Predicting Institution Outcomes for Inter Partes Review (IPR) Proceedings at the United States Patent Trial & Appeal Board by Deep Learning of Patent Owner Preliminary Response Briefs
Abstract
1. Introduction
2. Background and Related Work
2.1. Legal Context: Post-Grant Review Proceedings
2.2. Machine Learning and Natural Language Processing in Legal Applications
2.3. Deep Learning and Interpretability: Application to Litigation Analysis and Prediction
3. Materials and Methods
3.1. Document Collection
3.2. Document Pre-Processing
3.3. Interpretable Machine Learning Using XGBoost Classification of Documents Based on TF-IDF Features
3.4. Interpretable Deep Modeling with a CNN-Attention Model
4. Results
4.1. Determining Institution Outcome from Text of Written Decision
4.1.1. Comparing Performance of XGBoost and CNN Methods
4.1.2. Interpreting XGBoost and CNN Predictions for Written Decisions
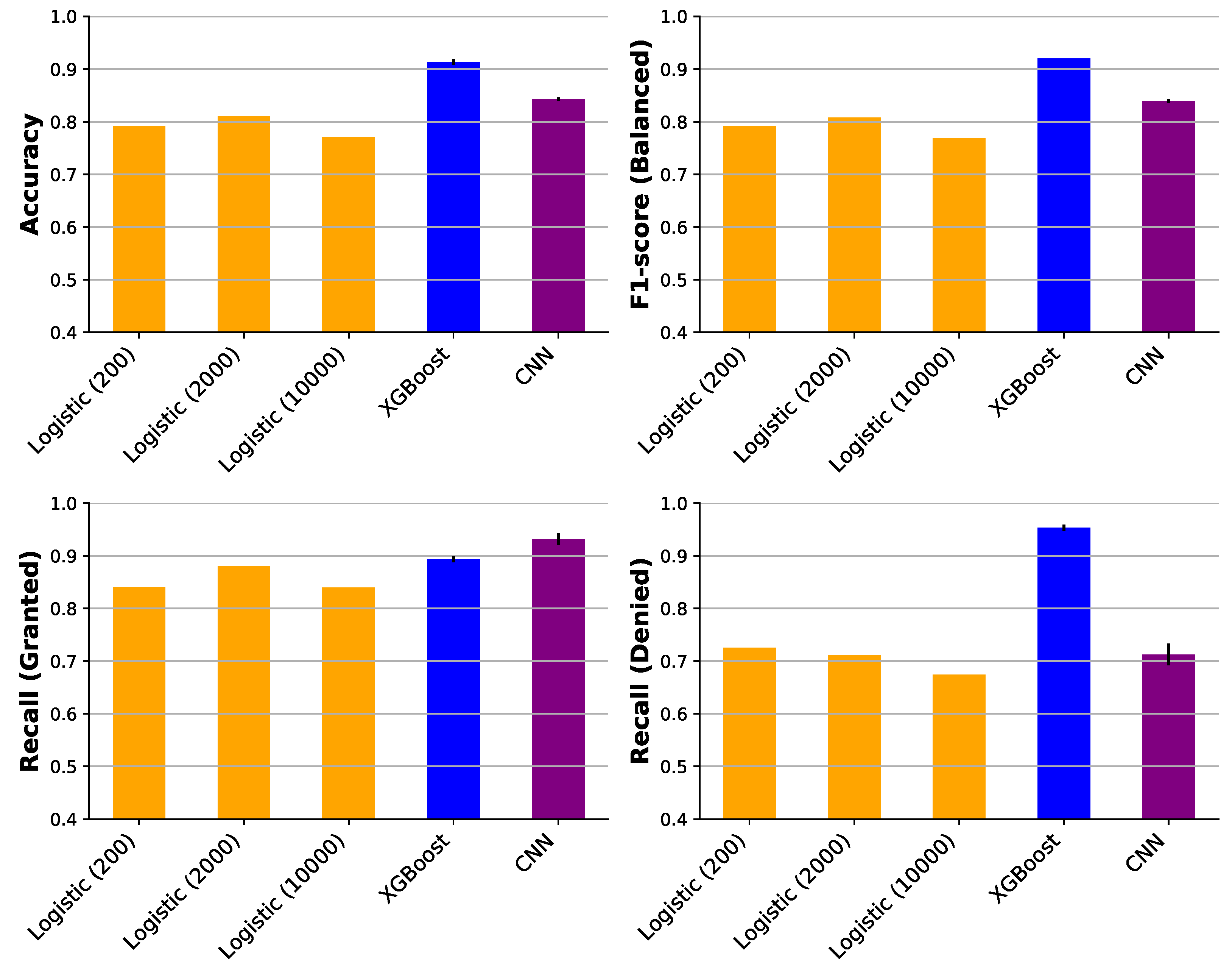
4.2. Predicting Institution Outcome Based on Patent Owner’s Preliminary Response Brief
5. Discussion
6. Conclusions
Author Contributions
Funding
Institutional Review Board Statement
Informed Consent Statement
Data Availability Statement
Conflicts of Interest
Abbreviations
| AI | Artificial Intelligence | 
| AIA | America Invents Act | 
| API | Application Program Interface | 
| APJ | Administrative Patent Judge | 
| BERT | Bidirectional Encoder Representations from Transformers | 
| CBM | Covered Business Methods | 
| CNN | Convolutional Neural Network | 
| ECHR | European Court of Human Rights | 
| IPR | Inter Partes Review | 
| LIME | Local Interpretable Model-agnostic Explanations | 
| ML | Machine Learning | 
| NLP | Natural Language Processing | 
| NLTK | Natural Language ToolKit | 
| PGR | Post Grant Review | 
| POPR | Patent Owner’s Preliminary Response | 
| PTAB | Patent Trial & Appeal Board | 
| PTO | U.S. Patent & Trademark Office | 
| RNN | Recurrent Neural Network | 
| SHAP | SHapley Additive exPlanations | 
| SVM | Support Vector Machines | 
| TF-IDF | Term Frequency – Inverse Document Frequency | 
| XGBoost | eXtreme Gradient Boosting | 
References
- Salmerón-Manzano, E. Legaltech and Lawtech: Global Perspectives, Challenges, and Opportunities. Laws 2021, 10, 24. [Google Scholar] [CrossRef]
 - Sherer, J.A.; Walters, E. Practical Magic: Law’s Hands-on AI Revolution. Law Prac. 2018, 44, 32. [Google Scholar]
 - Jafari, P.; Al Hattab, M.; Mohamed, E.; AbouRizk, S. Automated Extraction and Time-Cost Prediction of Contractual Reporting Requirements in Construction Using Natural Language Processing and Simulation. Appl. Sci. 2021, 11, 6188. [Google Scholar] [CrossRef]
