Next Article in Journal
Non-Magnetic Circulator Based on a Time-Varying Phase Modulator
Next Article in Special Issue
Nash Equilibrium and Stackelberg Approach for Traffic Flow Optimization in Road Transportation Networks—A Case Study of Warsaw
Previous Article in Journal
The Variation of Surface Shape in the Gas Jet Forming
Previous Article in Special Issue
Multivehicle Point-to-Point Network Problem Formulation for UAM Operation Management Used with Dynamic Scheduling
 
 
Font Type:
Arial Georgia Verdana
Font Size:
Aa Aa Aa
Line Spacing:
Column Width:
Background:
Article

Study on Highway Alignment Optimization Considering Rollover Stability Based on Two-Dimensional Point Collision Dynamics

School of Architecture and Civil Engineering, Xiamen University, Xiamen 361005, China
*
Author to whom correspondence should be addressed.
Appl. Sci. 2023, 13(1), 509; https://doi.org/10.3390/app13010509
Submission received: 24 October 2022 / Revised: 23 December 2022 / Accepted: 29 December 2022 / Published: 30 December 2022

Abstract

In order to reduce the influence of unreasonable road alignment design on vehicle driving safety, a study on road alignment optimization and vehicle driving safety based on two-dimensional point collision dynamics was carried out. First, through the two-dimensional point collision dynamics model, the relationship of the kinematic parameters before and after vehicle collision was deduced. Second, according to the vehicle–road coupling dynamic model analysis after collision, the safety threshold between the radius of the circular curve and the road superelevation was derived by taking vehicle rollover as the critical condition. Next, the road alignment optimization scheme based on vehicle rollover stability after collision was proposed. Finally, the rationality of the optimization scheme was verified by PC-Crash simulation. The simulation results showed that the proposed optimization scheme of the minimum radius and superelevation of the circular curve meets the safety requirements of vehicle rollover. This study optimized the relevant indicators of the road alignment under the premise of ensuring vehicle rollover stability and provides a reference for the improvement and optimization of road alignment design. It also has important guiding significance for the formulation of vehicle driving safety management measures.

1. Introduction

With the rapid development of China’s economy, highway mileage and car ownership has increased year by year, and the steady growth of road construction has provided transportation guarantees for economic development [1]. At the same time, China’s traffic safety situation is grim. According to data released by the National Bureau of Statistics in 2018, the number of traffic accidents in China exceeded 240,000, and the number of traffic accidents involving automobiles accounted for nearly 70% of the total. When an accident occurs on a highway, it can cause significant casualties and economic losses, resulting in road congestion and even paralysis of the traffic system.
Collisions between vehicles are the main types of traffic accidents, and exploration of vehicle crash mechanics can help to analyze the movement of vehicles after collisions and provide a theoretical basis for the formulation of preventive measures. Vera et al. [2] established a rigid-flexible coupling car crash model, divided the energy loss coefficient according to the collision area, and calculated the dynamic parameters before and after the collision. Through a large number of experiments combined with CRASH software, Vangi [3] evaluated the kinetic energy loss at the stage of vehicle collision by semi-empirical methods considering vehicle shape, deformation, collision position, and other factors. In their mechanical analysis of vehicle collision accidents, limited by experimental conditions, it was not feasible to carry out the experiment. Cao Yi et al. [4] proposed a traffic accident reproduction analysis method based on classical mechanics and finite element. Han Yong et al. [5] used the Monte Carlo uncertainty analysis method to assess the level of head injury of electric two-wheeler drivers in a collision accident.
The rational design of highway alignment helps to improve the driving safety of vehicles, and highway alignment optimization has significance for improving the driving safety of the road. Researchers have used BIM, GIS, and other technologies to optimize highway alignments. Zhao Linlin et al. [6] proposed an approach for managing highway alignment in the context of a larger landscape that integrates building information modeling (BIM) and geographic information system (GIS) capabilities. Bongiorno et al. [7] proposed the advantages of a 3D highway alignment optimization algorithm based on the Particle Swarm Optimization method, and its possible implementation in a BIM platform. Nadir et al. [8] developed a comprehensive GIS–GA model that leverages the concept of stations to locate and configure optimal horizontal highway routes based on corridors. Bosurgi et al. [9] proposed an optimization procedure using genetic algorithms (GAs) for selecting the different parameters of the polynomial parametric curve (PPC). Casal et al. [10] proposed a general formulation for optimization of the horizontal road alignment, composed of tangential segments and circular curves suitably connected with transition curves (clothoids). Kobryń [11] proposed an original design method of vertical alignment of road routes. A computer-aided algorithm combined with mathematical theory to optimize highway linearity has become increasingly mature. Sushma et al. [12] proposed the Path Planner Method (PPM), which operates on the principle of the Rapidly Exploring Random Tree (RRT) algorithm to obtain an optimal horizontal alignment. Zhang Chi et al. [13] developed a multi-layer approach to optimize highway design to significantly improve the efficiency and solution quality of the traditional model. Borges et al. [14] proposed the use of genetic algorithms (GAs) for optimizing different global positioning system-based procedures for horizontal roadway alignment extraction. Mohammadi et al. [15] adapted the existing electromagnetism-like meta-heuristic algorithm to solve a three-dimensional highway alignment problem. Mahanpoor et al. [16] found an optimum geometric configuration and developed pavement rehabilitation model to propose the best solution for pavement rehabilitation practices and compute associated costs. Sushma et al. [17] proposed a modified motion-planning based algorithm for developing new horizontal alignments with optimized costs and impacts. Sushma et al. [18] proposed an innovative exploring and exploiting ant colony optimization (E&E-ACO) algorithm with an appropriate point sampling, vertical curve fitting strategies, and an intuitive feasible region identification approach for solving the vertical alignment optimization problem.
In the 1940s, the United States pioneered the design speed of highways, which specified the minimum radius of horizontal curves and their corresponding superelevation, maximum longitudinal slope, and parking visual distance through design speed [19]. However, in the driving of the vehicle, there is a gap between the actual operating speed and the design speed. From the perspective of accident prevention, Australia carries out traffic safety governance and predicts the operating speed of each road section, and the linear design indicators are based on the operating speed [20]. The main focus of road safety design is reasonable alignment and tolerance of the side of the road. Through reasonable road alignment design, the hidden danger of accidents can be reduced, and through forgiving road design [21], the loss resulting from road traffic accidents can be reduced. At present, China takes the design speed theory as the basis for the design of the road alignment; however, the limit value of the road circular curve radius design index may lead to unreasonable road design, and the impact of the road alignment on the driving safety of the vehicle after the collision accident is not considered.
This research was mainly based on the two-dimensional point collision dynamics, which comprehensively consider both plane motion and rotary motion of vehicles. According to the principle of kinematics, the vehicle–road coupling dynamic model analysis after collision was established, and the safety threshold between the radius of the circular curve and the road superelevation under different velocities is derived by taking vehicle rollover as the critical condition. Then, the road alignment optimization scheme, based on vehicle rollover stability after a collision, was proposed. Finally, the rationality of the optimization scheme was verified by PC-Crash simulation.

