Effects of Dry–Wet Cycling and Temperature on Shear Strength and Microscopic Parameters of Coal Measure Soil
Abstract
1. Introduction
2. Materials and Methods
2.1. Engineering Geological Properties
2.2. Shear-Strength Testing Experimental Procedure
2.3. Quantitative Analyses of Soil-Sample Microstructure
3. Test Result Analysis
3.1. Stress–Strain Curve
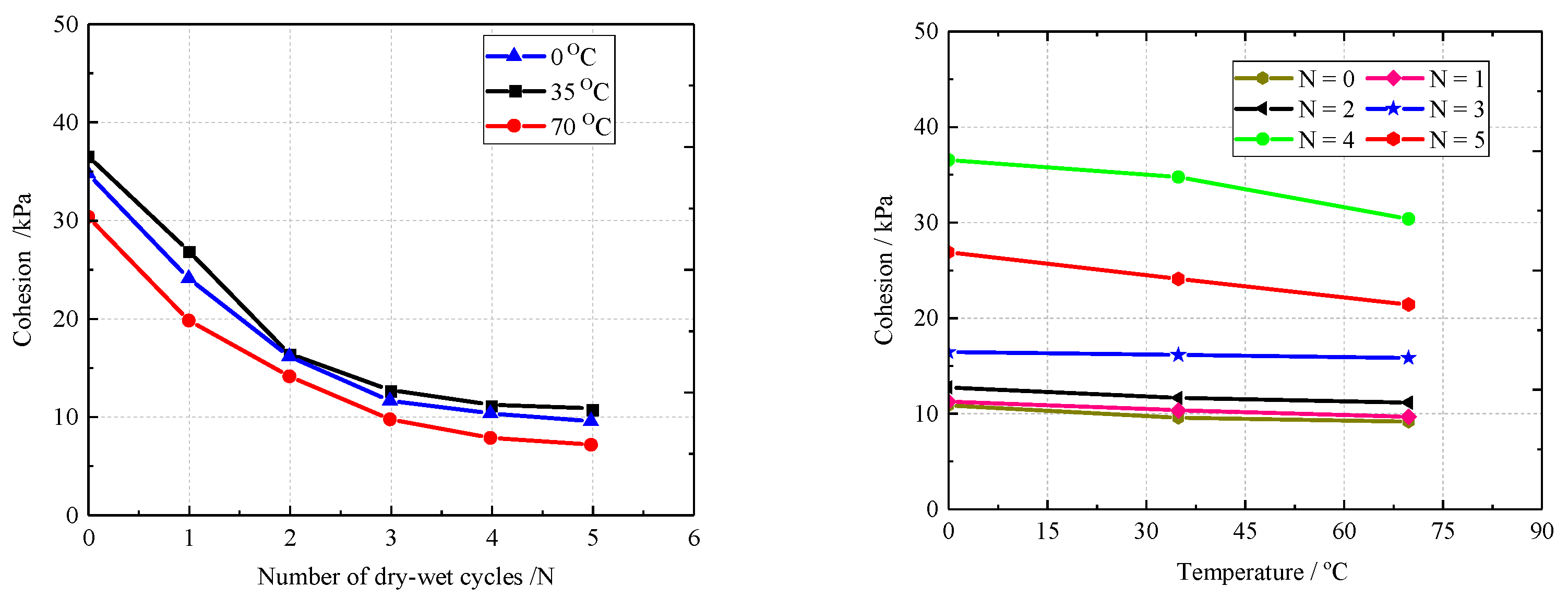
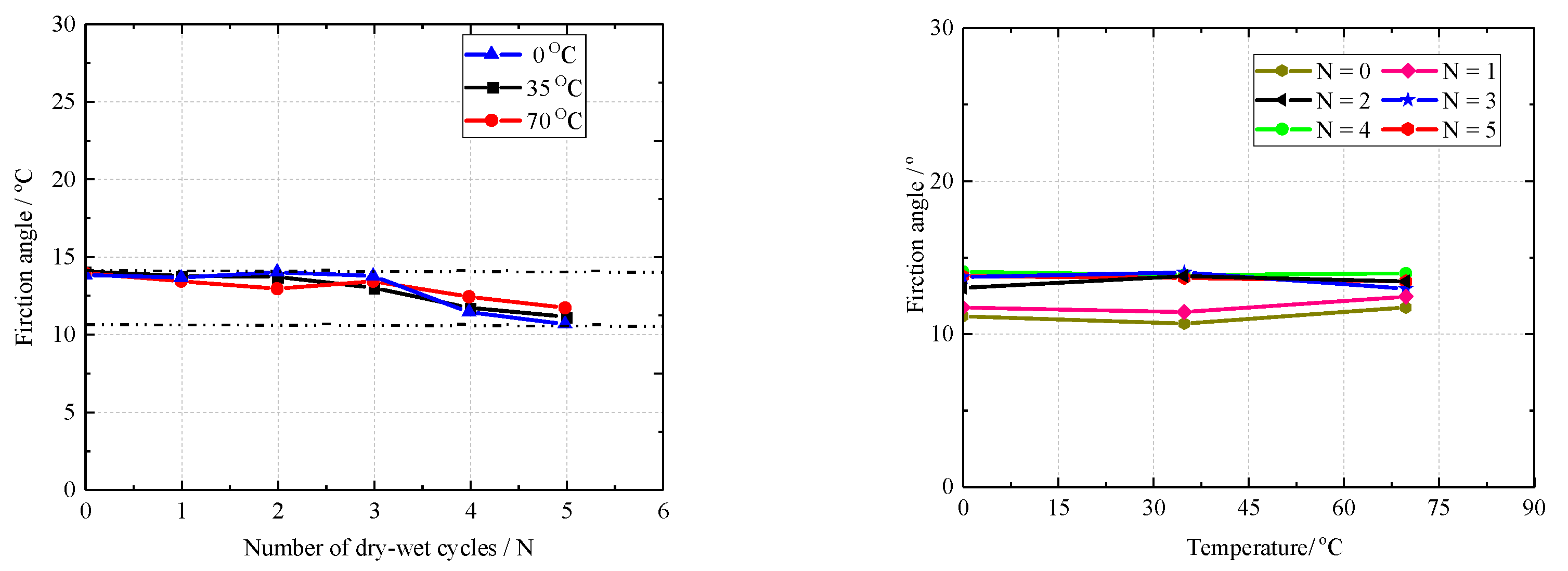
3.2. Effect of Dry-Wet Cycling and Temperature on Shear-Strength Parameters
3.3. Quantitative Analysis of C-M-S Microstructure
4. Discussion
4.1. Microstructure Variation on Dry–Wet Cycling
4.2. Temperature-Induced Stress
4.3. Failure Mechanism of the K209 Landslide
5. Conclusions
- Dry–wet cycling and high temperatures significantly affect the shear strength. CMS exhibits obvious strain-softening properties. The soil cohesion is negatively correlated with the fractal dimension and positively correlated with the probability entropy.
- The cohesion degeneration significantly increases before three dry–wet cycles; this degeneration can be satisfactorily described by an exponential equation function. Moreover, the cohesion exhibits a negative correlation with temperature. However, dry–wet cycling and temperature hardly influence the frictional angle.
- Dry–wet cycling induces a significant change in the macroscopic properties of CMS. With the increase of , the pore fractal dimension increases and the probability entropy decreases. The macroscopic mechanics of CMS are correlated with changes in the macrostructure parameters. Above 35 °C, temperature affects mainly the mean fractal dimension.
- Temperature induces thermal tensile stresses on the sample surface. The surface-crack occurs once the high-temperature stress value is greater than 0.57 MPa.
- Strain softening, swelling–shrinkage, low strength, and high temperature are the main factors affecting the engineering geology of C-M-S slopes; these factors form the material basis for rainfall-induced K209 shallow landslides. On the other hand, dry–wet cycling, temperature, and rainfall conditions are external factors that induce C-M-S-slope landslides.
