Reduction in Off-Flavors in Wine Using Special Filter Layers with Integrated Zeolites and the Effect on the Volatile Profile of Austrian Wines
Abstract
:1. Introduction
2. Materials and Methods
2.1. The Trial Wines
2.2. Experiment on a 25 L Scale (125 L per m2 Filtration Surface)
2.3. Experiment on a 250 L Scale (1250 L per m2 Filtration Surface)
2.4. Trial with a Prototype of the Company Filtrox Group (Zwingen, Switzerland) for the Reduction in Strong “Animal” Phenolic Aromas
2.5. Analysis of the Volatile Profile
2.6. Sensory Tests
2.7. Statistical Evaluation
3. Results
3.1. Experiment on a 25 L Scale (125 L per m2 Filtration Surface)
3.1.1. Reduction in the Wine Faults
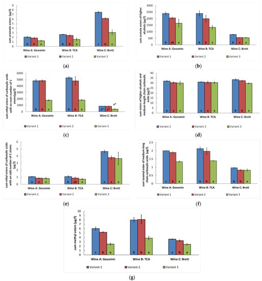
3.1.2. Effect on the Volatile Profile of the Filtered Wines
3.1.3. Sensorial Examination
3.2. Experiment on a 250 L Scale (1250 L per m2 Filtration Surface)
3.2.1. Aroma Analysis
3.2.2. Sensorial Examination
3.3. Trial with a Prototype of the Company Filtrox Group (Zwingen, Switzerland) for the Reduction in Strong “Animal” Phenolic Aromas
4. Discussion
5. Conclusions
Supplementary Materials
Author Contributions
Funding
Institutional Review Board Statement
Informed Consent Statement
Data Availability Statement
Acknowledgments
Conflicts of Interest
References
- Federal Law on the Circulation of Wine and Fruit Wine (Wine Act 2009). Available online: https://www.ris.bka.gv.at/GeltendeFassung.wxe?Abfrage=Bundesnormen&Gesetzesnummer=20006524 (accessed on 9 February 2022).
- Tasting Regulation BGBl II 256/2003. Available online: https://www.ris.bka.gv.at/GeltendeFassung.wxe?Abfrage=Bundesnormen&Gesetzesnummer=20002718 (accessed on 9 February 2022).
- Documentation Austrian Wine 2020. Available online: https://www.oesterreichwein.at/fileadmin/user_upload/PDF/Doku/Dokumentation_OEsterreich_Wein_2020_Gesamtdokument_20210727.pdf#page=33 (accessed on 9 February 2022).
- Eder, R.; Baumgartner, K. Reasons for rejection of quality wines. Der Winzer 2018, 2, 22–25. [Google Scholar]
- Weingart, G. Analytical and Sensory Determination of 2,4,6-trichloroanisole and Geosmin in Wine. Master’s Thesis, University of Vienna, Vienna, Austria, 2007. [Google Scholar]
- Weingart, G.; Schwartz, H.; Eder, R.; Sontag, G. Determination of geosmin and 2,4,6-trichloroanisole in white and red Austrian wines by headspace SPME-GC/MS and comparison with sensory analysis. Eur. Food Res. Technol. 2010, 231, 771–779. [Google Scholar] [CrossRef]
- Nauer, S.; Philipp, C.; Brandes, W.; Patzl-Fischerleitner, E.; Eder, R. Occurrence of geosmin and other mold-associated compounds in Austrian grapes and wine. Mitt. Klosterneubg. 2022, 72, 68–74. [Google Scholar]
- Eder, R.; Nauer, S.; Brandes, W.; Patzl-Fischerleitner, E.; Philipp, C. Practical investigation: Reduction of geosmin by means of depth filtration with selective adsorber from the Filtrox Group. Mitt. Klosterneubg. 2022, 72, 75–90. [Google Scholar]
- RESOLUTION OIV-OENO 444-2016. Available online: https://www.oiv.int/public/medias/4930/oiv-oeno-444-2016-de.pdf (accessed on 13 December 2021).