2. Two-Dimensional Point Collision Dynamics Analysis

2.1. Modeling

The two-dimensional point collision between cars treats the collision area as a point collision to analyze the two-dimensional plane motion and rotational motion before and after the vehicle collision [22]. Figure 1 shows a two-dimensional point collision dynamics analysis model, which is suitable for rear-end collisions and oblique collisions that occur on highways. Compared with the semi-empirical method or experimental simulation to calculate the pre-collision velocity, it is not restricted by experimental conditions, and the analysis model is universal.
The model adopts rigid body kinematic analysis. The motion of the vehicle is decomposed into different collision stages, and its motion trajectory changes from the position of the centroid with time, and the position of the vehicle at each moment is obtained from the simplified plane motion.
Assuming that the accident vehicles are car 1 and car 2, and the centroids of the two vehicles are C1 and C2, respectively, the tangent direction at the collision point is the x-axis and the normal direction is the y-axis, and the plane Cartesian coordinate system is established. The relevant parameters of the model were defined as shown in Table 1.

2.2. Basic Equations

The collision position was analyzed and calculated according to the point collision, the basic equation of the collision stage was established, and the relationship between the velocity before the collision without contact and the separation velocity after the collision was derived.
Taking car 1 as the research object, according to the momentum theorem:
m 1 v 1 x v 10 x = p x
m 1 v 1 y v 10 y = p y
According to the impulse moment theorem of relative to centroid C1:
J 1 ω 1 ω 10 = p x l 1 y + p y l 1 x
Taking car 2 as the research object, according to the momentum theorem:
m 2 v 2 x v 20 x = p x
m 2 v 2 y v 20 y = p y
According to the impulse moment theorem of relative to centroid C2:
J 2 ω 2 ω 20 = p x l 2 y p y l 2 x
There were eight unknowns in the basic equations, and the following assumptions were made about the general two-dimensional point collision mechanics model [23]:
(1)
Elastic recovery conditions: the ability of the body to return to its original shape after a collision of the vehicle.
k = v r x v r 0 x
where k represents the coefficient of elastic recovery at collision point O; vrx represents the relative velocity of two vehicles after a collision in the x-axis direction at the point of collision; and vr0x indicates the relative velocity of the two vehicles before the collision in the x-axis direction at the point of collision.
(2)
Sliding friction conditions: The relative sliding friction coefficient defined in the tangent direction is the ratio of tangential impulse to normal impulse. The μ represents the coefficient of the relative sliding friction at collision point O.
μ = p y p x

2.3. Forward Pass Method Calculates the Speed of the Vehicle after the Collision

Based on the eight equations and eight unknowns of the basic equations and the assumed conditions, the relationship between the velocity and angular velocity of the vehicle after the collision and the vehicle parameters and the collision position and the sliding friction coefficient was derived.
v 1 x = v 10 x 1 m 1 t 1 + k v r 0 x v 1 y = v 10 y μ m 1 t 1 + k v r 0 x ω 1 = ω 10 1 J 1 t 1 + k l 1 y μ l 1 x v r 0 x v 2 x = v 20 x + 1 m 2 t 1 + k v r 0 x v 2 y = v 20 y + μ m 2 t 1 + k v r 0 x ω 2 = ω 20 1 J 2 t 1 + k l 2 y μ l 2 x v r 0 x
where:
v r 0 x = ( v 10 x + ω 10 l 1 y ) v 20 x + ω 20 l 2 y
t = 1 m 1 + 1 m 2 + 1 J 1 l 1 y μ l 1 x l 1 y + 1 J 2 l 2 y μ l 2 x l 2 y
The mass of the accident vehicle and the rotational inertia around the center of mass were obtained through the physical parameters of the vehicle. According to the damage of the accident vehicle, the collision position of the vehicle was judged. The collision point was calculated from the larger position of the deformation caused by the collision as the collision point, and the relative distance between the collision point and the center of mass was calculated by the geometric dimensions of the vehicle.

