Next Article in Journal
Ultrasound Localization Microscopy in Liquid Metal Flows
Next Article in Special Issue
Special Issue on Promising Materials and Technologies for Solid Oxide Electrochemical Devices
Previous Article in Journal
Method of Planning Repairs of the Installation including Building Waste
Previous Article in Special Issue
Proton Conductivity of La2(Hf2xLax)O7x/2 “Stuffed” Pyrochlores
 
 
Font Type:
Arial Georgia Verdana
Font Size:
Aa Aa Aa
Line Spacing:
Column Width:
Background:
Article

Solid-Electrolyte Amperometric Sensor for Simultaneous Measurement of CO and CO2 in Nitrogen

Institute of High Temperature Electrochemistry, Ural Branch of the Russian Academy of Sciences, 20 Akademicheskaya St., 620137 Ekaterinburg, Russia
*
Author to whom correspondence should be addressed.
Appl. Sci. 2022, 12(9), 4515; https://doi.org/10.3390/app12094515
Submission received: 31 March 2022 / Revised: 19 April 2022 / Accepted: 27 April 2022 / Published: 29 April 2022

Abstract

:
A solid-state amperometric sensor based on yttria-stabilized zirconia (YSZ) for the simultaneous measurement of CO and CO2 concentrations in inert gases was fabricated. The designed sensor consists of two electrically isolated ceramic cells made of YSZ and equipped with Pt electrodes. Ceramic capillaries connecting an inner gas chamber of each cell with the outside atmosphere serve as diffusion barriers. One of the cells is intended for sensing CO, whereas the other is for sensing CO2 in the gaseous atmosphere. The electrochemical response of the sensor was studied in the temperature range of 600–750 °C in the presence of up to 10% of CO and CO2 in nitrogen. The limiting currents of the two cells were shown to rise linearly with the relevant carbon oxide concentration, and no perceptible cross-sensitivity effect toward the other carbon oxide was found. The sensor demonstrated high stability and reproducibility of results and good dynamic characteristics. The novelty of this research lies in the development of a simple, reliable and fast solid-oxide sensor for simultaneous sensing of CO and CO2 in inert gases, which can be used for the control of atmosphere in, for example, pharmaceutical, chemical, food storage industries.

