Proton Conductivity of La2(Hf2−xLax)O7−x/2 “Stuffed” Pyrochlores
Abstract
:Featured Application
Abstract
1. Introduction
2. Materials and Methods
3. Results and Discussion
3.1. Study of the La2Hf2O7 and La2(Hf1.9La0.1)O6.95 Structure by the X-ray Diffraction Method
3.2. Microstructure of La2Hf2O7 and La2(Hf1.9La0.1)O6.95
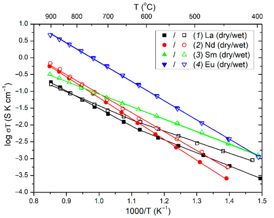
3.3. Oxygen Ion and Proton Conductivity of La2(Hf2−xLax)O7−x/2 (x = 0; 0.1) in Dry and Wet Air
3.4. DSC and TG Characterization of La2(Hf1.9La0.1)O6.95 “Stuffed” Pyrochlore
3.5. Four-Probe Proton Conductivity Measurements for the La2(Hf1.9La0.1)O6.95 Stuffed Pyrochlore in Dry and Wet Nitrogen and Air
4. Conclusions
Supplementary Materials
Author Contributions
Funding
Institutional Review Board Statement
Informed Consent Statement
Data Availability Statement
Acknowledgments
Conflicts of Interest
References
- Anokhina, I.A.; Animitsa, I.E.; Voronin, V.I.; Vykhodets, V.B.; Kurennykh, T.E.; Molchanova, N.G.; Vylkov, A.I.; Dedyukhin, A.E.; Zaikov, Y.P. The structure and electrical properties of lithium doped pyrochlore Gd2Zr2O7. Ceram. Intern. 2021, 47, 1949–1961. [Google Scholar] [CrossRef]
- Mullens, B.G.; Zhang, Z.; Avdeev, M.; Brand, H.E.A.; Cowie, B.C.C.; Muzquiz, M.S.; Kennedy, B.J. Effect of long and short-range disorder on the oxygen ionic conductivity of Tm2(Tm2-xTmx)O7-x/2 “stuffed” pyrochlores. Inorg. Chem. 2021, 60, 4517–4530. [Google Scholar] [CrossRef]
- Mullens, B.G.; Zhang, Z.; Avdeev, M.; Brand, H.E.A.; Cowie, B.C.C.; D’Angelo, A.; Múzquiz, M.S.; Kennedy, B.J. Average and local ordering of Yb2(Ti2-xYbx)O7-x/2 “stuffed“ pyrochlores: The development of a robust structural model. J. Solid State Chem. 2021, 302, 122412. [Google Scholar] [CrossRef]
- Lyskov, N.V.; Shchegolikhin, A.N.; Stolbov, D.N.; Kolbanev, I.V.; Gomes, E.; Abrantes, J.C.C.; Shlyakhtina, A.V. Study of oxygen-ion conductivity and luminescence in the ZrO2-Nd2O3 system: Impact of local heterogeneity. Electrochim. Acta 2022, 403, 139632. [Google Scholar] [CrossRef]
- Anithakumari, P.; Grover, V.; Nandi, C.; Bhattacharyya, K.; Tyagi, A.K. Utilizing non-stoichiometry in Nd2Zr2O7 pyrochlore: Exploring superior ionic conductors. RSC Adv. 2016, 6, 97566–97579. [Google Scholar] [CrossRef]
- Zvonareva, I.; Fu, X.-Z.; Medvedev, D.; Shao, Z. Electrochemistry and energy conversion features of protonic ceramic cells with mixed ionic-electronic electrolytes. Energy Environ. Sci. 2022, 15, 439–465. [Google Scholar] [CrossRef]
- Medvedev, D.A. Current drawbacks of proton-conducting ceramic materials: How to overcome them for real electrochemical purposes. Curr. Opin. Green Sustain. Chem. 2021, 32, 100549. [Google Scholar] [CrossRef]
- Lopez-Cota, F.A.; Cepeda-Sanchez, N.M.; Dıaz-Guillen, J.A.; Dura, O.J.; Lopez de la Torre, M.A.; Maczka, M.; Ptak, M.; Fuentes, A.F. Electrical and thermophysical properties of mechanochemically obtained lanthanide hafnates. J. Am. Ceram. Soc. 2017, 100, 1994–2004. [Google Scholar] [CrossRef]
