Analytical Prediction of Strip Foundation Building Response to Shallow Tunneling Considering the Tunneling Process
Abstract
:1. Introduction
2. Method of Analysis
2.1. Three-Dimensional Greenfield Ground Settlements
2.2. Solutions of Building Response
3. Verifications
3.1. Building Axis Perpendicular to Tunnel Axis
3.2. Building Axis Parallel to Tunnel Axis
4. Parametric Analysis
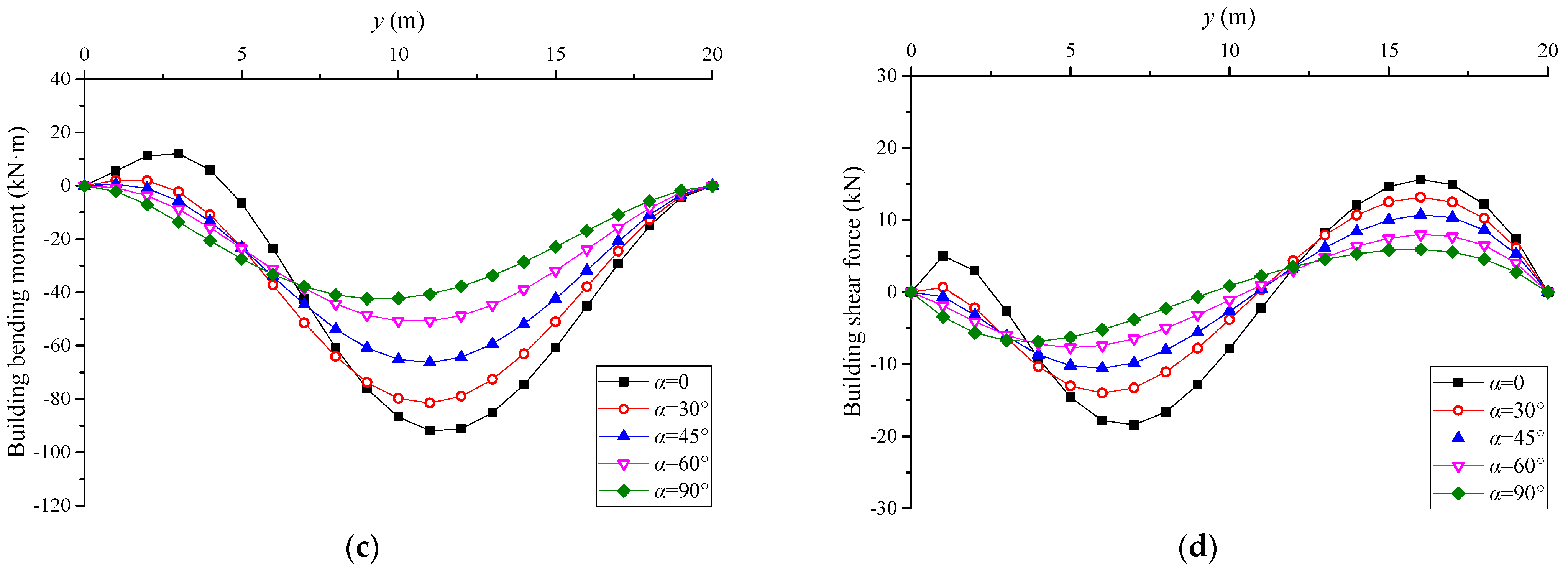
4.1. Alignment Angle
4.2. Distance from Tunnel Face
4.3. Soil Elastic Modulus
4.4. Soil Poisson’s Ratio
4.5. Bending Stiffness
4.6. Gap Parameter
5. Conclusions
- (1)
- The reliability of the proposed method is determined in comparison with finite element and finite difference analysis. The results obtained from the proposed method show good agreement with the two numerical results and close to those from the Winkler-based method.
- (2)
- The building settlement increases with the increase in the bending stiffness and gap parameter, and decrease as the distance from the tunnel face increases, and the elastic modulus and Poisson’s ratio of the soil increase. The differential settlement of the building increases as the alignment angle decreases and the gap parameter increases, and reaches a maximum when the tunnel face is located at the middle of the building.
