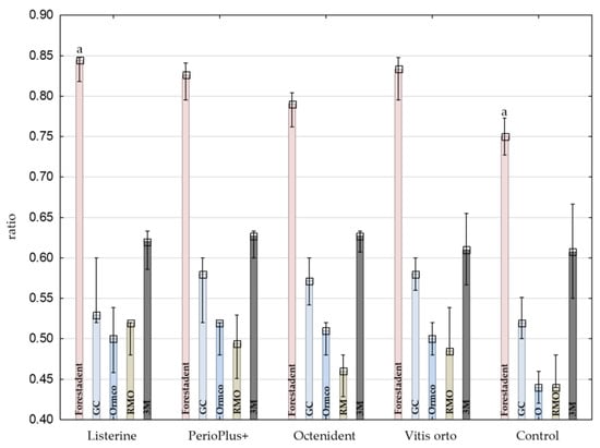
When comparing the percentage of force decay during the experimental period, statistically significant differences were found between the 1st, 2nd, and 3rd cycles in all AO and EOC groups. This could be credited to the 1st cycle or the 10 days use drop rate because it ranged from 20% to 76%, while the 2nd cycle ranged from 0% to 24.14%, and the 3rd ranged from 0% to 19.23%. So, a comparison of the 2nd and 3rd cycles was needed. Forestadent and GC did not show a significant difference in drop rates after the 2nd and 3rd cycles, while Ormco (p < 0.001), RMO (p = 0.0278), and 3M (0.0098) did. Ormco’s drop rate was higher after the 2nd cycle (median 8%, lower q. 8 and upper 10.8%) than after the 3rd cycle (4%, 0.96–4.08%). RMO showed a higher drop rate after the 3rd cycle (7.92%, 4–8.08%) than after the 2nd one (4%, 4–6.98%). 3M presented a higher drop rate in the 2nd cycle (6.89%, 6.67–17.24%) than in 3rd (3.44%, 2.5–6.67%), with an exception in the control group where the 2nd cycle, 3.36% (3.33–5.14%), had a lower drop rate than the 3rd cycle, 6.87% (2.5–11.84%). The force decay ratio in three phases simulating 10 days of use, with a cumulative of 30 days, can be found in Figure 6. After the first cycle, in the GC group, Vitis orthodontics showed a higher force decay percentage than PerioPlus+ (p = 0.0018); in the Ormco group, Vitis presented a higher force drop rate than Octenident (p = 0.0497) and in the 3M group PerioPlus+ than Octenident (p = 0.023). After the second cycle, in the Forestadent group, PerioPlus+ had statistically higher values of drop ratio than Octenident (p = 0.002), while in the GC group, PerioPlus+ showed greater drop rate values than the control (p = 0.004). Octenident presented higher values than the control in both the Ormco (p = 0.023) and 3M (p = 0.01) groups. After the third cycle, no statistically significant difference was found between OA groups in different brands. Only RMO did not show any variability between OA groups after either of the three cycles.
Figure 6.
Force decay ratio in three phases simulating 10 days use, with cumulative of 30 days. Note: small letters indicate intergroup (oral antiseptic) statistically heterogeneous data.