- Sardar, S.; Kale, G.; Ghadiri, M. Microstructure and impedance spectroscopy of high density holmium hafnate (Ho2Hf2O7) from nanoparticulate compacts. Mater. Sci. Eng. B 2021, 265, 114989. [Google Scholar] [CrossRef]
- Govindan Kutty, K.V.; Mathews, C.K.; Varadaraju, U.V. Effect of aliovalent ion substitution on the oxide ion conductivity in rare-earth pyrohafnates RE2-xSrxHf2O7-δ and RE2Hf2-xAlxO7-δ (RE = Gd and Nd; x = 0, 0.1, and 0.2). Solid State Ion. 1998, 110, 335–340. [Google Scholar] [CrossRef]
- Shlyakhtina, A.V.; Savvin, S.N.; Levchenko, A.V.; Knotko, A.V.; Fedtke, P.; Busch, A.; Barfels, T.; Wienecke, M.; Shcherbakova, L.G. Study of bulk and grain-boundary conductivity of Ln2+xHf2-xO7-δ (Ln= Sm-Gd; x=0, 0.096) pyrochlores. J. Electroceram. 2010, 24, 300–307. [Google Scholar] [CrossRef]
- Anantharaman, A.P.; Dasari, H.P. Potential of pyrochlore structure materials in solid oxide fuel cell applications. Ceram. Int. 2021, 47, 4367–4388. [Google Scholar] [CrossRef]
- Aidhy, D.S.; Sachan, R.; Zarkadoula, E.; Pakarinen, O.; Chisholm, M.F.; Zhang, Y.; Weber, W.J. Fast ion conductivity in strained defect-fluorite structure created by ion tracks in Gd2Ti2O7. Sci. Rep. 2015, 5, 16297. [Google Scholar] [CrossRef] [PubMed] [Green Version]
- Cepeda-Sanchez, N.M.; Dias-Guillen, J.A.; Macka, M.; Amador, U.; Fuentes, A. Mechanochemical synthesis, crystal structure and ion conduction in the Gd2Hf2-xTixO7 system. J. Mater. Sci. 2017, 52, 11933–11946. [Google Scholar] [CrossRef]
- Cepeda-Sanchez, N.M.; Fuentes, A.F.; Lopez-Cota, F.A.; Rodrigues-Reyes, M.; Dias-Guillen, J.A. Mechanochemical synthesis and electrical properties of Gd2Hf2−xZrxO7 solid electrolytes for their use in SOFC’s. J. Appl. Electrochem. 2015, 45, 1231–1237. [Google Scholar] [CrossRef]
- Shlyakhtina, A.V.; Lyskov, N.V.; Shchegolikhin, A.N.; Kolbanev, I.V.; Chernyak, S.A.; Konysheva, E.Y. Valence state of europium and samarium in Ln2Hf2O7 (Ln = Eu, Sm) based in oxygen—Ion conductors. Ceram. Intern. 2021, 47, 26898–26906. [Google Scholar] [CrossRef]
- Drey, D.L.; O’Quinn, E.C.; Subramani, T.; Lilova, K.; Baldinozzi, G.; Gussev, I.M.; Fuentes, A.F.; Neuefeind, J.C.; Everett, M.; Sprouster, D.; et al. Disorder in Ho2Ti2−xZrxO7: Pyrochlore to defect fluorite solid solution series. RSC Adv. 2020, 10, 34632–34650. [Google Scholar] [CrossRef]
- Valdés-Ibarra, M.R.; Díaz-Guillén, J.A.; Padmasree, K.P.; Montemayor, S.M.; Rodríguez-Varela, F.J.; Fuentes, A.F. Oxygen ion conducting pyrochlore oxides prepared by an ultrasound-assisted wet chemistry route: Ca-doped Gd2Ti2O7 nanocrystals. Int. J. Hydrog. Energy 2019, 44, 12515–12524. [Google Scholar] [CrossRef]
- Yamamura, H.; Nishino, H.; Kakinuma, K.; Nomura, K. Electrical conductivity anomaly around fluorite-pyrochlore phase boundary. Solid State Ion. 2003, 158, 359–365. [Google Scholar] [CrossRef]
- Rejith, R.S.; Thomas, J.K.; Solomon, S. Structural, optical and impedance spectroscopic characterizations of RE2Zr2O7 (RE = La, Y) ceramics. Solid State Ion. 2018, 323, 112–122. [Google Scholar] [CrossRef]
