Next Article in Journal
Experimental Analysis of the Behaviour of Piled Raft Foundations in Loose Sand
Previous Article in Journal
Detectability of Subsurface Defects in Polypropylene/Glass Fiber Composites Using Multiple Lock-In Frequency Modulated Algorithms
 
 
Font Type:
Arial Georgia Verdana
Font Size:
Aa Aa Aa
Line Spacing:
Column Width:
Background:
Article

Adhesive Bonding of an Aluminum Alloy with and without an Oxide Layer in Atmospheres with Different Oxygen Contents

Institute of Assembly Technology, Leibniz University Hannover, An der Universität 2, 30823 Garbsen, Germany
*
Author to whom correspondence should be addressed.
Appl. Sci. 2023, 13(1), 547; https://doi.org/10.3390/app13010547
Submission received: 7 December 2022 / Revised: 25 December 2022 / Accepted: 29 December 2022 / Published: 30 December 2022

Abstract

Aluminum surfaces in a normal atmosphere are always coated with a native oxide layer. To prevent a new layer from forming after this oxide layer has been removed, an environment without oxygen must be created. This work uses a new method of doping an inert gas atmosphere with highly reactive silane to ensure technical freedom from oxygen. The influence of the surrounding atmosphere and the influence of the oxide layer on the tensile strength of an aluminum-aluminum joint are investigated. For this purpose, 2-component adhesives are used whose curing mechanisms are fundamentally not based on the reaction with the surrounding atmosphere. The tests are carried out in normal, pure argon, and an oxygen-free argon/silane atmosphere. The experiments show that the surrounding atmosphere influences the strength of the bonded joint. Compared to the oxidized surfaces, the joints of the deoxidized surfaces show a higher tensile strength under constant ambient conditions.

1. Introduction

In assembly technology, established joining technologies are screwing, riveting, welding or soldering. Adhesive bonding is replacing these more and more due to its many advantages, such as the possibility of joining hybrid joints, a reduction in weight and cost, and an even distribution of stress within the materials to be joined [1,2]. Furthermore, an adhesive bonding process is adaptable and tolerance compensating. Complex geometries can be bonded without great effort, and both small surfaces and large components can be securely joined with a well-designed process. The adhesive layer can also have additional functional properties. For example, it can have a vibration-damping, corrosion-inhibiting or electrically or thermally conductive or insulating effect [3,4,5]. The challenge with bonded joints is that bonding is a complex process that depends on many parameters and have to be designed optimally for each process. In addition to choosing an adhesive suitable for the substrate, parameters such as the adhesive gap, the contact pressure, the surrounding atmosphere and, above all, suitable pretreatment of the substrate surfaces are decisive for the strength of a bond [3,6,7,8,9,10].
For industrial applications, aluminum is a widely used material that is frequently bonded. Areas of application include the automotive or aerospace industries, where high demands are placed on the bonded joint [11,12,13,14]. After the manufacturing process, the aluminum surface is covered by a complex layer, which consists of impurities such as residual lubricants and residues from the manufacturing process [11]. Since this layer forms a weak boundary layer that reduces the cohesive strength of the bond, the surface must be cleaned before bonding. Due to the high oxygen affinity of aluminum, an oxide layer (Al2O3) about 1–2 nm thick forms in the air within a few nanoseconds, on the surface of which hydrated oxides and hydroxides are present, which act as bonding partners for the adhesive [15]. In practice, the surface of the aluminum is pretreated for successful bonding. A variety of pretreatment methods is used for this purpose [10,16,17,18]. Most of them are complex multi-stage processes. The most common method is a sequence of mechanical abrasion, vapor degreasing and alkaline cleaning. However, since the adhesion and durability of bonded joints with mechanically treated and alkaline cleaned substrates are not optimal, and the structure and properties of the aluminum oxide layer are critical to the effects on adhesion, a targeted build-up of a synthetic aluminum oxide layer is critical to the quality of the bonded joint [17]. The most common chemical treatments for building a suitable aluminum oxide layer are based on chromium-sulfuric acid etching, in which the substrate is immersed in a solution of sulfuric acid and potassium dichromate [19]. Since these are costly, time-consuming and environmentally harmful processes, the question of a possible alternative arises [20]. The approach investigated in this work refers to the complete bonding of aluminum substrates without an intervening oxide layer and without the use of environmentally harmful chemicals [21]. The effect of different oxide layer thicknesses has been previously considered both in theory and in practice [16,22], but what causes complete removal of the oxide layer has not been investigated due to the large effort required to create an oxygen-free atmosphere. In this study, an oxygen-free atmosphere is created by the rather new method of doping an inert gas atmosphere with silane. Deoxidation, in this case by mechanical grinding, in a technically oxygen-free environment, prevents the reformation of the oxide layer and allows the bonding of pure aluminum. Thus, if the bond between the substrate and the adhesive layer is successful, the strength-limiting factor of a native aluminum oxide layer is quickly and easily eliminated. In the future, bonded joints with the potential for higher functional properties could be obtained by bonding without intervening oxide layers and without significant strength degradation. Before further investigations are carried out, experiments concerning the quality of the bonded joint are performed. To determine the influence of the oxide layer on the bonded joint, the following tensile strength tests are performed.