- (3)
- Increases in the alignment angle and soil Poisson’s ratio, and the decrease in the gap parameter can decrease the rotation angles. By increasing the soil elastic modulus, the rotation angles of the left half of the building decrease while those of the right half of the building increase. The opposite trend can be observed for the bending stiffness. When the tunnel face arrives at the middle of the building, the rotation angles are symmetric with respect to the building centerline.
- (4)
- The maximum bending moments and the maximum shear forces gradually decrease with a larger alignment angle. The bending moments and the maximum shear forces increase as the soil elastic modulus, bending stiffness, and gap parameter increase, and decrease with the increase in the soil Poisson’s ratio. The maximum bending moments occur at the middle of the building, and the maximum shear forces appear at about one-fifth and four-fifths of the building length when the tunnel face is located at the two ends of the building.
- (5)
- The influence of the plastic behavior of the soil and the contact state between the building foundation and the underlying soil on the building response need to be considered in a further study.
Author Contributions
Funding
Institutional Review Board Statement
Informed Consent Statement
Data Availability Statement
Acknowledgments
Conflicts of Interest
References
- Yu, L.; Zhang, D.L.; Fang, Q.; Cao, L.Q.; Xu, T.; Li, Q.Q. Surface settlement of subway station construction using pile-beam-arch approach. Tunn. Undergr. Sp. Tech. 2019, 90, 340–356. [Google Scholar] [CrossRef]
- Wu, H.N.; Shen, S.L.; Chen, R.P.; Zhou, A. Three-dimensional numerical modelling on localised leakage in segmental lining of shield tunnels. Comput. Geotech. 2020, 122, 103549. [Google Scholar] [CrossRef]
- Zhang, N.; Zhang, N.; Zheng, Q.; Xu, Y.S. Real-time prediction of shield moving trajectory during tunnelling using GRU deep neural network. Acta. Geotech. 2021, 17, 1167–1182. [Google Scholar] [CrossRef]
- Fang, Q.; Zhang, D.L.; Wong, L.N.Y. Shallow tunnelling method (STM) for subway station construction in soft ground. Tunn. Undergr. Sp. Tech. 2012, 29, 10–30. [Google Scholar] [CrossRef]
- Li, P.F.; Wei, Y.J.; Zhang, M.J.; Huang, Q.F.; Wang, F. Influence of non-associated flow rule on passive face instability for shallow shield tunnels. Tunn. Undergr. Sp. Tech. 2022, 119, 104202. [Google Scholar] [CrossRef]
- Yu, L.; Zhang, D.L.; Fang, Q.; Cao, L.Q.; Zhang, Y.; Xu, T. Face stability of shallow tunnelling in sandy soil considering unsupported length. Tunn. Undergr. Sp. Tech. 2020, 102, 103445. [Google Scholar] [CrossRef]
- Basmaji, B.; Deck, O.; Al Heib, M. Analytical model to predict building deflections induced by ground movements. Eur. J. Environ. Civ. Eng. 2017, 10, 1–23. [Google Scholar] [CrossRef]
- Elkayam, I.; Klar, A. Nonlinear elastoplastic formulation for tunneling effects on superstructures. Can. Geotech. J. 2019, 56, 956–969. [Google Scholar] [CrossRef]
- Franza, A.; DeJong, M.J. Elastoplastic solutions to predict tunneling-induced load redistribution and deformation of surface structures. J. Geotech. Geoenviron. Eng. 2019, 145, 4019007. [Google Scholar] [CrossRef]
