Abstract
This paper regards soft rock as a heavily overconsolidated clay and proposes a new fractional elastoplastic model to describe its temperature-dependent mechanical behaviour. Together with the critical state mechanics, the subloading surface concept is adopted to capture the irreversible plastic deformation developed inside the normal yield surface and provides a smooth transition between the elastic and plastic zones. In addition, the proposed model uses a fractional-order flow rule to account for the nonorthogonality between the plastic flow direction and the yield surface without introducing an extra plastic potential. The evolution law of the fractional-order is affected by the degree of overconsolidation and temperature. The proposed model is verified by the drained triaxial test data of Ohya rock under various confining pressures and temperatures with satisfactory performance. It can be found that an increase in the temperature will reduce the peak strength of soft rock and lead to a ductile failure pattern with a smaller tangent modulus.
1. Introduction
The soft rocks are widely distributed in situ and closely related to various geotechnical facilities, including slope, shallow tunnel, and rock-socketed pile [1,2,3,4]. Some soft sedimentary rocks contain a few discontinuous structures and are considered continuous media. The mechanical behaviour of soft rocks such as strain-softening, dilatancy, and confining pressure dependency were comprehensively studied within the framework of critical state soil mechanics, where the soft rock was regarded as a heavily overconsolidated soil [5,6,7]. It has also been found that temperature plays a significant role in the mechanical behaviour of soft rocks [8,9,10,11]. Specifically, an increase in the temperature will reduce the peak strength of soft rock and lead to a ductile failure pattern with a smaller tangent modulus.
To investigate the thermo-mechanical behaviour of soft rocks, Zhang et al. [10] developed the concept of temperature-induced equivalent stress to account for the thermoelastic volumetric deformation. Following this concept, the effect of temperature on the preconsolidated pressure can be obtained through the isotropic compression test. Increasing the temperature will shrink the normal yield surface along with a so-called temperature-dependent collapse curve, resulting in a reduction of the strength of soft rock. To obtain a smooth transition from the elastic and plastic responses of soft rock, the subloading surface concept [12,13] is also suggested in developing an elastoplastic model of soft rock. The subloading surface that passes through the current stress point is similar to the normal yield surface, which can be used to capture the irreversible plastic deformation when the current stress point is inside the normal yield surface. With temperature-induced equivalent stress and subloading surface concepts, Zhang et al. [10] developed a simple thermo-elastoplastic model for soft rock. Xiong et al. [5] extended the model by regarding the soft rock as a structured overconsolidated soil to study the processes of temperature-induced overconsolidated ratio dissipation and structure degradation with great success in modelling the triaxial test data of Ohya stone.
The associated flow rule was adopted in those models by assuming the strain vectors are normal to the yield surface, which may not be consistent with the experimental observations for some geomaterials [14]. Islam and Gnanendran [15] suggested that the non-associated flow rule is imperative to capture the legitimate behaviour of geomaterials; otherwise, the predicted shear strain will be overestimated. The recently developed fractional-order flow rule can be a promising approach to account for this behaviour without increasing the complexity of the constitutive equations [16,17,18]. In general, a so-called fractional stress operator is directly applied to the yield function to determine the plastic strain tensor without introducing an extra plastic potential.
This paper aims to develop a fractional subloading surface model for soft rock within the framework of critical state soil mechanics. The proposed model contains two yield surfaces representing the normal consolidated and overconsolidated states. The change in the size of those yield surfaces is captured by a new hardening rule, which can consider the effect of temperature on the strain-softening and dilatancy features of soft rocks. A fractional-order flow rule is also included to describe the nonorthogonality between the plastic flow direction and the subloading yield surface to improve model performance. The model is verified by the drained triaxial test data of Ohya rock with different confining pressures and temperatures.
2. Governing Equations
2.1. Fractional-Order Flow Rule
The fractional plasticity [16,17,18] uses a so-called fractional-order flow rule to account for the extent of non-coaxially between the plastic flow direction and the loading direction without assuming an extra plastic potential. This study adopts the Caputo derivative due to its weak singularity [19]:
where is the fractional-order; and ; and is the Gamma function.
