Research on the Connector Loads of a Multi-Module Floating Body with Hinged Connector Based on FMFC Model
Abstract
:1. Introduction
2. Theory
3. Method Verification
3.1. Modal Analysis
3.2. Model Experiment
4. Simulation and Discussions
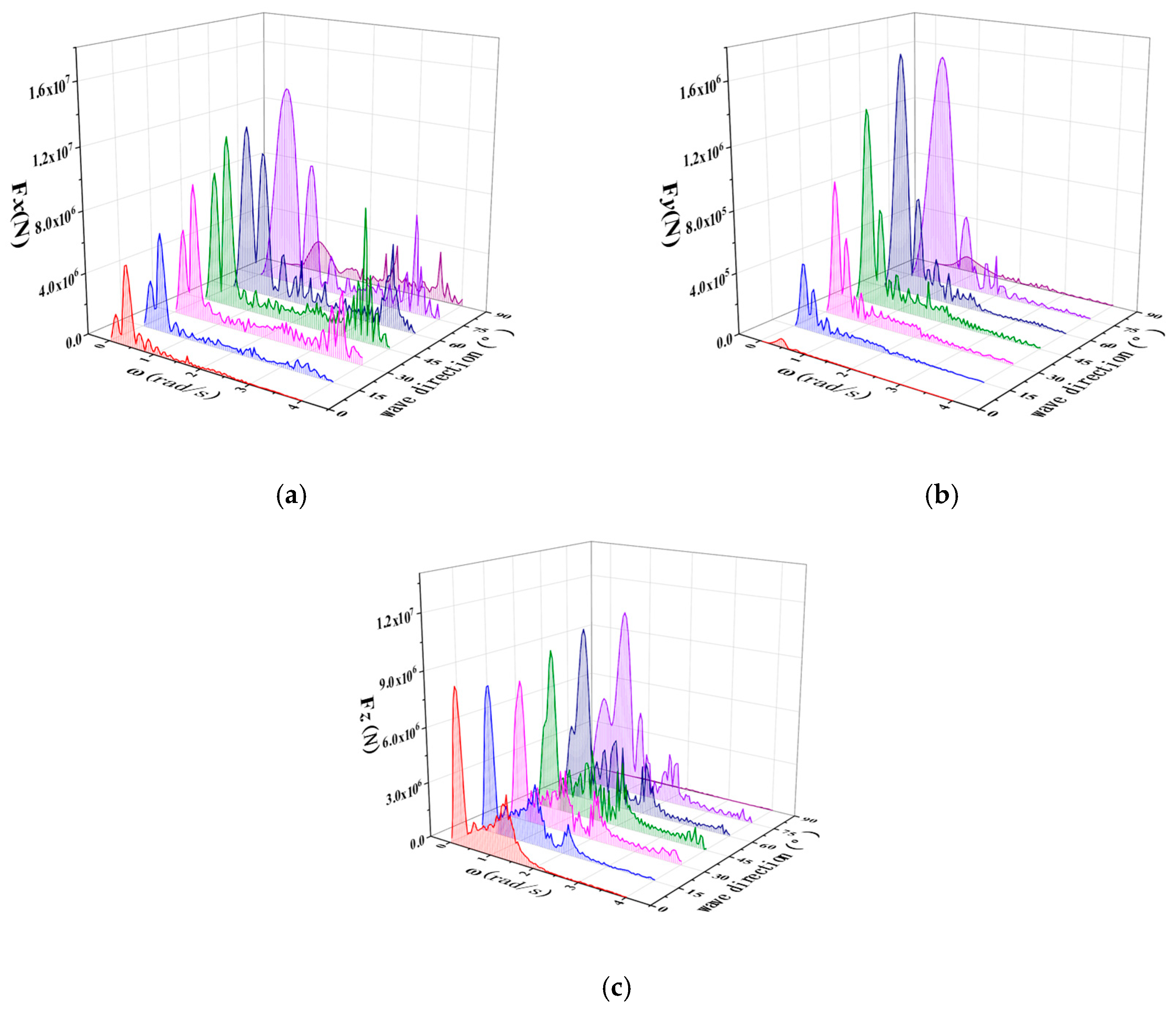
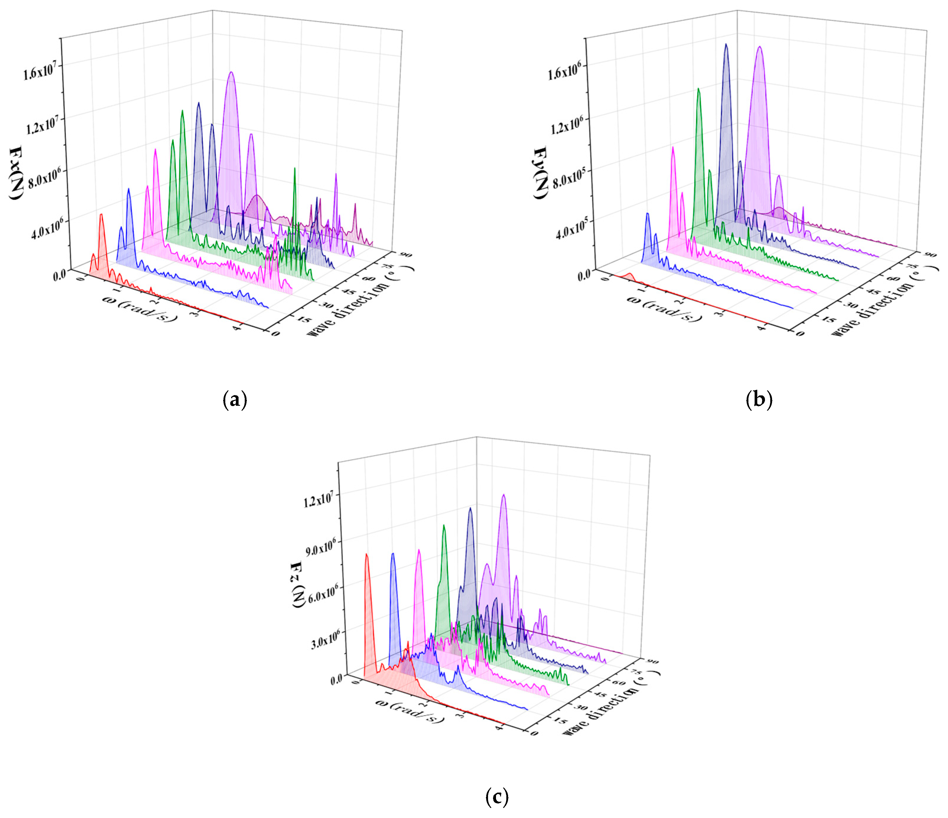
4.1. Load Response Analysis of Connectors
4.2. Short-Term Prediction
5. Conclusions
Author Contributions
Funding
Institutional Review Board Statement
Informed Consent Statement
Data Availability Statement
Conflicts of Interest
References
- Pérez-Díaz, P.; Martín-Dorta, N.; Gutiérrez-García, F.J. Construction labour measurement in reinforced concrete floating caissons in maritime ports. Civ. Eng. J. 2022, 8, 195–208. [Google Scholar] [CrossRef]
- Shi, Q.; Xu, D.; Zhang, H. Design of a Flexible-Base Hinged Connector for Very Large Floating Structures. In Proceedings of the ASME 2018 37th International Conference on Ocean, Offshore and Arctic Engineering, Madrid, Spain, 17–22 June 2018. [Google Scholar]
- Safari Ghaleh, R.; Aminoroayaie Yamini, O.; Mousavi, S.H.; Kavianpour, M.R. Numerical Modeling of Failure Mechanisms in Articulated Concrete Block Mattress as a Sustainable Coastal Protection Structure. Sustainability 2021, 13, 12794. [Google Scholar] [CrossRef]
- Wang, D.A.; Ronald Riggs, H.; Cengiz Ertekin, R. Three-Dimensional Hydroelastic Response of a Very Large Floating Structure International. J. Offshore Polar Eng. 1991, 1, 307–316. [Google Scholar]
- Riggs, H.R.; Ertekin, R.C.; Mills, T.R. Impact of stiffness on the response of a multimodule mobile offshore base. Int. J. Offshore Polar Eng. 1999, 9, 126–133. [Google Scholar]
- Yu, L.; Li, R.P.; Shu, Z. Dynamic responses of Mobile Offshore Base connectors. China Ocean Eng. 2003, 17, 469–479. [Google Scholar]
- Yu, L.; Li, R.P.; Shu, Z. A numerical and experimental study on dynamic responses of MOB connectors. In Proceedings of the 14th International Offshore and Polar Engineering Conference (ISOPE 2004), Toulon, France, 23–28 May 2004; pp. 636–643. [Google Scholar]
- Li, Z.W.; Ding, J.; Tian, C.; Wang, Z.; Ma, X.Z.; Wu, Y. Numerical study on hydroelastic responses of very large floating structures in variable seabed bathymetry. In Proceedings of the 2nd Conference of Global Chinese Scholars on Hydrodynamics (CCSH’2016), Wuxi, China, 11–14 November 2016; pp. 777–785. [Google Scholar]