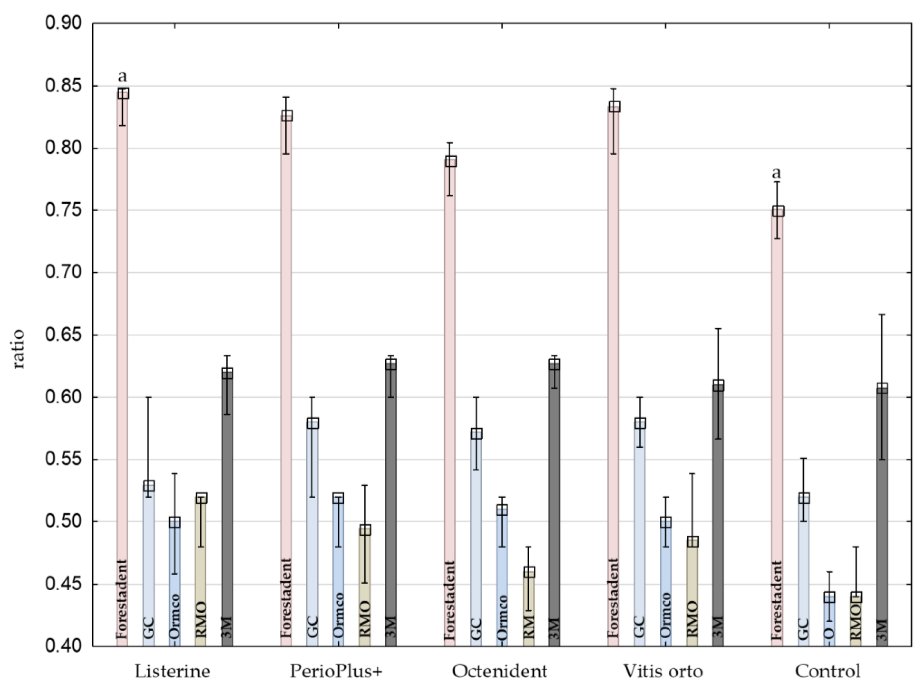
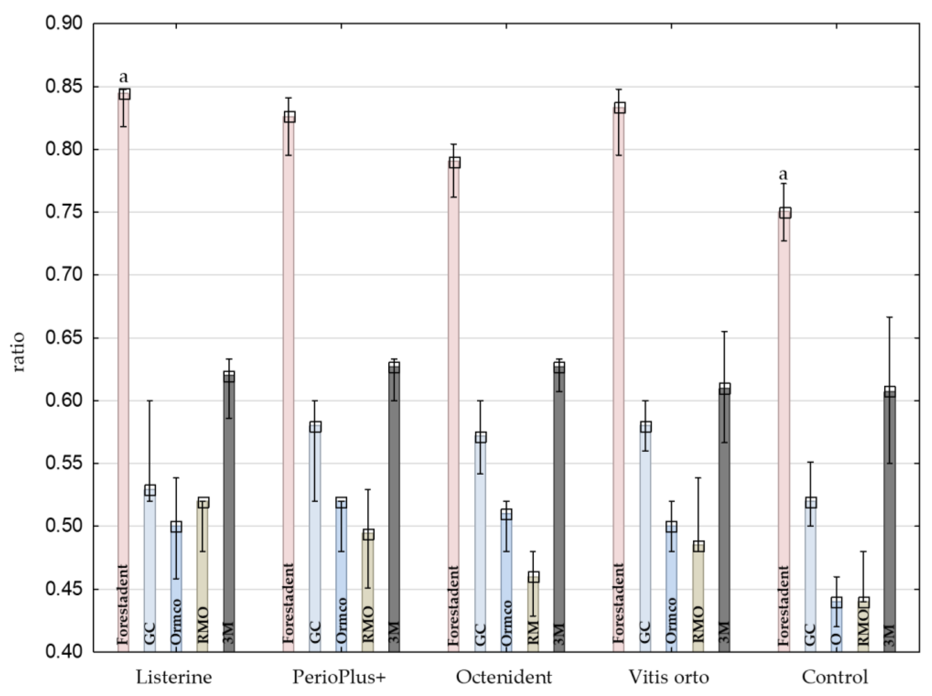
Still, when comparing the cumulative effect of three phases/cycles on the force decay of different OAs, only a statistically significant difference was found between Listerine and the control in the Forestadent EOC group, which is presented in Figure 7.
Figure 7.
Force decay ratio after three phases/cycles simulating cumulative of 30 days use. Note: small letters indicate intergroup (oral antiseptic) statistically heterogeneous data.
4. Discussion
Elastomeric chains, because of their elastic characteristics [19], are susceptible to environmental influences in the oral cavity: they absorb water, saliva, pigments, and dyes. The current study was performed to compare the force degradation of five different brands of elastomeric chains after exposing them to four different commonly used mouth rinse brands. In the present study, elastomeric chains were firstly activated on their double length, then exposed to thermocycling, followed by immersion in the various mouthrinses through a total number of three cycles simulating a duration of 30 days.
