Next Article in Journal
Generative Adversarial Networks for Zero-Shot Remote Sensing Scene Classification
Next Article in Special Issue
Analytical Prediction of Strip Foundation Building Response to Shallow Tunneling Considering the Tunneling Process
Previous Article in Journal
A New Vehicle Dataset in the City of Los Angeles for V2X and Machine Learning Applications
Previous Article in Special Issue
Effects of New Tunnelling on a Buried Pipeline with Joints and Its Detachment
 
 
Font Type:
Arial Georgia Verdana
Font Size:
Aa Aa Aa
Line Spacing:
Column Width:
Background:
Article

A Semi-Analytical Model and Parameter Analysis of a Collaborative Drainage Scheme for a Deeply Buried Tunnel and Parallel Adit in Water-Rich Ground

1
School of Civil Engineering, Beijing Jiaotong University, Beijing 100044, China
2
School of Civil and Environmental Engineering, Hunan University of Science and Engineering, Yongzhou 425199, China
3
China Railway Engineering Design and Consulting Group Co., Ltd., Beijing 100055, China
*
Author to whom correspondence should be addressed.
Appl. Sci. 2022, 12(8), 3759; https://doi.org/10.3390/app12083759
Submission received: 15 March 2022 / Revised: 5 April 2022 / Accepted: 7 April 2022 / Published: 8 April 2022
(This article belongs to the Special Issue Deep Rock Mass Engineering: Excavation, Monitoring, and Control)

Abstract

:
For a railway or highway tunnel under high water pressure during operation, various factors such as the design of the drainage system, material aging, and pipeline blockage must be considered for the tunnels to work with the parallel adit to drain and control the external water pressure on the tunnel lining. A simplified steady-state seepage model in a semi-infinite multi-connected domain for the tunnel and parallel adit was established and was solved iteratively using the complex variable method and the Schwartz alternating method. After verifying the numerical simulation, parametric analysis, orthogonal tests, and multivariate nonlinear regression were also carried out. Results show that the simplified theoretical model and its semi-analytical algorithm have a fast convergence speed, and the obtained regression formula is simple, which is suitable for calculation and parameter analysis. A scheme that primarily relies on the parallel adit for drainage would make the external water pressure of the lining facing the parallel adit side less than that of the opposite side. Therefore, to reduce pressure uniformly and meet the requirements of surrounding rock stability, the horizontal net distance between the parallel adit and the tunnel should be no less than the tunnel diameter. Drainage volume of the parallel adit is linearly negatively correlated with tunnel water pressure on the lining and has the most significant effect on pressure reduction. The influence of the vertical distance between the parallel adit and the tunnel on water pressure is small.

1. Introduction

With the ongoing development of China’s economy and society, railway and highway network systems have been continuously improved and extended into the western region. However, the mountainous terrain in China’s western regions is undulating and has complex geologic conditions. Railroad and highway lines through these areas commonly require the construction of deeply buried tunnels. If groundwater is abundant in these areas, the construction and operation of deep tunnels also face the threat of high external water pressure [1]. High water pressure not only causes water inflow in the tunnel but also leads to significant damage to the lining during tunnel operation.
For example, after the completion of the Meihuashan Tunnel (Liupanshui, China) along the Guikun Railway, the high water pressure caused cracks in the lining, and a large amount of water passed through the cracks [2]. The drainage system of the Xiushan Tunnel (Chongqing, China) gradually aged during operation, resulting in a reduced drainage capacity, causing water pressure surges that led to tunnel lining cracking [3] The Sanxia Jijiapo Tunnel (Yichang, China), Yuanliangshan Tunnel (Chongqing, China), and Qiyueshan Tunnel (Enshi, China) have all undergone damage from water pressure [3]. Therefore, reducing damage caused by high water pressure during tunnel operation has become a necessity.
Water pressure on a lining will increase during tunnel operation due to an inadequate drainage system design or aging and clogging of the drainage system, resulting in lining damage and cracking. To address such problems, designing tunnels and parallel adits using a collaborative drainage scheme is effective [4].
A parallel adit is generally parallel to the main tunnel and can not only assist in tunnel construction but also affect the seepage field around the tunnel through drainage during operation. Water pressure on the tunnel lining is also released. In recent years, scholars have analyzed drainage schemes for tunnels and parallel adits. In the construction of the No. 2 Branch Tunnel of the Northwest Water Supply Project, Sun Shuang et al. [5] added a parallel adit to the side of the main tunnel for drainage, solving the problem of water inflow and collapse. During the construction of the Zhengpantai Tunnel, Wang Lei et al. [6] designed auxiliary pits, such as parallel adits and inclined shafts, in order to reduce water pressure in response to a water surge problem. All of the above studies have empirically investigated the drainage scheme for tunnels and parallel adits but lack quantitative analysis.
Sara Zingg. et al. [7,8] studied the effectiveness of various advanced drainage schemes (including drainage through an external parallel adit) on the stabilization of tunnel faces. Several other scholars have also focused on advanced drainage’s effect on tunnel face stability [9,10]. These studies are mainly concerned with the influence of parallel adit drainage during the construction phase. Zhao Jinpeng. et al. [11] took the Gongbei Tunnel (Zhuhai, China) as the research object and discussed the waterproofing and drainage system designs. In addition, they analyzed the relationship between the lining external water pressure and drainage volume and the distribution of water pressure around the tunnel with an indoor simulation test and field test. Wang Chunmei et al. [12] used the numerical software FLAC-3D to quantify the effects of water head, envelope rock level, and relative position of the parallel adit and tunnel cross-section on tunnel water pressure considering parallel adit drainage. However, they did not analyze key factors such as the drainage volume of the parallel adit and tunnel.
An analytical model for a tunnel and parallel adit drainage scheme in tunnel operation has yet to be reported. Analytical and semi-analytical methods not only verify the results of numerical simulations but also avoid the complex process of numerical modeling. The water pressure at the tunnel boundary can be easily obtained by entering the relevant parameters. The analytical method can be used to analyze parameters as well as optimize design schemes. Therefore, an analytical model of the drainage scheme for a tunnel and parallel adit has a certain application value.
Tunnel and parallel adit drainage schemes involve the analytical study of seepage fields for parallel-twin tunnels. At present, the research on tunnel seepage fields primarily focuses on single tunnel problems [13,14,15,16,17,18,19]. For seepage in twin tunnels, Zhu Chengwei et al. [20,21] solved the seepage field of a twin tunnel using conformal mapping and the superposition method considering the tunnel lining as isotropic porous material. In addition, Zhang Bingqiang [22] used the mirror image method to obtain the seepage field for twin tunnels. Guo Yufeng et al. [23] used conformal mapping and the Schwartz iteration method to obtain the seepage field of an underwater shallow-buried double parallel tunnel under the condition of equal water pressure at the tunnel boundary. The above studies are all based on a given fixed water pressure at the tunnel boundary. In the collaborative drainage scheme for a tunnel and parallel adit, the parallel adit actively controls the drainage volume through the drain borehole, reducing the external water pressure on the tunnel lining. Therefore, drainage volume is the appropriate boundary condition for a parallel adit. In addition, the influence of parallel adit drainage on different parts of the lining varies significantly, resulting in uneven water pressure at the tunnel boundary. Using equal water pressure or an equal total head boundary around the parallel adit and tunnel is not consistent with field conditions.
Through the above introduction, previous studies on parallel adit drainage mainly focused on the influence of drainage on tunnel inflow and the stabilization of tunnel faces during construction. The analytical model of the drainage scheme for tunnel and parallel adit in the operation period has not been reported. In this paper, an analytical model of a collaborative drainage scheme is established for the actual drainage conditions of parallel adits and tunnels during operation. A semi-analytical algorithm is obtained using the complex variable method and the Schwartz method. The semi-analytical algorithm has a fast convergence speed. The boundary conditions can be accurately satisfied after a few iterations. In addition, the semi-analytical results are compared with numerical simulation results based on a case study, demonstrating the convergence and accuracy of the algorithm. This study also analyzes the relevant parameters of the drainage scheme. The tunnel crown pressure head fitting formula is also obtained using the orthogonal test and multivariate nonlinear regression method. This study provides a reference for the quantitative design of the operation drainage scheme of deeply buried tunnel in the presence of groundwater.