- Unger, B.; Schumann, K.; Brandt, A. Zeolites as sorbents. Chem. Ing. Tech. 2010, 82, 929–940. [Google Scholar] [CrossRef]
- Jung, R.; Schaefer, V.; Christmann, M.; Hey, M.; Fischer, S.; Rauhut, D. Removal of 2,4,6-trichloroanisole (TCA) and 2,4,6-tribromoanisole (TBA) from wine. Mitt. 2008, 58, 58–67. [Google Scholar]
- Eder, R.; Hütterer, E.M.; Weingart, G.; Brandes, W. Reduction of 2,4,6-trichloranisole and geosmin contents in wine by means of special filter layers. Mitt. Klosterneubg. 2008, 58, 12–16. [Google Scholar]
- Farkas, J.; Procházka, Z. Technology and Biochemistry of Wine; Gordon and Breach Science Publ.: New York, NY, USA, 1988; p. 744. ISBN 2-88-124-069-0. [Google Scholar]
- Philipp, C.; Eder, P.; Hartmann, M.; Patzl-Fischerleitner, E.; Eder, R. Plant Fibers in Comparison with Other Fining Agents for the Reduction of Pesticide Residues and the Effect on the Volatile Profile of Austrian White and Red Wines. J. Appl. Sci. 2021, 11, 5365. [Google Scholar] [CrossRef]
- Eder, R.; Nauer, S. Determination and elimination of rotten grape aroma by filter layers with selective adsorbers. BIO Web Conf. 2016, 7, 02018. [Google Scholar] [CrossRef] [Green Version]
- Ferreira, V.; de la Fuente, A.; Sáenz-Navajas, M.P. Wine aroma vectors and sensory attributes. In Managing Wine Quality, 2nd ed.; Reynolds, A., Ed.; Woodhead Publishing: Sawston, UK, 2022; pp. 3–39. [Google Scholar]
- Amon, J.M.; Vandepeer, J.M.; Simpson, R.F. Compounds responsible for cork taint in wine. Wine Ind. J. 1989, 4, 62–69. [Google Scholar]
- Eder, R.; Weingart, G.; Nauer, S. Reconsidering the potential of geosmine as indicator for grape health and sensorial wine quality. In Proceedings of the 10th Vino Analytica Sciencia, Salamanca, Spain, 17–20 July 2017. [Google Scholar]
- Darriet, P.; Pons, M.; Lamy, S.; La Guereche, S.; Pons, M.; Dubourdieu, D.; Blancard, D.; Steliopoulos, P.; Mosandl, A. Identification and quantification of geosmin, an earthy odorant contaminating wines. J. Agric. Food Chem. 2000, 48, 4835–4838. [Google Scholar] [CrossRef]
- Buser, H.; Zanier, C.; Tanner, H. Identification of 2,4,6-trichloranisole as a potent compound causing cork taint. J. Agric. Food Chem. 1982, 30, 359–362. [Google Scholar] [CrossRef]
- Ribrereau-Gayon, P.; Glories, Y.; Maujean, A.; Dubourdieu, D. Handbook of Enology Volume 2: The Chemistry of Wine Stabilization and Treatments, 2nd ed.; John Wiley & Sons: Hoboken, HJ, USA, 2006; pp. 112–118. [Google Scholar]
- Simpson, R.F.; Sefton, M.A. Origin and fate of 2,4,6-trichloroanisole in cork bark and wine corks. Aust. J. Grape Wine Res. 2007, 13, 106–116. [Google Scholar] [CrossRef]
- Suprenant, A.; Butzke, C.E. Implications on sensory quality control of cork stoppers. In Proceedings of the Fourth International Symposium on Cold Climate Viticulture and Enology, Rochester, NY, USA, 16–20 July 1996; Cary, R., Henik-Kling, T., Harkness, E.M., Eds.; Vitis Information Resources: Lancaster, NY, USA, 1996; pp. 70–74. [Google Scholar]
- Álvarez-Rodríguez, M.L.; López-Ocana, L.; López-Coronado, J.M.; Rodríguez, E.; Martínez, M.J.; Larriba, G.; Coque, J.J.R. Cork taint of wines: Role of the filamentous fungi isolated from cork in the formation of 2, 4, 6-trichloroanisole by O methylation of 2,4,6-trichlorophenol. Appl. Environ. Microbiol. 2002, 68, 5860–5869. [Google Scholar] [CrossRef] [PubMed] [Green Version]