2. Materials and Methods

The bonding tests investigate two conditions. On the one hand, the influence on the curing process of the ambient atmosphere concerning the oxygen concentration is investigated. On the other hand, the influence of the metal oxide layer on the bond is examined. For this purpose, the ambient conditions are varied, and bonding is carried out with and without an intermediate oxide layer (see Figure 1). The tensile strength of the butt joints is then measured according to DIN EN 15870 [23].

2.1. Oxygen-Free Atmosphere

In order to be able to carry out tests on the influence of the metal oxide layer on a bond, it must be ensured that the test environment can be used technically free of oxygen. Various methods are available for this purpose: the contact point can be kept free of oxygen locally, or the individual process step can be placed in an oxygen-free environment. Since the bonding process, the specimen preparation, and the subsequent strength tests are to take place in an oxygen-free environment, using a glove box is a suitable and simple method as sufficient test space is available [24]. In this case, the entire process takes place entirely in an oxygen-free environment. A consideration for the influence on the strength is thus ensured for each environment.
An indicator of the oxygen content is the oxygen partial pressure, which represents the proportion of oxygen in the total pressure of the gas mixture. A common method for reducing the partial pressure of oxygen in a glove box is to create a vacuum using a vacuum pump. However, the generation of low oxygen partial pressures, as is the case in the technically producible ultra-high vacuum (UHV), is an energy-intensive and time-consuming process with correspondingly high-priced equipment. In addition, neither vacuum pumps nor standard gas purification systems achieve the low oxygen partial pressures required to bond a pure metal surface. Conventional methods are, therefore, not practical.
In the applied method, two steps enable an oxygen-free process environment in a commercial glovebox. In the first step, the air in the glove box is displaced by rinsing the box with inert gas argon. Since argon is not technically sufficient to completely eliminate oxygen, a mixture of argon doped with 1% silane is added to the inert gas atmosphere. In this low concentration, the highly reactive silane is harmless and unproblematic to handle. Silane, as a highly reactive gas, reacts with the residual oxygen contained in the inertgas (specified by the manufacturer < 2 ppmv) according to Equation (1) to form amorphous silicon dioxide SiO2 and water H2O.
SiH4 + 2O2 → SiO2 + 2H2O
This reaction gives rise to oxygen partial pressures of less than 10−15 mbar at ambient pressure, which is adequate to oxygen partial pressures in extremely high vacuum (XHV). In comparison, the oxygen partial pressure in the technically producible UHV is many orders of magnitude higher, with values between 10−7 and 10−1 mbar. Table 1 shows the times required for forming a monolayer of oxide. It is noticeable that processing of the pure metal layer can only be assumed for the XHV-adequate atmosphere. From a kinetic point of view, there is thus complete freedom from oxygen. For atmospheres with a higher oxygen partial pressure, it has to be assumed that oxide has already formed. A detailed description of the mechanism of silane for generating an oxygen-free environment and its use in the field of soldering can be found in the paper by Holländer et al. [21].
Since requirements such as free handling and an unrestricted view of the complete test environment are ensured, the glove box GS MEGA Line is used as a flushing box with pressure maintenance from the company GS GLOVEBOX Systemtechnik GmbH for providing the oxygen-free test environment (see Figure 2).
The glove box used is operated with an overpressure of approx. 2.5 mbar for product protection. The gas is introduced into the glove box via a gas curtain to ensure good atmosphere mixing. A fixed fan on the glove box’s ceiling and a portable fan further enhance the mixing and ensure that the residual oxygen or moisture comes into contact with the silane completely and reacts off. A vacuum lock is available for introducing test material, tools or similar into the glove box. It can be cleaned by alternating evacuation and flooding with pure inert gas or gas from the glove box. In addition to the vacuum lock, a PMMA lock is available. A different environment can be created quickly and easily independently of the atmosphere in the glove box, for example, by the targeted addition of oxygen or moisture. The glove box has three gloves on each of two sides to allow access from all sides without much restriction.
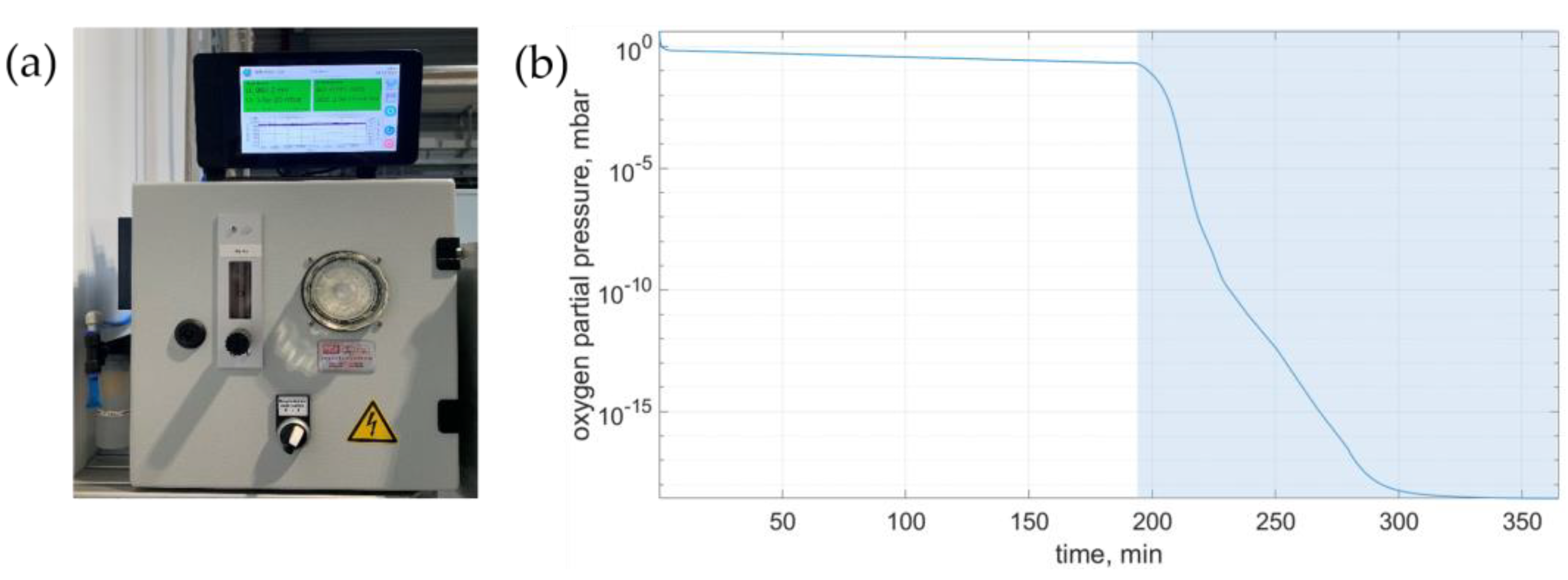
The oxygen partial pressure in the glovebox is measured via a lambda sensor embedded in a metal housing. The sample gas flows past the sensor with a diaphragm pump. Since the sample gas can contain silicon dioxide particles, a filter is connected upstream of the measuring point. The current value is shown directly on display. An illustration of the measuring unit is shown in Figure 3a. Figure 3b shows the progression of the oxygen partial pressure or the oxygen content against time. Silane is added from about a time of 200 min. The oxygen partial pressure drops steadily until, after about 100 min, a value of about 10−19 mbar is reached. The values achieved are thus once again below the limit of 10−15 mbar that applies to XHV. The formation of a monolayer aluminum oxide slows down again compared to the values given in Table 1 for an XHV-adequate environment.