2. Simplified Theoretical Model

The collaborative drainage system consists of a tunnel blind pipe network and parallel adit drain borehole. The tunnel is drained through the blind pipe network, and the parallel adit is drained using the drain boreholes (Figure 1).
According to the equal permeable area principle, the sections of tunnel and parallel adit are equivalent to circular sections, and the crown position of the tunnel remains unchanged (Figure 2). In addition, the following assumptions are proposed in this paper. (1) Only the external water pressure of the lining (without considering the thickness of the lining) is considered, and the permeability coefficient of surrounding rock is isotropic and constant; (2) The fluid is incompressible and has a state of steady flow; (3) The water table is horizontal and remains constant; (4) The radial seepage velocities are equal at both the tunnel and parallel adit boundaries.
A global Cartesian coordinate system is established with the water table line as the x-axis and the vertical symmetry axis of the parallel adit as the y-axis. The half-plane Z below the water table contains the half-plane Zp and half-plane Zt, which correspond to the coordinate system xpopyp above the parallel adit and xtotyt above the tunnel, respectively; Qp and Qt are the drainage volume of the parallel adit and tunnel, respectively; rp and rt are the radius of the equivalent circle of the parallel adit and tunnel, respectively; dp, dt, and dw are the burial depths of the parallel adit, tunnel, and water table, respectively; Ht is the pressure head at the tunnel boundary when the parallel adit and tunnel are drained; H t 0 is the initial hydrostatic pressure head at the tunnel boundary; Sh is the horizontal net distance between the tunnel and the parallel adit; and Sv is the height difference between the parallel adit and the tunnel. The points A, B, C, and D represent the position of tunnel crown, left wall, inverted arch, and right wall respectively.
According to Darcy’s law, mass conservation law, and the above assumptions, the total head satisfies the Laplace equation:
2 h x 2 + 2 h y 2 = 0
where h is the total head, given by the sum of the elevation head and pressure head (kinetic head is neglected because groundwater flow is assumed to be slow): h = uw + y, u is the pore water pressure, γw is the unit weight of water, uw is the pressure head, and y is the elevation head.
Using the basic assumptions, the boundary conditions were determined as follows:
At the water table:
h | y = 0 = 0
At the parallel adit circumference:
h n p | x 2 + ( y + c p ) 2 = r p 2 = i p = Q p 2 K π r p
At the tunnel circumference:
h n t | ( x l ) 2 + ( y + c t ) 2 = r t 2 = i t = Q t 2 K π r t
where cp = dp + rpdw, ct = dt + rtdw, l = rt + rp + Sh; np and nt are the radial direction of the circumference of the parallel adit and the tunnel, respectively (the outer normal is positive); K is rock permeability coefficient; and ip and it are the radial hydraulic gradient of the parallel adit and tunnel circumference, respectively.

3. Semi-Analytical Solution

The Z plane includes both a tunnel and a parallel adit, which is a steady-state seepage problem in a multi-connected domain and difficult to solve directly. To solve such problems, the Schwartz alternative method can be used to analyze the interaction between the tunnel and parallel adit drainage [23]. The Schwartz alternating method transforms the multi-connected domain problem into multiple single-connected domain problems [24]. The interaction between these single connected domain problems is then iteratively considered. Using this method, the first step involves solving the seepage field for single tunnel drainage in a semi-infinite plane.