The proposed model is defined in terms of the mean effective stress and deviatoric stress , where is the second invariant of the deviatoric stress tensor and and are the stress and the second-order identity tensors, respectively. Based on the fractional-order flow rule, the plastic strain tensor is calculated by:
where is the plastic multiplier, the -order fractional derivative of the yield function with respect to the is determined using the following approach:
The plastic flow direction is then defined as:
Similarly, the definition of the loading direction is given in the following Equation (5) but only requires a first-order derivative since only is always normal to the yield surface.
with
Figure 1 shows the difference between and in the principal stress space. When equals 1.0, coincides with , and the strain vector is normal to the yield surface. In this case, the fractional-order flow rule is the same as the associated flow rule in the classic plastic theory. Otherwise, a non-associated flow rule is obtained. It can be found that the fractional-order flow rule is flexible to account for the non-orthogonal deformation characteristics of different kinds of geomaterials with a solid mathematical foundation.
Figure 1.
The schematic of the fractional-order flow rule.
2.2. Temperature-Dependent Subloading Surface
This study regards soft rock as a heavily overconsolidated clay and investigates the effect of temperature on its strain-softening and dilatancy features within the framework of the critical state mechanics. The concept of temperature-induced equivalent stress developed by Zhang et al. [10] is adopted here and can be calculated by
where and are the current and reference mean effective stress at temperatures and , respectively. The value of can be arbitrarily selected and is chosen to be . is a negative linear thermal expansion coefficient (e.g., compaction is assumed to be positive). and are the current and reference void ratios related to the deformation of the soft rock, respectively. is the slope of the swelling line in the plane.
Figure 2 shows the Matsuoka–Nakai criteria in the principal stress space with different temperatures using the approach developed by Lagioia and Panteghini [20]. It can be found that increasing the temperature will decrease the size of the criteria, leading to a smaller elastic zone. Furthermore, rock samples at higher temperatures will be yielded earlier for a single yield surface elastoplastic model. The phenomenon of temperature-induced strength reduction can be observed at the peak strength state. However, it is difficult to capture the accurate residual strength of rocks because the samples usually fail before entering the critical state. In that case, the effect of temperature on the residual strength of soft rocks remains unclear in the literature and is ignored in the current study for simplicity.
Figure 2.
Matsuoka–Nakai criteria in the principal stress space with different temperatures.
To describe the effect of temperature on the mechanical behaviour of soft rocks, the concept of subloading surface [12,13] is also required, which can capture the plastic deformation at the early loading stage due to the change in temperature. As illustrated in Figure 3, in the principal stress space, the subloading surface always passes through the current stress point. The location corresponding to the normal yield surface is determined by a similarity ratio which is defined as the ratio between the current mean effective stress and the reference mean effective stress .
Figure 3.
The schematic of the temperature-dependent subloading surface concept.
Similar to the modified Cam-clay (MCC) model [21], the normal yield surface is represented as
where is the slope of the critical state line in the plane. is the temperature-dependent preconsolidated pressure that controls the size of the normal yield surface and is calculated by Equation (7).
The similarity ratio has a similar physical meaning to the overconsolidated ratio which can be further illustrated as
where is the stress ratio defined as .
Similarly, the subloading surface is defined as
where is the intersection of the subloading surface with the -axis. The change in the size of the subloading surface is controlled by , which is chosen as the hardening parameter with the following evolution law:
where S is a so-called softening factor that ensures the current stress point passes through the critical state line to produce dilative deformation. A smooth stress–strain curve is obtained with a peak strength state and exhibits a strain-softening behaviour during that process. To describe those behaviour, the value of S at the phase transformation state and the critical state should be zero, indicating a transition from negative to optimistic in those states. After that, the expression of S in this study is assumed as
2.3. Evolution of the Fractional-Order
The fractional-order in the fractional elastoplastic models is typically assumed to be constant for simplicity [16,17,18]. However, this assumption may be against the basic definition of the critical state concept, which requires the soil sample to perform fluid-like deformation without volumetric change. In this paper, the fractional derivatives of with respect to and are given in Equations (13) and (14).
A new stress–dilatancy relation according to the fractional-order flow rule is therefore derived:
Equation (15) will return to the stress–dilatancy relation of the modified Cam-Clay model in the case of equals 1.0. The dilatancy ratio (defined as ) is equal to zero when at the critical state with being zero, and the basic definition of the critical state concept is satisfied. However, if is a constant that does not equal 1.0, excessive plastic volumetric deformation will be obtained at the critical state. After that, a better assumption is that is changeable during shearing and equals 1.0 at the critical state. As shown in Figure 4, changing the value of at a specific stress level significantly affects the value of . Sun and Xiao [16] suggested that depends on the state parameter [22] for granular matters, obeying an empirical expression. With the increase in the value of α, the stress–dilatancy curve rotates clockwise.