1. Introduction

Carbon oxides, CO2 and CO (COx), are components of the atmosphere that play an important role in producing the so-called greenhouse effect. The carbon oxides are poisonous when accumulated to dangerous levels. At small concentrations, both gases are colorless, odorless and tasteless and can only be detected with a measuring instrument. Thus, reliable and fast control of the carbon oxides level in the atmosphere and process gases is of high importance. Therefore, there is considerable interest in developing proper analytical techniques to measure COx concentration.
Nowadays, different approaches for sensing COx are known, among them spectroscopic, catalytic, acoustic, electrochemical, metal oxide semiconductor (MOS)-based methods, etc. The spectroscopic sensors are based on the ability of gas molecules to absorb a specific wavelength of the light; the absorption level is related to the target gas concentration. Spectroscopic gas sensors exhibit high sensitivity and low cross-sensitivity to other gases. An optical CO sensor based on tunable diode laser spectroscopy was reported to possess the sensing resolution of 3 ppm for 1 s, averaging [1]. A ppm-level CO sensor based on a 2f wavelength modulation spectroscopy technique was described in [2]. However, the spectroscopic methods are bulky, expensive and time consuming, which hinders their use for in situ monitoring.
The detection principle of the semiconducting type sensors is based on the change in electrical resistance of MOS (e.g., SnO2, and WO3) depending on the composition of the gaseous atmosphere [3,4,5]. The MOS-based sensors were shown to possess good sensitivity, fast response time and performance stability; however, the sensor signal can be affected by the adsorption of different components of the gaseous atmosphere onto the semiconductor surface, which negatively influences the selectivity.
The operation mechanism of the catalytic-type sensors is based on using catalytic materials which are sensitive to combustible gases (CO, hydrocarbons, etc.) [6,7,8]. The oxidation of combustible gas on the catalyst leads to an increase in temperature and, as a consequence, in resistance of the active element. The resistance change is proportional to the temperature change, and therefore, to the amount of the oxidized gas. A CO2 sensor based on SnO2 and reduced graphene oxide composite showed an excellent detection limit of 5 ppm at room temperature [6]. A combustion-type CO gas sensor using a catalyst composed of 11 wt% Pt supported on the apatite-like oxide La9.0Si5.8Mn0.2O27−δ was reported to demonstrate high sensitivity (the relative resistance change reached a value of 0.0053 for 500 ppm CO) and a rapid response time of 10–20 s at 130 °C [8]. The main drawbacks of the catalytic-type sensors are a need for oxygen for the oxidation process and low selectivity related with the possible oxidation of different combustible components of the gaseous atmosphere [8].
Electrochemical sensors based on solid-oxide electrolytes are considered the most reliable way of sensing COx for industrial applications. These sensors operate at temperatures of 450 °C and above to ensure sufficient ionic conductivity in a solid-oxide electrolyte [9,10,11,12,13,14,15]. Yttria-stabilized zirconia (YSZ) is typically used as an electrolyte. YSZ-based electrochemical sensors have such important advantages as good corrosion resistance in aggressive gaseous atmospheres, high stability and simplicity in design. Mixed potential, amperometric and impedancemetric electrochemical sensors were reported to be applicable for measuring CO. Impedancemetric sensors use the sensitivity of the sensor impedance to concentration of a target component in the gaseous atmosphere [9,10,11,12]. The sensor based on the Pt/YSZ/Au–Ga2O3 cell was reported to exhibit strong dependence of the impedance on CO concentration in the range of 100–800 ppm and small response time of 10 s at 550 °C [12]. However, the impedance-type sensor signal can be affected by non-target gaseous species; further, these sensors require using a high-frequency AC signal source and a frequency response analyzer that leads to an increase in cost [11].
The YSZ-based mixed potential sensor with NiO sensing electrode was proved to have good sensitivity to CO, showing a signal of 36 mV to 1000 ppm CO in the presence of 0.5−3% O2 at 1000 °C and excellent selectivity, being insensitive to the presence of CO2, CH4 and H2O in the gaseous atmosphere; however, the sensor signal and the response time were affected by the microstructure of the sensing electrode [16]. Using ZnO as a sensing electrode was also shown to be justified; the sensor demonstrated good sensitivity, reaching a response of 68 mV to 400 ppm of CO at 700 °C [17]. However, the mixed potential sensors, as a kind of potentiometric sensors, need a reference gas, which complicates their design; besides, they show low sensitivity to small changes of the target component concentration because of their logarithmic relation with the sensor signal [17].
In the amperometric sensors, a signal is generated by a voltage applied across the oxide-ion conducting electrolyte. The generated oxide-ion current is determined by the availability of the oxygen-containing species in the gaseous atmosphere. Gas supply to the electrolyte/electrode interface is limited by a diffusion barrier that can be either a capillary connecting the outer and inner sensor compartments, or a porous electrolyte. An important advantage of the amperometric sensors over the mixed potential ones is that there is no need of a reference atmosphere that allows using a simple design. Further, these sensors do not require the presence of free oxygen for operation as the catalytic-type sensors do. A linear relationship between the sensor signal (the limiting current) and concentration of a target gaseous specie is another serious advantage of this type of sensors. Recently, we reported the possibility of measuring the concentrations of carbon oxides by using a solid oxide amperometric sensor [13,15]. A YSZ-based amperometric sensor with a couple of symmetrical Pt electrodes was shown to possess good sensitivity to CO in the concentration range of 1–6 vol.%, which was about 2 mA cm−2 per 1 vol% CO at 450 °C in nitrogen atmosphere [13]. A CO2 sensor based on the proton-conducting La0.9Sr0.1YO3–d electrolyte showed the linear dependence of the limiting current on CO2 concentration in the range of 2–14 vol.% with a slope of ~0.7 mA cm−2 per 1 vol% CO2 at 500–600 °C in nitrogen atmosphere, which characterizes high sensor sensitivity [15]. However, the sensor exhibited a rather slow response time of ~30 min under the stepwise change of CO2 concentration in the range of 4.6–13.7 vol.%, which can be explained by insufficient proton conductivity of the electrolyte or poor electrode performance.
In the present study, we designed a dual-chamber amperometric sensor based on YSZ (ZrO2 + 8 mol% Y2O3) electrolyte and Pt electrodes for simultaneous measurement of CO and CO2 concentrations in inert gases. The simultaneous sensing of several gaseous species is relevant for many practical applications, e.g., in the medical and pharmaceutical industry, food preservation and storage industry, chemical manufacturing, etc. The use of solid-oxide amperometric sensors for simultaneous measurement of CO2 and CO in inert gases has not been reported to date, as far as we know. Nitrogen was used as a chemically inert gas for sensor testing. The sensor properties were studied in binary (N2 + CO and N2 + CO2) and ternary (N2 + CO + CO2) gaseous mixtures in the range of the carbon oxides concentration of up to 10 vol% at 600–750 °C. The effect of water vapor on the sensing properties was tested.

