Modeling of Walking-Gait Parameters and Walking Strategy for Quadruped Robots
Abstract
1. Introduction
2. Materials and Methods
2.1. Analysis of the Movement Characteristics of the Biological Dog
2.2. Analysis of the Movement Law of the Biological Dog
- (1)
- Two weeks before the experiment, the dog trainer trained the Labrador dog on a treadmill until it could move freely on the treadmill.
- (2)
- White circular paper pieces with a diameter of 40 mm were used as marking points and pasted on the Labrador dog, marking 14 points. There were four points in the front limb, namely, the foot end, wrist joint, elbow joint, and shoulder joint. There were four points on the hind limb, namely, the foot end, ankle joint, knee joint, and hip joint. The back was divided into 4 sections and labeled with 5 points: S1, S2, S3, S4, and S5. There was a point in the center of the side of the body.
- (3)
- The treadmill speed was set to 2 k/h, and the dog trainer directed the movement of the Labrador dog. After the Labrador dog was adjusted, the treadmill accelerated to 3.5 km/h.
- (4)
- After the Labrador dog stabilized at a speed of 3.5 km/h, a high-speed camera, model FASTCAM Mini UX100, was used to capture a motion video at 500 Hz in this state.
- (5)
- Experimental steps (3) to (4) were repeated and sports videos were shot at four speeds: 4.0 km/h, 6 km/h, 6.5 km/h, and 7 km/h.