Figure 4.
Evolution of the dilatancy ratio
with respect to the fractional−order
and the stress ratio
.
Figure 4.
Evolution of the dilatancy ratio
with respect to the fractional−order
and the stress ratio
.

In fact, there is another phase transformation state (Ishihara et al. [23]) where the value of is zero before rock samples reach to the critical state. The slope of the phase transformation line in the plane is denoted as . At the phase transformation state (e.g., equals to ), a transition from compaction to dilation in the volume of rock samples is observed, and the fractional stress–dilatancy rule is rewritten as:
Rearranging Equation (16) leads to:
To consider the effect of overconsolidation on the dilatancy of soft rocks, is assumed to be a function of the similarity ratio with , where is a material constant. Once the critical state is reached due to shearing, we have and , then a unit value of is obtained. It can be found that the expression of is a function of and , but it is challenging to calibrate the additional parameter using the laboratory tests, which is the main limitation of the proposed model.
Figure 5 shows the fitting results of the fractional stress–dilatancy relation on the experimental data of Bourke clay (Uchaipichat and Khalili [24]) at different temperatures. It can be found that the fractional stress–dilatancy relation has a better performance than the stress–dilatancy relation of the modified Cam-clay model, especially at a low-stress level.
Figure 5.
Stress–dilatancy relation on the Bourke clay at different temperatures (data from (Uchaipichat and Khalili [24])).
2.4. Incremental Stress–Strain Relation
Following the conventional plasticity theory, the total incremental strain considering the temperature effect is given as:
where and are the incremental strains induced by stress and thermo-loading, respectively.
The incremental stress–strain relation is given as:
where is the elastic stress–strain tensor that corresponds to the elastic bulk modulus and the shear modulus , and is expressed as:
where is the fourth-order unity tensor and the symbol “” denotes a tensor product. Similar to the modified Cam-clay model, and depend on the initial void ratio and the current mean effective stress, which are defined as
where is the Poisson’s ratio.
The plastic strain tensors and are, respectively, calculated by:
where is the plastic modulus that can be expressed as:
To simulate the arbitrary laboratory tests with homogeneous stress and strain fields applicable to the proposed model, the method by Bardet and Choucair [25] is adopted here by solving the following vector-valued function:
where the stress tensor and strain tensor are denoted as and , respectively; represents state variables; matrixes and define the constraints applied on vectors or during a particular test; and the vector represents the prescribed finite loading. Equation (26) can be iteratively solved using the Newton–Raphson method [26].