3. The Relationship between the Motion Characteristics and the Circular Curve Alignment Indicator after Collision

The setting of the circular curve radius and superelevation not only affects the stability of the vehicle during normal driving, but also affects the driving safety of the vehicle after a collision. Under normal circumstances, when the vehicle is driving normally in a straight section, the left and right wheels each bear half of the vertical force. If braking occurs after a collision in the circular curve section, the vehicle is subjected to the lateral action of centrifugal force and inertia force, resulting in the transfer of vertical force on both sides of the tire, and the vehicle is prone to rollover. Reasonable superelevation design provides centripetal force for the vehicle and counteracts some of the centrifugal force.

3.1. Construction of a Vehicle-To-Road Coupling Model after Collision

On the superelevation circular curve section, a spatial cartesian coordinate system with the driving direction along the center line of the road as the X-axis, the cross-sectional direction of the road as the Y-axis, and the normal direction of the road as the Z-axis, was established. The vehicle–road coupling dynamic analysis model of the circular curve section after collision is shown in Figure 2. The angle between the road surface and the horizontal plane is the lateral slope angle θ, the road superelevation is the lateral slope ih = tan θ, and the radius of the flat curve is R. Assuming that the instantaneous velocity of the vehicle after the collision is V, the driver takes braking measures, and the vehicle drives along the turning radius of the circular curve section at the collision point until it stops. There is no secondary collision during the period, and the phase after the collision is a uniform deceleration motion. The braking system of the vehicle is not damaged after the collision. The vehicle is in constant contact with the road surface, and there is a vertical force on the wheels.

3.2. Safety Threshold of the Minimum Radius of the Circular Curve under the Critical Condition of Vehicle Rollover after Collision

The critical condition for vehicle rollover is that the wheels on the inside of the car are supported by zero-forcing on the road surface, and the vehicle is in danger of lateral overturning. The entire vehicle after the collision is regarded as a rigid body, regardless of the influence of the lateral slip angle of the wheel.
Analysis of the force on the vehicle in the z-axis and y-axis directions:
F z = m g c o s θ + F g s i n θ
F y = F g c o s θ m g s i n θ
According to the centrifugal force formula when the vehicle is turning:
F g = m v 2 R
where Fz represents the vertical force (N) of the inner wheel; Fy indicates the lateral force of the inner wheel (N); Fg represents the centrifugal force (N); m indicates the mass of the vehicle (kg); g represents acceleration of gravity based on 9.8 m/s2; θ represents the lateral slope angle (°); v represents the instantaneous velocity (m/s) of the vehicle in the direction of the tangential line of the road surface after the collision; and R represents the radius of the circular curve (m).
In the general two-dimensional point collision analysis model, the plane rectangular coordinate system was established in the tangent direction and normal direction at the collision point, so the instantaneous speed of the vehicle along the tangent direction of the road surface centerline after the collision was as follows:
v v = v 10 x 1 m 1 t 1 + k v r 0 x
Then, the centrifugal force of the vehicle after the collision was as follows:
F g = m v 10 x 1 m 1 t 1 + k v r 0 x 2 R
The type of road studied was a curve with superelevation, the research object was the vehicle after the collision, and the force distance to the outside wheel O of the vehicle was taken.
b 2 m g c o s θ + h m g s i n θ h F g c o s θ + b 2 F g s i n θ F z b = 0
where v10x is the projection (m/s) of the vehicle’s centroid velocity in the normal direction of the collision point before the collision; vr0x is the relative velocity of the two vehicles before the collision in the normal direction of the collision point; b is the wheelbase of the vehicle (m); and h is the centroid height of the vehicle (m).
In a section of a circular curve with superelevation, the critical condition for the lateral overturning of the vehicle after the collision is zero vertical force of the inner wheel.
b 2 G + h G t a n θ h F g + b 2 F g t a n θ = 0
F g = b G + 2 G h i h 2 h b i h
This can be obtained by Formulas (16) and (19).
m v 10 x 1 m t 1 + k v r 0 x 2 R = b G + 2 G h i h 2 h b i h
The safety threshold expression for the minimum radius (Rmin) of the circular curve under the critical condition of vehicle rollover after collision was obtained.
R m i n = m 2 h b i h v 10 x 1 m t 1 + k v r 0 x 2 b G + 2 G h i h
The lateral stability of the vehicle after the collision is related to many factors. The main influencing factors are the parameters of the vehicle, the collision position of the two vehicles, the radius of the circular curve, and the superelevation. In China’s highway engineering technical standards, the minimum radius values of the circular curve radius are determined according to the lateral safety of normal driving of the vehicle. After a collision, a vehicle may not be able to meet lateral safety requirements. If there is a rollover accident on the highway, it will affect the normal operation of the highway, and serious secondary injuries and serial accidents can also occur.