- Dubois, P.; Brule, G. Study of volatile phenols of red wines. Acad. Sci. Paris CR Ser. D 1970, 273, 1597–1598. [Google Scholar]
- Hesford, F.; Schneider, K. Third ethylphenol discovered to be responsible for undesirable odours of Brettanomyces in wine making. Obst-und Weinbau. SZOW 2005, 140, 11–13. [Google Scholar]
- Csikor, Z.; Pusztai, É.; Barátossy, G. Statistical Evaluation of 4-ethylphenol and 4-ethylguaiacol Concentrations to Support Sensory Evaluation of “Brett Character” of Wines: A Proposed Threshold. Period. Polytech. Chem. Eng. 2018, 62, 450–456. [Google Scholar] [CrossRef]
- Pour Nikfardjam, M.; May, B.; Tschiersch, C. 4-Ethylphenol and 4-ethylguaiacol contents in bottled wines from the German ‘Württemberg’ region. Eur. Food Res. Technol. 2009, 230, 333–341. [Google Scholar] [CrossRef]
- Chatonnet, P.; Dubourdieu, D.; Boidron, J.-N.; Pons, M. The Origin of Ethylphenols in Wines. J. Sci. Food Agric. 1992, 60, 165–178. [Google Scholar] [CrossRef]
- Lattey, K.A.; Bramley, B.R.; Francis, I.L. Consumer acceptability, sensory properties and expert quality judgements of Australian Cabernet Sauvignon and Shiraz wines. Aust. J. Grape Wine Res. 2010, 16, 189–202. [Google Scholar] [CrossRef]
- Petrozziello, M.; Asproudi, A.; Guaita, M.; Borsa, D.; Motta, S.; Panero, L.; Bosso, A. Influence of the matrix composition on the volatility and sensory perception of 4-ethylphenol and 4-ethylguaiacol in model wine solutions. Food Chem. 2014, 149, 197–202. [Google Scholar] [CrossRef] [PubMed]
- Knapp, W.; Schmudermayer, A.; Seiberl, W.; Sigl, K.; Eder, R. Sensorische Beschreibung und Ermittlung der Wahrnehmungsschwellenwerte von flüchtigen Phenolen und Isovaleriansäure. Mitt. Klosterneubg. 2010, 60, 268–277. [Google Scholar]
- Conterno, L.; Joseph, C.L.; Arvik, T.J.; Henick-Kling, T.; Bisson, L.F. Genetic and physiological characterization of Brettanomyces bruxellensis strains isolated from wines. Am. J. Enol. Vitic. 2006, 57, 139–147. [Google Scholar]
- da Silva, G.A. Dekkera e Brettanomyces: Leveduras não Competitivas que Deterioram vinhos. Embrapa Uva e Vinho-Documentos (INFOTECA-E). Available online: https://www.infoteca.cnptia.embrapa.br/bitstream/doc/541447/1/doc041.pdf (accessed on 8 February 2022).
- Philipp, C.; Nauer, S.; Sari, S.; Eder, P.; Patzl-Fischerleitner, E.; Eder, R. Quantification of 38 volatile ester compounds by means of SIDA-HS-SPME-GC-MS in ‘Pinot blanc’ wines and comparison with other important Austrian varieties. Mitt. Klosterneubg. 2019, 69, 93–114. [Google Scholar]
- Philipp, C.; Eder, P.; Sari, S.; Hussain, N.; Patzl-Fischerleitner, E.; Eder, R. Aromatypicity of Austrian Pinot Blanc Wines. Molecules 2020, 25, 5705. [Google Scholar] [CrossRef] [PubMed]
- Amerine, M.A.; Pangborn, R.M.; Roessler, E.B. Principles of Sensory Evaluation of Food; Academic Press: New York, NY, USA; London, UK, 1965. [Google Scholar]
- Antalick, G.; Perello, M.C.; de Revel, G. Development, validation and application of a specific method for the quantitative determination of wine esters by headspace-solid-phase microextraction-gas chromatography–mass spectrometry. Food Chem. 2010, 121, 1236–1245. [Google Scholar] [CrossRef]
- Lagerverkauf: Filtrox Filterschichten. Fisher Lahr. Available online: https://www.fischer-lahr.de/Filtrox-TXR-Filterschicht-40x40-Spezialfilterschicht-zum-Entfernen-von-TCA-und-TBA-Molekuelen- (accessed on 19 April 2022).