 - Brown, S. Peeking inside the Black Box: A Preliminary Survey of Technology Assisted Review (Tar) and Predictive Coding Algorithms for Ediscovery. Suffolk J. Trial. App. Advoc. 2015, 21, 221. [Google Scholar]
 - Yang, E.; Grossman, D.; Frieder, O.; Yurchak, R. Effectiveness Results for Popular E-Discovery Algorithms. In Proceedings of the 16th Edition of the International Conference on Articial Intelligence and Law, London, UK, 12–16 June 2017; Association for Computing Machinery: New York, NY, USA, 2017; pp. 261–264. [Google Scholar] [CrossRef]
 - Dale, R. Law and Word Order: NLP in Legal Tech. Nat. Lang. Eng. 2019, 25, 211–217. [Google Scholar] [CrossRef]
 - Rai, A.K. Machine Learning at the Patent Office: Lessons for Patents and Administrative Law. Iowa Law Rev. 2018, 104, 2617. [Google Scholar] [CrossRef]
 - Kang, D.M.; Lee, C.C.; Lee, S.; Lee, W. Patent Prior Art Search Using Deep Learning Language Model. In Proceedings of the 24th Symposium on International Database Engineering & Applications, Seoul, Korea, 12–14 August 2020; Association for Computing Machinery: New York, NY, USA, 2020. [Google Scholar]
 - Chen, L.; Xu, S.; Zhu, L.; Zhang, J.; Lei, X.P.; Yang, G.C. A Deep Learning Based Method for Extracting Semantic Information from Patent Documents. Scientometrics 2020, 125, 289–312. [Google Scholar] [CrossRef]
 - Krestel, R.; Chikkamath, R.; Hewel, C.; Risch, J. A Survey on Deep Learning for Patent Analysis. World Pat. Inf. 2021, 65, 102035. [Google Scholar] [CrossRef]
 - Callister, P.D. Law, Artificial Intelligence, and Natural Language Processing: A Funny Thing Happened on the Way to My Search Results. Law Libr. J. 2020, 112, 161–212. [Google Scholar]
 - Hu, Z.; Li, X.; Tu, C.; Liu, Z.; Sun, M. Few-Shot Charge Prediction with Discriminative Legal Attributes. In Proceedings of the 27th International Conference on Computational Linguistics, Santa Fe, NM, USA, 12–16 August 2018; Association for Computational Linguistics: Stroudsburg, PA, USA, 2018; pp. 487–498. [Google Scholar]
 - Aletras, N.; Tsarapatsanis, D.; Preotiuc-Pietro, D.; Lampos, V. Predicting Judicial Decisions of the European Court of Human Rights: A Natural Language Processing Perspective. PeerJ Comput. Sci. 2016, 2, e93. [Google Scholar] [CrossRef]
 - Branting, L.K.; Pfeifer, C.; Brown, B.; Ferro, L.; Aberdeen, J.; Weiss, B.; Pfaff, M.; Liao, B. Scalable and Explainable Legal Prediction. Artif. Intell. Law 2021, 29, 213–238. [Google Scholar] [CrossRef]
 - Bansal, N.; Sharma, A.; Singh, R.K. A Review on the Application of Deep Learning in Legal Domain. In IFIP Advances in Information and Communication Technology; Springer: New York, NY, USA, 2019; Volume 559, pp. 374–381. [Google Scholar] [CrossRef]