3. Model Verification
The performance of the proposed model is verified using the experimental data of sedimentary rock (Xiong et al. [5]) and the Ohya rock (Zhang et al. [10]), the model parameters are calibrated and given in Table 1.
Table 1.
Model parameters for Ohya rock (Xiong et al. [5] and Zhang et al. [10]).
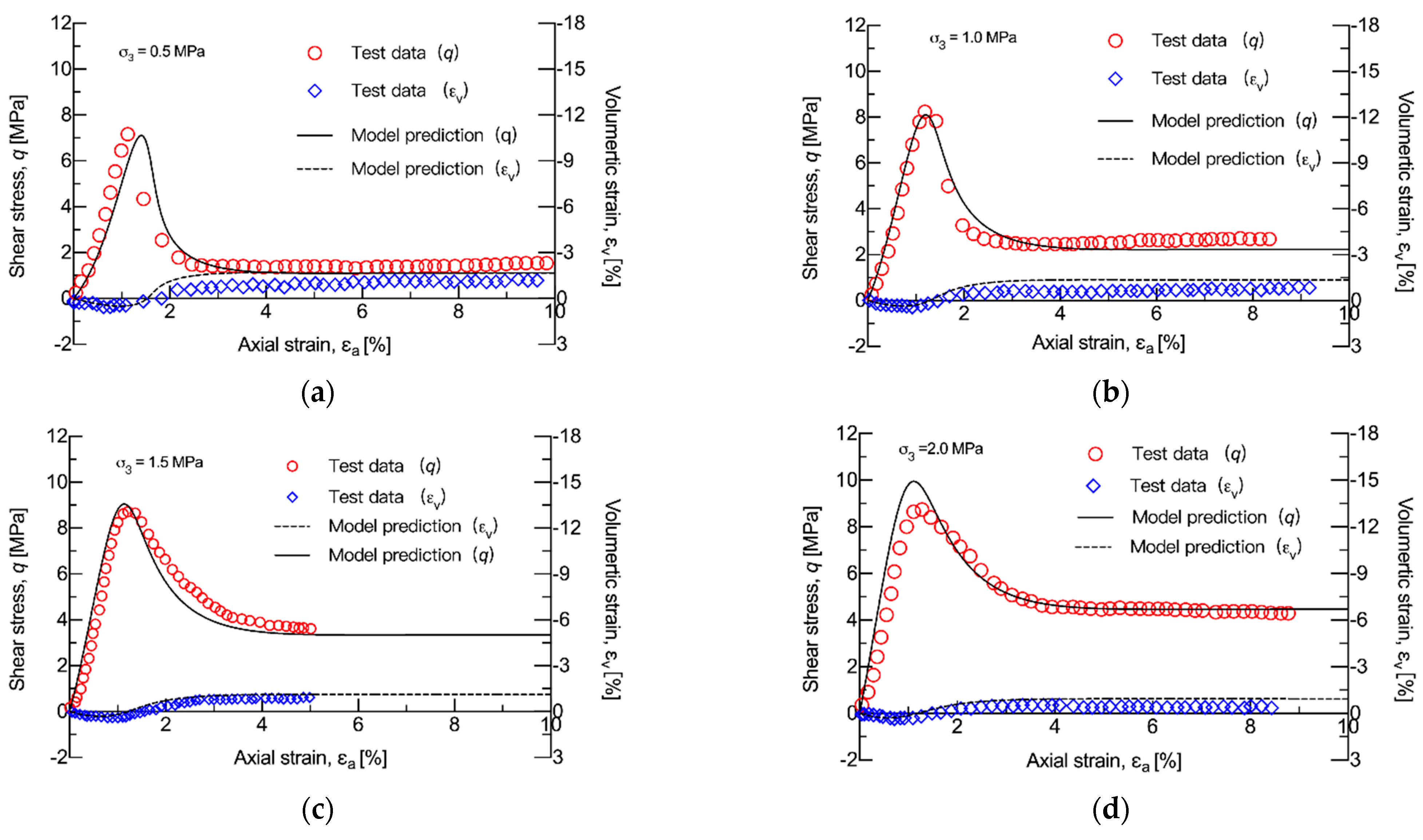
Figure 6 shows the measured stress–strain curves and volumetric deformation of sedimentary rock under the drained compression condition with various confining pressures. It can be found that the volume of rock samples is first reduced and then expanded during shearing. Once the peak strength state is reached, continuous loading will lead to the strain-softening phenomenon, and the rock sample can still resist extra deformation at the critical state. The proposed model can accurately describe the abovementioned features.
Figure 6.
Experimental data and model predictions: (a) = 0.5 MPa; (b) = 1.0 MPa; (c) = 1.5 MPa; (d) = 2.0 MPa).
In addition, to consider the temperature effect on the behaviour of soft rock, the experimental data of Ohya rock (Zhang et al. [10]) is adopted here and predicted by the proposed model. The cylindrical specimens with 50 mm in diameter and 100 mm in height were obtained from Ohya Village of Tochigi Prefecture. Before shearing, the specimens were first isotropic consolidated for 24 h under the prescribed confining pressure ( MPa) and then heated to the target temperatures of 20 °C, 40 °C, 60 °C, and 80 °C, respectively. The specimens were then sheared at the rate of 0.001%/min under drained conditions with the temperature remaining unchanged.
Figure 7 shows the measured and calculated stress–strain relation and volumetric deformation of Ohya rock subjected to drained compression at different temperatures. As indicated in Figure 7, the soft rock specimens firstly show a contract behaviour and then a dilatant behaviour with increasing axial strain at all the tested temperatures. The temperature may affect the final dilation of the soft rock according to the temperature-dependent fractional-order flow rule, while such an effect is not obviously captured because the final measured dilation at different temperatures is quite close. More experimental data is needed to address this issue. On the other hand, the measured stress–strain relations exhibit strain hardening behaviour at the early loading stage and then turn to strain-softening, which is very similar to the overconsolidated clay. Figure 7 also shows that the increasing temperature will lead to the decreasing peak strength of soft rocks. In general, the proposed model can describe the influence of temperature on the stress–strain relation and volumetric deformation of Ohya rock with acceptable accuracy.