2. Materials and Methods

2.1. Fabrication of the Sensor

YSZ powder with a nominal composition ZrO2 + 8 mol% Y2O3 was synthesized by the solid-state reaction from ZrO2 and Y2O3. The ceramic samples were prepared by grinding, compacting and sintering at 1650 °C for 5 h. Phase composition of the ceramics was studied by the X-ray diffraction (XRD) method with Cu Kα radiation (D-Max 2200, Rigaku, Tokyo, Japan). Diffraction was carried out in the range from 20° to 85° at a scanning speed of 0.02°/min and step of 0.1°. The surface microstructure of the samples was studied using MIRA 3 LMU (Tescan, Brno, Czechia) scanning electron microscope (SEM).
Three rectangular plates of equal size (1.1 × 1.6 × 0.1 cm3) were cut, and then 0.05 cm deep cavities were carved from two plates to form the inner sensor chambers as shown in Figure 1a. Pt slurry prepared by mixing a dispersed platinum powder and ethanol was symmetrically painted onto the opposite faces of the carved plates, and then sintered at 1160 °C for 1 h. The electrode area was 1 cm2 and the Pt loading was about 5 mg cm−2. Pt wires of 0.2 mm diameter were attached to each electrode by sintering at 1100 °C for 1 h and served as current collectors.
Figure 1b shows an image of the manufactured dual chamber sensor. It consists of two identical electrically isolated cells made of YSZ ceramics. The inner chambers of the cells are connected with the outside atmosphere via alumina ceramic capillaries with a length of 20 mm and an inner diameter of 0.26 mm. Junctions of the ceramic plates were sealed with a hermetic glass, which ensured gas tightness and electrical isolation.
The sensor was installed into a tube furnace, which was supplied with a gaseous mixture, N2 + CO2 + CO. Testing of the sensor was performed in the temperature range of 600–750 °C in the presence of up to 10% of CO and CO2 in nitrogen. The gaseous mixtures were prepared by mixing definite amounts of N2 (99.99% purity), CO (99.99% purity) and CO2 (99.99% purity) using gas flow controllers F-201C-33-V (Bronkhorst, Germany). The prepared gases were dried with phosphorus pentoxide. When the effect of water presence in the gaseous mixture on the sensor signal was studied, the gas was bubbled through a water bath kept in a thermostat. The water vapor concentration in the gas mixture was controlled by a thermohygrometer IVTM-7 M (Eksis, Moscow, Russia). The gaseous mixtures were supplied to the sensor at a rate of 30 mL/min and filled the inner chambers of the sensor through the capillaries, so that the inside and outside electrodes were under the same conditions.
Figure 2 shows a schematic view of the manufactured dual chamber sensor. When direct current (DC) voltages (V1 and V2) were applied to cells 1 and 2 as shown in Figure 2, the oxide-ion current was generated in both cells. The currents were measured by a multimeter GDM–8246 (GW INSTEC, Taiwan, Taipei), and the voltages were regulated using a DC source GPS-18500 (GW INSTEC, Taiwan, Taipei). Cells 1 and 2 operated as CO2 and CO sensors, respectively. The error in determination of the current density (~5%) was mainly caused by inaccuracy of the measurements of the capillary length and diameter and the electrode effective area.

2.2. Sensor Operation

The designed sensor possesses two isolated electrochemical cells, which allows conducting simultaneous measurement of CO and CO2 as follows. A target gaseous mixture of N2 + CO2 + CO is supplied into the furnace tube, and the sensor is installed in and fills the inner chambers of the sensor via the capillaries.
Application of a DC voltage to the electrodes as it is shown in Figure 2 produces the oxide-ion current across the YSZ membranes, which is accompanied by the electrochemical reactions at the YSZ–Pt interfaces. At the negatively charged electrodes 4 and 6, electrolysis of CO2 occurs:
CO2 + 2e → CO + O2−,
while at the positively charged electrodes 5 and 7, carbon monoxide is oxidized by oxide-ions:
CO + O2− → CO2 + 2e.
At small voltages, the sensor current, which is equivalent to the oxide-ion current across the electrolyte, increases with the applied voltage. Consumption of CO2 at electrode 4 leads to an increase in the diffusive flux of CO2 from the outside toward the electrode via the diffusion channel. According to Fick’s law, the diffusive flux is proportional to the concentration gradient; so, the higher the applied voltage and the related ionic current across the electrolyte, the greater the concentration gradient and the diffusive flux of the gas species. Decrease in CO concentration at the electrode 7 during the reaction 2 also results in an increase in the diffusive flux of CO. At some voltage value, the diffusive supply of the gas component, which is restricted by the diffusion channel parameters, reaches its limit; as a result, the sensor current attains a stationary value (it is the so-called limiting current), corresponding to the conditions of equality between the rates of consumption and diffusive supply of the active gas species. The limiting current is determined by the diffusion channel parameters, concentration and diffusion coefficient of the considered component of the gaseous mixture as follows:
I lim = 2 FSP   D RTL ln 1 X ,
where D denotes the diffusion coefficient of the given component in the gaseous mixture, S and L are the cross section and the length of the diffusion channel, P is the total gas pressure, and X is the molar fraction of the component in the gas [18].
At small concentrations of the active component in the gas (below ~10%), a linear relation provides a good approximation:
I lim = 2 FSP   D RTL   X
Thus, the sensor limiting current is directly proportional to the concentration of the gas component participating in the electrochemical reaction caused by the applied voltage. A linear relationship between the limiting current and the concentration of a target gaseous species makes calibration of the amperometric-type sensors simple but accurate, which is an important advantage.