3.1. General Solution of Single Tunnel Drainage

The water table and tunnel (or parallel adit) circumferences in the Zj plane are conformally mapped to two circles with radius 1 and αj in the ζj plane by mapping functions (where j = p, t; p represents the parallel adit, and t represents the tunnel. For convenience, follow-up discussions also follow this agreement) (Figure 3) [14]. The mapping function is:
ζ j = ξ j + η j i = z j + A j i z j A j i
where A j = c j 2 r j 2 , c j = d j + r j d w , zj = xj + yji is the point of the Zj plane, ζj = ξj + ηji is the point of the mapping plane, and i is the imaginary unit.
From the mapping Function (5), the radius of the parallel adit and tunnel in the ζj plane is: α j = ( c j c j 2 r j 2 ) / r j .
Using conformal mapping, Equation (1) can be expressed in the ζj plane in polar coordinates as:
2 h j , k ρ j 2 + 1 ρ j h j , k ρ j + 1 ρ j 2 h j , k φ j 2 = 0
where hj,k is the total head, and ρj and φj are the polar radius and polar angle in ζj plane, respectively. Subscripts j and k represent the serial number of the tunnels and the order of iterations, respectively.
In the ζj plane, Equation (6) (the Laplace equation in polar coordinates) can be solved by using the method of separating variables [25]. Its general solution is shown in Equation (7). When the solution domain is an annulus, the coefficients in the general solution are easily obtained by the boundary conditions.
h j , k = E ( j , k ) + F ( j , k ) ln ρ j + m = 1 [ ( A ( j , k ) m ρ j m + C ( j , k ) m ρ j m ) cos m φ j + ( B ( j , k ) m ρ j m + D ( j , k ) m ρ j m ) sin m φ j ]
where E(j,k), F(j,k), A(j,k)m, C(j,k)m, B(j,k)m, D(j,k)m are coefficients, which can be determined by boundary conditions. The meanings of subscripts j and k are as described above, and the subscript m denotes the order of the Fourier series.
According to mapping Function (5), ρj and φj in the ζj plane have the following relationship with x and y in the Z plane:
ρ j = ( x j 2 + y 2 A j 2 ) 2 + 4 A j 2 x j 2 x j 2 + ( y A j ) 2
φ j = arctan 2 A j x j x j 2 + y 2 A j 2
where j = p, t; xp = x; xt = x − l.
In addition, the radial hydraulic gradient along the tunnel (or parallel adit) boundary needs to be transformed from the Zj plane to the ζj plane in subsequent calculations, and the relationship between them is:
h j , k n j = h j , k ρ j λ j
where λ j = | ζ j ( z j ) z j | is the modulus of the derivative of the mapping function, and nj is the radial direction on the circumference of the tunnel (or parallel adit) in the Zj plane.

3.2. Schwartz Iteration Method

3.2.1. Iterative Methods

The flow chart of the Schwartz iterative solution is shown in Figure 4.
Step 1 of the first iteration: Considering that the hydraulic gradient at the boundary of the parallel adit is ip (ip is the initial radial hydraulic gradient of the parallel adit boundary) and only the parallel adit is contained in the Zp plane, the total head hp,1 can be obtained using the method described in Section 3.1. The additional radial hydraulic gradient it,1 at the tunnel boundary (virtual boundary) can then be determined using hp,1.
Step 2 of the first iteration: Considering that the hydraulic gradient at the boundary of the tunnel is itit,1 (it is the initial radial hydraulic gradient of tunnel boundary) and only the tunnel is contained in the Zt plane, the total head ht,1 can also be obtained using the method described in Section 3.1. The additional radial hydraulic gradient ip,1 at the parallel adit boundary (virtual boundary) can then be determined using ht,1.
After the first iteration, the seepage field obtained by summing the total head hp,1 and ht,1 fully satisfies the boundary conditions of the tunnel, but an additional radial hydraulic gradient ip,1 at the parallel adit boundary exists. If |ip,1|max is less than the required value, the iteration ends; otherwise, the next iteration begins. The iteration termination condition is:
| i p , k | max / i p < 0.1 %
Step 1 of the kth iteration: Considering that the hydraulic gradient at the boundary of the parallel adit is −ip,k−1 and only the parallel adit is contained in the Zp plane, the total head hp,k can be obtained. The additional radial hydraulic gradient it,k at the tunnel boundary can then be determined using hp,k.
Step 2 of the kth iteration: Considering that the hydraulic gradient at the boundary of the tunnel is −it,k, and only the tunnel is contained in the Zt plane, the total head ht,k can be obtained. The additional radial hydraulic gradient ip,k at the parallel adit boundary can then be determined using ht,k. The boundary conditions for the iteration steps are shown in Figure 5. After each iteration, Equation (11) is used to determine if the iteration continues.
As the iterative process continues, the additional hydraulic gradient around the parallel adit will decay, eventually reaching 0. After the iteration is terminated, the total water head obtained by each iteration is superimposed to obtain the final water head after n iterations:
h ( x , y ) = k = 1 n [ h p , k ( x , y ) + h t , k ( x , y ) ]

3.2.2. Calculation Process

Boundary conditions for step 1 of the first iteration (in the ζp plane):
At the water table:
h p , 1 | ρ p = 1 = 0
At the tunnel circumference:
h p , 1 ρ p | ρ p = α p = i p / λ p = f p , 1 ( φ p )
The boundary condition (14) can be expanded using the Fourier series:
f p , 1 ( φ p ) = a ( p , 1 ) 0 + m = 1 ( a ( p , 1 ) m cos m φ p + b ( p , 1 ) m sin m φ p )
where a ( p , 1 ) 0 = 1 2 π 0 2 π f p , 1 ( φ p ) d φ p , a ( p , 1 ) m = 1 π 0 2 π f p , 1 ( φ p ) cos m φ p d φ p , b ( p , 1 ) m = 1 π 0 2 π f p , 1 ( φ p ) sin m φ p d φ p .
After substituting Equation (7) into Equations (13) and (14), the coefficients can be obtained:
E ( p , 1 ) = 0 ,   F ( p , 1 ) = a ( p , 1 ) 0 α p ,   A ( p , 1 ) m = C ( p , 1 ) m = a ( p , 1 ) m m α p m 1 + m α p m 1 ,   B ( p , 1 ) m = D ( p , 1 ) m = b ( p , 1 ) m m α p m 1 + m α p m 1
Thus, hp,1(x,y) can be obtained by substituting Equations (8) and (9) into hp,1(ρj,φj). The additional radial hydraulic gradient it,1 at the tunnel boundary can then be determined using hp,1(x,y).
Boundary conditions for step 2 of the first iteration (in the ζt plane):
At the water table:
h t , 1 | ρ t = 1 = 0
At the tunnel circumference:
h t , 1 ρ t | ρ t = α t = ( i t i t , 1 ) / λ t = f t , 1 ( φ t )
The boundary condition (17) can be expanded by the Fourier series:
f t , 1 ( φ t ) = a ( t , 1 ) 0 + m = 1 ( a ( t , 1 ) m cos m φ t + b ( t , 1 ) m sin m φ t )
where a ( t , 1 ) 0 = 1 2 π 0 2 π f t , 1 ( φ t ) d φ t , a ( t , 1 ) m = 1 π 0 2 π f t , 1 ( φ t ) cos m φ t d φ t , b ( t , 1 ) m = 1 π 0 2 π f t , 1 ( φ t ) sin m φ t d φ t .
After substituting Equation (7) into Equations (16) and (17), the coefficients can be obtained:
E ( t , 1 ) = 0 ,   F ( t , 1 ) = a ( t , 1 ) 0 α t ,   A ( t , 1 ) m = C ( t , 1 ) m = a ( t , 1 ) m m α t m 1 + m α t m 1 ,   B ( t , 1 ) m = D ( t , 1 ) m = b ( t , 1 ) m m α t m 1 + m α t m 1
Substitute ip,1 into the iteration termination condition (11). If the termination condition is met, the iteration ends; otherwise, the next iteration begins.
Boundary conditions for step 1 of the kth (k = 2,3,4…) iteration (in the ζp plane):
At the water table:
h p , k | ρ p = 1 = 0
At the parallel adit circumference:
h p , k ρ p | ρ p = α p = i p , k 1 / λ p
Boundary conditions for step 2 of the kth (k = 2,3,4…) iteration (in the ζt plane):
At the water table:
h t , k | ρ t = 1 = 0
At the tunnel circumference:
h t , k ρ t | ρ t = α t = i t , k / λ t
The coefficients E(j,k), F(j,k), A(j,k)m, C(j,k)m, B(j,k)m, and D(j,k)m can be obtained using the boundary condition Equations (19)–(22). After iterations are completed, all the water head hj,k in the iteration process are superposed to obtain the final total water head h(x,y). Finally, the pressure head around the tunnel is:
H t = h ( x , y ) | ( x l ) 2 + ( y + c t ) 2 = r t 2 y