3.3. Lateral Load Transfer Rate

Vehicles can rollover after a crash, and rollover is one of the most dangerous and serious traffic accidents. The methods used to evaluate the rollover of vehicles include the lateral load transfer ratio (LTR), time to rollover (TTR), and the static stability factor (SSF) [24]. In this paper, the lateral load transfer ratio was selected to evaluate the rollover safety of a vehicle after collision, and the vehicle collision occurred on the curve with superelevation. The quasi-static rollover model of the vehicle, as shown in Figure 3, was established.
When the vehicle is driving on a curve or undertaking steering measures due to other circumstances, the vehicle has a lateral acceleration, and the lateral force is generated on the ground for the vehicle. Because the lateral force and centrifugal force are not at the same point of operation, a torque is generated that causes the vehicle to rollover to the outside. In Figure 3, Fzli and Fzri represent the vertical loads on the inner and outer wheels of the vehicle, respectively, and LTR is defined as the ratio between the difference of the vertical load on the inside and outside wheels and the sum of the vertical load on the inside and outside wheels.
LTR = F z l i F z r i F z l i + F z r i
The value of |LTR| ranged from 0 to 1. When the calculated value |LTR| was 1, the vertical load of the wheels on one side of the vehicle was zero, and the vehicle was in a critical state of rollover.
LTR is a dynamic indicator that reflects the risk of vehicle rollover, but there is an error in the actual simulation calculation. According to the calculated value of |LTR|, the vehicle rollover safety was divided into three state classes, as shown in Figure 4.
When 0.8 < |LTR| < 1, the vehicle is in a dangerous state;
When 0.6 < |LTR| ≤ 0.8, the vehicle is in a slightly dangerous state;
When |LTR| ≤ 0.6, the vehicle is in a safe state.

4. Simulation Analysis of Car Crash Accidents in Circular Curved Road Sections

4.1. The Minimum Radius of the Critical Circular Curve for Vehicle Rollover after a Collision

The vehicle model used was the FAW Toyota Corolla, and the vehicle parameters were obtained according to FAW Toyota’s official website. The position of the collision point relative to the centroid was uncertain. The length of the vehicle in the vehicle model was 4.635 m, and the step length of the relative distance between the collision point and the centroid (l1y) was 0.01 m. According to Equation (21), the threshold of the minimum radius of the circular curve was calculated as shown in Table 2, and the minimum value of the calculation result of different collision points was the most unfavorable situation.
The collision position relative to the centroid position was variable, and the length of the established vehicle model was 4.635 m. The step of l1y was set as 0.01 m to calculate the minimum radius of the critical rollover circular curve of the vehicle.
The numerical calculation results showed that when the same superelevation was set, the greater the driving speed before the collision, the gentler curves that are required after the collision of the vehicle to avoid rollover of the car. In the case of the same driving speed before the collision, the smaller the superelevation value, the gentler the curve must be after the collision of the vehicle to avoid car rollover. According to the vehicle collision dynamics theory, the minimum radius of the circular curve under the critical condition of rollover can be calculated, which was in line with the basic principle of taking the minimum radius of the circular curve.
Compared with the design standard of the minimum radius of the circular curve, the minimum radius of the circular curve under the critical condition of rollover after collision of the car is more constructive. For example, the driving speed before the collision was 120 km/h, and the minimum radius calculation value was 607 m in the section with a superelevation rate of 6%, which was smaller than the 710 m in the specification. Too large a radius will sometimes cause unnecessary economic cost, but can also cause a certain degree of trouble for road design and planning, as well as road site construction. For the reconstruction and expansion of accident-prone curves, the road alignment can be optimized by the analysis of rollover safety after vehicle collision.

4.2. Optimization Scheme for the Minimum Radius of Circular Curves

PC-CRASH is an Austrian traffic accident reappearance software for accident analysis. The working process of PC-CRASH is mainly based on the collection, recording, investigation and analysis of the accident scene. The vehicle involved in the accident is pushed back from the termination position after the collision to the collision process, and then back to the running state before the collision to analyze the cause of the accident, and then the responsibility identification is carried out according to relevant laws and regulations. The accident reconstruction technology developed in recent years provides scientific means for accident analysis.
In the PC-Crash simulation platform, the vehicle–road coupling model was established, and the driving speed of the car before the collision was set at 120 km/h, 100 km/h, and 80 km/h, etc. Comparing the numerical calculation results and design standards, a smaller value of the radius of the circular curve was taken at the same superelevation and vehicle driving speed. The linear optimization scheme of the circular curve section is shown in Table 3.

4.3. Simulation Process

Through the general two-dimensional point collision dynamic analysis, the safety threshold of the minimum radius of the circular curve was derived based on the critical condition that the vehicle does not rollover. Due to the particularity of car collision accidents, if the collision test of the car in the prescribed circular curve section is carried out, the experimental equipment and road conditions are not operable and feasible. The process of accident analysis in PC-Crash is mainly based on the collection, recording, investigation, and analysis of the accident scene, and the vehicle involved in the accident is pushed back from the termination position after the collision to the collision process, and then back to the running state before the collision, to analyze the cause of the accident and then determine responsibility according to relevant laws and regulations. Therefore, based on the theoretical analysis of collision dynamics, the vehicle-to-road coupling model was established through PC-Crash software simulation, which is an operable way to verify the rationality of the minimum radius and superelevation optimization scheme of the circular curve.
Firstly, the optimization scheme of the minimum radius and superelevation of the circular curve based on road design standards was proposed, and the corresponding road model was established. Secondly, the vehicle model, body size, mass, tire parameters, dynamic performance parameters, etc., were set, and the road design speed was taken as the driving speed of the vehicle before the collision. The most unfavorable collision position in the numerical calculation was taken as the collision point. The vehicle–road coupling model was established in PC-Crash to conduct the simulation experiment of vehicle collision. Finally, the safety of vehicle after collision was evaluated according to LTR and yaw angular velocity. The simulation process of a vehicle collision accident is shown in Figure 5.