- Sun, M.; Huang, B. “Energy Selection Channels” for High-Performance Electrolyte: Anion-Frenkel Defect Pair as Dominant Source for O Ion Conductions in Pyrochlore-type Lanthanide Hafnium Oxides SOFC. Inorg. Chem. 2017, 56, 7975–7984. [Google Scholar] [CrossRef] [PubMed]
- Shlyakhtina, A.V.; Lyskov, N.V.; Shchegolikhin, A.N.; Chernyak, S.A.; Knotko, A.V.; Kolbanev, I.V.; Shcherbakova, L.G. Structure evolution, ionic and proton conductivity of solid solutions based on Nd2Hf2O7. Ceram. Intern. 2020, 46, 17383–17391. [Google Scholar] [CrossRef]
- Eurenius, K.E.J.; Ahlberg, E.; Knee, C.S. Role of B-site ion on proton conduction in acceptor-doped Sm2B2O7—δ (B = Ti, Sn, Zr and Ce) pyrochlores and C-type compounds. J. Chem. Soc. Dalton Trans. 2011, 40, 3946–3954. [Google Scholar] [CrossRef] [PubMed]
- Kharton, V.V.; Marques, F.M.B.; Atkinson, A. Transport properties of solid oxide electrolyte ceramics: A brief review. Solid State Ion. 2004, 174, 135–149. [Google Scholar] [CrossRef]
- Gorelov, V.P.; Balakireva, V.B.; Vorotnikov, V.A. Proton conductivity of acceptor-doped Sr2CeO4. Inorg. Mater. 2019, 55, 1167–1171. [Google Scholar] [CrossRef]
- Tarasova, N.A.; Galisheva, A.O.; Animitsa, I.E. Electrical conductivity of BaLaIn0.9M0.1O3.9 (M = Mg, Zn)—New complex oxides with the Ruddlesden–Popper structure. Inorg. Mater. 2021, 57, 60–67. [Google Scholar] [CrossRef]
- Perez, Y.; Jorba, M. ZrO2-rare-earth oxides systems. Ann. Chim. 1962, 7, 479–511. [Google Scholar]
- Rouanet, A. Contribution a l,etude des systemes zirconia—Oxides des lanthanides au voisinage de la fusion: Memoire de these. Rev. Intern. Hautes Temp. Refract. 1971, 8, 161–180. [Google Scholar]
- Shlyakhtina, A.V.; Belov, D.A.; Karyagina, O.K.; Shcherbakova, L.G. Ordering processes in Ln2TiO5 (Ln=Dy-Lu): The role of thermal history. J. Alloys Compd. 2009, 479, 6–10. [Google Scholar] [CrossRef]
- Lau, G.C.; McQueen, T.M.; Huang, Q.; Zandbergen, H.W.; Cava, R.J. Long- and short-range order in stuffed titanate pyrochlores. J. Solid State Chem. 2008, 181, 45–50. [Google Scholar] [CrossRef]
- Huang, Z.K.; Lin, Z.X.; Yen, T.S. Phase diagram Yb2O3—TiO2. Kuei Suan Yen Hsueh Pao/J. Chin. Cer. Soc. 1979, 7, 1–10. [Google Scholar]
- Arseniev, P.A.; Glushkova, V.B.; Evdokimov, A.A.; Keller, E.K.; Kravchenko, V.B.; Kravshinskaya, V.A.; Krzhihzanovskaya, V.A.; Kuznetsov, A.K.; Kurbanov, K.M.; Potemkin, A.V.; et al. Compounds of Rare-Earth Elements. Zirconates, Hafnates, Niobates, Tantalates, Antimonates; Nauka: Moskva, Russia, 1985; p. 261. (In Russian) [Google Scholar]
- Aronov, M.N. Laboratory vibrating eccentric mill. Instrum. Exp. Tech. 1959, 1, 153–154. [Google Scholar]
- Sivak, M.V.; Streletskii, A.N.; Kolbanev, I.V.; Leonov, A.V.; Degtyarev, E.N.; Permenov, D.G. Defect structure of nanosized mechanically activated MoO3. Colloid J. 2015, 77, 333–340. [Google Scholar] [CrossRef]
- Duran, P. Phase relationships HfO2—La2O3 and HfO2—Nd2O3. Ceramurg. Int. 1975, 1, 10–13. [Google Scholar] [CrossRef]