- (1)
- The change trend of the three joints of the hind limb was similar to that of the three joints of the front limb.
- (2)
- The change trend and angle range of the knee joint and ankle joint of the hind limb were basically the same.
- (3)
- The back angle did not change much during the exercise.
- (4)
- The variation range of the hip-joint angle was [150°, 160°], and the variation ranges of the knee-joint and ankle-joint angles were [90°, 130°].
2.3. Kinematic Analysis of the Quadruped Robot
3. Results and Discussion
3.1. Kinematic Analysis of the Bionic-Robot Dog
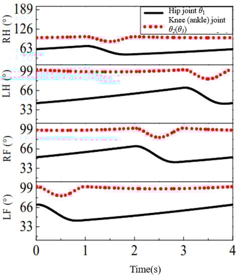
3.2. Kinematic Analysis of the Whole Robot Mechanism
3.3. The Gait Planning of the Bionic-Robot Dog
3.3.1. Basic Concepts of Gait Planning
3.3.2. Dynamic-Gait Planning
3.3.3. Static-Gait Planning
3.3.4. Gait-Transition Planning
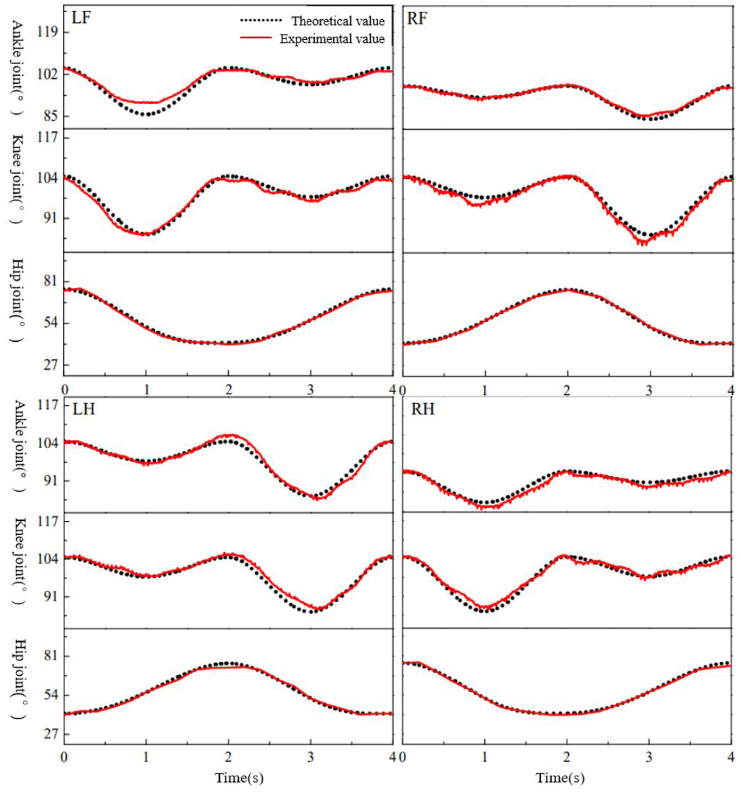
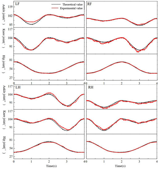
4. Experimental Results and Analysis
4.1. Basic Composition of the Experimental System
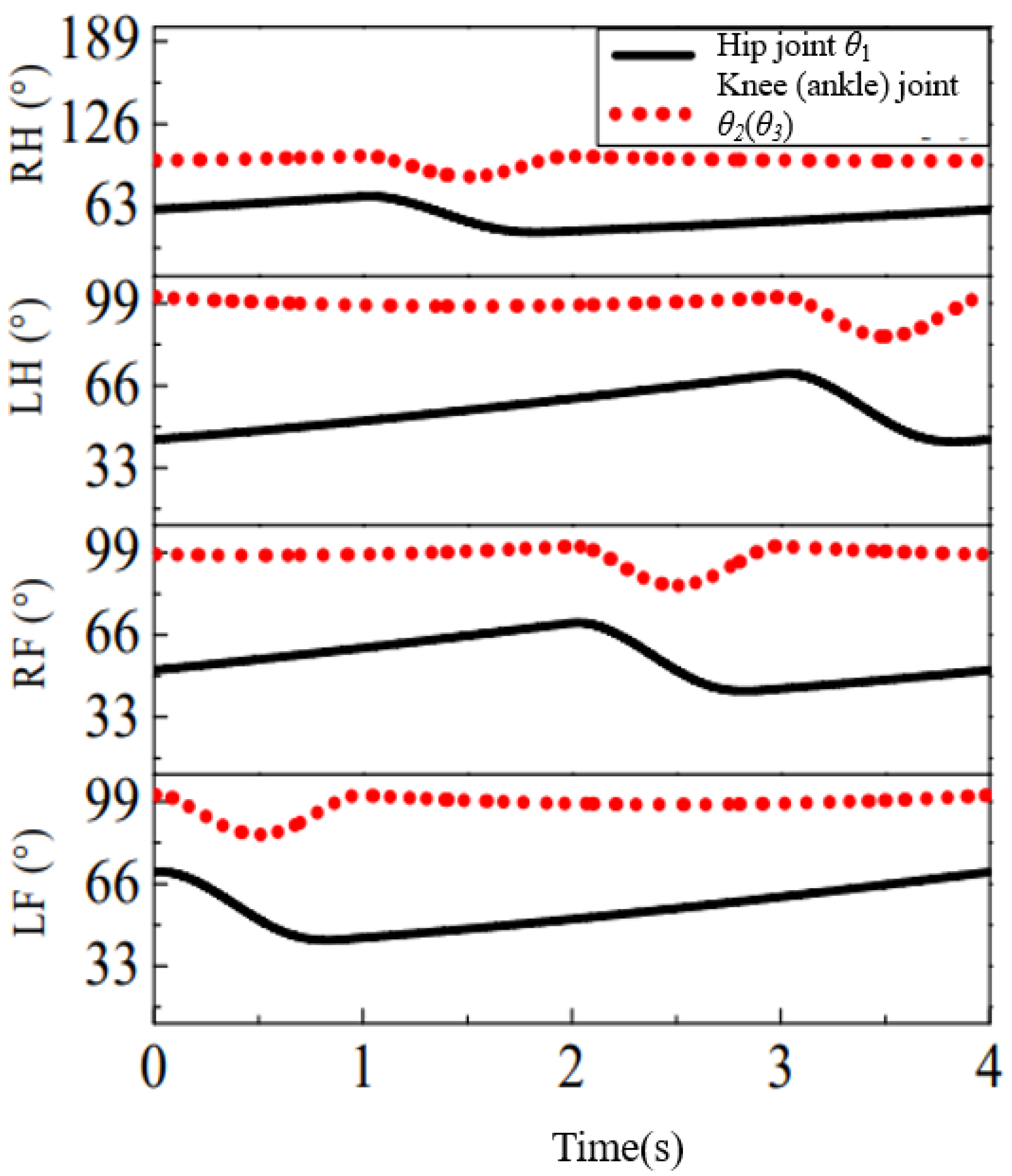
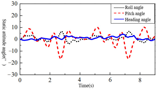
4.2. Analysis of Static-Gait Experiment
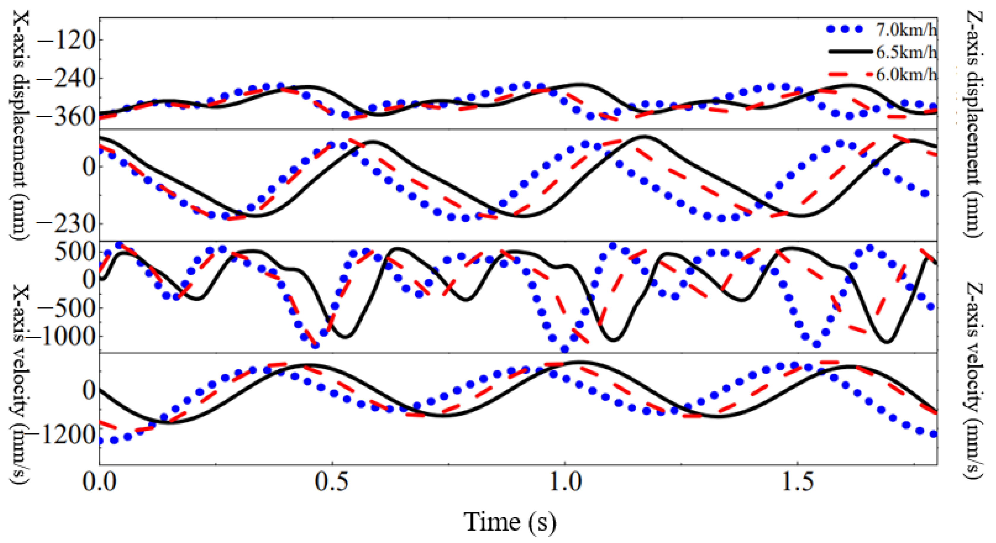
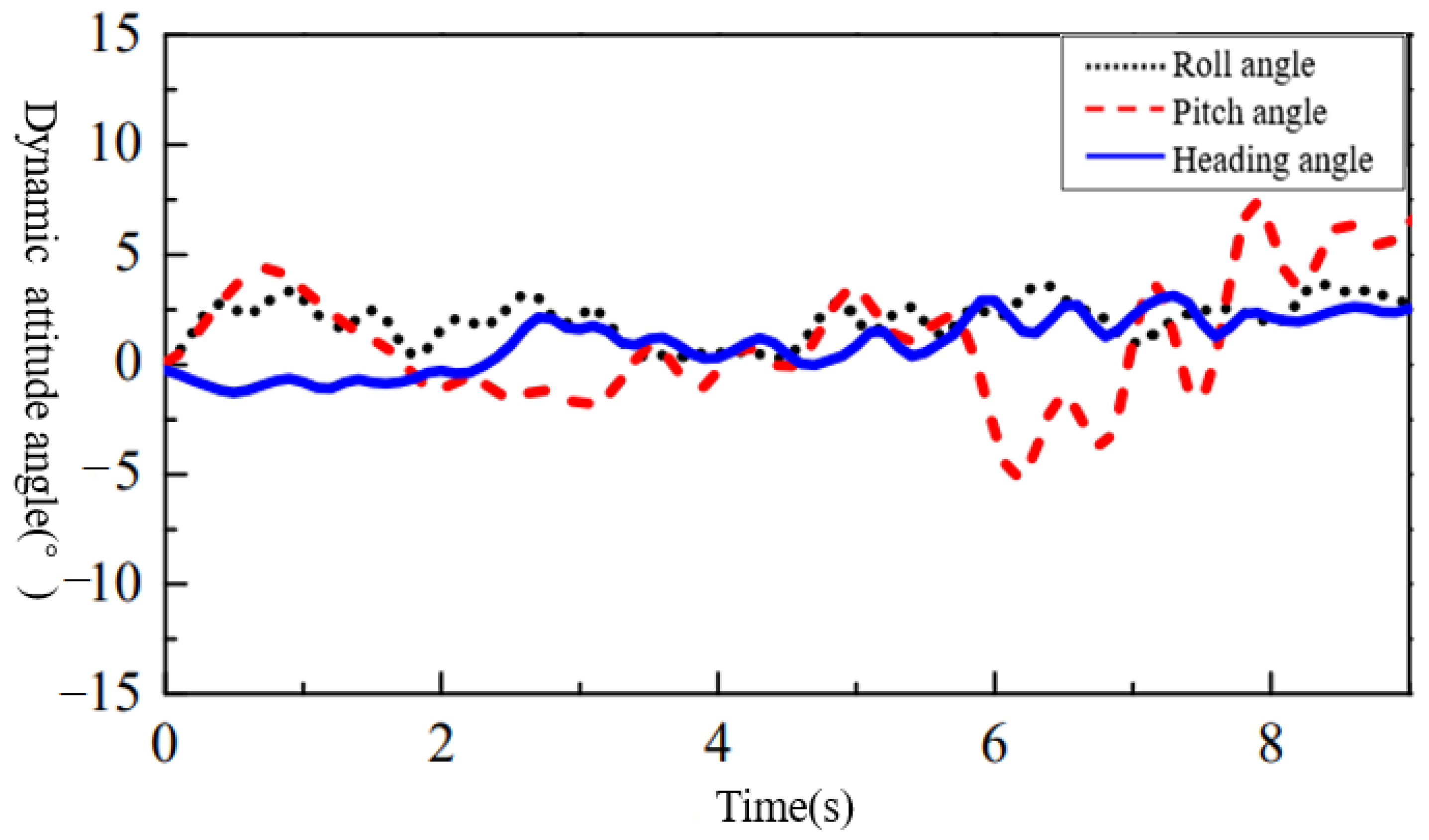
4.3. Analysis of Dynamic-Gait Experiment
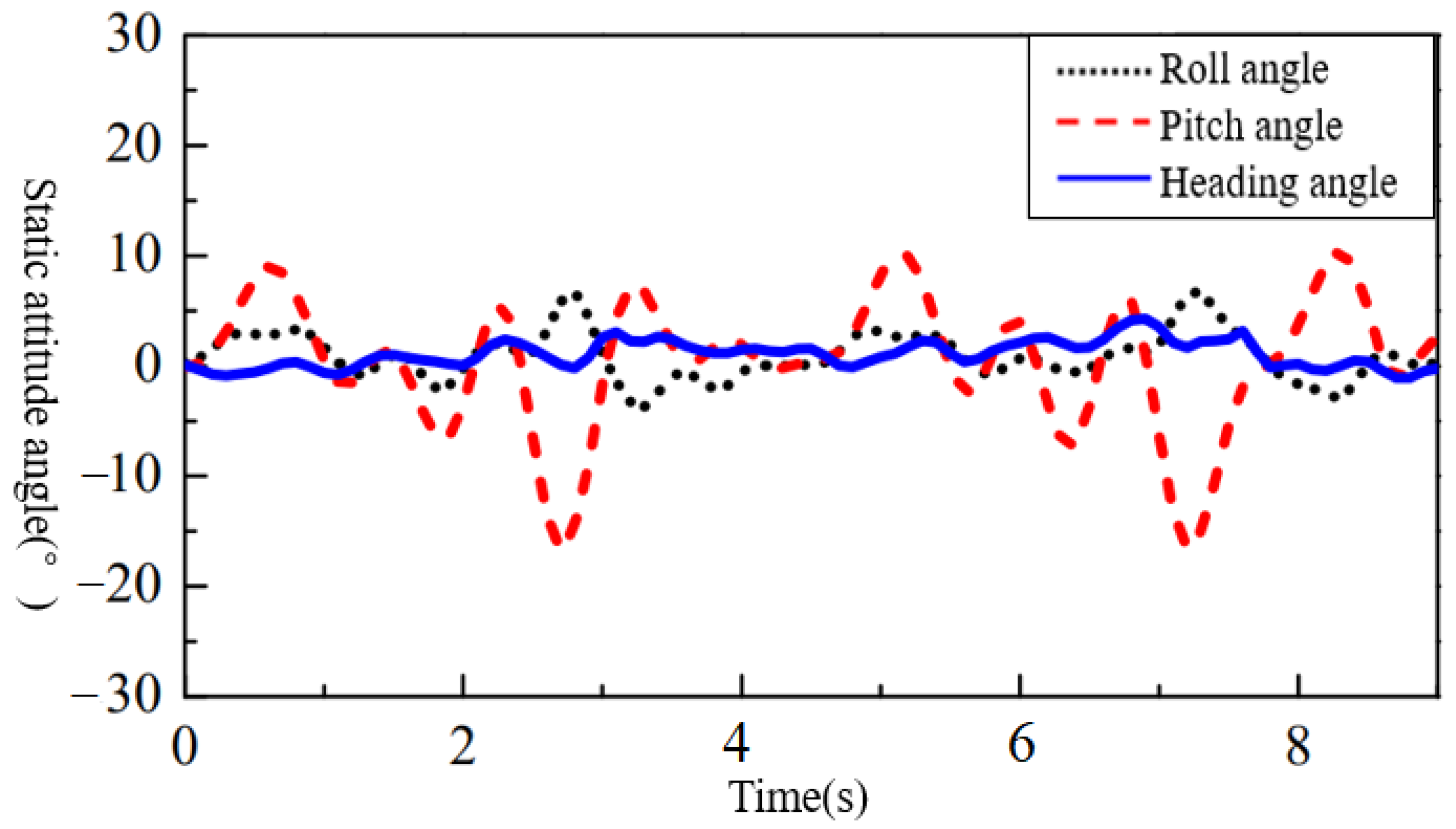
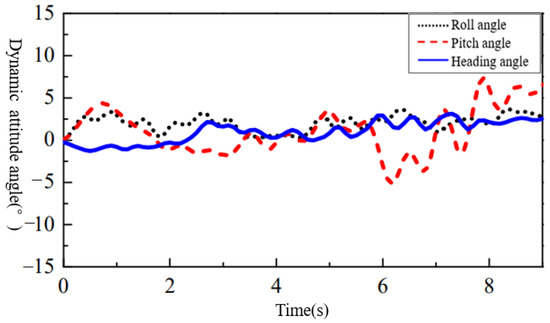
4.4. Analysis of Gait-Transition Experiment