3. Results and Discussion

Figure 3 shows the XRD pattern of the sintered YSZ sample. The observed diffraction peaks are related to the YSZ phase, which is confirmed by the ICDD file (030–1468) for the 8 mol.% Y2O3-doped ZrO2 powder with a cubic fluorite structure. SEM image of the surface of the YSZ ceramic sample is shown in Figure 4. The micrograph reveals a dense grained microstructure of the sintered ceramics, which is needed to avoid gas leakage through the electrolyte membrane.
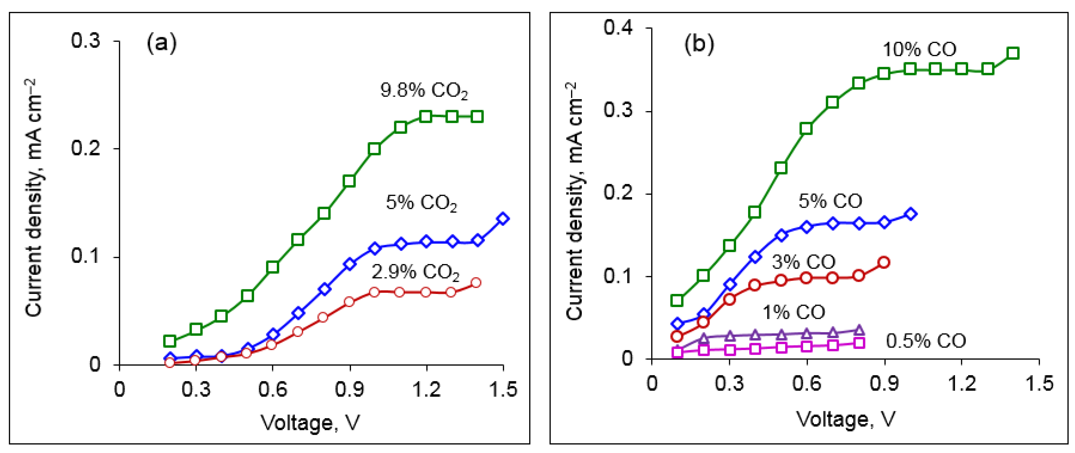
At the first stage of testing, the sensor response in binary mixtures, N2 + CO and N2 + CO2 was studied. To avoid the interference with water, the gaseous mixtures were dried with phosphorus pentoxide. The current–voltage dependences measured on the CO2 and CO cells (cell 1 and cell 2, respectively) at 700 °C are presented in Figure 5. It can be seen that the obtained curves look similar: the current increases with the applied voltage at low potential differences, then a plateau is observed, which corresponds to the stationary state described in Section 2.2. The difference in the voltage values at which the limiting current is attained in the CO2 and CO cells can be caused by different catalytic activities of Pt electrodes to reactions 1 and 2.
With further increasing voltage, the limiting current plateau is followed by the next step of rising the sensor current (Figure 5). We assume that this can be explained by the partial reduction of YSZ in harsh conditions of a large DC voltage applied across the electrolyte under a low oxygen activity in the surrounding atmosphere. The reduction is accompanied by the generation of electrons, according to the following reaction [19]:
O O × V O ¨ + 1 2 O 2 + 2 e .
Concentration of electrons n increases with decreasing the oxygen partial pressure in line with the mass action law for the reaction 5 as follows:
n   ~   p O 2 1 / 4 .
That means that with decreasing the concentration of COx, the concentration of electrons rises, and consequently, the electronic current increases.
The above assumption is supported by previously reported data on the blackening of YSZ from the cathode side related to electron association with point defects under a current load, and even the metallization of YSZ from the cathodic side [20,21,22]. However, the reoxidation of the electrolyte occurs after removal of the DC load so that the traces of metallicity, including the black color, disappear [21]. Appearance of the electronic charge carriers in YSZ should result (i) in a decrease in the oxide-ion flux across the electrolyte at a given applied DC voltage because of short circuiting, and (ii) in an extension of the effective area of the electrode reactions. As a consequence, the sensor current rises upon increasing the voltage at high DC loads.
As can be seen in Figure 5, the limiting currents in the CO2 and CO cells increase with a rise in the carbon oxides content. Figure 6 displays the sensor signal vs. COx concentration. The dependences are linear in agreement with Equation (4). The limiting current increases with temperature, which can be explained by faster diffusion of the corresponding gaseous species. The slope of the limiting current–concentration lines determines the sensitivity of the sensor; as can be seen in Figure 6, the sensitivity increases with temperature and reaches the values of 25 mA cm−2 per 1 vol.% CO2 and 36 mA cm−2 per 1 vol.% CO at 750 °C.
The next stage of testing was aimed at the study of the sensing properties in dry ternary mixtures N2 + CO + CO2. The current–voltage curves of the CO2 and CO cells measured in the N2 + 4.9 vol.% CO + 4.9 vol.% CO2 gas at the temperatures of 600–750 °C are shown in Figure 7. For more comfortable visual perception, it was taken into account that the DC voltage was applied to the CO2 and CO cells in the opposite directions. For both cells, the slope of the initial step of the current–voltage dependences decreases with decreasing temperature, which is definitely related to lowering the ionic conductivity of YSZ and the slowing down of the electrochemical reactions on the electrodes. The values of limiting the current of the CO2 and CO cells in the ternary gaseous mixtures N2 + CO + CO2 are similar to those measured in the binary mixtures N2 + CO and N2 + CO2 at the corresponding concentration of CO or CO2 (see Figure 5), indicating that there is no perceptible cross-sensing effect toward the counterpart. The fact that the designed amperometric sensor is capable of simultaneous measuring of the concentrations of the two oxides of carbon is of high importance, as these gases coexist in many practical applications.
It is important to evaluate the role of water vapor in the gas-sensing properties as some amount of water vapor may exist in the analyzed gas. For this purpose, the binary mixtures N2 + CO and N2 + CO2 were bubbled through a water bath kept in a thermostat. The measured dependences of the sensor current on the applied voltage in dry and wet atmospheres are shown in Figure 8. As can be seen, water vapor strongly affects the CO-sensing properties at low concentrations of CO (Figure 8a). This can be explained by the interaction of CO and H2O at the temperatures above 500 °C according to the following reaction:
CO + H2O → CO2 + H2.
As a result, the hot gaseous mixture contains not only the carbon oxides and water vapor, but also hydrogen, which is oxidized together with CO on electrode 7. As far as the diffusion coefficient for H2 being almost four times higher than that for CO, the limiting current of the CO cell significantly increases in the presence of water vapor. When the CO concentration is high compared to that of H2O, the cross-sensing effect toward water is reduced due to a small concentration of the produced hydrogen.
The limiting current in the CO2 cell also changes in the presence of water vapor in the analyzed gas (Figure 8b). The effect of H2O on sensing CO2 can be explained by the electrolysis of water on electrode 4, which occurs along with the electrolysis of carbon dioxide (reaction 1) as follows:
H2O + 2e → H2 + O2−.
The Gibbs energy for carbon dioxide splitting is close to that of water splitting in the considered temperature range (∆G is ~180 kJ/mol and ~200 kJ/mol for CO2 and H2O splitting, respectively, at 600 °C [23]); therefore, the decomposition of H2O and CO2 should occur under similar values of the applied voltage. The presence of water vapor in the gas provides a larger number of oxide ions to be pumped out into the inner chamber of the CO2 cell across the electrolyte; consequently, the limiting current increases as the H2O concentration rises.
Thus, to avoid the cross-sensitivity effect toward water and ensure the proper detection of CO and CO2 concentrations by the designed sensor, the analyzed gas is to be preliminarily dried.
A reliable sensor has to satisfy such requirements as good reproducibility of the sensor signal and a sufficiently short transient time (the time required for 90% change of the sensor signal after a change in gas composition). The dynamic response of the sensor limiting currents to stepwise changes in the concentrations of CO and CO2 in the gaseous mixtures N2 + CO and N2 + CO2 at 600 °C is presented in Figure 9. It can be seen that the sensor signal is well reproduced, with a scatter below 1%. The longest transient time for the CO and CO2 sensing reaches ~6 min, which is in accordance with the requirements of practical applications.
Long-term stability testing of the sensor is currently being conducted; the sensor readings currently remain stable for nearly 2000 h, with a scatter not exceeding 1%. This demonstrates good long-term stability and reliability of the sensor. It is worth noting that the calibration of each sensor of the proposed design is required as well as of all amperometric-type sensors because deviations in geometric parameters of a diffusion barrier may lead to dispersion of the sensor signal. It should be noted that calibration of the amperometric-type sensors is simple due to the linear relationship between the limiting current and the concentration of a target gaseous species (Equation (4)).