4. Comparison with Numerical Results

The Jiajiaoshan Tunnel (Chongqing, China) proposed for the China Chengdawan high-speed railway passes through the deep slow flow zone of soluble rock (Figure 6). The permeability coefficient of the surrounding rock in the water-rich high-pressure section is 1.0 × 10−6–9.0 × 10−6 m/s. The predicted maximum water pressure is 3 MPa and the maximum water inflow is 32.5 × 104 m3/d. A parallel adit is proposed to assist the construction of the tunnel and drain during operation to reduce the water pressure on the tunnel lining. The cross-sectional dimensions of the tunnel and parallel adit are shown in Figure 7. According to the equal permeable area principle (equal circumference of the outer profile of the section), the Jiajiaoshan Tunnel and the proposed parallel adit are equivalent to two circular sections with radii of 6.9 m and 3.9 m, respectively. The crown position of the tunnel remains unchanged in the equivalent process. Buried depth of tunnel and water table and position parameters of parallel adit relative to the tunnel are shown in Table 1.
The following calculations are based on the parameters of the Jiajiaoshan Tunnel (Table 1). In order to verify the accuracy of the semi-analytical results, a finite element model is established using ABAQUS (2020) software. The basic assumptions and calculation parameters of the numerical model are consistent with the analytical model. The boundary conditions of the numerical model are set as follows: The total head at the bottom and both sides of the model is 0. The upper part of the model boundary is the water table, and the pressre head is 0. The drainage volume is set at the boundary both the tunnel and parallel adit. The numerical model is 9600 m wide and 2000 m high to simulate a semi-infinite domain with a deeply buried tunnel and a parallel adit (Figure 8).
Figure 9 shows the variation of the maximum additional hydraulic gradient |ij,k|max at the parallel adit and tunnel boundary during the iteration. Horizontal coordinates represent the iterative steps, i.e., 1-1 represents the first step of the first iteration, 1-2 represents the second step of the first iteration. The additional radial hydraulic gradient decreases quickly, indicating that the analytical algorithm has a fast convergence speed. After two iterations, |ip,1|max/ip = 0.00796%. Termination condition (11) is met, and the iteration ends. Theoretical calculations show that the convergence rate is related to the relative positions of the parallel adit and tunnel, burial depth, and drainage volume.
Figure 10 shows the pressure head distribution around the tunnel. The left half of the figure is the numerical result, and the right half is the semi-analytical result. The semi-analytical solution is consistent with the numerical solution, which verifies the semi-analytical solution. The numerical results are slightly larger than the semi-analytical results because the numerical model is not a true semi-infinite domain. The larger the range of the model, the closer the semi-analytical solution is to the numerical solution.

5. Parametric Analysis

Parameters should be non-dimensionalized prior to performing parametric analysis. The pressure head at the tunnel boundary is non-dimensionalized by the pressure head that the tunnel and the parallel adit have when fully waterproofed. The values of Sh and Sv are non-dimensionalized by tunnel equivalent circle diameter Dt. The drainage volume of the parallel adit and tunnel are non-dimensionalized by the maximum drainage volume Qj,max that they drainage alone. The maximum drainage Qj,max is obtained when the tunnel or the parallel adit is all fully drained, that is, the water pressure at their boundary is zero. The calculation method is as follows [14]:
Q j , max = 2 π K ( c j α j r j ) ln ( r j / ( c j c j 2 r j 2 ) )
According to the parameters in Table 1, Qp,max = 157.9 m3·(d·m)−1, and Qt,max = 176.1 m3·(d·m)−1.
In order to more intuitively reflect the influence of parallel adit drainage on the water pressure at tunnel boundary, a parameter analysis is carried out for the undrained tunnel (Qt = 0) in Section 5.1, Section 5.2 and Section 5.3.