 - Krass, M.S. Learning the Rulebook: Challenges Facing NLP in Legal Contexts. In Proceedings of the 32nd Conference on Neural Information Processing Systems (NIPS 2018), Montreal, QC, Canada, 3–8 December 2018. [Google Scholar]
 - Chien, C.V. Predicting Patent Litigation. Tex. Law Rev. 2011, 90, 283–329. [Google Scholar]
 - Allison, J.R.; Lemley, M.A.; Schwartz, D.L. Understanding the Realities of Modern Patent Litigation Symposium: Steps toward Evidence-Based IP. Tex. Law Rev. 2013, 92, 1769–1802. [Google Scholar]
 - Murdoch, W.J.; Singh, C.; Kumbier, K.; Abbasi-Asl, R.; Yu, B. Definitions, Methods, and Applications in Interpretable Machine Learning. Proc. Natl. Acad. Sci. USA 2019, 116, 22071–22080. [Google Scholar] [CrossRef]
 - Chien, C.; Helmers, C.; Spigarelli, A. Inter Partes Review and the Design of Post-Grant Patent Reviews. Berkeley Technol. Law J. 2018, 33, 817–854. [Google Scholar] [CrossRef]
 - Ragusa, P.A.; Zhang, Z. Opposing a Granted Patent in the USA: Post Grant and Inter Partes Review. Pharm. Pat. Anal. 2019, 8, 61–63. [Google Scholar] [CrossRef] [PubMed]
 - McClellan, F.; Wilson, D.; Armond, M. Filing Optional Reply Briefs Significantly Improves IPR Results. Law360. 1 May 2020. Available online: https://www.law360.com/articles/1260537/filing-optional-reply-briefs-significantly-improves-ipr-results (accessed on 3 April 2022).
 - United States Patent and Trademark Office (USPTO). Patent Trial and Appeal Board Consolidated Practice Guide. November 2019. Available online: https://www.uspto.gov/TrialPracticeGuideConsolidated (accessed on 3 April 2022).
 - Chen, F.C.; Lee, P.S. Inter Partes Review: Patent Killer No More? Trends Biotechnol. 2019, 37, 680–683. [Google Scholar] [CrossRef] [PubMed]
 - Jelsema, S.; Mason, A.; Vandenberg, J. Using a Phillips Construction in All PTAB Trials: The Impact on District Court Patent Actions and PTAB Proceedings. Chi.-Kent J. Intell. Prop. 2019, 18, 1–9. [Google Scholar]
 - Walsh, K.A. Institution Denied: The Evolution of Discretionary Denials of Inter Partes Review Under 35 U.S.C. § 314(A) Since Apple Inc. v Fintiv, Inc. Am. Univ. Law Rev. 2021, 71, 741–823. [Google Scholar]
 - Seeley, S.; Seeley, T. Establishment and Use of Non-Exclusive Factors to Deny Institution Under Secs. 314(a) and 325(d). Chi.-Kent J. Intell. Prop. 2021, 20, 169–179. [Google Scholar]
 - Unified Patents. PTAB Uses Discretion, Fintiv to Deny Petitions 38% in 2021 to Date. 22 September 2021. Available online: https://www.unifiedpatents.com/insights/2021/9/22/an-early-look-at-the-ptabs-use-of-fintiv-and-discretion-discretionary-denials-through-september-2021 (accessed on 3 April 2022).