2.2. Adherends

Cylindrical specimens made of aluminum alloy AlMg4.5Mn are used for the strength tests of the bonded joints. These are shown in Figure 4. Specimen heads with a bonding area of 113.1 mm2 are screwed onto a specimen holder using an M7 fine thread. Subsequently, the entire sample can be hooked into the tensile testing machine. The use of screw-on specimen heads minimizes material consumption and, due to the low height of 10 mm, allows further examinations, for example, with the XPS or SEM.

2.3. Adhesives

Three different commercially available adhesive types were investigated based on an epoxy (Scotch-Weld DP 410), a polyurethane (Scotch-Weld DP 610) and an acrylate (Scotch-Weld DP810). All adhesive systems are 2-component adhesives whose curing is not directly dependent on the environment but on the reaction of the individual components. The adhesives were processed at room temperature for all investigations.

2.4. Bonding Mould

For the cylindrical specimens, a bonding mould was developed based on DIN EN 15870. Figure 5 shows it in the empty state, with coaxially aligned specimens and as a schematic illustration with labels. DIN EN 15870 specifies that the adhesive emerging from the bond line must be able to drain off freely, which is ensured by a gap in the bonding mould. To ensure the coaxial alignment of the parts to be joined, there is a recess in the bonding mould with guide edges parallel to each other. The specimens are placed on these so that they are coaxially aligned. Holders with round recesses in the diameter of the specimens are then placed on the specimen bodies to prevent them from slipping during the bonding and curing process. These holders are placed on the bonding mould with the aid of magnets. A locking pin ensures constant contact pressure. By closing this locking pin, the specimens are pressed against one another with a force of 10 N.