5.1. Effect of Horizontal Distance between the Parallel Adit and Tunnel

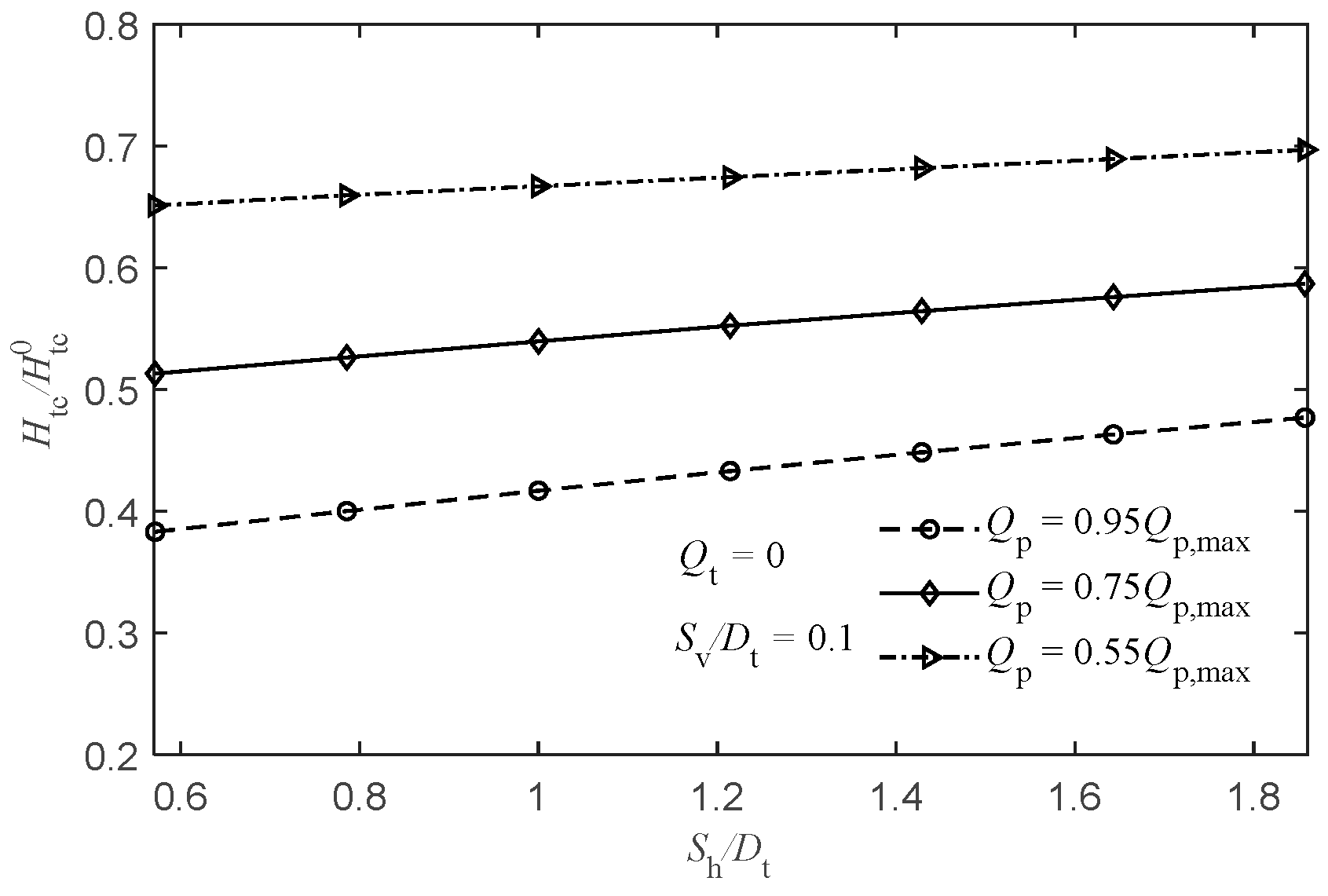
Figure 11 illustrates the relationship between the pressure head of the tunnel crown and horizontal distance Sh with different parallel adit discharges. The ordinate represents the relative pressure head at the crown of the tunnel (Htc is the pressure head of the tunnel crown when the collaborative drainage system works, and H tc 0 is the pressure head at the crown when the tunnel and parallel adit are all fully waterproofed). The horizontal distance Sh is linearly positively correlated with the tunnel crown pressure head. For the three different parallel adit drainage conditions (Qp = 0.95 Qp,max, Qp = 0.75 Qp,max, Qp = 0.55 Qp,max), Sh changes from 1.9 Dt to 0.6 Dt, and the relative pressure head decreases from 0.47, 0.59, 0.70 to 0.38, 0.51, 0.64, respectively. The pressure head on the lining can be reduced to a certain extent by reducing Sh; however, considering the construction conditions and surrounding rock stability, the distance between the parallel adit and tunnel should be no less than the tunnel diameter.

5.2. Effect of the Height Difference between the Parallel Adit and Tunnel

Figure 12 shows the influence of the relative height difference between the parallel adit and tunnel on the pressure head of the tunnel crown. The relative height difference Sv changes within the conventional range, and the relative pressure head of the tunnel crown change slightly, indicating that the variation of Sv in a certain range has little effect on the water pressure on the lining. Therefore, Sv is not the primary factor in the design of the drainage scheme. However, when the tunnel encounters large-scale water inflow, water needs to be introduced into the parallel adit through the horizontal channel between the tunnel and the parallel adit. Therefore, the bottom of the parallel adit should be lower than the bottom of the tunnel drainage ditch.

5.3. Pressure Reduction in Different Parts of the Lining

Figure 13 shows the pressure head contour map when drainage primarily relies on the parallel adit. There is a clear pressure drop funnel around the parallel adit, and its influence radiates to the surrounding area, which releases the water pressure around the tunnel. However, the water pressure around the tunnel is unevenly released. In order to accurately evaluate this inhomogeneity, Figure 14 shows the relative pressure head around the tunnel. The water pressure on the side of the tunnel facing the parallel adit is significantly lower than that on the other side. The greater the discharge of the parallel adit, the more significant the heterogeneity. When the parallel adit drainage Qp = 0.95 Qp, the pressure heads of the four points A, B, C, and D at different parts of the tunnel lining are reduced to 0.42, 0.28, 0.40, and 0.49 times of their initial water heads, respectively. Point B has the largest pressure release, which is 1.41 times that of point D, with the smallest pressure release. In addition, the closer to the parallel adit, the greater the density of the contour lines and the greater the pressure gradient, indicating that the distance between the parallel adit and the tunnel decreases, and the inhomogeneity of the water pressure around the tunnel increases (Figure 13).