All investigated brands of chains experienced statistically significant force decay after the aforementioned procedures. Initial rapid force decay that occurs in the first investigated period is explained by two factors. The first is stress relaxation caused by stretching of the material [22,23]. This is due to the viscoelastic properties of the elastomer causing the material would relax when experiencing constant stress beyond its stress relaxation time, whereby the deformation becomes permanent and thus reduces the delivery force. On a molecular level, stretching represents the stress for the polymer, causing breakage of primary bonds, sliding of polymer molecules and, consequently, permanent deformation of the material [23]. Another factor influencing force decay is water absorption during thermocycling and immersion in different solutions [22]. Polyurethane materials absorb water molecules which fill up the spaces in the rubber matrix resulting in swelling of the material and hydrolysis. This consequently leads to fissures in the microstructure with a breakdown in the polymer–polymer interactions [23,24,25]. Hence, water molecules act as plasticizers. They increase chain flexibility and reduce the brittleness of the material. Therefore, the force delivered by chains is decreased. The greatest force decay was observed after the first phase of thermocycling or after 10 days of simulated usage. This was expected since it is a well-known fact that the highest force decay occurs during the first hour or the first 24 h, then progresses in a steadier way, which was proved by a great number of studies [26,27,28,29,30].
Of all investigated brands, Forestadent chains were most susceptible to accelerated aging. Force decay in this brand was statistically significantly greater than in RMO and Ormco chains. According to Baty et al., 100 cN is considered to be the lower limit for physiologically acceptable tooth movement [31]. At the end of the experiment, all elastomeric chains except Forestadent had final force values which were above 200 cN. Forestadent chains immersed in all investigated mouthrinses, excluding the control, had residual force values below 100 cN. However, according to other authors, residual force delivered by Forestadent chains in combination with various mouthrinses would still be high enough to produce all types of orthodontic tooth movement [32,33].
All investigated elastomeric chains were closed connector chains. The effect of distance between links on force decay was investigated in previous studies [31]. Some of them found that chains with less distance between modules produced higher initial force and underwent lower force loss [34]. However, others concluded the opposite [26]. Hence, future studies are needed to evaluate the influence of length between modules on force decay. Subgroups of elastomeric memory chains in this study showed more steady force residue compared to conventional elastomeric chains, which is in accordance with Dadgar et al., whose results showed that memory chains provide greater forces for longer durations over conventional ones [35].
Immersion in chosen mouthrinses by our results showed an overall greater loss of force for each elastomeric chain brand compared to the control group, but only statistically significant in Forestadent EOC in Listerine. Average force decay by our results was 52% for the control, 53.84% for Listerine, 56.33% for Vitis, 57.16% for Octenident, and 58.0% for PerioPlus+. The reasons for such a decline in initial force attributable to chemical agents are that the arrangement of adjacent molecules in the elastic chain undergoes permanent deformation, chemical reaction, or they slip. The least variability of the percentage of force decay between chains immersed in OA in all three cycles showed RMO. However, when observed at the cumulative level, 3M showed the least variability showing the strongest stability to force degradation. There are a vast number of different kinds of mouthrinses commercially available. We chose agents that are most commonly used and recommended in orthodontic therapy. Mouthrinses have shown in several studies the possibility of affecting elastomeric chain forces, making them more susceptible to force decay [3,35,36]. To which degree they were affected depended greatly on the brand, which is in relation to the chemical structure of the elastomeric chain and manufacturing process. Additionally, the size and shape of the loops and additional chemical agents can be the cause of variability in force reduction [37,38]. The results in our study showed the greatest change in force degradation for Forestadent. The greatest initial forces and the lowest rates of decay were observed in the cases of Ormco and RMO. This difference could be explained by the fact that Forestadent belongs to conventional elastomeric chains, while the latest two belong to memory elastomeric chains, which have been proven better in retaining residual force and lessening force decay [35].