- Yang, P.; Li, Z.W.; Wu, Y.S.; Wen, W.; Ding, J.; Zhang, Z. Boussinesq-Hydroelasticity coupled model to investigate hydroelastic responses and connector loads of an eight-module VLFS near islands in time domain. Ocean Eng. 2019, 190, 106418. [Google Scholar] [CrossRef]
- Ding, J.; Wu, Y.S.; Zhou, Y.; Ma, X.-Z.; Ling, H.J.; Xie, Z. Investigation of connector loads of a 3-module VLFS using experimental and numerical methods. Ocean Eng. 2020, 195, 106684. [Google Scholar] [CrossRef]
- Wu, Y. Hydroelasticity of Floating Bodies; University of Brunel: London, UK, 1984. [Google Scholar]
- Ertekin, R.C. Efficient Method for Hydroelastic Analysis of Very Large Floating Structures. J. Ship Res. 1993, 37, 58–76. [Google Scholar] [CrossRef]
- Kashiwagi, M. Research on Hydroelastic Responses of VLFS: Recent Progress And Future Work. Int. J. Offshore Polar Eng. 2000, 10, 81–90. [Google Scholar]
- Jun, D.; Tian, C.; Wu, Y.; Li, Z. Hydroelastic analysis and model tests of a single module VLFS deployed near islands and reefs. Ocean Eng. 2017, 144, 224–234. [Google Scholar]
- Ding, J.; Wu, Y.; Zhou, Y.; Li, Z.; Tian, C.; Wang, X.; Zhang, Z.; Liu, X. A direct coupling analysis method of hydroelastic responses of VLFS in complicated ocean geographical environment. J. Hydrodyn. 2019, 3, 582–593. [Google Scholar] [CrossRef]
- Watanabe, E.; Utsunomiya, T.; Wang, C.M. Hydroelastic analysis of pontoon-type VLFS: A literature survey. Eng. Struct. 2004, 26, 245–256. [Google Scholar] [CrossRef]
- Wu, Y.; Wang, D.; Riggs, H.R.; Ertekin, R.C. Composite singularity distribution method with application to hydroelasticity. Mar. Struct. 1993, 6, 143–163. [Google Scholar] [CrossRef]
- Fu, S.; Moan, T.; Chen, X.; Cui, W. Hydroelastic analysis of flexible floating interconnected structures. Ocean Eng. 2007, 34, 1516–1531. [Google Scholar] [CrossRef]
- Loukogeorgaki, E.; Michailides, C.; Angelides, D.C. Hydroelastic analysis of a flexible mat-shaped floating breakwater under oblique wave action. J. Fluids Struct. 2012, 31, 103–124. [Google Scholar] [CrossRef]











| Physical Quantity | Value |
|---|---|
| Length (m) | 200 |
| Breadth (m) | 50 |
| Depth (m) | 9.5 |
| Draught (m) | 5 |