- Heremans, C.; Wuensch, B.J.; Stalick, J.K.; Prince, E. Fast-ion conducting Y2(ZryTi1-y)2O7 pyrochlores: Neutron Rietveld analysis of disorder induced by Zr substitution. J. Solid State Chem. 1995, 117, 108–121. [Google Scholar] [CrossRef]
- Zhang, Z.; Avdeev, M.; de los Reyes, M.; Lumpkin, G.R.; Kennedy, B.J.; Blanchard, P.E.R.; Liu, S.; Tadich, A.; Cowie, B.C.C. Probing long- and short-range disorder in Y2Ti2−xHfxO7 by diffraction and spectroscopy techniques. J. Phys. Chem. C 2016, 120, 26465–26479. [Google Scholar] [CrossRef]
- Labrincha, J.A.; Frade, J.R.; Marques, F.M.B. Protonic conduction in La2Zr2O7—Based pyrochlore materials. Solid State Ion. 1997, 99, 33–40. [Google Scholar] [CrossRef]
- Alvero, R.; Odriozola, J.A.; Trillo, J.M.; Bernal, S. Lanthanide Oxides: Preparation and Ageing. J. Chem. Soc. Dalton Trans. 1984, 1, 87391. [Google Scholar] [CrossRef]
- Colomban, P. Proton and Protonic Species: The Hidden Face of Solid State Chemistry. How to Measure H-Content in Materials? Fuel Cells 2013, 13, 6–18. [Google Scholar] [CrossRef]
- Omata, T.; Otsuka-Yao-Matsuo, S. Electrical properties of proton-conducting Ca2+—Doped La2Zr2O7 with a pyrochlore-type structure. J. Electrochem. Soc. 2001, 148, E252–E261. [Google Scholar] [CrossRef]
- Antonova, E.P.; Farlenkov, A.S.; Tropin, E.S.; Eremin, V.A.; Khodimchuk, A.V.; Ananiev, M.V. Oxygen isotope exchange, water uptake and electrical conductivity of Ca-doped lanthanum zirconate. Solid State Ion. 2017, 306, 112–117. [Google Scholar] [CrossRef]
- Shlyakhtina, A.V.; Abrantes, J.C.C.; Gomes, E.; Lyskov, N.V.; Konysheva, E.Y.; Chernyak, S.A.; Kharitonova, E.P.; Karyagina, O.K.; Kolbanev, I.V.; Shcherbakova, L.G. Evolution of oxygen-ion and proton conductivity in Ca doped Ln2Zr2O7 (Ln = Sm, Gd), located near pyrochlore—fluorite phase boundary. Materials 2019, 12, 2452. [Google Scholar] [CrossRef] [Green Version]
- Kasyanova, A.V.; Radenko, A.O.; Lyagaeva, Y.G.; Medvedev, D.A. Lanthanum-Containing Proton-Conducting Electrolytes with Perovskite Structures. Membr. Membr. Technol. 2021, 3, 73–97. [Google Scholar] [CrossRef]
- Shlyakhtina, A.V.; Lyskov, N.V.; Konysheva, E.Y.; Chernyak, S.A.; Kolbanev, I.V.; Vorobieva, G.A.; Shcherbakova, L.G. Gas-tight proton-conducting Nd2−xCaxZr2O7−δ (x = 0, 0.05) ceramics. J. Solid State Electrochem. 2020, 24, 1475–1486. [Google Scholar] [CrossRef]
- Xia, X.-L.; Ouyang, J.-H.; Liu, Z.-G. Influence of CaO on structure and electrical conductivity of pyrochlore –type Sm2Zr2O7. J Powder Sources 2009, 189, 888–893. [Google Scholar] [CrossRef]
- Omata, T.; Ikeda, K.; Tokashiki, R.; Otsuka-Yao-Matsuo, S. Proton solubility for La2Zr2O7 with a pyrochlore structure doped with a series of alkaline-earth ions. Solid State Ion. 2004, 167, 389–397. [Google Scholar] [CrossRef]
- Zhong, F.; Zhao, J.; Shi, L.; Xiao, Y.; Cai, G.; Zheng, Y.; Long, J. Alkalin-Earth Metals-Doped Pyrochlore Gd2Zr2O7 as oxygen conductors for improved NO2 sensing performance. Sci. Rep. 2017, 7, 4684. [Google Scholar] [CrossRef] [PubMed] [Green Version]