5.4. Effect of Drainage Volume

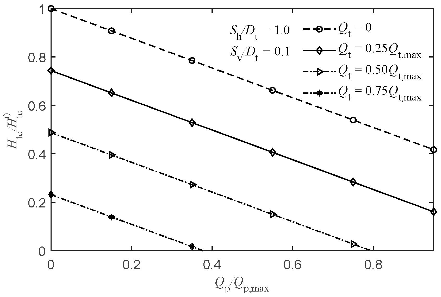
When the tunnel drainage volume is close to Qt,max, the pressure head on the lining is also close to 0. At this time, the drainage of the parallel adit is unnecessary. When the capacity of the tunnel drainage system design is insufficient, old, or blocked, the tunnel drainage volume is less than Qt,max, and parallel adit drainage will have a positive effect. Therefore, in this section, considering the tunnel drainage for Qt = 0, 0.25 Qt,max, 0.50 Qt,max, 0.75 Qt,max, the influence of the parallel adit drainage on the water pressure is analyzed.
Keeping the tunnel drainage volume unchanged, the drainage volume of the parallel adit is linearly negatively correlated with the tunnel pressure head with a strong correlation coefficient (Figure 15). Compared with position parameters, the influence of drainage volume on water pressure is more significant. When tunnel drainage is Qt = 0, Qt = 0.25 Qt,max, the relative pressure head of the tunnel crown decreases from 1.0 and 0.74 to 0.42 and 0.16, respectively, when parallel adit drainage volume reaches the limit. The water pressure on the tunnel crown decreases by approximately 58% compared with that only relying on tunnel drainage, which is a significant release in water pressure. When tunnel drainage is Qt = 0.50 Qt,max, Qt = 0.75 Qt,max, the rate of water pressure reduction is the same as the above two conditions. With increasing drainage of the parallel adit, the pressure head continues to decrease until it reaches 0.

6. Pressure Head Fitting Formula

Under the given drainage boundary conditions, the pressure head at the crown of the tunnel is linearly related to the drainage volume of the parallel adit and tunnel. Therefore, the empirical formula for the calculation of the water pressure around the tunnel can be fitted using the semi-analytical results, so that the calculation and parameter analysis of the drainage scheme can be achieved without the iterative process. The fitting formula can be expressed as (which still takes the crown of the tunnel as an example):
H tc = H tc 0 δ t Q t K δ p Q p K
where δt and δp are the influence coefficient of the tunnel and parallel adit drainage on tunnel crown pressure head, respectively, and the dimension is 1. They are determined using the variables rp, rt, dtw, Sh, and Sv, where dtw = dtdw is the underwater depth of tunnel crown; other symbols are defined as before. The expressions of the influence coefficients δt and δp are obtained using multivariate nonlinear regression, that is, the relationship between a single variable and δt and δp is analyzed one by one (other parameters remain unchanged) to obtain the optimal one-variable fitting function [26]. The one-variable fitting functions are linearly superposed to obtain the multivariate fitting function.
According to the above method, the optimal fitting functions of δt and rp, rt, dtw, Sh, and Sv are a linear function, logarithmic function, logarithmic function, quadratic polynomial function, and quadratic polynomial function, respectively. The optimal univariate fitting functions of δp and rp, rt, dtw, Sh, and Sv are quadratic polynomial function, linear function, logarithmic function, linear function, and linear function, respectively. Set the fitting function of δt, δp as (26), (27). The undetermined coefficients of Formulas (26) and (27) are obtained using the orthogonal test to reduce the amount of calculation. The level of each factor is shown in Table 2, and the design scheme and results of the orthogonal test are shown in Table 3.
δ t = a 0 + a 1 r p + a 2 ln ( r t ) + a 3 ln ( d tw ) + a 4 S h 2 + a 5 S h + a 6 S v 2 + a 7 S v
δ p = b 0 + b 1 r p 2 + b 2 r p + b 3 r t + b 4 ln ( d tw ) + b 5 S h + b 6 S v
where a0, a1... a7, b0, b1... b6 are undetermined coefficients.
Based on the data in Table 3, SPSS software was used for multivariate nonlinear regression, and the fitting formulas of δt and δp were obtained, such as (28) and (29). Their R2 was 0.99 and 0.98, respectively, indicating that the fitting results were satisfactory.
δ t = 1.3689 × 10 1 + 1.9872 × 10 3 r p 1.5918 × 10 1 ln ( r t ) + 1.5280 × 10 1 ln ( d t w ) + 2.9999 × 10 6 S h 2 + 9 × 10 5 S h 1.1520 × 10 3 S v 2 + 4.8384 × 10 3 S v
δ p = 1.9872 × 10 1 + 4.0954 × 10 3 r p 2 3.3273 × 10 2 r p 1.1362 × 10 3 r t + 1.5552 × 10 1 ln ( d t w ) 4.1628 × 10 3 S h 2.6585 × 10 3 S v
In order to test the accuracy of the fitting formula, a set of parameters were randomly selected in the fitting range (rp = 3.0 m, rt = 7.2 m, dtw = 300 m, Sh = 18 m, Sv = 1.0 m, K = 4 × 10−6 m/s) and calculated. The fitting results are compared with the semi-analytical results (Figure 16). The fitting results are in good agreement with the theoretical calculation results, and their deviations are within 0.8%, showing that the fitting Formula (25) is suitable for the calculation and parameter analysis of the drainage scheme for tunnel and parallel adit.

7. Conclusions

  • The theoretical model and semi-analytical algorithm of the collaborative drainage scheme for a tunnel and parallel adit proposed here can accurately meet the preset drainage boundary conditions in several iterations. The calculation results are consistent with the numerical simulation results, which are suitable for the calculation and analysis of drainage schemes.
  • The drainage volume of the parallel adit negatively correlates with the water pressure at the tunnel boundary with a strong correlation coefficient, and the influence on water pressure is the most significant. The horizontal distance between parallel adit and tunnel has a linear positive correlation with water pressure at the tunnel boundary; however, its influence is less than drainage volume. The water pressure of the lining facing the parallel adit side is significantly less than that on the other side when the parallel adit is collaboratively drained. The smaller the horizontal distance between parallel adit and tunnel, the larger the drainage volume of the parallel adit, and the more significant the inhomogeneity. Therefore, in order to reduce water pressure uniformly and meet the requirements of surrounding rock stability, the horizontal distance between the parallel adit and tunnel should be no less than the tunnel diameter. The height difference between the parallel adit and the tunnel has little effect on the water pressure on the lining; however, it only needs to meet other construction and operation requirements.
  • Based on the semi-analytical results, the pressure head formula of tunnel crown fitted by using nonlinear regression theory has a quality fit, which can be used to calculate and analyze the parameters of the collaborative drainage scheme for a tunnel and parallel adit. The formula can also intuitively express the contribution of water pressure release to each parameter.