2.5. Tensile Strength

A special model of the Double Column Universal Tensile Machine RL-DTT-A from rycobel nv is available for tensile strength testing. The model is designed for tensile tests up to 10 kN. For easy and fast handling inside the glove box, the tensile testing machine is equipped with chuck grips of the company Thümler GmbH into which the adhesive specimens have to be hooked. Therefore, a complex and space-intensive fixture such as a pneumatic grip is unnecessary. The tensile testing machine and specimen holder can be seen in Figure 6. The tensile strengths were determined according to DIN EN 15870, which specifies a minimum sample size of five tensile specimens, but this was increased to eight tensile specimens.

2.6. Experimental Procedure

Before surface preparation, the fabricated aluminum specimens were cleaned with acetone and a lint-free cloth. To achieve a comparable initial surface condition for all atmospheres, the surfaces were sanded with P280 grit sandpaper. The result is an aluminum surface with an average arithmetic roughness of 1.1 ± 0.1 µm, which was measured in all atmospheres using the roughness measuring device MarSurf PS 10 from Mahr GmbH. The values of the adherends in individual atmospheres with and without oxide layer did not differ within the standard deviation and were therefore given as one mean value. The surfaces were then cleaned again with a lint-free cloth to remove any grinding residues. To prevent solvent contamination of the atmosphere, cleaning with acetone after grinding was not carried out. The sample heads were then screwed onto the sample holders and one side was placed in the bonding mold. A drop of the respective adhesive was placed on the bonding surface of the opposite side. This side was also placed in the bonding mould, the magnetic holders were placed on top, and then the locking pin was closed. To ensure that curing was complete, a curing time of seven days was observed in accordance with the manufacturer’s data sheets. The specimens were then hooked into the tensile testing machine, and a tensile test to failure was performed.
Eight pairs of specimens were tested for each of the different atmospheres. For the normal atmosphere, the specimens were ground, bonded and tested for tensile strength. For the argon and argon/silane atmospheres, two sets of tests were performed in each case. On the one hand, it was grounded outside the box to allow the formation of an oxide layer. On the other hand, it was grounded inside the glove box at the respective atmosphere. For the argon atmosphere, it is assumed that an oxide layer is formed because sufficient oxygen is present. For the argon/silane atmosphere, it is assumed that the oxide layer is removed by grinding and that no new oxide layer can form either due to the low oxygen partial pressure.