Author Contributions
Funding
Institutional Review Board Statement
Informed Consent Statement
Data Availability Statement
Conflicts of Interest
References
- Qin, J.; Ye, J.; Sun, X.; Yong, R.; Du, S. A single-valued neutrosophic Gaussian process regression approach for stability prediction of open-pit mine slopes. Appl. Intell. 2022, 10, 1–18. [Google Scholar] [CrossRef]
- Hou, T.-S.; Xu, G.-L.; Zhang, D.-Q.; Liu, H.-Y. Stability analysis of Gongjiacun landslide in the three Gorges Reservoir area under the action of reservoir water level fluctuation and rainfall. Nat. Hazards 2022, 114, 1647–1683. [Google Scholar] [CrossRef]
- Hu, X.; Bao, H.; Qiang, D.; Yun-mei, M. Influence of water contents on shear strength of coal-bearing soil. Rock Soil Mech. 2009, 30, 2291–2294. [Google Scholar]
- Zuo, W.; Jiang, J.; Yong, H. Analysis on deformation mechanism of a permian coal measure soil landslide in Chenzhou. J. Zhejiang Univ. Technol. 2018, 46, 672–676. [Google Scholar]
- Zhang, H.; Liao, W.; Lin, J.; Zhang, B.; Feng, H. Correlation analysis of macroscopic and microscopic parameters of coal measure soil based on discrete element method. Adv. Civ. Eng. 2019, 2019, 1302682. [Google Scholar] [CrossRef]
- Zhang, B.; Feng, H.; Zhang, H. Influence of particle shape on mechanical properties of coal measure soil by discrete element method. Conf. Ser. Earth Environ. Sci. 2020, 455, 012104. [Google Scholar] [CrossRef]
- Liao, W.; Lin, J.; Zhang, H. Influence of rainfall infiltration on transient volumetric water content of CMS slope. Conf. Ser. Earth Environ. Sci. 2020, 455, 012180. [Google Scholar] [CrossRef]
- Huang, Z. Surface crack development rules and shear strength of compacted expansive soil due to dry–wet cycles. Geotech. Geol. Eng. 2019, 37, 2647–2657. [Google Scholar] [CrossRef]
- Wan, Y.; Xue, Q.; Liu, L.; Wang, S. Crack characteristic and permeability change of compacted clay liners with different liquid limits under dry-wet cycles. Adv. Civ. Eng. 2018, 2018, 5796086. [Google Scholar] [CrossRef]
- Tang, L.; Cong, S.; Ling, X.; Xing, W.; Nie, Z. A unified formulation of stress-strain relations considering micro-damage for expansive soils exposed to freeze-thaw cycles. Cold Reg. Sci. Technol. 2018, 153, 164–171. [Google Scholar] [CrossRef]
- Wu, J. Study on shear strength of expansive soil considered softening by triaxial tests. Adv. Mater. Res. 2015, 2015, 36–96. [Google Scholar] [CrossRef]
- She, H.; Hu, Z.; Qu, Z.; Li, H.; Guo, H.; Ma, X. Structural strength deterioration characteristics and a model of undisturbed loess under the action of wetting and freeze-thaw cycles. Math. Probl. Eng. 2019, 2019, 4790250. [Google Scholar] [CrossRef]
- Zhang, H.; Liu, J. Microstructures mineral compositions and mechanical properties of red-layers in Southern China. Adv. Mater. Sci. Eng. 2018, 2018, 9601386. [Google Scholar] [CrossRef]
- Peña-Rodríguez, G.; Dulce-Moreno, H.; Daza-Ramírez, J.; Orozco-Hernández, S.; Vargas-Galvis, F. Mechanical and tribological behavior of red clay ceramic tiles coated with fly ash powders by thermal spraying technique. J. Phys. Conf. Series. 2017, 792, 12–26. [Google Scholar] [CrossRef]