Figure 7.
Experimental data and model predictions: (a) T = 20 °C; (b) T = 40 °C; (c) T = 60 °C; (d) T = 80 °C.
4. Conclusions
In this paper, a simple thermo-elastoplastic model is proposed to capture the mechanical behaviour of soft rocks at different temperatures. The proposed model has a satisfactory performance in predicting the drained triaxial test data of Ohya soft rock. The main conclusions are summarized as follows:
- (1)
- The concept of temperature-induced preconsolidated pressure with a new parameter, i.e., thermoelastic linear expansion coefficient, was adopted because of the temperature-induced elastic volumetric strain. A fractional-order flow rule is adopted in the proposed model with a new stress–dilatancy relation to account for the nonorthogonality between the plastic strain vectors and the yield surface. The fractional-order is assumed to be affected by the overconsolidated ratio and temperature.
- (2)
- The proposed model can predict the strain-softening and dilatancy features of soft rock specimens subjected to a wide range of temperatures. The peak strength of soft rock will be reduced by increasing the temperature, accompanied by a smaller tangent modulus and more significant dilation.
Author Contributions
Conceptualization, H.-C.L. and C.-X.T.; methodology, H.-C.L. and C.-X.T.; validation, X.C.; writing—original draft preparation, H.-C.L. and C.-X.T.; writing—review and editing, S.Z. and C.-X.T.; supervision, S.Z.; project administration, S.Z.; funding acquisition, H.-C.L. All authors have read and agreed to the published version of the manuscript.
Funding
This research was funded by the Central Universities Fund (grant no. XJ2021005101) and the Natural Science Foundation of Hunan Province (Grant No. 2021JJ40758).
Institutional Review Board Statement
Not applicable.
Informed Consent Statement
Not applicable.
Data Availability Statement
Not applicable.
Conflicts of Interest
The authors declare no conflict of interest.
References
- Miscevic, P.; Vlastelica, G. Impact of weathering on slope stability in soft rock mass. J. Rock Mech. Geotech. Eng. 2014, 6, 240–250. [Google Scholar] [CrossRef] [Green Version]
- Huang, F.; Wu, C.; Jang, B.; Hong, Y.; Guo, N.; Guo, W. Instability mechanism of shallow tunnel in soft rock subjected to surcharge loads. Tunn. Undergr. Space Technol. 2020, 99, 103350. [Google Scholar] [CrossRef]
- Xu, J.; Haque, A.; Gong, W.; Gamage, R.; Dai, G.; Zhang, Q.; Xu, F. Experimental Study on the Bearing Mechanisms of Rock-socketed Piles in Soft Rock Based on Micro X-ray CT Analysis. Rock Mech. Rock Eng. 2020, 53, 3395–3416. [Google Scholar] [CrossRef]
- Shi, C.; Zhao, C.; Yang, Y.; Guo, Y.; Zhang, X. Analysis of Railway Ballasted Track Stiffness and Behavior with a Hybrid Discrete–Continuum Approach. Int. J. Geomech. 2021, 21, 04020268. [Google Scholar] [CrossRef]
- Xiong, Y.; Yang, Q.; Zhang, S.; Ye, G.; Liu, G.; Zheng, R.; Zhang, F. Thermo-elastoplastic Model for Soft Rock Considering Effects of Structure and Overconsolidation. Rock Mech. Rock Eng. 2018, 51, 3771–3784. [Google Scholar] [CrossRef]
- Kang, X.; Liao, H. A Bounding Surface Plasticity Model Considering Spacing Ratio for Overconsolidated Jointed Soft Rocks. Rock Mech. Rock Eng. 2020, 53, 59–69. [Google Scholar] [CrossRef]
- Kang, X.; Liao, H.; Leng, X. An enhanced bounding surface plasticity model for soft rock subjected to drained and undrained condition. Comput. Geotech. 2020, 127, 103742. [Google Scholar] [CrossRef]
- Romero, E.; Villar, M.; Lloret, A. Thermo-hydro-mechanical behaviour of two heavily overconsolidated clays. Eng. Geol. 2005, 81, 255–268. [Google Scholar] [CrossRef]