5. Conclusions
Author Contributions
Funding
Institutional Review Board Statement
Informed Consent Statement
Data Availability Statement
Acknowledgments
Conflicts of Interest
References
- Culha, U.; Demir, S.O.; Trimpe, S. Learning of Sub-optimal Gait Controllers for Magnetic Walking Soft Millirobots. Robot Sci. Syst. 2020, 39, 963–972. [Google Scholar]
- Berriozabalgoitia, R.; Bidaurrazaga-Letona, I.; Otxoa, E. Overground robotic program preserves gait in people with multiple sclerosis and moderate to severe impairments: A Randomized Controlled Trial. Arch. Phys. Med. Rehabil. 2020, 102, 27–44. [Google Scholar]
- Dziubek, W.; Stefańska, M.; Bulińska, K. Effects of Physical Rehabilitation on Spatiotemporal Gait Parameters and Ground Reaction Forces of Patients with Intermittent Claudication. J. Clin. Med. 2020, 9, 2826. [Google Scholar] [CrossRef] [PubMed]
- Hagner-Derengowska, M.; Kauny, K.; Kauna, A. Effect of a training program of overground walking on BTS gait parameters in elderly women during single and dual cognitive tasks. Int. J. Rehabil. Res. 2020, 43, 187–202. [Google Scholar] [CrossRef]
- Timotius, I.K.; Bieler, L.; Couillard-Despres, S. Combination of Defined CatWalk Gait Parameters for Predictive Locomotion Recovery in Experimental Spinal Cord Injury Rat Models. eNeuro 2021, 8, 1467–1473. [Google Scholar] [CrossRef]