3. Results and Discussion

The results for the tensile strength tests of three different adhesives with different ambient atmospheres with and without intermediate oxide layer are shown in the Figure 7, Figure 8 and Figure 9.
In the case of the epoxy resin-based adhesive Scotch-Weld DP 410, it is noticeable that the results for the standard atmosphere are the lowest at around 31 MPa. The values for bonding in an argon atmosphere, as well as for the argon/silane atmosphere without an oxide layer, are the highest, all at about the same level of just under 48 MPa. Only the results for the tests in an argon/silane atmosphere with intermediate oxide layers are clearly below this value with about 35 MPa, but still slightly higher than the values for the normal atmosphere. For the DP 410 adhesive, the manufacturer only gives the shear strength, which is 25 MPa for roughened aluminum surfaces. However, since tensile strengths are generally higher than shear strengths, the values cannot be compared with those of the manufacturer. Since, to the authors’ knowledge, no studies of bonding without an oxide layer have been performed by other researchers, unfortunately no comparison with previous results can be discussed here.
The polyurethane-based adhesive Scotch-Weld DP 610 generally achieves lower tensile strengths as shown in Figure 8. The average tensile strength values for this adhesive are between 14 and 22 MPa. The values for the normal atmosphere are also lower for this adhesive than for the other atmospheres. The results in argon atmosphere oxidized and deoxidized, as well as the results for argon/silane atmosphere oxidized, are roughly on a level with values between 16 and 18 MPa, taking into account the standard deviation. Only the values for the deoxidized samples in the argon/silane atmosphere reach higher values, around 22 MPa. Thus, the tensile strengths for the deoxidized specimens are more than 50% higher than those in normal atmosphere.
For the adhesive Scotch-Weld DP 810 based on acrylate resins the results for the tensile strength are shown in Figure 9. Values for the normal atmosphere and the argon atmosphere reach approximately similar about 35 MPa when oxidized and deoxidized. Here the strengths in the normal atmosphere also reach slightly lower values than in the argon atmosphere. The values for the argon/silane atmosphere are significantly lower, with strengths for the oxidized samples of 26 MPa and slightly higher strengths of 28 MPa for the deoxidized samples.
Concerning the different atmospheres, it can be summarized that the oxygen-free argon/silane atmosphere is the only atmosphere in which no new oxide layer can form after successful deoxidation of the surface. Since determining the oxide layer thickness in the glove box has not been possible, successful removal of the oxide layer by mechanical grinding cannot be proven. However, at least the different tensile strengths for the samples ground outside and inside the argon/silane atmosphere indicate that the removal of the oxide layer was successful in the oxygen-free argon/silane atmosphere. In comparison, at least for the values in pure argon atmosphere, no differences were observed for the samples ground outside and inside the glovebox. This was to be expected, since a new oxide layer forms so quickly after deoxidation, even in argon atmosphere, that this has no effect on tensile strength. Despite all this, differences in tensile strength can already be seen in the comparison between the adhesive specimens in the normal atmosphere and the pure argon atmosphere. Since argon is an inert gas that cannot react with the adhesive, the atmosphere must have a different effect on the bond. The difference is particularly large for the epoxy-based adhesive. One possible explanation here is the reduced humidity of the inert gas atmosphere, which is 3 ppm according to the manufacturer’s specification. It is known that resins, such as epoxy resins, have hydrophilic groups, which means that they attract water molecules. This accelerates the reaction, which in turn leads to a reduced degree of crosslinking, which promotes failure at lower tensile strengths. A comparison to work by other researchers on the effect of moisture on bonding also shows lower tensile strengths with increased moisture levels [3,25,26]. All three adhesives have in common that the values in an argon/silane atmosphere with intermediate oxide layer were below those in which the oxide layer was removed before bonding. Therefore, the bonding of pure metal surfaces has a fundamentally positive effect on the adhesive behavior of these adhesives. However, no generally valid statement can be made concerning the tensile strengths in the different ambient atmospheres since not only the environment plays a role here, but above all, the adhesive.
When considering the different adhesives, it should be noted that each adhesive is based on a different bonding mechanism with a different type of bond to the surface. For epoxy adhesives, an oxygen-reduced atmosphere positively affects the strengths. A high level of cohesive failure can be seen for fracture surfaces of the adherends with tensile strengths of about 50 MPa. This indicates that the maximum tensile strength of the adhesive has been reached, and therefore no statements can be made about actual final strengths.
A reduced-oxygen environment also has a positive effect on the tensile strength of polyurethane-based adhesives. It is particularly noteworthy that the deoxidized surface exhibits the highest strengths.
The surrounding atmosphere also influences the tensile strengths of adhesives based on acrylates. However, it is noticeable that the argon atmosphere still provides similar values to the normal atmosphere, but the oxygen-free atmosphere leads to conjunctions with lower strengths.
Since it is unclear which mechanism thoroughly explains the adhesion between metal and substrate, various theories attempt to describe this phenomenon. A comprehensive explanation is beyond the scope of this publication, so only the theories describing adhesion are mentioned here: mechanical, adsorption, electrostatic and diffusion theory [20,27]. However, different theories seem more appropriate for certain substrate-adhesive combinations than others. For a bond between aluminum and an epoxy-based adhesive, it is known that a mechanical and adsorption theory account for most of the adhesion. For the bonding of aluminum and epoxide adhesives it is also known that the oxide layer, due to the presence of a hydrated oxide surface, could be advantageous for adhesion systems because it enhances the wetting of metal surfaces by epoxies and other polar resins [28]. All the more positive is the fact that even without an intermediate oxide layer, for selected adhesives similarly high and even higher strengths can be achieved than with an oxide layer.

4. Conclusions

This work investigated the influence of an oxygen-free atmosphere on an adhesive bond between aluminum specimens. The following conclusions can be drawn.
  • The ambient atmosphere influences the tensile strength of aluminum-aluminum joints bonded with 2-component adhesives. Depending on the adhesive used, the oxygen-free atmosphere increases (adhesives based on epoxy and polyurethane) or decreases (adhesives based on acrylate) in tensile strength. Increases in tensile strength of up to 58% compared to the normal atmosphere are achieved.
  • Bonding deoxidized substrate surfaces lead to an increase in the strength of the bonded joint compared to bonding oxidized substrate surfaces under constant ambient conditions. A pure consideration of the difference between oxidized and deoxidized is only carried out for the argon/silane atmosphere, since it has already been shown that the atmosphere also has an influence on the strength. Here, increases in tensile strength of between 7% and 38% were achieved for the three adhesives investigated.
For the future, interfacial investigations on the exact bonding mechanism of the adhesive to the substrate surface are planned in order to be able to make a statement and, in the best case, a prediction about the strength to be achieved. Furthermore, XPS measurements are carried out to prove that the oxide layer can be completely removed by grinding. Since these measurements take place in UHV, an oxygen-free sample transport must first be developed so that an oxide layer does not already form during sample transport.
Subsequently, based on the results of this work, as far as the strengths of the bonded joints are concerned, investigations into a possible improvement of the functional properties are to be carried out. Here, the thermal and electrical conductivity without an intermediate oxide layer will be investigated.

Author Contributions

Conceptualization, S.G.; methodology, S.G.; formal analysis, S.G.; investigation, S.G.; data curation, S.G.; visualization, S.G.; writing—original draft preparation, S.G.; writing—review and editing, A.R.; supervision, A.R.; project administration, A.R.; funding acquisition, A.R. All authors have read and agreed to the published version of the manuscript.