 - Buchanan, B.G.; Headrick, T.E. Some Speculation about Artificial Intelligence and Legal Reasoning. Stanf. Law Rev. 1970, 23, 40–62. [Google Scholar] [CrossRef]
 - Frankenreiter, J.; Livermore, M.A. Computational Methods in Legal Analysis. Annu. Rev. Law Soc. Sci. 2020, 16, 39–57. [Google Scholar] [CrossRef]
 - Lawlor, R.C. What Computers Can Do: Analysis and Prediction of Judicial Decisions. Am. Bar Assoc. J. 1963, 49, 337–344. [Google Scholar]
 - Kort, F. Simultaneous Equations and Boolean Algebra in the Analysis of Judicial Decisions Jurimetrics. Law Contemp. Probl. 1963, 28, 143–163. [Google Scholar] [CrossRef][Green Version]
 - Posner, R.A. The Theory and Practice of Citations Analysis, with Special Reference to Law and Economics. University of Chicago Law School, John M. Olin Law & Economics Working Paper No. 83. 1999. Available online: https://papers.ssrn.com/sol3/papers.cfm?abstract_id=179655 (accessed on 3 April 2022).
 - Ruger, T.W.; Kim, P.T.; Martin, A.D.; Quinn, K.M. The Supreme Court Forecasting Project: Legal and Political Science Approaches to Predicting Supreme Court Decisionmaking. Columbia Law Rev. 2004, 104, 1150–1210. [Google Scholar] [CrossRef]
 - Jacobi, T.; Sag, M. Taking the Measure of Ideology: Empirically Measuring Supreme Court Cases. Georget. Law J. 2009, 99, 1. [Google Scholar]
 - Katz, D.M.; Bommarito, M.J.n.; Blackman, J. A General Approach for Predicting the Behavior of the Supreme Court of the United States. PLoS ONE 2017, 12, e0174698. [Google Scholar] [CrossRef]
 - Choi, J.H. An Empirical Study of Statutory Interpretation in Tax Law. NYU Law Rev. 2020, 95, 363–407. [Google Scholar] [CrossRef]
 - Alarie, B.; Niblett, A.; Yoon, A.H. Using Machine Learning to Predict Outcomes in Tax Law. Can. Bus. Law J. 2016, 58, 231–254. [Google Scholar] [CrossRef]
 - Ash, E.; Chen, D.L. Vector Representations of Legal Belief; Technical Report; National Bureau of Economic Research (NBER): Cambridge, MA, USA, 2018; Available online: http://users.nber.org/~dlchen/papers/Judge_Embeddings.pdf (accessed on 3 April 2022).
 - Varsava, N. Elements of Judicial Style: A Quantitative Guide to Neil Gorsuch’s Opinion Writing. N. Y. Univ. Law Rev. 2018, 93, 75–126. [Google Scholar]
 - Salton, G.; Buckley, C. Term-Weighting Approaches in Automatic Text Retrieval. Inf. Process. Manag. 1988, 24, 513–523. [Google Scholar] [CrossRef]
 - Sebastiani, F. Machine Learning in Automated Text Categorization. ACM Comput. Surv. 2002, 34, 1–47. [Google Scholar] [CrossRef]
 - Kim, M.Y.; Xu, Y.; Goebel, R. Summarization of Legal Texts with High Cohesion and Automatic Compression Rate. In New Frontiers in Artificial Intelligence; Lecture Notes in Computer Science; Motomura, Y., Butler, A., Bekki, D., Eds.; Springer: Berlin/Heidelberg, Germany, 2013; pp. 190–204. [Google Scholar] [CrossRef]
 - Kim, S.W.; Gil, J.M. Research Paper Classification Systems Based on TF-IDF and LDA Schemes. Hum.-Centric Comput. Inf. Sci. 2019, 9, 30. [Google Scholar] [CrossRef]
 - Mikolov, T.; Chen, K.; Corrado, G.; Dean, J. Efficient Estimation of Word Representations in Vector Space. arXiv 2013, arXiv:1301.3781. [Google Scholar]
 - Pennington, J.; Socher, R.; Manning, C. GloVe: Global Vectors for Word Representation. In Proceedings of the 2014 Conference on Empirical Methods in Natural Language Processing (EMNLP), Doha, Qatar, 25–29 October 2014; Association for Computational Linguistics: Stroudsburg, PA, USA, 2014; pp. 1532–1543. [Google Scholar] [CrossRef]