| c | Site | x | y | z | Occ. | Rexp, % Rwp, % Rp, % GOF | Unit Cell Parameter a, Å | Crystal Density, g/cm3 |
|---|---|---|---|---|---|---|---|---|
| La2Hf2O7 | LaLa(16d) | 0.5000 | 0.5000 | 0.5000 | 1 | 9.61 | ||
| HfHf(16c) | 0.0000 | 0.0000 | 0.0000 | 1 | 12.42 | |||
| LaHf(16c) | 0.0000 | 0.0000 | 0.0000 | 0 | 9.93 | 10.7731(2) | 7.93 | |
| O(1)(48f) | 0.3586 | 0.1250 | 0.1250 | 1 | 1.26 | |||
| O(2)(8a) | 0.1250 | 0.1250 | 0.1250 | 1 | ||||
| La2(Hf1.9La0.1)O6.95 | LaLa(16d) | 0.5000 | 0.5000 | 0.5000 | 1 | 9.45 | ||
| HfHf(16c) | 0.0000 | 0.0000 | 0.0000 | 0.95 | 15.08 | |||
| LaHf(16c) | 0.0000 | 0.0000 | 0.0000 | 0.05 | 11.88 | 10.7833(1) | 7.86 | |
| O(1)(48f) | 0.3770 | 0.1250 | 0.1250 | 0.992 | 1.6 | |||
| O(2)(8a) | 0.1250 | 0.1250 | 0.1250 | 1 |
| Composition | Analysing Area | Nominal Stoichiometry La/Hf | La/Hf Mean | Standard Error of the Mean |
|---|---|---|---|---|
| La2(Hf1.9La0.1)O6.95 | Outer surface | 1.11 | 1.34 | 0.04 |
| Fracture surface | 1.24 | 0.05 | ||
| La2Hf2O7 | Outer surface | 1.00 | 1.57 | 0.13 |
| Fracture surface | 1.05 | 0.04 |
| Composition Ln2(Hf1.9Ln0.1)O6.95 | Atmosphere | Temperature Range, °C | Ea (±0.01), eV | References |
|---|---|---|---|---|
| La | Dry air | 300–600 | 0.77 | This work |
| 600–900 | 1.04 | |||
| Wet air | 300–600 | 0.66 | ||
| 600–900 | 0.82 | |||
| Nd | Dry air | 550–900 | 1.25 | [22] |
| Wet air | 550–900 | 1.16 | ||
| Sm | Dry air | 400–900 | 0.74 | [16] |
| Wet air | 400–900 | 0.74 | ||
| Eu | Dry air | 400–900 | 1.14 | [16] |
| Wet air | 400–900 | 1.14 |
Publisher’s Note: MDPI stays neutral with regard to jurisdictional claims in published maps and institutional affiliations. |
© 2022 by the authors. Licensee MDPI, Basel, Switzerland. This article is an open access article distributed under the terms and conditions of the Creative Commons Attribution (CC BY) license (https://creativecommons.org/licenses/by/4.0/).
Share and Cite
Shlyakhtina, A.V.; Lyskov, N.V.; Nikiforova, G.E.; Kasyanova, A.V.; Vorobieva, G.A.; Kolbanev, I.V.; Stolbov, D.N.; Medvedev, D.A. Proton Conductivity of La2(Hf2−xLax)O7−x/2 “Stuffed” Pyrochlores. Appl. Sci. 2022, 12, 4342. https://doi.org/10.3390/app12094342
Shlyakhtina AV, Lyskov NV, Nikiforova GE, Kasyanova AV, Vorobieva GA, Kolbanev IV, Stolbov DN, Medvedev DA. Proton Conductivity of La2(Hf2−xLax)O7−x/2 “Stuffed” Pyrochlores. Applied Sciences. 2022; 12(9):4342. https://doi.org/10.3390/app12094342
Chicago/Turabian StyleShlyakhtina, Anna V., Nikolay V. Lyskov, Galina E. Nikiforova, Anna V. Kasyanova, Galina A. Vorobieva, Igor V. Kolbanev, Dmitry N. Stolbov, and Dmitry A. Medvedev. 2022. "Proton Conductivity of La2(Hf2−xLax)O7−x/2 “Stuffed” Pyrochlores" Applied Sciences 12, no. 9: 4342. https://doi.org/10.3390/app12094342
APA StyleShlyakhtina, A. V., Lyskov, N. V., Nikiforova, G. E., Kasyanova, A. V., Vorobieva, G. A., Kolbanev, I. V., Stolbov, D. N., & Medvedev, D. A. (2022). Proton Conductivity of La2(Hf2−xLax)O7−x/2 “Stuffed” Pyrochlores. Applied Sciences, 12(9), 4342. https://doi.org/10.3390/app12094342