- El Kahi, E.; Deck, O.; Khouri, M.; Mehdizadeh, R.; Rahme, P. A new simplified meta-model to evaluate the transmission of ground movements to structures integrating the elastoplastic soil behavior. Structures 2020, 23, 324–334. [Google Scholar] [CrossRef]
- Franza, A.; Acikgoz, S.; DeJong, M.J. Timoshenko beam models for the coupled analysis of building response to tunneling. Tunn. Undergr. Sp. Tech. 2020, 96, 103160. [Google Scholar] [CrossRef]
- Mair, R.J.; Taylor, R.N.; Burland, J.B. Prediction of ground movements and assessment of risk of building damage due to bored tunnelling. In Proceedings of the International Symposium on Geotechnical Aspects of Underground Construction in Soft Ground, London, UK, 15–17 April 1996; pp. 713–718. [Google Scholar]
- Camos, C.; Molins, C. 3D analytical prediction of building damage due to ground subsidence produced by tunneling. Tunn. Undergr. Sp. Tech. 2015, 50, 424–437. [Google Scholar] [CrossRef] [Green Version]
- Franco, V.H.; Gitirana, G.D.N.; de Assis, A.P. Probabilistic assessment of tunneling-induced building damage. Comput. Geotech. 2019, 113, 103097. [Google Scholar] [CrossRef]
- Son, M.; Cording, E.J. Estimation of building damage in a 3D distorting structure to tunnel and underground excavation-induced ground movements. Tunn. Undergr. Sp. Tech. 2020, 97, 103222. [Google Scholar] [CrossRef]
- Franzius, J.N.; Potts, D.M.; Burland, J.B. The response of surface structures to tunnel construction. Proc. ICE-Geotech. Eng. 2006, 159, 3–17. [Google Scholar] [CrossRef]
- Maleki, M.; Sereshteh, H.; Mousivand, M.; Bayat, M. An equivalent beam model for the analysis of tunnel-building interaction. Tunn. Undergr. Sp. Tech. 2011, 26, 524–533. [Google Scholar] [CrossRef]
- Giardina, G.; Van de Graaf, A.V.; Hendriks, M.A.N.; Rots, J.G.; Marini, A. Numerical analysis of a masonry facade subject to tunnelling-induced settlements. Eng. Struct. 2013, 54, 234–247. [Google Scholar] [CrossRef]
- Fargnoli, V.; Gragnano, C.G.; Boldini, D.; Amorosi, A. 3D numerical modelling of soil-structure interaction during EPB tunnelling. Geotechnique 2015, 65, 23–37. [Google Scholar] [CrossRef]
- Boldini, D.; Losacco, N.; Bertolin, S.; Amorosi, A. Finite element modelling of tunnelling-induced displacements on framed structures. Tunn. Undergr. Sp. Tech. 2018, 80, 222–231. [Google Scholar] [CrossRef]
- Jenck, O.; Dias, D. 3D-finite difference analysis of the interaction between concrete building and shallow tunneling. Geotechnique 2004, 54, 519–528. [Google Scholar] [CrossRef]
- Son, M. Response analysis of nearby structures to tunneling-induced ground movements in clay soils. Tunn. Undergr. Sp. Tech. 2016, 56, 90–104. [Google Scholar] [CrossRef]
- Farrell, R.; Mair, R.; Sciotti, A.; Pigorini, A. Building response to tunnelling. Soils Found. 2014, 54, 269–279. [Google Scholar] [CrossRef] [Green Version]
- Ritter, S.; Giardina, G.; Dejong, M.J.; Mair, R.J. Influence of building characteristics on tunnelling-induced ground movements. Geotechnique 2017, 67, 926–937. [Google Scholar] [CrossRef] [Green Version]
- Ritter, S.; Giardina, G.; Franza, A.; DeJong, M.J. Building deformation caused by tunneling: Centrifuge modeling. J. Geotech. Geoenviron. Eng. 2020, 146, 4020017. [Google Scholar] [CrossRef] [Green Version]