Funding

This research was funded by the Deutsche Forschungsgemeinschaft (DFG, German Research Foundation)—Project-ID 394563137—SFB 1368.

Institutional Review Board Statement

Not applicable.

Informed Consent Statement

Not applicable.

Data Availability Statement

The data is stored in the CKAN repository of the SFB 1368 and is available upon reasonable request.

Acknowledgments

The authors would like to thank the colleagues of subproject B04 of the SFB 1368 for the productive discussions about the experimental environment. Likewise, the authors would like to thank the colleagues of subproject S01 of SFB 1368 for developing and providing the oxygen measurement.

Conflicts of Interest

The authors declare no conflict of interest.

References

  1. Maggiore, S.; Banea, M.D.; Stagnaro, P.; Luciano, G. A Review of Structural Adhesive Joints in Hybrid Joining Processes. Polymers 2021, 13, 3961. [Google Scholar] [CrossRef] [PubMed]
  2. Amancio Filho, S.T.; dos Santos, J.F. (Eds.) Joining of Polymer-Metal Hybrid Structures: Principles and Applications, 1st ed.; John Wiley & Sons, Inc.: Hoboken, NJ, USA, 2018. [Google Scholar]
  3. Borges, C.; Marques, E.; Carbas, R.; Ueffing, C.; Weißgraeber, P.; da Silva, L. Review on the effect of moisture and contamination on the interfacial properties of adhesive joints. Proc. Inst. Mech. Eng. Part C J. Mech. Eng. Sci. 2020, 235, 527–549. [Google Scholar] [CrossRef]
  4. Zhao, Z.; Yi, X.; Xian, G. Fabricating structural adhesive bonds with high electrical conductivity. Int. J. Adhes. Adhes. 2017, 74, 70–76. [Google Scholar] [CrossRef]
  5. Felba, J. Thermally conductive adhesives in electronics. In Advanced Adhesives in Electronics; Elsevier: Amsterdam, The Netherlands, 2011; pp. 15–52. [Google Scholar] [CrossRef]
  6. Kumar, P.; Patnaik, A.; Chaudhary, S. A review on application of structural adhesives in concrete and steel–concrete composite and factors influencing the performance of composite connections. Int. J. Adhes. Adhes. 2017, 77, 1–14. [Google Scholar] [CrossRef]
  7. Adams, R.D. (Ed.) Adhesive Bonding: Science, Technology and Applications, 2nd ed.; Woodhead Publishing: Cambridge, MA, USA; Elsevier: Kidlington, UK, 2021. [Google Scholar]
  8. Drain, K.; Guthrie, J.; Leung, C.; Martin, F.; Otterburn, M. The effect of moisture on the strength of polycarbonate-cyanoacrylate adhesive bonds. Int. J. Adhes. Adhes. 1985, 5, 133–136. [Google Scholar] [CrossRef]
  9. Klemarczyk, P.; Guthrie, J. Advances in anaerobic and cyanoacrylate adhesives. In Advances in Structural Adhesive Bonding; Elsevier: Amsterdam, The Netherlands, 2010; pp. 96–131. [Google Scholar] [CrossRef]
  10. Ebnesajjad, S. Introduction to Surface Preparation and Adhesion. In Handbook of Adhesives and Surface Preparation; Elsevier: Amsterdam, The Netherlands, 2011; pp. 15–18. [Google Scholar] [CrossRef]
  11. Cavezza, F.; Boehm, M.; Terryn, H.; Hauffman, T. A Review on Adhesively Bonded Aluminium Joints in the Automotive Industry. Metals 2020, 10, 730. [Google Scholar] [CrossRef]
  12. Michalos, G.; Makris, S.; Papakostas, N.; Mourtzis, D.; Chryssolouris, G. Automotive assembly technologies review: Challenges and outlook for a flexible and adaptive approach. CIRP J. Manuf. Sci. Technol. 2010, 2, 81–91. [Google Scholar] [CrossRef]
  13. Scarselli, G.; Corcione, C.; Nicassio, F.; Maffezzoli, A. Adhesive joints with improved mechanical properties for aerospace applications. Int. J. Adhes. Adhes. 2017, 75, 174–180. [Google Scholar] [CrossRef]
  14. Bishopp, J. Chapter 5 Aerospace: A pioneer in structural adhesive bonding. In Handbook of Adhesives and Sealants; Elsevier: Amsterdam, The Netherlands, 2005; Volume 1, pp. 215–347. [Google Scholar] [CrossRef]
  15. Gustus, R.; Szafarska, M.; Maus-Friedrichs, W. Oxygen-free transport of samples in silane-doped inert gas atmospheres for surface analysis. J. Vac. Sci. Technol. B Nanotechnol. Microelectron. Mater. Process. Meas. Phenom. 2021, 39, 054204. [Google Scholar] [CrossRef]
  16. da Silva, L.F.; Carbas, R.; Critchlow, G.; Figueiredo, M.; Brown, K. Effect of material, geometry, surface treatment and environment on the shear strength of single lap joints. Int. J. Adhes. Adhes. 2009, 29, 621–632. [Google Scholar] [CrossRef]