There was a relative decrease comparing the overall force level after treatments of the control groups immersed in distilled water with that of any mouthrinse treatment. Our findings indicated that Octenident mouthrinse showed the least impact on force decay overall. While, on the contrary, Listerine caused the greatest overall force loss among all mouthrinses in both memory and conventional EOC. Additionally, the lowest impact regarding the effect on the force change of elastomeric chains immersed was shown again by Octenident (42.86%), while the highest sensitivity and therefore change in value was found for Vitis and Listerine equally. The greatest loss of force (84.78%), which showed statistical significance, was observed when Forestadent chains were immersed in Listerine solution. Menon et al. also found that chains immersed in Listerine had the greatest force degradation among other solutions and that the total strength degradation percentage was 71.6% after 28 days [27]. However, the results cannot be completely comparable with ours since they used different brands of chains [27]. Ramachandraiah et al. reported total force decay of 69.25% in 3M elastomeric chains [39], which did not correspond with our results, where greater stability of force was found for 3M elastomeric chains. In the study by Larrabee et al., the total loss of force of RMO elastomeric chains in Listerine after 28 days was 62.1% [28]. Al-Ani found that all chains immersed in Listerine with 26.9% alcohol had statistically significantly greater force decay than those in Listerine with zero alcohol [30]. The aforementioned previous studies used only one brand of elastomeric chains, which were immersed in different solutions. However, the influence of different concentrations of alcohol on force decay was not found [28]. This high loss of force could be due to alcohol which affects molecular and structural changes of elastomeric chains [23,28]. Allegedly, this is a result of the hydrolysis action of alcohol content on elastomeric chains [27]. A systematic review study recommends that alcohol-containing mouthwashes should be replaced with alcohol-free ones in order to avoid significant loss of force [20]. However, Mirashemi et al. did not find statistically significant differences in force decay between chains immersed in persica, chlorhexidine, and sodium fluoride [40]. In the Omidkhoda et al. study, the greatest force decay was observed in the mouth rinse containing chlorhexidine; however, this loss of force was lower than in our findings (59.86%) [26]. This great difference between studies could be explained by the usage of different brands of elastomeric chains and the variety in the manufacturing process. Sufarnap et al. also found that chains immersed in chlorhexidine showed greater loss of force than those immersed in mouthrinses containing fluoride [41]. Nevertheless, the statistically significant difference between the effect of different concentrations of chlorhexidine on force decay was not found [3]. This outcome is probably the result of the acidic condition of the CHX solution rather than the molecule itself [41]. This statement was proved by the Issa et al. study, which also claimed that the pH of the solution could play a role in force degradation during time rather than ingredients. They proposed that the pH of a mouthrinse should be taken into consideration during their prescription [22]. Hence, the pH of the solution is another important factor that could influence force decay. Some studies showed that more acidic solutions cause a higher loss of force [42], while others showed the opposite [26]. The pH of investigated OA was 3.2–5.2 for Listerine, 5–7 for PerioPlus+, approximately 6 for Octenident, and 4–5 for Vitis Orthodontics. According to the Clemitson et al. [43] study, the polyurethane elastomer in the medium of pH below 5.4 or above 8.0 can easily be hydrolyzed. Since both Listerine and Vitis mouthrinses have a pH below 5.4, we can assume that this could be another factor that could influence force delivery. However, we can not be certain since we did not measure pH values but only took safety data sheet information provided by the manufacturer. In contrast to our previously mentioned studies, Menon et al. reported that chains immersed in CHX had the lowest force decay among other mouth rinses. Furthermore, they proposed its usage in plaque control during orthodontic treatment [27]. Hence, future studies are needed to evaluate the effect of chlorhexidine on the force decay of elastomeric chains more accurately. Additionally, some recently introduced compounds have been demonstrated to have a significant influence on the oral environment. The use of probiotics and postbiotics can modify clinical and microbiological parameters in periodontal and surgical patients, so these products should be considered in future trials and in combination with orthodontic materials [44,45].
Limitations of the Study
The study was conducted in vitro, which could be the study’s limitation. Previous research has shown that chains studied in vivo undergo much higher force decay than chains studied in vitro [46]. As a result, an in vivo investigation would provide more precise results and a better understanding of the physical properties of elastomeric materials when subjected to an oral cavity environment. Regardless, the data and evidence from this in vitro research can be used effectively in clinical decision-making when planning orthodontic force applications with elastomeric chains/modules.