- Shahin, H.M.; Nakai, T.; Hinokio, M.; Kurimoto, T.; Sada, T. Influence of surface loads and construction sequence on ground response due to tunneling. Soils Found. 2004, 44, 71–84. [Google Scholar] [CrossRef] [Green Version]
- Son, M.; Cording, E.J. Estimation of building damage due to excavation-induced ground movements. J. Geotech. Geoenviron. Eng. 2005, 131, 162–177. [Google Scholar]
- Giardina, G.; Marini, A.; Hendriks, M.A.N.; Rots, J.G.; Rizzardini, F.; Giuriani, E. Experimental analysis of a masonry facade subject to tunnelling-induced settlement. Eng. Struct. 2012, 45, 421–434. [Google Scholar] [CrossRef]
- Frischmann, W.W.; Hellings, J.E.; Gittoes, G.; Snowden, C. Protection of the Mansion House against damage caused by ground movements due to the Docklands Light Railway extension. Proc. ICE-Geotech. Eng. 1994, 107, 65–76. [Google Scholar] [CrossRef]
- Dimmock, P.S.; Mair, R.J. Effect of building stiffness on tunnelling-induced ground movement. Tunn. Undergr. Sp. Tech. 2008, 23, 438–450. [Google Scholar] [CrossRef]
- Zhang, D.L.; Fang, Q.; Hou, Y.J.; Li, P.F.; Wong, L.N.Y. Protection of buildings against damages as a result of adjacent large-span tunneling in shallowly buried soft ground. J. Geotech. Geoenviron. Eng. 2013, 139, 903–913. [Google Scholar] [CrossRef]
- Fu, J.Y.; Yang, J.S.; Zhang, X.M.; Klapperich, H.; Abbas, S.M. Response of the ground and adjacent buildings due to tunnelling in completely weathered granitic soil. Tunn. Undergr. Sp. Tech. 2014, 43, 377–388. [Google Scholar] [CrossRef]
- Bloodworth, A.G.; Houlsby, G.T. Analysis of pre-vault tunnelling interaction with buildings. Proc. ICE-Geotech. Eng. 2017, 170, 99–116. [Google Scholar] [CrossRef] [Green Version]
- Pasternak, P.L. On a New Method of Analysis of an Elastic Foundation by Means of Two Foundation Constants; Gosudarstvennoe Izdatelstvo Literaturi po Stroitelstvu I Arkhitekture: Moscow, Russia, 1954. [Google Scholar]
- Yu, L. Study on Mechanisms and Chain Effect of Disasters Due to Subway Tunnel Excavation. Ph.D. Thesis, Beijing Jiaotong University, Beijing, China, 2021. (In Chinese). [Google Scholar]
- Loganathan, N.; Poulos, H.G. Analytical prediction for tunneling-induced ground movements in clays. J. Geotech. Geoenviron. Eng. 1998, 124, 846–856. [Google Scholar] [CrossRef]
- Lee, K.M.; Rowe, R.K.; Lo, K.Y. Subsidence owing to tunneling. I. Estimating the gap parameter. Can. Geotech. J. 1992, 29, 929–940. [Google Scholar] [CrossRef]
- Maynar, M.M.; Rodriguez, L.M. Predicted versus measured soil movements induced by shield tunnelling in the Madrid Metro extension. Can. Geotech. J. 2005, 42, 1160–1172. [Google Scholar] [CrossRef]
- Ding, Z. Prediction of Deformation and Study on the Influence of Shield Tunnel on Adjacent Buildings. Ph.D. Thesis, Zhejiang University, Hangzhou, China, 2014. (In Chinese). [Google Scholar]
- Vesic, A.B. Bending of beams resting on isotropic elastic solid. J. Eng. Mech. Div. 1961, 87, 35–53. [Google Scholar] [CrossRef]
- Tanahashi, H. Formulas for an infinitely long Bernoulli-Euler beam on the Pasternak model. Soils Found. 2004, 44, 109–118. [Google Scholar] [CrossRef] [Green Version]
- Xu, L. Study on the Longitudinal Settlement of Shield Tunnel in Soft Soil. Ph.D. Thesis, Tongji University, Shanghai, China, 2005. (In Chinese). [Google Scholar]