4. Conclusions

An amperometric-type sensor consisting of two electrochemical cells based on YSZ electrolyte and two Pt electrodes for the measurement of CO and CO2 concentrations was fabricated and tested in the temperature range of 600–750 °C in the presence of up to 10% CO and CO2 in nitrogen. One of the cells was designed for sensing CO, while the other one was for measuring the concentration of CO2. It was found that the limiting current in the cells linearly increased with the rise in the relevant carbon oxide concentrations, and there was no perceptible cross-sensitivity effect toward the other carbon oxide. However, a significant cross-sensing effect toward water vapor was detected, which caused the need to dry the analyzed gas prior to testing. The sensor showed a good reproducibility degree, with a scatter below 1%, and a satisfactory transient time not exceeding 6 min. The developed sensor allows simultaneous measurements of two gas components, CO and CO2, which is more convenient and cost effective than using separate devices for sensing CO and CO2. The capability of simultaneous measurement of CO and CO2 concentrations in inert atmospheres is of high importance, as the carbon oxides may coexist in many practical applications. The sensor can be used for atmosphere control in food packaging, preservation and storage systems, in the pharmaceutical and chemical industry. Our future research aims to investigate the role of such impurities as hydrogen sulfide, hydrocarbons, oxygen, which may exist in an analyzed gas, in the sensing properties.

Author Contributions

Conceptualization, A.V.; methodology, A.K. and A.V.; validation, A.V. and L.D.; formal analysis, L.D.; investigation, A.K. and A.V.; data curation, A.V. and L.D.; writing—original draft preparation, A.V.; writing—review and editing, L.D.; visualization, L.D.; supervision, A.V.; project administration, A.V. All authors have read and agreed to the published version of the manuscript.

Funding

This research received no external funding.

Institutional Review Board Statement

Not applicable.

Informed Consent Statement

Not applicable.

Data Availability Statement

Not applicable.

Conflicts of Interest

The authors declare no conflict of interest.