5. Conclusions
The change in the force of the elastomeric chain is primarily influenced by the brand of the chain, while antiseptics also affect the force decay, but it is not statistically or clinically significant. A comparison of the force degradation pattern of the current study showed that Listerine accelerated the force decay of Forestadent at a higher rate than the other mouth rinses in all types of elastomeric chains investigated in this study with a statistical significance. This should be noted by clinicians who prescribe this mouthwash and shorten the intervals of replacement to less than four weeks. After Listerine, all of the mouthrinses in this study showed significantly more force degradation than the control group. Considering typical orthodontic follow-ups (4 to 6 weeks), it could be recommended that a clinician make a selection of mouthwashes that are more compatible and show less force decay in combination with a chosen elastomeric chain to maintain the optimal force for orthodontic tooth movement.
Author Contributions
Conceptualization, L.Š. and S.M.; methodology, L.Š., I.Š. and S.M.; software, L.Š.; validation, L.Š. and T.B.; formal analysis, L.Š.; investigation, L.Š. and T.B.; resources, I.Š. and S.M.; data curation, L.Š. and T.B.; writing—original draft preparation, L.Š., T.B., I.Š. and S.M.; writing—review and editing, T.B. and I.Š.; visualization, L.Š.; supervision, S.M.; project administration, T.B. All authors have read and agreed to the published version of the manuscript.
Funding
This research received no external funding.
Institutional Review Board Statement
The study was conducted in accordance with the Declaration of Helsinki and approved by the Ethics Committee of the School of Dental Medicine, University of Zagreb (approval number: 05-PA-30-14-1/2023).
Informed Consent Statement
Not applicable.
Data Availability Statement
The data presented in this study are available on request from the corresponding author.
Conflicts of Interest
The authors declare no conflict of interest.
References
- Pithon, M.M.; Rodrigues, A.C.; Sousa, E.L.; Santos, L.P.; Soares Ndos, S. Do mouthwashes with and without bleaching agents degrade the force of elastomeric chains? Angle Orthod. 2013, 83, 712–717. [Google Scholar] [CrossRef] [PubMed]
- Hanson, M.; Lobner, D. In vitro neuronal cytotoxicity of latex and nonlatex orthodontic elastics. Am. J. Orthod. Dentofac. Orthop. 2004, 126, 65–70. [Google Scholar] [CrossRef] [PubMed]
- Pithon, M.M.; Macena, J.A.; Prado, M.C.; Pinto, H.B. Effects of Active Substances in Dentifrices on Force Degradation of Elastomeric Chain Elastics. J. Indian Orthod. Soc. 2014, 48, 27–32. [Google Scholar] [CrossRef]
- Freeman, D.H.; Johnston, W.M.; Brantley, M.A.; Firestone, A.R. Idealized force decay of orthodontic elastomeric chains follows Nutting Equation. Med. Devices Sens. 2021, 4, e10145. [Google Scholar] [CrossRef]
- Halimi, A.; Benyahia, H.; Doukkali, A.; Azeroual, M.F.; Zaoui, F. A systematic review of force decay in orthodontic elastomeric power chains. Int. Orthod. 2012, 10, 223–240. [Google Scholar] [CrossRef] [PubMed]
- Andhare, P.; Datana, S.; Agarwal, S.S.; Chopra, S.S. Comparison of in vivo and in vitro force decay of elastomeric chains/modules: A systematic review and meta analysis. J. World Fed. Orthod. 2021, 10, 155–162. [Google Scholar] [CrossRef] [PubMed]
- De Stefani, A.; Bruno, G.; Preo, G.; Gracco, A. Application of Nanotechnology in Orthodontic Materials: A State-of-the-Art Review. Dent. J. 2020, 8, 126. [Google Scholar] [CrossRef]