- Zhang, H. Study on the Disintegration and Shear Strength Characteristics of Coal Measure Soil under Dry-Wet Cycles; East China Jiaotong University: Nanchang, China, 2017. [Google Scholar]
- Yang, J. Engineering Characteristics and Stability Analysis of Coal Measures Soil on K209 Slope of Changli Expressway; East China Jiaotong University: Nanchang, China, 2018. [Google Scholar]
- Yang, J.; Zheng, M. Soil-water characteristic curve of coal measures under the influence of density and dry-wet cycle. J. East China Jiaotong Univ. 2018, 35, 91–96. [Google Scholar]
- Maio, C.; Scaringi, G. Shear displacements induced by decrease in pore solution concentration on a pre-existing slip surface. Eng. Geol. 2016, 200, 1–9. [Google Scholar] [CrossRef]
- Fredlund, D.; Rahardjo, H. Unsaturated Soil Mechanics in Engineering Practice; Wiley: Hoboken, NJ, USA, 2012. [Google Scholar]
- Solé, A. Fundamentals of Soil Behavior; àrees temàtiques de la upc::enginyeria civil::geotècnia::mecànica de sòls; Wiley: New York, NY, USA, 2009. [Google Scholar]
- Izzo, M.; Miletić, M. Sustainable improvement of the crack resistance of cohesive soils. Sustainability 2019, 11, 5806. [Google Scholar] [CrossRef]
- Cabalar, A.; Clayton, C. Effect of temperature on triaxial behavior of a sand with disaccharide. Period. Polytech. Civ. Eng. 2016, 60, 603–609. [Google Scholar] [CrossRef]
- Ou, X.; Wu, H.; Dong, Z. A comparative study on the thermodynamic properties of Guangxi red clay and expansive soil. Rock Soil Mech. 2005, 2005, 1068–1072. [Google Scholar]
- Roshani, P.; Sedano, J. Incorporating temperature effects in soil-water characteristic curves. Indian Geotech. J. 2016, 46, 309–318. [Google Scholar] [CrossRef]
- Zuo, C.; Liu, D.; Ding, S. Micro-characteristics of strength reduction of tuff residual soil with different moisture. J. Civ. Eng. 2016, 20, 639–646. [Google Scholar] [CrossRef]
- Wu, Z. Strength and micro-structure evolution of compacted soils modified by admixtures of cement and metakaolin. Appl. Clay Sci. 2016, 127, 44–51. [Google Scholar] [CrossRef]
- Nishimura, T.; Tamura, N. Change of pore-water pressure on creep behavior of an unsaturated silty soil. Jpn. Geotech. Soc. Spec. Publ. 2019, 7, 205–208. [Google Scholar] [CrossRef]
- Zhang, Y. A new soil-water characteristic curve model for unsaturated loess based on wetting-induced pore deformation. Geofluids 2019, 2019, 1672418. [Google Scholar] [CrossRef]
- Han, B. Microstructure features of powdery coal-bearing soil based on the digital image measurement technology and fractal theory. Geotech. Geol. Eng. 2019, 37, 1357–1371. [Google Scholar] [CrossRef]
- Yang, W.; Zheng, M.; Li, Z.; Duan, L. Risk assessment of coal measure soil slope instability based on combination weighting cloud model. J. Highw. Transp. Sci. Technol. 2022, 39, 49–57. [Google Scholar]
- Ministry of Transport of the People’s Republic of China. Test Methods of Soils for Highway Engineering; JTG E40-2007; Press of China: Beijing, China, 2007.