- Seitz Filterschichten 40x40 25 Stk. EKS: Mosthshop. Available online: https://www.mostshop.at/Seitz-Filterschichten-40x40-25Stk (accessed on 19 April 2022).








| Compounds | R2 | LOD | LOQ | Reproducibility | Recovery |
|---|---|---|---|---|---|
| 4-ethylphenol | 0.997 | 0.2 µg/L | 0.5 µg/L | 2.36% | 104.4% |
| 4-ethylguaiacol | 0.999 | 0.1 µg/L | 0.3 µg/L | 2.61% | 100.9% |
| 4-ethylcatechol | 0.996 | 0.1 µg/L | 0.4 µg/L | 2.47% | 92.7% |
| Trial Wine | Comparison | Number of Panelists | Number of Results | Number Correctly Distinguished (Number of Variant 3 Better than the Compared Variant) | Significant Difference | Significant Preference |
|---|---|---|---|---|---|---|
| trial wine A | variant 3–variant 0 | 15 | 30 | 16 (4) | p ≤ 0.05 | p ≤ 0.001 |
| variant 3–variant 1 | 15 | 30 | 24 (20) | p ≤ 0.001 | p ≤ 0.001 | |
| variant 3–variant 2 | 15 | 30 | 20 (20) | p ≤ 0.001 | p ≤ 0.001 | |
| trial wine B | variant 3–variant 0 | 15 | 30 | 14 (4) | n.s. | p ≤ 0.01 |
| variant 3–variant 1 | 15 | 30 | 25 (22) | p ≤ 0.001 | p ≤ 0.001 | |
| variant 3–variant 2 | 15 | 30 | 24 (22) | p ≤ 0.001 | p ≤ 0.001 | |
| trial wine C | variant 3–variant 0 | 15 | 30 | 26 (0) | p ≤ 0.001 | p ≤ 0.001 |
| variant 3–variant 1 | 15 | 30 | 11 (5) | n.s. | n.s. | |
| variant 3–variant 2 | 15 | 30 | 9 (4) | n.s. | n.s. |
| Filtration Capacity in Litres per m2 Filtration Surfaces | ANOVA *1 | 125 | 250 | 375 | 500 | 625 | 750 | 875 | 1000 | 1125 | 1250 | |
|---|---|---|---|---|---|---|---|---|---|---|---|---|
| Geosmin | EKS | F = 580.527 p < 0.001 | 9% | 3% | 3% | 2% | 5% | 5% | 5% | 4% | 4% | 3% |
| Filtrox | 86% | 86% | 85% | 83% | 76% | 76% | 69% | 70% | 67% | 61% | ||
| aromatic esters | EKS | F = 37.832 p = 0.004 | 10% | 10% | 10% | 9% | 8% | 9% | 8% | 8% | 8% | 7% |
| Filtrox | 40% | 40% | 40% | 38% | 35% | 35% | 32% | 33% | 31% | 28% | ||
| acetate esters of higher alcohols | EKS | F = 4.285 p = 0.107 | 14% | 14% | 14% | 14% | 12% | 13% | 12% | 12% | 11% | 10% |
| Filtrox | 31% | 31% | 30% | 29% | 26% | 27% | 25% | 25% | 24% | 21% | ||
| ethyl esters of carboxylic acids with an even number of C atoms | EKS | F = 903.656 p < 0.001 | 6% | 6% | 5% | 5% | 4% | 4% | 3% | 4% | 3% | 2% |
| Filtrox | 63% | 63% | 62% | 60% | 55% | 55% | 50% | 50% | 48% | 42% | ||
| esters of higher alcohols and medium-length chain carboxylic acids | EKS | F = 0.172 p = 0.700 | 5% | 5% | 5% | 5% | 4% | 4% | 4% | 4% | 4% | 3% |
| Filtrox | 6% | 6% | 6% | 6% | 6% | 6% | 5% | 5% | 5% | 4% | ||
| ethyl esters of carboxylic acids with an odd number of C atoms | EKS | F = 0.679 p = 0.456 | 19% | 19% | 18% | 18% | 16% | 16% | 15% | 15% | 14% | 13% |
| Filtrox | 24% | 24% | 24% | 23% | 21% | 21% | 20% | 20% | 19% | 17% | ||
| isoamyl ester of medium-long chain carboxylic acids | EKS | F = 183.627 p < 0.001 | 5% | 5% | 5% | 5% | 5% | 5% | 4% | 4% | 4% | 4% |
| Filtrox | 33% | 33% | 33% | 32% | 29% | 29% | 27% | 27% | 26% | 23% | ||