- Panagiotou, A.; Rossouw, P.E.; Michelogiannakis, D.; Javed, F. Role of Essential Oil-Based Mouthwashes in Controlling Gingivitis in Patients Undergoing Fixed Orthodontic Treatment. A Review of Clinical Trials. Int. J. Environ. Res. Public Health 2021, 18, 10825. [Google Scholar] [CrossRef]
- Morrier, J.J. Leucomes et traitement orthodontique. Prévention, traitement [White spot lesions and orthodontic treatment. Prevention and treatment]. L’Orthodontie Fr. 2014, 85, 235–244. [Google Scholar]
- Derks, A.; Katsaros, C.; Frencken, J.E.; van’t Hof, M.A.; Kuijpers-Jagtman, A.M. Caries-inhibiting effect of preventive measures during orthodontic treatment with fixed appliances. A systematic review. Caries Res. 2004, 38, 413–420. [Google Scholar] [CrossRef]
- Tartaglia, G.M.; Tadakamadla, S.K.; Connelly, S.T.; Sforza, C.; Martín, C. Adverse events associated with home use of mouthrinses: A systematic review. Ther. Adv. Drug Saf. 2019, 10, 2042098619854881. [Google Scholar] [CrossRef]
- James, P.; Worthington, H.V.; Parnell, C.; Harding, M.; Lamont, T.; Cheung, A.; Whelton, H.; Riley, P. Chlorhexidine mouthrinse as an adjunctive treatment for gingival health. Cochrane Database Syst. Rev. 2017, 3, CD008676. [Google Scholar]
- D’Amico, F.; Moro, M.; Saracino, M.; Marmiere, M.; Cilona, M.B.; Lloyd-Jones, G.; Zangrillo, A. Efficacy of Cetylpyridinium Chloride mouthwash against SARS-CoV-2: A systematic review of randomized controlled trials. Mol. Oral Microbiol. 2023, 38, 171–180. [Google Scholar] [CrossRef]
- Herrera, D.; Escudero, N.; Pérez, L.; Otheo, M.; Cañete-Sánchez, E.; Pérez, T.; Alonso, B.; Serrano, J.; Palma, J.C.; Sanz, M.; et al. Clinical and microbiological effects of the use of a cetylpyridinium chloride dentifrice and mouth rinse in orthodontic patients: A 3-month randomized clinical trial. Eur. J. Orthod. 2018, 40, 465–474. [Google Scholar] [CrossRef] [PubMed]
- Van der Weijden, F.A.; Van der Sluijs, E.; Ciancio, S.G. Can chemical mouthwash agents achieve plaque/gingivitis control? Dent. Clin. N. Am. 2015, 59, 799–829. [Google Scholar] [CrossRef] [PubMed]
- Behnaz, M.; Namvar, F.; Sohrabi, S.; Parishanian, M. Effect of Bleaching Mouthwash on Force Decay of Orthodontic Elastomeric Chains. J. Contemp. Dent. Pract. 2018, 19, 221–225. [Google Scholar] [CrossRef]
- Csekő, K.; Maróti, P.; Helyes, Z.; Told, R.; Riegler, F.; Szalma, J.; Gurdán, Z. The Effect of Extrinsic Factors on the Mechanical Behavior and Structure of Elastic Dental Ligatures and Chains. Polymers 2021, 14, 38. [Google Scholar] [CrossRef]
- Takeda, R.; Sawa, H.; Sasaki, M.; Orba, Y.; Maishi, N.; Tsumita, T.; Ushijima, N.; Hida, Y.; Sano, H.; Kitagawa, Y.; et al. Antiviral Effect of Cetylpyridinium Chloride in Mouthwash on SARS-CoV-2. Sci. Rep. 2022, 12, 14050. [Google Scholar] [CrossRef] [PubMed]
- Castelló, C.A.; Zamora-Martínez, N.; Paredes-Gallardo, V.; Tarazona-Álvarez, B. Effect of Mouthwashes on the Force Decay of Orthodontic Elastomeric Chains: A Systematic Review and Meta-Analysis; University of Valencia: Valencia, Spain, 2017; Volume 5, pp. 115–122. [Google Scholar]
- Javidi, P.; Bashardoust, N.; Shekarbaghani, A. Evaluation of force decay rate in orthodontic elastomeric chains in the environment of various mouthwashes: A systematic review. Dent. Res. J. 2023, 20, 39. [Google Scholar]
- ISO/TS 11405:2015; Dentistry—Testing of adhesion to tooth structure. ISO International Organization for Standardization: Geneva, Switzerland, 2015.