- The Professional Standards Compilation Group of People’s Republic of China. GBT50123-2015; Design Standard of Highway Embankment. China Communications Press: Beijing, China, 2019. [Google Scholar]
- Li, T.; Wang, L.; Wang, X. Comparison of the shear strength of remolded clay soil samples prepared by different method. Saf. Environ. Eng. 2012, 19, 152–156. [Google Scholar]
- Tang, C.; Shi, B. Swelling and shrinkage behaviour of expansive soil during wetting–drying cycles. Chin. J. Geotech. Eng. 2011, 33, 1376–1384. [Google Scholar]
- Liu, H.; Liu, H.; Xiao, Y.; McCartney, J.S. Effects of temperature on the shear strength of saturated sand. Soils Found. 2018, 58, 1326–1338. [Google Scholar] [CrossRef]
- Yavari, N.; Tang, A.M.; Pereira, J.; Hassen, G. Effect of temperature on the shear strength of soils and the soil–structure interfac. Can. Geotech. J. 2016, 53, 1186–1194. [Google Scholar] [CrossRef]
- Xu, J.; Wang, Z.; Ren, J.; Yuan, J. Mechanism of shear strength deterioration of loess during freeze-thaw cycling. Geomech. Eng. 2018, 14, 307–314. [Google Scholar]
- Berthonneau, J.; Bromblet, P.; Cherblanc, F.; Ferrage, E.; Vallet, J.-M.; Grauby, O. The spalling decay of building bioclastic limestones of Provence (South East of France): From clay minerals swelling to hydric dilation. J. Cult. Herit. 2016, 17, 53–60. [Google Scholar] [CrossRef]
- Berthonneau, J.; Grauby, O.; Ferrage, E.; Vallet, J.-M.; Bromblet, P.; Dessandier, D.; Chaudanson, D.; Baronnet, A. Impact of swelling clays on the spalling decay of building limestones: Insights from X-ray diffraction profile modeling. Eur. J. Mineral. 2014, 26, 643–656. [Google Scholar] [CrossRef]
- Ruedrich, J.; Bartelsen, T.; Dohrmann, R.; Siegesmund, S. Moisture expansion as a deterioration factor for sandstone used in buildings. Environ. Earth Sci. 2011, 63, 1545–1564. [Google Scholar] [CrossRef]
- Perera, M.; Ranathunga, A.; Ranjith, P. Effect of coal rank on various fluid saturations creating mechanical property alterations using Australian coals. Energies 2016, 9, 440. [Google Scholar] [CrossRef]
- Lei, W.; Zhu, C.; Yin, Z.; Hou, J. Research on soft coal mechanics characteristic test for moisture content effect. J. Min. Saf. Eng. 2016, 33, 1145. [Google Scholar]
- Vishal, V.; Ranjith, P.; Singh, T. An experimental investigation on behaviour of coal under fluid saturation using acoustic emission. J. Nat. Gas Sci. Eng. 2015, 22, 428–436. [Google Scholar] [CrossRef]
- Polzer, W.; Hem, J. The dissolution of kaolinite. J. Geophys. Res. 1965, 70, 6233–6240. [Google Scholar] [CrossRef]
- Liu, Y.; Zhao, C.; Cai, G. Rational soil mechanics and thermodynamics. Sci. Press 2016, 10, 1–23. [Google Scholar]
- Vakili, A.; Selamat, M.; Mohajeri, P.; Moayedi, H. A critical review on filter design criteria for dispersive base soils. Geotech. Geol. Eng. 2018, 36, 1933–1951. [Google Scholar] [CrossRef]














| Landslide Sites | Dry Density/kg·m−3 | Optimal Moisture Content/% | Liquid Limit/% | Plastic Limit/% |
|---|---|---|---|---|
| K213 | 1.65 | 10.21 | 42.10 | 31.10 |
| K209 | 1.70 | 9.54 | 39.30 | 27.50 |
| K207 | 1.59 | 11.58 | 45.80 | 34.10 |
| K195 | 1.67 | 10.12 | 47.50 | 33.40 |