- Kowalsky, D.B.; Rebula, J.R.; Ojeda, L.V. Human walking in the real world: Interactions between terrain type, gait parameters, and energy expenditure. PLoS ONE 2021, 16, 192–215. [Google Scholar] [CrossRef]
- Bailey, H.; O’Brien, T.D.; Barton, G.J. Walking towards a visually distracting environment does not affect gait kinematics and spatiotemporal parameters of children with cerebral palsy diplimbia. Gait Posture 2021, 90, 11–12. [Google Scholar] [CrossRef]
- Lee, J.; Li, L.; Shin, S.Y. Kinematic comparison of single degree-of-freedom robotic gait trainers. Mech. Mach. Theory 2021, 159, 104258. [Google Scholar] [CrossRef]
- Agm, A.; Sgrn, A.; Rwm, B. Effect of hippotherapy on walking performance and gait parameters in people with multiple sclerosis—ScienceDirect. Mult. Scler. Relat. Disord. 2020, 41, 10822–10825. [Google Scholar]
- Lee, I.; Lee, S.Y.; Ha, S. Alterations of lower extremity function, health-related quality of life, and spatiotemporal gait parameters among individuals with chronic ankle instability. Phys. Ther. Sport 2021, 51, 22–28. [Google Scholar] [CrossRef]
- Kunha, A.; Phunopas, A.; Jitviriya, W. Gait Control of A Four-limbged Robot with Fuzzy-PID Controller. Proc. Int. Conf. Artif. Life Robot. 2020, 25, 514–518. [Google Scholar] [CrossRef]
- Pea, B.; Gp, A.; Cfa, B. The effect of different dual tasks conditions on gait kinematics and spatio-temporal walking parameters in older adults. Gait Posture 2022, 16, 104–114. [Google Scholar]