- Zhang, Z.G.; Huang, M.S.; Xu, C.; Jiang, Y.J.; Wang, W.D. Simplified solution for tunnel-soil-pile interaction in Pasternak’s foundation model. Tunn. Undergr. Sp. Tech. 2018, 78, 146–158. [Google Scholar] [CrossRef]
- Xia, J.W.; Yuan, Y.S.; Dong, Z.Z. Mechanism study on subsoil-strap footing-framework interaction in mining subsidence area. Chinese J. Geotech. Eng. 2007, 29, 537–541. (In Chinese) [Google Scholar]
- Liang, R.Z.; Xia, T.D.; Huang, M.S.; Lin, C.G. Simplified analytical method for evaluating the effects of adjacent excavation on shield tunnel considering the shearing effect. Comput. Geotech. 2017, 81, 167–187. [Google Scholar] [CrossRef]















| Building Stories | Equivalent Beam | ||||
|---|---|---|---|---|---|
| Length L (m) | Weight W (kN/m/m) | Axial Stiffness EA (kN/m) | Bending Stiffness EI (kN·m2/m) | Poisson’s Ratio νb | |
| 4 | 100 | 40 | 1.725 × 107 | 3.989 × 108 | 0.25 |
| 8 | 80 | 3.105 × 107 | 2.393 × 109 | ||
| Material | Unit Weight γ (kN/m3) | Elastic Modulus E (MPa) | Poisson’s Ratio ν | Cohesion c (kPa) | Internal Friction Angle φ (°) |
|---|---|---|---|---|---|
| Soil | 20 | 30 | 0.3 | 10 | 30 |
| Lining | 25 | 3.0 × 104 | 0.2 | – | – |
| Building | 25 | 3.0 × 104 | 0.2 | – | – |
| Number | Alignment Angle α (°) | Distance from Tunnel Face s1 (m) | Soil Elastic Modulus Es (MPa) | Poisson’s Ratio ν | Bending Stiffness EI (MN·m2) | Gap Parameter g (mm) |
|---|---|---|---|---|---|---|
| 1 | 0, 30, 45, 60, 90 | 0 | 30 | 0.3 | 1500 | 30 |
| 2 | 90 | 20, 0, −5, −10, −15 −20, −40 | 30 | 0.3 | 1500 | 30 |
| 3 | 90 | −20 | 20, 30, 40, 50, 60 | 0.3 | 1500 | 30 |
| 4 | 90 | −20 | 30 | 0.1, 0.2, 0.3, 0.4, 0.5 | 1500 | 30 |
| 5 | 90 | −20 | 30 | 0.3 | 500, 1000, 1500, 2000, 2500 | 30 |
| 6 | 90 | −20 | 30 | 0.3 | 1500 | 10, 20, 30, 40, 50 |
Publisher’s Note: MDPI stays neutral with regard to jurisdictional claims in published maps and institutional affiliations. |
© 2022 by the authors. Licensee MDPI, Basel, Switzerland. This article is an open access article distributed under the terms and conditions of the Creative Commons Attribution (CC BY) license (https://creativecommons.org/licenses/by/4.0/).
Share and Cite
Yu, L.; Zhang, D.; Fang, Q.; Li, Y.; Wang, G.; Cao, L. Analytical Prediction of Strip Foundation Building Response to Shallow Tunneling Considering the Tunneling Process. Appl. Sci. 2022, 12, 4656. https://doi.org/10.3390/app12094656
Yu L, Zhang D, Fang Q, Li Y, Wang G, Cao L. Analytical Prediction of Strip Foundation Building Response to Shallow Tunneling Considering the Tunneling Process. Applied Sciences. 2022; 12(9):4656. https://doi.org/10.3390/app12094656
Chicago/Turabian StyleYu, Lin, Dingli Zhang, Qian Fang, Yujie Li, Gang Wang, and Liqiang Cao. 2022. "Analytical Prediction of Strip Foundation Building Response to Shallow Tunneling Considering the Tunneling Process" Applied Sciences 12, no. 9: 4656. https://doi.org/10.3390/app12094656
APA StyleYu, L., Zhang, D., Fang, Q., Li, Y., Wang, G., & Cao, L. (2022). Analytical Prediction of Strip Foundation Building Response to Shallow Tunneling Considering the Tunneling Process. Applied Sciences, 12(9), 4656. https://doi.org/10.3390/app12094656