4.4. Analysis of Results

(1)
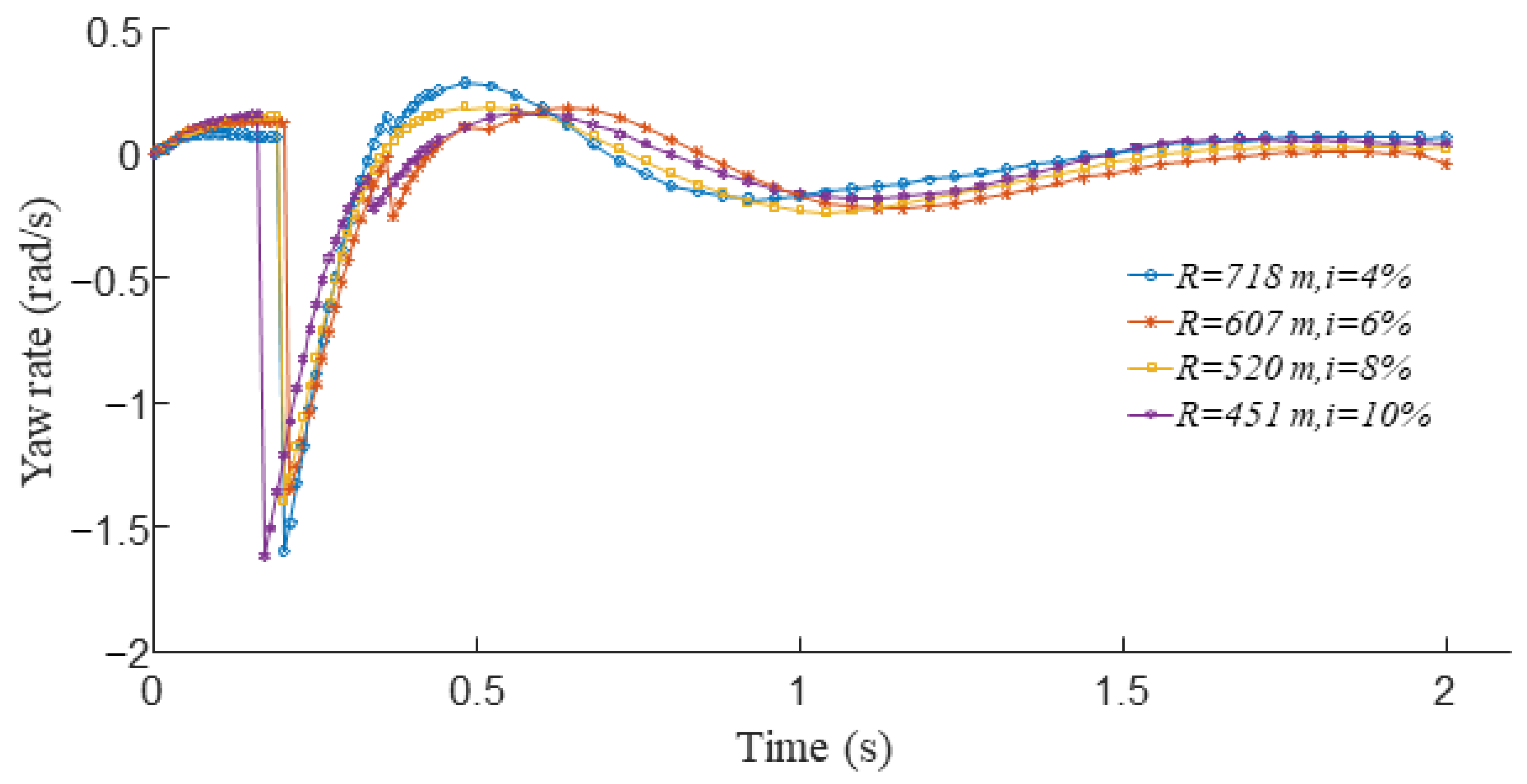
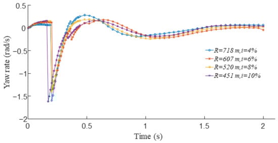
The driving speed before the collision was V10 = 120 km/h, and the superelevation ih was 4%, 6%, 8%, and 10%, respectively, corresponding to the minimum radius of the circular curve of 718 m, 607 m, 520 m, and 451 m, respectively.
(2)
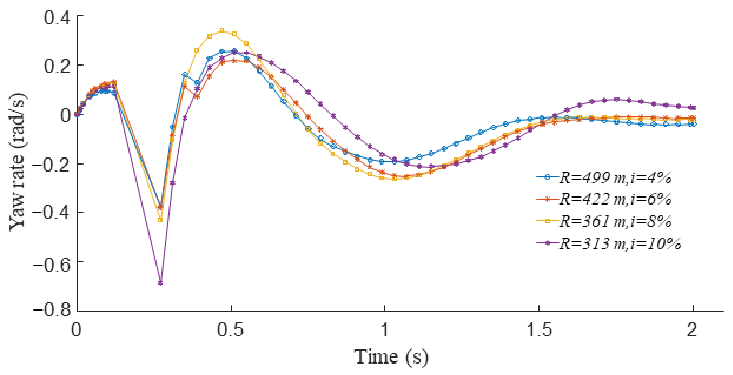
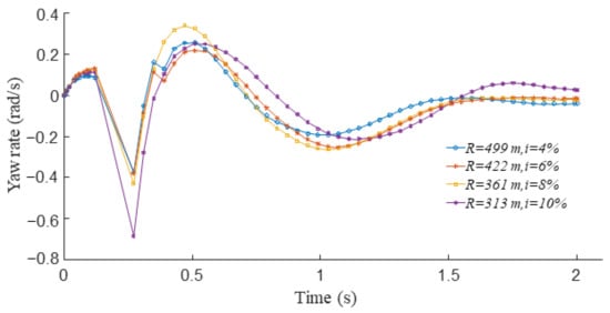
The driving speed before the collision was V10 = 100 km/h, the superelevation ih was 4%, 6%, 8%, and 10%, respectively, and the corresponding minimum radius of the circular curve was 499 m, 422 m, 361 m, and 313 m, respectively.
(3)
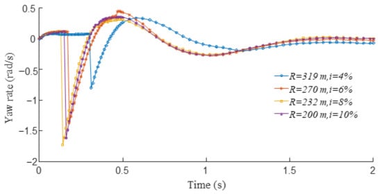
The driving speed before the collision was V10 = 80 km/h, the superelevation ih was 4%, 6%, 8%, and 10%, respectively, and the corresponding minimum radius of the circular curve was 319 m, 270 m, 232 m, and 200 m, respectively.
In the PC-Crash platform, the car crash occurred along the circular curve road segment optimization scheme. The results of LTR and the yaw angular velocity after the vehicle collision are shown in Figure 6, Figure 7, Figure 8, Figure 9, Figure 10 and Figure 11.
As can be seen from Figure 7, Figure 9 and Figure 11, vehicles collided at speeds of 80 km/h, 100 km/h, and 120 km/h. In the collision stage, the yaw angular velocity of the vehicle changed abruptly, and there was a risk of sideslip and tail-flick drift. Lateral instability mainly occurred in the stage of two-vehicle collisions, when the yaw angular velocity of the vehicle changed sharply. The yaw angular velocity can be controlled by the operation stability control system. In the post-collision stage, the yaw angular velocity of the vehicle gradually approaches zero, but lateral instability can also occur. The driver needs to keep calm and take correct control measures to avoid secondary accidents and minimize injuries as much as possible.
It can be seen from Figure 6, Figure 7, Figure 8, Figure 9 and Figure 10 that when a vehicle crashes (about t = 0.2 s), the lateral load transfer rate of the vehicle changes sharply. The lateral load transfer rate is in an extreme state, and the possibility of vehicle rollover is in a relatively dangerous state and a dangerous state. After the collision, LTR will increase to a dangerous state when the vehicle continues to move, and the changes in LTR in the three groups of simulation experiments were similar. In the simulation results, LTR under the three working conditions was less than 1, so the accident vehicle would not rollover. However, at the same time, LTR was also close to 1, so the vehicle was in the dangerous state of rollover, which is consistent with the minimum radius under rollover criticality in the theoretical calculation.
Therefore, when a vehicle crashes, the vehicle–road coupling safety dynamic model of the circular curve section can be established, and the proposed optimization scheme of the minimum radius and superelevation of the circular curve was shown to meet the safety requirements for vehicle rollover.