- Hong, S.H.; Jung, S.Y.; Oh, H.K. Effects of the Immobilization of the Upper Extremities on Spatiotemporal Gait Parameters during Walking in Stroke Patients: A Preliminary Study. BioMed Res. Int. 2020, 24, 6157231. [Google Scholar] [CrossRef] [PubMed]
- Ji, M.; Park, H.; Lee, H. Effects of hallux valgus angle on one-limbged stance and gait parameters in young adults: A preliminary study. Phys. Ther. Rehabil. Sci. 2020, 9, 10–17. [Google Scholar] [CrossRef]
- Gieysztor, E.; Kowal, M.; Paprocka-Borowicz, M. Gait Parameters in Healthy Preschool and School Children Assessed Using Wireless Inertial forcel Sensor. Sensors 2021, 21, 6423. [Google Scholar] [CrossRef]
- Gündemir, O.; Duro, S.; Kaya, D.A. Temporo-spatial and kinetic gait parameters in English setter dogs. Anat. Histol. Embryol. 2020, 49, 763–769. [Google Scholar] [CrossRef]
- Vitorio, R.; Hasegawa, N.; Carlson-Kuhta, P. Dual-Task Costs of Quantitative Gait Parameters While Walking and Turning in People with Parkinson’s Disease: Beyond Gait Speed. J. Park. Dis. 2020, 11, 653–664. [Google Scholar] [CrossRef]
- Chaubey, V.; Kumar, C.; Kapoor, S. Gait Parameters during Backward Walking in Healthy Elderly: A Comparative Study during Different Types of dual tasks. Eur. J. Mol. Clin. Med. 2021, 36, 260–275. [Google Scholar]