Author Contributions

Y.X.: conceptualization; X.L.: formal analysis; software; writing—review and editing; C.Y.: data curation, investigation. All authors have read and agreed to the published version of the manuscript.

Funding

This research was funded by Fundamental Research Funds for China Central Universities, grant number 2021YJS10 and the Scientific Research Project of Hunan Education Department, grant number 20C0842.

Institutional Review Board Statement

Not applicable.

Informed Consent Statement

Not applicable.

Data Availability Statement

Data are contained within this article.

Conflicts of Interest

The authors declare no conflict of interest.

References

  1. Gong, X.; Guo, P. Causes and prevention and mitigation methods for water leakage in tunnels and underground structures. China J. Highw. Transp. 2021, 34, 1–30. [Google Scholar] [CrossRef]
  2. Shen, Z. Study on characteristics of water pressure on the second lining for high water level karst tunnel based on long term monitoring. J. China Railw. Soc. 2015, 37, 110–116. [Google Scholar]
  3. Zhao, L. Study on Water Proof and Drainage Technology of Mountain Tunnel in High Pressure and Rich Water Area Based on Blocking Groundwater and Limiting Discharge. Master’s Thesis, Southwest Jiaotong University, Chengdu, China, 2017. [Google Scholar]
  4. Gao, Y. Guide for Waterproofing and Drainage Design of Railway Tunnels, 1st ed.; Southwest Jiaotong University Press: Chengdu, China, 2018; pp. 89–90. [Google Scholar]
  5. Sun, S.; Pang, M.; Wang, W. Application of parallel pilot tunnel to reduce pressure and dewater. Hydropower Constr. Technol. 2016, 3, 26–27. [Google Scholar]
  6. Wang, L.; Yu, C.; Lu, G. Study on drainage scheme of three-dimensional multi-path route in Zhengpantai tunnel. Railw. Investig. Surv. 2020, 46, 37–41. [Google Scholar]
  7. Zingg, S.; Anagnostou, G. An investigation into efficient drainage layouts for the stabilization of tunnel faces in homogeneous ground. Tunn. Undergr. Space Technol. 2016, 58, 49–73. [Google Scholar] [CrossRef]
  8. Zingg, S.; Anagnostou, G. Tunnel face stability and the effectiveness of advance drainage measures in water-bearing ground of non-uniform permeability. Rock Mech. Rock Eng. 2018, 51, 187–202. [Google Scholar] [CrossRef]
  9. Yi, C.; Senent, S.; Jimenez, R. Effect of advance drainage on tunnel face stability using Limit Analysis and numerical simulations. Tunn. Undergr. Space Technol. 2019, 93, 103105. [Google Scholar] [CrossRef]
  10. Anagnostou, G.; Zingg, S. On the stabilizing effect of advance drainage in tunnelling. Geomech. Tunnell. 2013, 6, 338–354. [Google Scholar] [CrossRef]
  11. Zhao, J.; Tan, Z.; Zhou, Z. Discussion on the waterproof and drainage system of the coastal tunnel and analysis of water pressure law outside lining: A case study of the Gongbei Tunnel. Adv. Civil Eng. 2021, 2021, 6610601. [Google Scholar] [CrossRef]
  12. Wang, C.; Li, D.; Zheng, Q. Research on the drainage effect of parallel headings for the water-rich mountain tunnel. Mod. Tunn. Technol. 2019, 56, 87–93. [Google Scholar]
  13. Kolymbas, D.; Wagner, P. Ground water ingress to tunnels-the exact analytical solution. Tunn. Undergr. Space Technol. 2007, 22, 23–27. [Google Scholar] [CrossRef]
  14. Park, K.; Owatsiriwong, A.; Lee, J. Analytical solution for steady-state groundwater inflow into a drained circular tunnel in a semi-infinite aquifer: A revisit. Tunn. Undergr. Space Technol. 2008, 23, 206–209. [Google Scholar] [CrossRef]
  15. Tang, Y.; Chan, D.; Zhu, D. Analytical solution for steady-state groundwater inflow into a circular tunnel in anisotropic soils. J. Eng. Mech. 2018, 144, 060180031–060180038. [Google Scholar] [CrossRef]
  16. Ying, H.; Zhu, C.; Shen, H. Semi-analytical solution for groundwater ingress into lined tunnel. Tunn. Undergr. Space Technol. 2018, 76, 43–47. [Google Scholar] [CrossRef]
  17. Ying, H.; Zhu, C.; Gong, X. Analytical solutions for the steady-state seepage field in a finite seabed with a lined tunnel. Mar. Georesources Geotechnol. 2019, 37, 972–978. [Google Scholar] [CrossRef]
  18. Butscher, C. Steady-state groundwater inflow into a circular tunnel. Tunn. Undergr. Space Technol. Inc. Trenchless Technol. Res. 2012, 32, 158–167. [Google Scholar] [CrossRef]
  19. Zhang, Y.; Zhang, D.; Xu, T. Analysis of three-dimensional seepage field and prediction of water inflow in underwater tunnel. J. Southwest Jiaotong Univ. 2020, 40, 1000–1005. [Google Scholar]
  20. Zhu, C.; Wu, W.; Ying, H. Drainage-induced ground response in a twin-tunnel system through analytical prediction over the seepage field. Undergr. Space 2021, 6, 1–11. [Google Scholar] [CrossRef]
  21. Zhu, C.; Ying, H.; Gong, X. Analytical solutions to seepage field of underwater twin parallel tunnels. Chin. J. Geotech. Eng. 2019, 42, 355–360. [Google Scholar]
  22. Zhanh, B. Analytical solution for seepage field of twin-parallel tunnels in semi-infinite plane. J. China Railw. Soc. 2017, 39, 125–131. [Google Scholar]
  23. Guo, Y.; Wang, H.; Jiang, M. An analytical solution of seepage field for underwater shallow-buried parallel twin tunnels. Chin. J. Geotech. Eng. 2021, 43, 1088–1096. [Google Scholar]
  24. Lu, A.; Zhang, L. Complex Function Method on Mechanical Analysis of Underground Tunnel, 1st ed.; Science Press: Beijing, China, 2007; pp. 116–117. [Google Scholar]
  25. Liang, K. Methods of Mathematical Physics, 5th ed.; Higher Education Press: Beijing, China, 2020; pp. 155–156. [Google Scholar]
  26. Chen, J.; Liu, Z.; Chen, Y. Orthogonal test and multivariate nonlinear regression analyses of strength of the fiber red clay. Hydrogeol. Eng. Geol. 2020, 47, 117–124. [Google Scholar]
Figure 1. Drainage system for the tunnel with its parallel adit.
Figure 1. Drainage system for the tunnel with its parallel adit.
Applsci 12 03759 g001
Figure 2. Simplified theoretical model of the drainage scheme for the tunnel and parallel adit.
Figure 2. Simplified theoretical model of the drainage scheme for the tunnel and parallel adit.
Applsci 12 03759 g002
Figure 3. Plane of conformal mapping.
Figure 3. Plane of conformal mapping.
Applsci 12 03759 g003
Figure 4. Flow chart of the Schwartz iterative method.
Figure 4. Flow chart of the Schwartz iterative method.
Applsci 12 03759 g004
Figure 5. Boundary conditions in alternating iterations.
Figure 5. Boundary conditions in alternating iterations.
Applsci 12 03759 g005
Figure 6. Hydrogeological profile of the Jiajiaoshan Tunnel.
Figure 6. Hydrogeological profile of the Jiajiaoshan Tunnel.
Applsci 12 03759 g006
Figure 7. Cross-section of the proposed Jiajiaoshan Tunnel and parallel adit.
Figure 7. Cross-section of the proposed Jiajiaoshan Tunnel and parallel adit.
Applsci 12 03759 g007
Figure 8. Numerical model of the drainage schemes for the tunnel and parallel adit.
Figure 8. Numerical model of the drainage schemes for the tunnel and parallel adit.
Applsci 12 03759 g008
Figure 9. Additional radial hydraulic gradient in the iteration step.
Figure 9. Additional radial hydraulic gradient in the iteration step.
Applsci 12 03759 g009
Figure 10. Pressure head contour map.
Figure 10. Pressure head contour map.
Applsci 12 03759 g010
Figure 11. Relative pressure head on the tunnel crown versus horizontal distance between the parallel adit and tunnel.
Figure 11. Relative pressure head on the tunnel crown versus horizontal distance between the parallel adit and tunnel.
Applsci 12 03759 g011
Figure 12. Relative pressure head on the tunnel crown versus the height difference between the parallel adit and tunnel.
Figure 12. Relative pressure head on the tunnel crown versus the height difference between the parallel adit and tunnel.
Applsci 12 03759 g012
Figure 13. Pressure head contour around the tunnel and parallel adit.
Figure 13. Pressure head contour around the tunnel and parallel adit.
Applsci 12 03759 g013
Figure 14. Relative pressure head at tunnel boundary.
Figure 14. Relative pressure head at tunnel boundary.
Applsci 12 03759 g014
Figure 15. Relative pressure head of the tunnel crown versus drainage volume of the parallel adit.
Figure 15. Relative pressure head of the tunnel crown versus drainage volume of the parallel adit.
Applsci 12 03759 g015
Figure 16. Comparison of fitting results and semi-analytical solution of pressure head on the tunnel crown.
Figure 16. Comparison of fitting results and semi-analytical solution of pressure head on the tunnel crown.
Applsci 12 03759 g016
Table 1. Calculation parameters.
Table 1. Calculation parameters.
K/(m·s−1)dw/mdt/mrt/mrp/mSh/mSv/m
5 × 10−6803606.93.9141.40
Table 2. Factors and levels in the orthogonal experiment.
Table 2. Factors and levels in the orthogonal experiment.
LevelsFactors
rp/mrt/mdtw/mSh/mSv/m
13.06.0100100.75
23.56.5250151.50
34.07.0400202.25
44.57.5550253.00
Table 3. Scheme and results of the orthogonal experiment.
Table 3. Scheme and results of the orthogonal experiment.
Experiment Numberrp/mrt/mdtw/mSh/mSv/mδtδp
13.06.0100100.750.56570.3448
23.06.5250151.500.69460.4536
33.07.0400202.250.75650.4991
43.07.5550253.000.79570.5250
53.56.0250203.000.70820.4328
63.56.5100252.250.56170.2690
73.57.0550101.500.80820.5927
83.57.5400150.750.74610.5173
94.06.0400251.500.78200.4884
104.06.5550200.750.81960.5567
114.07.0100153.000.54470.3000
124.07.5250102.250.67310.4576
134.56.0550152.250.83390.5799
144.56.5400103.000.77160.5435
154.57.0250250.750.68500.4067
164.57.5100201.500.53710.2783
Publisher’s Note: MDPI stays neutral with regard to jurisdictional claims in published maps and institutional affiliations.