5. Conclusions

Through the general two-dimensional point collision dynamic analysis of the vehicle, the coupling dynamic model of the vehicle–road after a vehicle collision accident was established, and the safety threshold of the minimum radius of the circular curve under the critical condition of vehicle rollover after the collision was obtained. Additionally, the optimization scheme of the minimum radius of the circular curve was proposed. The circular curve rationality of the optimization scheme was verified by PC-CRASH simulation. This study optimized the relevant indicators of the road alignment from the perspective of vehicle crash mechanics, and provides a reference for the improvement and optimization of road alignment design. It also has important guiding significance for the formulation of vehicle driving safety management measures.

Author Contributions

Conceptualization, X.W., S.F. and L.G.; methodology, L.G.; software, L.G. and S.F.; validation, X.W. and L.G.; formal analysis, L.G.; resources, X.W.; data curation, L.G. and S.F.; writing—original draft preparation, X.W., S.F. and L.G.; writing—review and editing, S.F.; supervision, X.W.; project administration, X.W. All authors have read and agreed to the published version of the manuscript.

Funding

This research was funded by the National Natural Science Foundation of China (Grant Nos.11772277, 51305372), the Open Fund Project of Transportation Infrastructure Intelligent Management and Maintenance Engineering Technology Center of Xiamen City (Grant No. TCIMI201803), and the Project of 2011 Collaborative Innovation Center of Fujian Province (Grant No. 2016BJC019).

Institutional Review Board Statement

Not applicable.

Informed Consent Statement

Not applicable.

Data Availability Statement

Not applicable.

Conflicts of Interest

The authors declare no conflict of interest.