- Cherni, Y.; Ballaz, L.; Lemaire, J. Effect of low dose robotic-gait training on walking capacity in children and adolescents with cerebral palsy. Neurophysiol. Clin. Clin. Neurophysiol. 2020, 50, 507–519. [Google Scholar] [CrossRef]
- Wegrzyn, Y.; Levi, G.; Livneh, K. Tight coupling of human walking and a four-limbged walking-device inspired by insect six-limbged locomotion. Eng. Res. Express 2020, 2, 036001. [Google Scholar] [CrossRef]
- Biswal, P.; Mohanty, P.K. Development of quadruped walking robots: A review. Ain Shams Eng. J. 2021, 12, 2017–2031. [Google Scholar] [CrossRef]
- Wan, X.; Yamada, Y. An Acceleration-Based Nonlinear Time-Series Analysis of Effects of Robotic Walkers on Gait Dynamics During Assisted Walking. IEEE Sens. J. 2022, 22, 21188–21196. [Google Scholar] [CrossRef]
- Boffa, L.; Sesselmann, A.; Roa, M.A. Emerging Gaits for a Quadrupedal Template Model With Segmented Limbs. J. Mech. Robot. 2023, 15, 031011. [Google Scholar] [CrossRef]




























| Parameter | M (kg) | l0 (mm) | b0 (mm) | l1 (mm) | l2 (mm) | l3 (mm) | θ1 (deg) | θ2 (deg) |
|---|---|---|---|---|---|---|---|---|
| Biological dog | 25 | 560 | 210 | 130 | 220 | 120 | [60, 90] | [90, 130] |
| Bionic-robot dog | 20 | 550 | 238 | 135 | 180 | 160 | [40, 110] | [80, 150] |