- Issa, A.R.; Kadhum, A.S.; Mohammed, S.A. The Effects of Zinc-Containing Mouthwashes on the Force Degradation of Orthodontic Elastomeric Chains: An In Vitro Study. Int. J. Dent. 2022, 2022, 3557317. [Google Scholar] [CrossRef]
- Eliades, T.; Eliades, G.; Watts, D.C. Structural conformation of in vitro and in vivo aged orthodontic elastomeric modules. Eur. J. Orthod. 1999, 21, 649–658. [Google Scholar] [CrossRef] [PubMed]
- Eliades, T.; Eliades, G.; Brantley, W.A.; Watts, D.C. Elastomeric ligatures and chains. In Orthodontic Materials: Scientific and Clinical Aspects, 1st ed.; Brantley, W.A., Eliades, T., Eds.; Thieme: Stuttgart, Germany, 2001; pp. 173–189. [Google Scholar]
- Eliades, T.; Eliades, G.; Silikas, N.; Watts, D.C. Tensile properties of orthodontic elastomeric chains. Eur. J. Orthod. 2004, 26, 157–162. [Google Scholar] [CrossRef] [PubMed]
- Omidkhoda, M.; Rashed, R.; Khodarahmi, N. Evaluation of the effects of three different mouthwashes on the force decay of orthodontic chains. Dent. Res. J. 2015, 12, 348–352. [Google Scholar] [CrossRef] [PubMed]
- Menon, V.V.; Madhavan, S.; Chacko, T.; Gopalakrishnan, S.; Jacob, J.; Parayancode, A. Comparative Assessment of Force Decay of the Elastomeric Chain With the Use of Various Mouth Rinses in Simulated Oral Environment: An In Vitro Study. J. Pharm. Bioallied Sci. 2019, 11, S269–S273. [Google Scholar] [CrossRef] [PubMed]
- Larrabee, T.M.; Liu, S.S.; Torres-Gorena, A.; Soto-Rojas, A.; Eckert, G.J.; Stewart, K.T. The effects of varying alcohol concentrations commonly found in mouth rinses on the force decay of elastomeric chain. Angle Orthod. 2012, 82, 894–899. [Google Scholar] [CrossRef] [PubMed]
- Rafeeq, R.A.; Taha, S.S.; Saleem, A.I.; Al-Attar, A.M. The effect of mouth wash containing chlorhexidine on force degradation of colored elastomeric chains. Int. J. Sci. Res. 2015, 6, 892–898. [Google Scholar]
- Al–Ani, R.A. The effect of mouth wash containing alcohol on force degradation of colored elastomeric chains. Indian J. Public Health Res. Dev. 2019, 10, 3212–3218. [Google Scholar] [CrossRef]
- Baty, D.L.; Storie, D.J.; von Fraunhofer, J.A. Synthetic elastomeric chains: A literature review. Am. J. Orthod. Dentofac. Orthop. 1994, 105, 536–542. [Google Scholar] [CrossRef]
- Proffit, W.R.; Fields, H.W.; Larson, B.E.; Sarver, D.M. The Biologic Basis of Orthodontic Therapy. In Contemporary Orthodontics, 6th ed.; Proffit, W.A., Fields, H.W., Larson, B.E., Sarver, D.M., Eds.; Elsevier: St. Louis, MO, USA, 2018; pp. 248–275. [Google Scholar]
- Evans, K.S.; Wood, C.M.; Moffitt, A.H.; Colgan, J.A.; Holman, J.K.; Marshall, S.D.; Pope, D.S.; Sample, L.B.; Sherman, S.L.; Sinclair, P.M.; et al. Sixteen-week analysis of unaltered elastomeric chain relating in vitro force degradation with in vivo extraction space tooth movement. Am. J. Orthod. Dentofac. Orthop. 2017, 151, 727–734. [Google Scholar] [CrossRef]
- Mousavi, S.M.; Mahboobi, S.; Rakhshan, V. Effects of different stretching extents, morphologies, and brands on initial force and force decay of orthodontic elastomeric chains: An in vitro study. Dent. Res. J. 2020, 17, 326–337. [Google Scholar]