References

  1. Ministry of Transport of the People’s Republic of China. Statistical bulletin of the development of the transportation industry in 2019. China Communications News, 12 May 2020. [Google Scholar]
  2. Vera, C.; Aparicio, F.; Román, J.L.S. Theoretic model for the computer analysis of vehicle collisions. Saf. Sci. 1995, 19, 179–189. [Google Scholar] [CrossRef]
  3. Vangi, D. Simplified method for evaluating energy loss in vehicle collisions. Accid. Anal. Prev. 2009, 41, 633–641. [Google Scholar] [CrossRef] [PubMed]
  4. Cao, Y.; Yang, Z.Z.; Zuo, Z. Analysis method for traffic accident reconstruction based on both classical mechanics and finite element. China Saf. Sci. J. 2014, 24, 42–47. [Google Scholar]
  5. Han, Y.; Xu, J.S.; Shi, L.L.; Gao, X.J.; Qian, Y.B.; Yang, Z. Uncertainty analysis of head injury via reconstruction of electric two-wheeler accidents. China J. Highw. Transp. 2020, 33, 172–180+190. [Google Scholar]
  6. Zhao, L.L.; Liu, Z.Z.; Jasper, M. Highway alignment optimization: An integrated BIM and GIS approach. Isprs. Int. J. Geo Inf. 2019, 8, 172. [Google Scholar] [CrossRef]
  7. Bongiorno, N.; Bosurgi, G.; Carbone, F.; Pellegrino, O.; Sollazzo, G. Potentialities of a highway alignment optimization method in an I-BIM environment. J. Neurosurg. Sci. 2019, 63, 352–361. [Google Scholar] [CrossRef]
  8. Nadir, W.H. GIS aided corridor approach for horizontal highway alignment development using GA. In Proceedings of the 2021 7th International Engineering Conference “Research & Innovation amid Global Pandemic” (IEC), Erbil, Iraq, 24–25 February 2021. [Google Scholar]
  9. Bosurgi, G.; Pellegrino, O.; Sollazzo, G. Using genetic algorithms for optimizing the ppc in the highway horizontal alignment design. J. Comput. Civ. Eng. 2016, 30, 04014114. [Google Scholar] [CrossRef]
  10. Casal, G.; Santamarina, D.; Vázquez-Méndez Miguel, E. Optimization of horizontal alignment geometry in road design and reconstruction. Transp. Res. Part C Emerg. Technol. 2017, 74, 261–274. [Google Scholar] [CrossRef]
  11. Andrzej, K. Optimization of vertical alignment using general transition curves. KSCE J. Civ. Eng. 2018, 22, 2549–2559. [Google Scholar]
  12. Sushma, M.; Avijit, M. Optimization of horizontal highway alignment using a path planner method. WIT Trans. Built Environ. 2017, 176, 81–92. [Google Scholar]
  13. Zhang, C.; Yan, X.M.; Huang, X.; Zhang, T.Y.; Zhu, W.J. A multi-layer evolution algorithm for optimizing highway alignments. In CICTP 2017: Transportation Reform and Change—Equity, Inclusiveness, Sharing, and Innovation, Proceedings of the 17th COTA International Conference of Transportation Professionals, Shanghai, China, 7–9 July 2017; American Society of Civil Engineers: Reston, VA, USA, 2018. [Google Scholar]
  14. Borges, N., Jr.; Borges, N.P.; Coelho, A.H.; Destri, J., Jr.; Valente, A.M. Horizontal highway segmentation optimisation using genetic algorithms. Proc. Inst. Civ. Eng. -Transp. 2018, 171, 299–306. [Google Scholar] [CrossRef]
  15. Mohammadi, A.; Poorzahedy, H. An electromagnetism-like algorithm for solving a three-dimensional highway alignment problem. Sci. Iran. 2018, 25, 2997–3020. [Google Scholar]
  16. Mahanpoor, M.; Monajjem, S.; Balali, V. Sustainable highway maintenance: Optimization of existing highway vertical alignment considering pavement condition. Sustainability 2019, 11, 1659. [Google Scholar] [CrossRef]
  17. Sushma, M.; Maji, A. A modified motion planning algorithm for horizontal highway alignment development. Comput.-Aided Civ. Infrastruct. Eng. 2020, 35, 818–831. [Google Scholar] [CrossRef]
  18. Sushma, M.; Roy, S.; Maji, A. Exploring and exploiting ant colony optimization algorithm for vertical highway alignment development. Comput.-Aided Civ. Infrastruct. Eng. 2022, 37, 1582–1601. [Google Scholar] [CrossRef]
  19. Liu, Z.J. Geometric design of highways in the United States (Part 1). J. China Foreign Highw. 2001, 21, 1–6. [Google Scholar]
  20. Austroad Publication Online. Guide to Road Design; Austroad Publication Online: Sydney, Australia, 2008. [Google Scholar]
  21. La Torre, F. Forgiving Roadsides Design Guide; University of Florence: Florence, Italy, 2013. [Google Scholar]
  22. Xu, H.G.; Liu, H.F. Analysis and Treatment of Road Traffic Accidents; China Communications Press: Beijing, China, 2019. [Google Scholar]
  23. Yao, W.L.; Yue, R. Advance in controversial restitution coefficient study for impact problems. J. Vib. Shock. 2015, 34, 43–48. [Google Scholar]
  24. Yi, H.; Yang, X.; Lu, X.Y.; Ren, W.; Chu, D.; Wu, C. A review of anti-rollover prediction and control technologies for heavy-duty vehicles. J. Transp. Inf. Saf. 2019, 37, 1–9. [Google Scholar]
Figure 1. Two-dimensional point collision dynamics model.
Figure 1. Two-dimensional point collision dynamics model.
Applsci 13 00509 g001