- Abuel-Naga, H.; Bergado, D.; Lim, B. 2007. Effect of temperature on shear strength and yielding behavior of soft bangkok clay. Soils Found. 2007, 47, 423–436. [Google Scholar] [CrossRef] [Green Version]
- Zhang, S.; Leng, W.; Zhang, F.; Xiong, Y. A simple thermo-elastoplastic model for geomaterials. Int. J. Plast. 2012, 34, 93–113. [Google Scholar] [CrossRef]
- Shang, X.; Wang, J.; Zhang, Z.; Gao, F. A three-parameter permeability model for the cracking process of fractured rocks under temperature change and external loading. Int. J. Rock Mech. Min. Sci. 2019, 123, 104106. [Google Scholar] [CrossRef]
- Hashiguchi, K. Subloading surface model in unconventional plasticity. Int. J. Solids Struct. 1989, 25, 917–945. [Google Scholar] [CrossRef]
- Anjiki, T.; Oka, M.; Hashiguchi, K. Complete implicit stress integration algorithm with extended subloading surface model for elastoplastic deformation analysis. Int. J. Numer. Methods Eng. 2020, 121, 945–966. [Google Scholar] [CrossRef]
- Islam, M.; Gnanendran, C. Non-Associated Flow Rule-Based Elasto-Viscoplastic Model for Clay. Geosciences 2020, 10, 227. [Google Scholar] [CrossRef]
- Liang, J.; Lu, D.; Du, X.; Ma, C.; Gao, Z.; Han, J. A 3D non-orthogonal elastoplastic constitutive model for transversely isotropic soil. Acta Geotech. 2022, 17, 19–36. [Google Scholar] [CrossRef]
- Sun, Y.; Xiao, Y. 2017. Fractional order plasticity model for granular soils subjected to monotonic triaxial compression. Int. J. Solids Struct. 2017, 118, 224–234. [Google Scholar] [CrossRef]
- Lu, D.; Liang, J.; Du, X.; Ma, C.; Gao, Z. Fractional elastoplastic constitutive model for soils based on a novel 3D fractional plastic flow rule. Comput. Geotech. 2019, 105, 277–290. [Google Scholar] [CrossRef] [Green Version]
- Sun, Y.; Sumelka, W.; Gao, Y. Advantages and limitations of an α-plasticity model for sand. Acta Geotech. 2020, 15, 1423–1437. [Google Scholar] [CrossRef]
- Almeida, R. A Caputo fractional derivative of a function with respect to another function. Commun. Nonlinear Sci. Numer. Simul. 2017, 44, 460–481. [Google Scholar] [CrossRef] [Green Version]
- Lagioia, R.; Panteghini, A. On the existence of a unique class of yield and failure criteria comprising Tresca, von Mises, Drucker–Prager, Mohr–Coulomb, Galileo–Rankine, Matsuoka–Nakai and Lade–Duncan. Proc. R. Soc. A Math. Phys. Eng. Sci. 2016, 472, 20150713. [Google Scholar] [CrossRef]
- Roscoe, K.; Schofield, A.; Wroth, C. On The Yielding of Soils. Geotechnique 1958, 8, 22–53. [Google Scholar] [CrossRef]
- Been, K.; Jefferies, M.G. A state parameter for sands. Geotechnique 1985, 35, 99–112. [Google Scholar] [CrossRef]
- Ishihara, K.; Tatsuoka, F.; Yasuda, S. Undrained Deformation and Liquefaction of Sand under Cyclic Stresses. Soils Found. 1975, 15, 29–44. [Google Scholar] [CrossRef] [Green Version]
- Uchaipichat, A.; Khalili, N. Experimental investigation of thermo-hydro-mechanical behaviour of an unsaturated silt. Géotechnique 2009, 59, 339–353. [Google Scholar] [CrossRef]
- Bardet, J.P.; Choucair, W. A linearized integration technique for incremental constitutive equations. Int. J. Numer. Anal. Methods Geomech. 1991, 15, 1–19. [Google Scholar] [CrossRef]
- Janda, T.; Mašín, D. General method for simulating laboratory tests with constitutive models for geomechanics. Int. J. Numer. Anal. Methods Geomech. 2017, 41, 304–312. [Google Scholar] [CrossRef]
Publisher’s Note: MDPI stays neutral with regard to jurisdictional claims in published maps and institutional affiliations. |
© 2022 by the authors. Licensee MDPI, Basel, Switzerland. This article is an open access article distributed under the terms and conditions of the Creative Commons Attribution (CC BY) license (https://creativecommons.org/licenses/by/4.0/).