| methyl esters | EKS | F = 124.088 p < 0.001 | 14% | 14% | 14% | 13% | 12% | 12% | 11% | 11% | 11% | 10% |
| Filtrox | 59% | 59% | 58% | 56% | 52% | 52% | 47% | 48% | 46% | 41% | ||
| free monoterpens | EKS | F = 111.782 p < 0.001 | 14% | 14% | 14% | 14% | 13% | 13% | 12% | 12% | 11% | 10% |
| Filtrox | 50% | 50% | 49% | 48% | 44% | 44% | 40% | 40% | 39% | 35% |
| Comparison | Number of Panelists | Number of Answers | Number of Correct Answers | Significant Difference | Significant Preference |
|---|---|---|---|---|---|
| variant 0–variant 1 | 9 | 27 | 24 | p ≤ 0.001 | variant 0 p ≤ 0.001 |
| variant 0–variant 2 | 9 | 27 | 24 | p ≤ 0.001 | variant 0 p ≤ 0.001 |
| variant 0–variant 3 | 9 | 27 | 14 | n.s. | variant 0 p ≤ 0.001 |
| variant 1–variant 2 | 9 | 27 | 7 | n.s. | n.s. |
| variant 1–variant 3 | 9 | 27 | 26 | p ≤ 0.001 | variant 3 p ≤ 0.001 |
| variant 2–variant 3 | 9 | 27 | 20 | p ≤ 0.001 | variant 3 p ≤ 0.001 |
| Variant | Quality Wine Number of Decision: Yes | Quality Wine Number of Decision: No | Reasons for Rejection (Number of Decisions) |
|---|---|---|---|
| variant 0 | 9 | 0 | - |
| variant 1 | 0 | 9 | faulty (9) |
| variant 2 | 0 | 9 | faulty (9) |
| variant 3 | 5 | 4 | faulty (1), not corresponding to the overall quality required for quality wine. (3) |
Publisher’s Note: MDPI stays neutral with regard to jurisdictional claims in published maps and institutional affiliations. |
© 2022 by the authors. Licensee MDPI, Basel, Switzerland. This article is an open access article distributed under the terms and conditions of the Creative Commons Attribution (CC BY) license (https://creativecommons.org/licenses/by/4.0/).
Share and Cite
Philipp, C.; Sari, S.; Brandes, W.; Nauer, S.; Patzl-Fischerleitner, E.; Eder, R. Reduction in Off-Flavors in Wine Using Special Filter Layers with Integrated Zeolites and the Effect on the Volatile Profile of Austrian Wines. Appl. Sci. 2022, 12, 4343. https://doi.org/10.3390/app12094343
Philipp C, Sari S, Brandes W, Nauer S, Patzl-Fischerleitner E, Eder R. Reduction in Off-Flavors in Wine Using Special Filter Layers with Integrated Zeolites and the Effect on the Volatile Profile of Austrian Wines. Applied Sciences. 2022; 12(9):4343. https://doi.org/10.3390/app12094343
Chicago/Turabian StylePhilipp, Christian, Sezer Sari, Walter Brandes, Stefan Nauer, Elsa Patzl-Fischerleitner, and Reinhard Eder. 2022. "Reduction in Off-Flavors in Wine Using Special Filter Layers with Integrated Zeolites and the Effect on the Volatile Profile of Austrian Wines" Applied Sciences 12, no. 9: 4343. https://doi.org/10.3390/app12094343
APA StylePhilipp, C., Sari, S., Brandes, W., Nauer, S., Patzl-Fischerleitner, E., & Eder, R. (2022). Reduction in Off-Flavors in Wine Using Special Filter Layers with Integrated Zeolites and the Effect on the Volatile Profile of Austrian Wines. Applied Sciences, 12(9), 4343. https://doi.org/10.3390/app12094343