  17. Venables, J.; McNamara, D.; Chen, J.; Sun, T.; Hopping, R. Oxide morphologies on aluminum prepared for adhesive bonding. Appl. Surf. Sci. 1979, 3, 88–98. [Google Scholar] [CrossRef]
  18. Saleema, N.; Sarkar, D.; Paynter, R.; Gallant, D.; Eskandarian, M. A simple surface treatment and characterization of AA 6061 aluminum alloy surface for adhesive bonding applications. Appl. Surf. Sci. 2012, 261, 742–748. [Google Scholar] [CrossRef]
  19. ASTM D2674-72; Standard Methods of Analysis of Sulfochromate Etch Solution Used in Surface Preparation of Aluminum. ASTM International: West Conshohocken, PA, USA, 2021.
  20. Lunder, O. Chromate-Free Pre-Treatment of Aluminium for Adhesive Bonding. Doctoral Thesis, Norwegian University of Science and Technology, Trondheim, Norway, 2003. [Google Scholar]
  21. Holländer, U.; Wulff, D.; Langohr, A.; Möhwald, K.; Maier, H.J. Brazing in SiH4-Doped Inert Gases: A New Approach to an Environment Friendly Production Process. Int. J. Precis. Eng. Manuf. Technol. 2019, 7, 1059–1071. [Google Scholar] [CrossRef]
  22. Kumar, S.A.; Sudheer, G. Influence of the oxide layer on the quality of bonding in adhesively bonded metallic structures by ultrasonic guided waves. Int. J. Adhes. Adhes. 2021, 111, 102981. [Google Scholar] [CrossRef]
  23. DIN EN 15870; Klebstoffe–Bestimmung der Zugfestigkeit von Stumpfklebungen. Deutsches Institut für Normung e.V.: Berlin, Germany, 2009.
  24. Ashby, E.C.; Schwartz, R.D. A glove box system for the manipulation of air sensitive compounds. J. Chem. Educ. 1974, 51. [Google Scholar] [CrossRef]
  25. Han, X.; Jin, Y.; Zhang, W.; Hou, W.; Yu, Y. Characterisation of moisture diffusion and strength degradation in an epoxy-based structural adhesive considering a post-curing process. J. Adhes. Sci. Technol. 2018, 32, 1643–1657. [Google Scholar] [CrossRef]
  26. Stark, E.B.; Ibrahim, A.M.; Munns, T.E.; Seferis, J.C. Moisture effects during cure of high-performance epoxy matrices. J. Appl. Polym. Sci. 1985, 30, 1717–1731. [Google Scholar] [CrossRef]
  27. Ebnesajjad, S. Theories of Adhesion. In Surface Treatment of Materials for Adhesive Bonding; Elsevier: Amsterdam, The Netherlands, 2014; pp. 77–91. [Google Scholar] [CrossRef]
  28. Schmidt, R.G.; Bell, J.P. Epoxy adhesion to metals. In Epoxy Resins and Composites II; Dušek, K., Ed.; Springer: Berlin/Heidelberg, Germany, 1986; Volume 75, pp. 33–71. [Google Scholar] [CrossRef]
Figure 1. Schematic representation of the test sequence with different oxygen contents in the environment as well as bonding with and without an intermediate oxide layer and subsequent measurement of the tensile strength.
Figure 1. Schematic representation of the test sequence with different oxygen contents in the environment as well as bonding with and without an intermediate oxide layer and subsequent measurement of the tensile strength.
Applsci 13 00547 g001
Figure 2. Test environment glove box with (1) a vacuum lock, (2) vacuum pump, (3) pressure maintenance by hydraulic acting valve, (4) a transparent PMMA lock, (5) a control box, (6) tensile pressure testing machine, and (7) three gloves on two sides of the glove box.
Figure 2. Test environment glove box with (1) a vacuum lock, (2) vacuum pump, (3) pressure maintenance by hydraulic acting valve, (4) a transparent PMMA lock, (5) a control box, (6) tensile pressure testing machine, and (7) three gloves on two sides of the glove box.
Applsci 13 00547 g002
Figure 3. (a) Illustration of the oxygen measuring unit. (b) Graph of the oxygen partial pressure during silane addition to argon atmosphere from 200 min (blue area).
Figure 3. (a) Illustration of the oxygen measuring unit. (b) Graph of the oxygen partial pressure during silane addition to argon atmosphere from 200 min (blue area).
Applsci 13 00547 g003
Figure 4. (a) Schematic representation of the specimen. (b) Picture of the specimen grips with unfixed specimen head. (c) Picture of the specimen grips with the specimen head screwed on. (d) Picture of two specimen grips coaxially bonded together.
Figure 4. (a) Schematic representation of the specimen. (b) Picture of the specimen grips with unfixed specimen head. (c) Picture of the specimen grips with the specimen head screwed on. (d) Picture of two specimen grips coaxially bonded together.