| K190 | 1.75 | 9.78 | 48.00 | 34.60 |
| Specimen | SiO2 | K2O | CaO | Al2O3 | F2O3 | MgO | Na2O | Loss on Ignition |
|---|---|---|---|---|---|---|---|---|
| CMS | 32.54 | 17.24 | 15.20 | 14.58 | 2.24 | 1.40 | 0.75 | 16.05 |
| Peak Deviator Stress/kPa | /° | |||||||
|---|---|---|---|---|---|---|---|---|
| 100 kPa | 200 kPa | 300 kPa | ||||||
| 0 °C | 0 | 150.79 | 234.94 | 277.10 | 36.50 | 14.00 | 1.324 | 0.299 |
| 1 | 131.01 | 190.77 | 255.16 | 26.80 | 13.71 | 1.330 | 0.275 | |
| 2 | 101.67 | 168.07 | 225.20 | 16.30 | 13.65 | 1.336 | 0.242 | |
| 3 | 87.62 | 150.85 | 203.04 | 12.60 | 12.94 | 1.344 | 0.232 | |
| 4 | 74.51 | 135.06 | 175.21 | 11.10 | 11.65 | 1.350 | 0.227 | |
| 5 | 69.24 | 129.66 | 163.75 | 10.70 | 11.07 | 1.351 | 0.225 | |
| 35 °C | 0 | 143.18 | 230.36 | 266.23 | 34.70 | 13.77 | 1.325 | 0.293 |
| 1 | 123.38 | 181.24 | 245.93 | 24.00 | 13.59 | 1.327 | 0.27 | |
| 2 | 104.27 | 167.57 | 231.08 | 16.00 | 13.95 | 1.333 | 0.236 | |
| 3 | 80.12 | 136.39 | 189.20 | 11.50 | 13.71 | 1.342 | 0.222 | |
| 4 | 72.22 | 126.41 | 170.23 | 10.20 | 11.36 | 1.352 | 0.214 | |
| 5 | 52.32 | 99.81 | 140.21 | 9.40 | 10.60 | 1.354 | 0.208 | |
| 70 °C | 0 | 112.49 | 225.10 | 254.87 | 30.30 | 13.89 | 1.328 | 0.289 |
| 1 | 97.37 | 176.34 | 232.32 | 21.30 | 13.36 | 1.335 | 0.262 | |
| 2 | 87.37 | 153.77 | 212.45 | 15.70 | 12.89 | 1.338 | 0.231 | |
| 3 | 78.08 | 148.76 | 207.23 | 11.00 | 13.36 | 1.347 | 0.221 | |
| 4 | 70.13 | 132.56 | 186.99 | 9.50 | 12.36 | 1.356 | 0.215 | |
| 5 | 50. 31 | 129.02 | 171.29 | 9.00 | 11.65 | 1.359 | 0.205 | |
| Parameter | 0 °C | 35 °C | 70 °C |
|---|---|---|---|
| 84.18 | 73.47 | 72.74 | |
| 84.45 | 74.60 | 73.80 | |
| 1.97 | 1.43 | 1.50 | |
| 0.99 | 0.98 | 0.98 |
Disclaimer/Publisher’s Note: The statements, opinions and data contained in all publications are solely those of the individual author(s) and contributor(s) and not of MDPI and/or the editor(s). MDPI and/or the editor(s) disclaim responsibility for any injury to people or property resulting from any ideas, methods, instructions or products referred to in the content. |
© 2022 by the authors. Licensee MDPI, Basel, Switzerland. This article is an open access article distributed under the terms and conditions of the Creative Commons Attribution (CC BY) license (https://creativecommons.org/licenses/by/4.0/).
Share and Cite
Huang, G.; Zheng, M. Effects of Dry–Wet Cycling and Temperature on Shear Strength and Microscopic Parameters of Coal Measure Soil. Appl. Sci. 2023, 13, 336. https://doi.org/10.3390/app13010336
Huang G, Zheng M. Effects of Dry–Wet Cycling and Temperature on Shear Strength and Microscopic Parameters of Coal Measure Soil. Applied Sciences. 2023; 13(1):336. https://doi.org/10.3390/app13010336
Chicago/Turabian StyleHuang, Gang, and Mingxin Zheng. 2023. "Effects of Dry–Wet Cycling and Temperature on Shear Strength and Microscopic Parameters of Coal Measure Soil" Applied Sciences 13, no. 1: 336. https://doi.org/10.3390/app13010336
APA StyleHuang, G., & Zheng, M. (2023). Effects of Dry–Wet Cycling and Temperature on Shear Strength and Microscopic Parameters of Coal Measure Soil. Applied Sciences, 13(1), 336. https://doi.org/10.3390/app13010336