| Center of gravity (m) | (100, 0, 6.17) |
| Mode Type | Frequency (Hz) | |
|---|---|---|
| Vertical bending mode | 2-node | 0.00 |
| 3-node | 0.53 | |
| 4-node | 0.80 | |
| 5-node | 1.45 | |
| Torsional mode | 1-node | 0.53 |
| 2-node | 1.50 | |
| 3-node | 1.83 | |
| Horizontal bending mode | 2-node | 0.58 |
| 3-node | 1.75 | |
| Type | C1-Fx (MN) | C1-Fy (MN) | C1-Fz (MN) | |
|---|---|---|---|---|
| Wave Direction | ||||
| 0.0 | 1.18 | 0.02 | 1.83 | |
| 15.0 | 1.28 | 0.10 | 1.92 | |
| 30.0 | 2.88 | 0.21 | 2.12 | |
| 45.0 | 6.47 | 0.43 | 2.56 | |
| 60.0 | 8.26 | 0.69 | 6.62 | |
| 75.0 | 13.69 | 1.63 | 7.89 | |
| 90.0 | 2.14 | 0.11 | 0.04 | |
Disclaimer/Publisher’s Note: The statements, opinions and data contained in all publications are solely those of the individual author(s) and contributor(s) and not of MDPI and/or the editor(s). MDPI and/or the editor(s) disclaim responsibility for any injury to people or property resulting from any ideas, methods, instructions or products referred to in the content. |
© 2023 by the authors. Licensee MDPI, Basel, Switzerland. This article is an open access article distributed under the terms and conditions of the Creative Commons Attribution (CC BY) license (https://creativecommons.org/licenses/by/4.0/).
Share and Cite
Wang, S.; Gu, X.; Geng, Y.; Chen, Y.; Ding, J.; Zhang, S.; Xu, L. Research on the Connector Loads of a Multi-Module Floating Body with Hinged Connector Based on FMFC Model. Appl. Sci. 2023, 13, 6212. https://doi.org/10.3390/app13106212
Wang S, Gu X, Geng Y, Chen Y, Ding J, Zhang S, Xu L. Research on the Connector Loads of a Multi-Module Floating Body with Hinged Connector Based on FMFC Model. Applied Sciences. 2023; 13(10):6212. https://doi.org/10.3390/app13106212
Chicago/Turabian StyleWang, Siyu, Xuekang Gu, Yanchao Geng, Yuchao Chen, Jun Ding, Songlin Zhang, and Lingyun Xu. 2023. "Research on the Connector Loads of a Multi-Module Floating Body with Hinged Connector Based on FMFC Model" Applied Sciences 13, no. 10: 6212. https://doi.org/10.3390/app13106212
APA StyleWang, S., Gu, X., Geng, Y., Chen, Y., Ding, J., Zhang, S., & Xu, L. (2023). Research on the Connector Loads of a Multi-Module Floating Body with Hinged Connector Based on FMFC Model. Applied Sciences, 13(10), 6212. https://doi.org/10.3390/app13106212