Figure 2. Vehicle mechanical analysis model after a collision with a superelevation circular curve section.
Figure 2. Vehicle mechanical analysis model after a collision with a superelevation circular curve section.
Applsci 13 00509 g002
Figure 3. Vehicle rollover quasi-static model.
Figure 3. Vehicle rollover quasi-static model.
Applsci 13 00509 g003
Figure 4. Quantitative diagram of the vehicle rollover risk level.
Figure 4. Quantitative diagram of the vehicle rollover risk level.
Applsci 13 00509 g004
Figure 5. Vehicle collision simulation process.
Figure 5. Vehicle collision simulation process.
Applsci 13 00509 g005
Figure 6. Simulation results of LTR at a driving speed of 120 km/h before collision.
Figure 6. Simulation results of LTR at a driving speed of 120 km/h before collision.
Applsci 13 00509 g006
Figure 7. Simulation results of the yaw angular velocity at a driving speed of 120 km/h.
Figure 7. Simulation results of the yaw angular velocity at a driving speed of 120 km/h.
Applsci 13 00509 g007
Figure 8. Simulation results of LTR at a speed of 100 km/h before collision.
Figure 8. Simulation results of LTR at a speed of 100 km/h before collision.
Applsci 13 00509 g008
Figure 9. Simulation results of the yaw angular velocity at a driving speed of 100 km/h.
Figure 9. Simulation results of the yaw angular velocity at a driving speed of 100 km/h.
Applsci 13 00509 g009
Figure 10. Simulation results of LTR at 80 k m/h before collision.
Figure 10. Simulation results of LTR at 80 k m/h before collision.
Applsci 13 00509 g010
Figure 11. Simulation results of the yaw angular velocity at 80 km/h before collision.
Figure 11. Simulation results of the yaw angular velocity at 80 km/h before collision.
Applsci 13 00509 g011
Table 1. Parameters of the general two-dimensional point collision dynamic model.
Table 1. Parameters of the general two-dimensional point collision dynamic model.
Related ParametersVehicle Number
Car 1Car 2
Quality (kg)m1m2
Angular velocity before collision (rad/s)ω10ω20
Angular velocity after collision (rad/s)ω1ω2
Centroid velocity x-axis projection before collision (m/s)v10xv20x
Centroid velocity y-axis projection before collision (m/s)v10yv10y
Centroid velocity x-axis projection
after collision (m/s)
v1xv2x
Centroid velocity y-axis projection
after collision (m/s)
v1yv1y
Collision point impulse x-axis projection (N•s)pxpx
Collision point impulse y-axis projection (N•s)pypy
The moment of inertia around the centroid (kg/m2)J1J2
The distance of the collision point relative to the x-axis of the centroid (m)l1xl2x
The distance of the collision point relative to the y-axis of the centroid (m)l1yl2y
Table 2. Minimum radius of the circular curve under critical conditions of rollover after a collision.
Table 2. Minimum radius of the circular curve under critical conditions of rollover after a collision.
The Minimum Radius of the Circular Curve (m)Speed Before Collision (km/h)
1201008060
Superelevation (%)01063738472265
4718499319179
6607422270152
8520361232130
10451313200113
Table 3. Optimization scheme of the minimum radius of circular curves.
Table 3. Optimization scheme of the minimum radius of circular curves.
Speed Before Collision (km/h)Superelevation (%)The Radius of the Circular Curve (m)
1204718
6607
8520
10451
1004499
6422
8361
10313
804319
6270
8232
10200
Disclaimer/Publisher’s Note: The statements, opinions and data contained in all publications are solely those of the individual author(s) and contributor(s) and not of MDPI and/or the editor(s). MDPI and/or the editor(s) disclaim responsibility for any injury to people or property resulting from any ideas, methods, instructions or products referred to in the content.

Share and Cite

MDPI and ACS Style

Wu, X.; Fu, S.; Guo, L. Study on Highway Alignment Optimization Considering Rollover Stability Based on Two-Dimensional Point Collision Dynamics. Appl. Sci. 2023, 13, 509. https://doi.org/10.3390/app13010509

AMA Style

Wu X, Fu S, Guo L. Study on Highway Alignment Optimization Considering Rollover Stability Based on Two-Dimensional Point Collision Dynamics. Applied Sciences. 2023; 13(1):509. https://doi.org/10.3390/app13010509

Chicago/Turabian Style

Wu, Xinye, Shude Fu, and Liangrong Guo. 2023. "Study on Highway Alignment Optimization Considering Rollover Stability Based on Two-Dimensional Point Collision Dynamics" Applied Sciences 13, no. 1: 509. https://doi.org/10.3390/app13010509

APA Style

Wu, X., Fu, S., & Guo, L. (2023). Study on Highway Alignment Optimization Considering Rollover Stability Based on Two-Dimensional Point Collision Dynamics. Applied Sciences, 13(1), 509. https://doi.org/10.3390/app13010509

Note that from the first issue of 2016, this journal uses article numbers instead of page numbers. See further details here.

Article Metrics

Back to TopTop