References

  1. Chen, J.; Hangauer, A.; Strzoda, R.; Fleischer, M.; Amann, M.-C. Miniaturized laser spectroscopic CO sensor for industrial and safety applications. Procedia Chem. 2009, 1, 1383–1386. [Google Scholar] [CrossRef] [Green Version]
  2. Cui, R.; Dong, L.; Wu, H.; Li, S.; Zhang, L.; Ma, W.; Yin, W.; Xiao, L.; Jia, S.; Tittel, F.K. Highly sensitive and selective CO sensor using a 2.33 μm diode laser and wavelength modulation spectroscopy. Opt. Express 2018, 26, 24318–24328. [Google Scholar] [CrossRef] [PubMed] [Green Version]
  3. Wetchakun, K.; Samerjai, T.; Tamaekong, N.; Liewhiran, C.; Siriwong, C.; Kruefu, V.; Wisitsoraat, A.; Tuantranont, A.; Phanichphant, S. Semiconducting metal oxides as sensors for environmentally hazardous gases. Sens. Actuators B Chem. 2011, 160, 580–591. [Google Scholar] [CrossRef]
  4. Gautam, Y.K.; Sharma, K.; Tyagi, S.; Ambedkar, A.K.; Chaudhary, M.; Singh, B.P. Nanostructured metal oxide semiconductor-based sensors for greenhouse gas detection: Progress and challenges. R. Soc. Open Sci. 2021, 8, 201324. [Google Scholar] [CrossRef]
  5. Abderrahim, H.; Berrebia, M.; Hamou, A.; Kherief, H.; Zanoun, Y.; Zenata, K. Measure of carbon dioxide using a gas sensor of a semiconductor type based on tin dioxide (SnO2). J. Mater. Environ. Sci. 2011, 2, 94–103. [Google Scholar]
  6. Lee, Z.Y.; Hawari, H.F.; Djaswadi, G.W.; Kamarudin, K. A highly sensitive room temperature CO2 gas sensor based on SnO2-rGO hybrid composite. Materials 2021, 14, 522. [Google Scholar] [CrossRef]
  7. Mateev, V.; Marinova, I. Directional sensing of CO2 with catalytic sensors. In Proceedings of the XXX International Scientific Conference Electronics (ET), Sozopol, Bulgaria, 15–17 September 2021. [Google Scholar] [CrossRef]
  8. Hosoya, A.; Tamura, S.; Imanaka, N. A catalytic combustion-type carbon monoxide gas sensor incorporating an apatite-type oxide. ISIJ Int. 2016, 56, 1634–1637. [Google Scholar] [CrossRef] [Green Version]
  9. Fergus, J.W. A review of electrolyte and electrode materials for high temperature electrochemical CO2 and SO2 gas sensors. Sens. Actuators B Chem. 2008, 134, 1034–1041. [Google Scholar] [CrossRef]
  10. Mulmi, S.; Thangadurai, V. Editors’ Choice–Review–Solid-state electrochemical carbon dioxide sensors: Fundamentals, materials and applications. J. Electrochem. Soc. 2020, 167, 037567. [Google Scholar] [CrossRef]
  11. Liu, Y.; Parisi, J.; Sun, X.; Lei, Y. Solid-state gas sensors for high temperature applications—A review. J. Mater. Chem. A 2014, 2, 9919. [Google Scholar] [CrossRef]
  12. Wu, N.; Chen, Z.; Xu, J.; Chyu, M.; Mao, S.X. Impedance-metric Pt/YSZ/Au–Ga2O3 sensor for CO detection at high temperature. Sens. Actuators B Chem. 2005, 110, 49–53. [Google Scholar] [CrossRef]
  13. Fadeyev, G.; Kalyakin, A.; Gorbova, E.; Brouzgou, A.; Demin, A.; Volkov, A.; Tsiakaras, P. A simple and low-cost amperometric sensor for measuring H2, CO, and CH4. Sens. Actuators B Chem. 2015, 221, 879–883. [Google Scholar] [CrossRef]
  14. Okamoto, H.; Obayashi, H.; Kudo, T. Carbon monoxide gas sensor made of stabilized zirconia. Solid State Ion. 1980, 1, 319–326. [Google Scholar] [CrossRef]
  15. Kalyakin, A.S.; Medvedev, D.A.; Volkov, A.N. Electrochemical sensors based on proton-conducting electrolytes for determination of concentration and diffusion coefficient of CO2 in inert gases. Chem. Eng. Sci. 2021, 229, 116046. [Google Scholar] [CrossRef]
  16. Wang, Y.; Ma, L.; Li, W.; Li, W.; Liu, X. A high-temperature mixed potential CO gas sensor for in situ combustion control. J. Mater. Chem. A 2020, 8, 20101–20110. [Google Scholar] [CrossRef]
  17. Mahendraprabhu, K.; Sharma, A.S.; Elumalai, P. CO sensing performances of YSZ-based sensor attached with sol-gel derived ZnO nanospheres. Sens. Actuators B Chem. 2019, 283, 842–847. [Google Scholar] [CrossRef]
  18. Gopel, W.; Reinhardt, G.; Rosch, M. Trends in the development of solid state amperometric and potentiometric high temperature sensors. Solid State Ion. 2000, 136, 519–531. [Google Scholar] [CrossRef]