Applsci 13 00547 g004
Figure 5. (a) Schematic top view (b) Image of the empty bonding device as well as the required equipment (c) Schematic side view (d) Image of the bonding device for coaxial bonding with inserted specimen bodies.
Figure 5. (a) Schematic top view (b) Image of the empty bonding device as well as the required equipment (c) Schematic side view (d) Image of the bonding device for coaxial bonding with inserted specimen bodies.
Applsci 13 00547 g005
Figure 6. (a) Specimen bodies bonded together and hooked into the chuck grips. (b) Universal tensile testing machine in shortened version inside the glovebox.
Figure 6. (a) Specimen bodies bonded together and hooked into the chuck grips. (b) Universal tensile testing machine in shortened version inside the glovebox.
Applsci 13 00547 g006
Figure 7. This diagram shows the tensile strengths for the head pulls of 3M™ Scotch-Weld™ DP 410 (epoxy adhesive) for the different atmospheres (blue: normal atmosphere, red: argon atmosphere, green: SiH4 atmosphere). The light colors represent a deoxidized adhesive surface.
Figure 7. This diagram shows the tensile strengths for the head pulls of 3M™ Scotch-Weld™ DP 410 (epoxy adhesive) for the different atmospheres (blue: normal atmosphere, red: argon atmosphere, green: SiH4 atmosphere). The light colors represent a deoxidized adhesive surface.
Applsci 13 00547 g007
Figure 8. This diagram shows the tensile strengths for the tests of Scotch-Weld™ DP 610 (polyurethane adhesive) for the different atmospheres (blue: normal atmosphere, red: argon atmosphere, green: SiH4 atmosphere). The light colors represent a deoxidized adhesive surface.
Figure 8. This diagram shows the tensile strengths for the tests of Scotch-Weld™ DP 610 (polyurethane adhesive) for the different atmospheres (blue: normal atmosphere, red: argon atmosphere, green: SiH4 atmosphere). The light colors represent a deoxidized adhesive surface.
Applsci 13 00547 g008
Figure 9. This diagram shows the tensile strengths for the tests of Scotch-Weld™ DP 810 (acrylate adhesive) for the different atmospheres (blue: normal atmosphere, red: argon atmosphere, green: SiH4 atmosphere). The light colors represent a deoxidized adhesive surface.
Figure 9. This diagram shows the tensile strengths for the tests of Scotch-Weld™ DP 810 (acrylate adhesive) for the different atmospheres (blue: normal atmosphere, red: argon atmosphere, green: SiH4 atmosphere). The light colors represent a deoxidized adhesive surface.
Applsci 13 00547 g009
Table 1. Time until a monolayer of oxide is formed according to [15].
Table 1. Time until a monolayer of oxide is formed according to [15].
AtmosphereAirInertgasUHVXHV
Oxygen partial pressure209 mbar2 × 10−3 mbar1 × 10−10 mbar<1 × 10−15 mbar
Time~5 ns~500 µs~3 h~34 yrs
Disclaimer/Publisher’s Note: The statements, opinions and data contained in all publications are solely those of the individual author(s) and contributor(s) and not of MDPI and/or the editor(s). MDPI and/or the editor(s) disclaim responsibility for any injury to people or property resulting from any ideas, methods, instructions or products referred to in the content.

Share and Cite

MDPI and ACS Style

Gerland, S.; Raatz, A. Adhesive Bonding of an Aluminum Alloy with and without an Oxide Layer in Atmospheres with Different Oxygen Contents. Appl. Sci. 2023, 13, 547. https://doi.org/10.3390/app13010547

AMA Style

Gerland S, Raatz A. Adhesive Bonding of an Aluminum Alloy with and without an Oxide Layer in Atmospheres with Different Oxygen Contents. Applied Sciences. 2023; 13(1):547. https://doi.org/10.3390/app13010547

Chicago/Turabian Style

Gerland, Sandra, and Annika Raatz. 2023. "Adhesive Bonding of an Aluminum Alloy with and without an Oxide Layer in Atmospheres with Different Oxygen Contents" Applied Sciences 13, no. 1: 547. https://doi.org/10.3390/app13010547

APA Style

Gerland, S., & Raatz, A. (2023). Adhesive Bonding of an Aluminum Alloy with and without an Oxide Layer in Atmospheres with Different Oxygen Contents. Applied Sciences, 13(1), 547. https://doi.org/10.3390/app13010547

Note that from the first issue of 2016, this journal uses article numbers instead of page numbers. See further details here.

Article Metrics

Back to TopTop