- Dadgar, S.; Sobouti, F.; Armin, M.; Ebrahiminasab, P.; Moosazadeh, M.; Rakhshan, V. Effects of 6 different chemical treatments on force kinetics of memory elastic chains versus conventional chains: An in vitro study. Int. Orthod. 2020, 18, 349–358. [Google Scholar] [CrossRef] [PubMed]
- Mahajan, V.; Singla, A.; Negi, A.; Jaj, H.S.; Bhandari, V. Dynamic force delivery and damping behavior of different brands of elastomeric chains using dynamic mechanical analysis. J. Indian Orthod. Soc. 2015, 49, 71. [Google Scholar] [CrossRef]
- Santos, R.L.; Pithon, M.M.; Romanos, M.T. The effect of different pH levels on conventional vs. super force chain elastics. Mater. Res. 2013, 16, 246–251. [Google Scholar] [CrossRef]
- Khaleghi, A.; Ahmadvand, A.; Sadeghian, S. Effect of citric acid on force decay of orthodontic elastomeric chains. Dent. Res. J. 2021, 18, 31. [Google Scholar]
- Ramachandraiah, S.; Sridharan, K.; Nishad, A.; Manjusha, K.K.; Abraham, E.A.; Ramees, M.M. Force Decay Characteristics of commonly used Elastomeric Chains on Exposure to various Mouth Rinses with different Alcohol Concentration: An in vitro Study. J. Contemp. Dent. Pract. 2017, 18, 813–820. [Google Scholar]
- Mirhashemi, A.; Farahmand, N.; Saffar Shahroudi, A.; Ahmad Akhoundi, M.S. Effect of four different mouth-washes on force-degradation pattern of orthodontic elastomeric chains. Orthod. Waves. 2017, 76, 67–72. [Google Scholar] [CrossRef]
- Sufarnap, E.; Harahap, K.I.; Terry, T. Effect of sodium fluoride in chlorhexidine mouthwashes on force decay and permanent deformation of orthodontic elastomeric chain. Padjadjaran J. Dent. 2021, 33, 74–80. [Google Scholar] [CrossRef]
- Teixeira, L.; Pereira, B.d.R.; Bortoly, T.G.; Brancher, J.A.; Tanaka, O.M.; Guariza-Filho, O. The environmental influence of Light Coke, phosphoric acid, and citric acid on elastomeric chains. J. Contemp. Dent. Pract. 2008, 9, 17–24. [Google Scholar] [CrossRef]
- Clemitson, I.R. Castable Polyurethane Elastomers, 2nd ed.; CRS Press: Hoboken, NJ, USA, 2015. [Google Scholar]
- Butera, A.; Pascadopoli, M.; Pellegrini, M.; Gallo, S.; Zampetti, P.; Scribante, A. Oral Microbiota in Patients with Peri-Implant Disease: A Narrative Review. Appl. Sci. 2022, 12, 3250. [Google Scholar] [CrossRef]
- Butera, A.; Pascadopoli, M.; Pellegrini, M.; Gallo, S.; Zampetti, P.; Cuggia, G.; Scribante, A. Domiciliary Use of Chlorhexidine vs. Postbiotic Gels in Patients with Peri-Implant Mucositis: A Split-Mouth Randomized Clinical Trial. Appl. Sci. 2022, 12, 2800. [Google Scholar] [CrossRef]
- Nattrass, C.; Ireland, A.J.; Sherriff, M. The effect of environmental factors on elastomeric chain and nickel titanium coil springs. Eur. J. Orthod. 1998, 20, 169–176. [Google Scholar] [CrossRef] [PubMed]
Disclaimer/Publisher’s Note: The statements, opinions and data contained in all publications are solely those of the individual author(s) and contributor(s) and not of MDPI and/or the editor(s). MDPI and/or the editor(s) disclaim responsibility for any injury to people or property resulting from any ideas, methods, instructions or products referred to in the content. |
© 2023 by the authors. Licensee MDPI, Basel, Switzerland. This article is an open access article distributed under the terms and conditions of the Creative Commons Attribution (CC BY) license (https://creativecommons.org/licenses/by/4.0/).