Disclaimer/Publisher’s Note: The statements, opinions and data contained in all publications are solely those of the individual author(s) and contributor(s) and not of MDPI and/or the editor(s). MDPI and/or the editor(s) disclaim responsibility for any injury to people or property resulting from any ideas, methods, instructions or products referred to in the content. |
© 2023 by the authors. Licensee MDPI, Basel, Switzerland. This article is an open access article distributed under the terms and conditions of the Creative Commons Attribution (CC BY) license (https://creativecommons.org/licenses/by/4.0/).
Share and Cite
Li, Z.; Song, Y.; Zhang, X.; Peng, X.; Xu, N. Modeling of Walking-Gait Parameters and Walking Strategy for Quadruped Robots. Appl. Sci. 2023, 13, 6876. https://doi.org/10.3390/app13126876
Li Z, Song Y, Zhang X, Peng X, Xu N. Modeling of Walking-Gait Parameters and Walking Strategy for Quadruped Robots. Applied Sciences. 2023; 13(12):6876. https://doi.org/10.3390/app13126876
Chicago/Turabian StyleLi, Zhaolu, Yumin Song, Xiaoli Zhang, Xiafu Peng, and Ning Xu. 2023. "Modeling of Walking-Gait Parameters and Walking Strategy for Quadruped Robots" Applied Sciences 13, no. 12: 6876. https://doi.org/10.3390/app13126876
APA StyleLi, Z., Song, Y., Zhang, X., Peng, X., & Xu, N. (2023). Modeling of Walking-Gait Parameters and Walking Strategy for Quadruped Robots. Applied Sciences, 13(12), 6876. https://doi.org/10.3390/app13126876