Share and Cite

MDPI and ACS Style

Luo, X.; Xiang, Y.; Yu, C. A Semi-Analytical Model and Parameter Analysis of a Collaborative Drainage Scheme for a Deeply Buried Tunnel and Parallel Adit in Water-Rich Ground. Appl. Sci. 2022, 12, 3759. https://doi.org/10.3390/app12083759

AMA Style

Luo X, Xiang Y, Yu C. A Semi-Analytical Model and Parameter Analysis of a Collaborative Drainage Scheme for a Deeply Buried Tunnel and Parallel Adit in Water-Rich Ground. Applied Sciences. 2022; 12(8):3759. https://doi.org/10.3390/app12083759

Chicago/Turabian Style

Luo, Xiongwen, Yanyong Xiang, and Chenyun Yu. 2022. "A Semi-Analytical Model and Parameter Analysis of a Collaborative Drainage Scheme for a Deeply Buried Tunnel and Parallel Adit in Water-Rich Ground" Applied Sciences 12, no. 8: 3759. https://doi.org/10.3390/app12083759

APA Style

Luo, X., Xiang, Y., & Yu, C. (2022). A Semi-Analytical Model and Parameter Analysis of a Collaborative Drainage Scheme for a Deeply Buried Tunnel and Parallel Adit in Water-Rich Ground. Applied Sciences, 12(8), 3759. https://doi.org/10.3390/app12083759

Note that from the first issue of 2016, this journal uses article numbers instead of page numbers. See further details here.

Article Metrics

Back to TopTop