  19. Goff, J.P.; Hayes, W.; Hull, S.; Hutchings, M.T.; Clausen, K.N. Defect structure of yttria-stabilized zirconia and its influence on the ionic conductivity at elevated temperatures. Phys. Rev. B 1999, 59, 14202. [Google Scholar] [CrossRef] [Green Version]
  20. Janek, J.; Korte, C. Electrochemical blackening of yttria-stabilized zirconia–morphological instability of the moving reaction front. Solid State Ion. 1999, 116, 181–195. [Google Scholar] [CrossRef] [Green Version]
  21. Dong, Y.; Chen, I.-W. Electrical and hydrogen reduction enhances kinetics in doped zirconia and ceria: II. Mapping electrode polarization and vacancy condensation in YSZ. J. Am. Ceram. Soc. 2018, 101, 1058–1073. [Google Scholar] [CrossRef] [Green Version]
  22. Alvarez, A.; Dong, Y.; Chen, I.-W. DC Electrical degradation of YSZ: Voltage controlled electrical metallization of a fast ion conducting insulator. J. Am. Ceram. Soc. 2018, 103, 3178–3193. [Google Scholar] [CrossRef]
  23. Haeussler, A.; Abanades, S.; Jouannaux, J.; Julbe, A. Non-stoichiometric redox active perovskite materials for solar thermochemical fuel production: A review. Catalysts 2018, 8, 611. [Google Scholar] [CrossRef] [Green Version]
Figure 1. Photo of (a) YSZ plate with a cavity and a groove for a capillary, (b) an image of the manufactured sensor.
Figure 1. Photo of (a) YSZ plate with a cavity and a groove for a capillary, (b) an image of the manufactured sensor.
Applsci 12 04515 g001
Figure 2. Schematic view of the sensor: 1, 2, 3–YSZ ceramic plates; 4–7–Pt electrodes; 8, 9–ceramic capillaries; 10–sealing glass; 11, 12–inner chambers of the cells 1 and 2; V1 and V2–DC voltages applied to the cells 1 and 2; A1 and A2–ammeters.
Figure 2. Schematic view of the sensor: 1, 2, 3–YSZ ceramic plates; 4–7–Pt electrodes; 8, 9–ceramic capillaries; 10–sealing glass; 11, 12–inner chambers of the cells 1 and 2; V1 and V2–DC voltages applied to the cells 1 and 2; A1 and A2–ammeters.
Applsci 12 04515 g002
Figure 3. XRD patterns of YSZ sample.
Figure 3. XRD patterns of YSZ sample.
Applsci 12 04515 g003
Figure 4. SEM image of the surface of sintered YSZ sample.
Figure 4. SEM image of the surface of sintered YSZ sample.
Applsci 12 04515 g004
Figure 5. Current–voltage dependences of (a) cell 1 in N2 + CO2 gaseous mixtures, (b) cell 2 in N2 + CO gaseous mixtures, at 700 °C. Error bars are smaller than the symbol size.
Figure 5. Current–voltage dependences of (a) cell 1 in N2 + CO2 gaseous mixtures, (b) cell 2 in N2 + CO gaseous mixtures, at 700 °C. Error bars are smaller than the symbol size.
Applsci 12 04515 g005
Figure 6. Limiting current vs. (a) CO2 concentration in N2 + CO2 gaseous mixture, (b) CO concentration in N2 + CO gaseous mixture. Error bars are smaller than the symbol size.
Figure 6. Limiting current vs. (a) CO2 concentration in N2 + CO2 gaseous mixture, (b) CO concentration in N2 + CO gaseous mixture. Error bars are smaller than the symbol size.
Applsci 12 04515 g006
Figure 7. Current–voltage dependences of CO2 cell (solid symbols) and CO cells (empty symbols) in dry N2 + 4.9 vol.% CO + 4.9 vol.% CO2 atmospheres. Error bars are smaller than the symbol size.
Figure 7. Current–voltage dependences of CO2 cell (solid symbols) and CO cells (empty symbols) in dry N2 + 4.9 vol.% CO + 4.9 vol.% CO2 atmospheres. Error bars are smaller than the symbol size.
Applsci 12 04515 g007
Figure 8. Current–voltage dependences of (a) CO cell in dry and humid mixtures N2 + 0.5 vol.% CO and N2 + 5 vol.% CO, (b) CO2 cell in dry and humid mixtures N2 + 5 vol.% CO2, at 600 °C. Error bars are smaller than the symbol size.
Figure 8. Current–voltage dependences of (a) CO cell in dry and humid mixtures N2 + 0.5 vol.% CO and N2 + 5 vol.% CO, (b) CO2 cell in dry and humid mixtures N2 + 5 vol.% CO2, at 600 °C. Error bars are smaller than the symbol size.
Applsci 12 04515 g008
Figure 9. Dynamic response of the sensor signal to changes in concentrations of CO and CO2 at 600 °C. Error bars are smaller than the symbol size.
Figure 9. Dynamic response of the sensor signal to changes in concentrations of CO and CO2 at 600 °C. Error bars are smaller than the symbol size.
Applsci 12 04515 g009
Publisher’s Note: MDPI stays neutral with regard to jurisdictional claims in published maps and institutional affiliations.

Share and Cite

MDPI and ACS Style

Kalyakin, A.; Volkov, A.; Dunyushkina, L. Solid-Electrolyte Amperometric Sensor for Simultaneous Measurement of CO and CO2 in Nitrogen. Appl. Sci. 2022, 12, 4515. https://doi.org/10.3390/app12094515

AMA Style

Kalyakin A, Volkov A, Dunyushkina L. Solid-Electrolyte Amperometric Sensor for Simultaneous Measurement of CO and CO2 in Nitrogen. Applied Sciences. 2022; 12(9):4515. https://doi.org/10.3390/app12094515

Chicago/Turabian Style

Kalyakin, Anatoly, Alexander Volkov, and Liliya Dunyushkina. 2022. "Solid-Electrolyte Amperometric Sensor for Simultaneous Measurement of CO and CO2 in Nitrogen" Applied Sciences 12, no. 9: 4515. https://doi.org/10.3390/app12094515

APA Style

Kalyakin, A., Volkov, A., & Dunyushkina, L. (2022). Solid-Electrolyte Amperometric Sensor for Simultaneous Measurement of CO and CO2 in Nitrogen. Applied Sciences, 12(9), 4515. https://doi.org/10.3390/app12094515

Note that from the first issue of 2016, this journal uses article numbers instead of page numbers. See further details here.

Article Metrics

Back to TopTop