 - Chalkidis, I.; Kampas, D. Deep Learning in Law: Early Adaptation and Legal Word Embeddings Trained on Large Corpora. Artif. Intell. Law 2019, 27, 171–198. [Google Scholar] [CrossRef]
 - Medvedeva, M.; Vols, M.; Wieling, M. Using Machine Learning to Predict Decisions of the European Court of Human Rights. Artif. Intell. Law 2020, 28, 237–266. [Google Scholar] [CrossRef]
 - Kim, Y.; Park, S.; Lee, J.; Jang, D.S.; Kang, J.H. Integrated Survival Model for Predicting Patent Litigation Hazard. Sustainability 2021, 13, 1763. [Google Scholar] [CrossRef]
 - Weires, R.; Rosefelt, J.; Meylor, K.; Shim, S.; Chong, L. Narrowing the Universe: A Machine Learning Approach to Patent Clearance. Chi.-Kent J. Intell. Prop. 2021, 20, 180. [Google Scholar]
 - McConnell, D.J.; Zhu, J.; Pandya, S.; Aguiar, D. Case-Level Prediction of Motion Outcomes in Civil Litigation. In Proceedings of the Eighteenth International Conference on Artificial Intelligence and Law, Sao Paulo, Brazil, 21–25 June 2021; Association for Computing Machinery: New York, NY, USA, 2021; pp. 99–108. [Google Scholar]
 - Pillai, V.G.; Chandran, L.R. Verdict Prediction for Indian Courts Using Bag of Words and Convolutional Neural Network. In Proceedings of the 2020 Third International Conference on Smart Systems and Inventive Technology (ICSSIT), Tirunelveli, India, 20–22 August 2020; pp. 676–683. [Google Scholar] [CrossRef]
 - Chen, T.; Guestrin, C. XGBoost: A Scalable Tree Boosting System. In Proceedings of the 22nd ACM SIGKDD International Conference on Knowledge Discovery and Data Mining (KDD ’16), San Francisco, CA, USA, 13–17 August 2016; Association for Computing Machinery: New York, NY, USA, 2016; pp. 785–794. [Google Scholar] [CrossRef]
 - Qi, Z. The Text Classification of Theft Crime Based on TF-IDF and XGBoost Model. In Proceedings of the 2020 IEEE International Conference on Artificial Intelligence and Computer Applications (ICAICA), Dalian, China, 27–29 June 2020; pp. 1241–1246. [Google Scholar] [CrossRef]
 - dos Santos, P.T.C.; Henrique, F.; Garcia, V.; Ferreira, V.R.S.; dos Santos Neto, A.C.; Souza, J.C.; Manfredini, C.; França, J.V.F.; Boaro, J.M.C.; Junior, G.B.; et al. Multiclass Legal Judgment Outcome Prediction for Consumer Lawsuits Using XGBoost and TPE. In Proceedings of the 2020 IEEE International Conference on Systems, Man, and Cybernetics (SMC), Toronto, ON, Canada, 11–14 October 2020; pp. 881–886. [Google Scholar]
 - Rajshekhar, K.; Zadrozny, W.; Garapati, S.S. Analytics of Patent Case Rulings: Empirical Evaluation of Models for Legal Relevance. In Proceedings of the 16th International Conference on Artificial Intelligence and Law (ICAIL 2017), London, UK, 12–16 June 2017. [Google Scholar]
 - Love, B.J.; Miller, S.P.; Ambwani, S. Determinants of Patent Quality: Evidence from Inter Partes Review Proceedings. Univ. Colo. Law Rev. 2019, 90, 67. [Google Scholar] [CrossRef]
 - Winer, D. Predicting Bad Patents: Employing Machine Learning to Predict Post-Grant Review Outcomes for US Patents; Technical Report UCB/EECS-2017-60; Electrical Engineering and Computer Science; University of California at Berkeley: Berkeley, CA, USA, 2017. [Google Scholar]
 - Yang, Y.H.; Cheng, P.J.; Chen, F.C. Predicting Institution Decisions in Inter Partes Review Proceedings. J. Pat. Trademark Off. Soc. 2018, 100, 697–717. [Google Scholar]
 - Yang, Z.; Yang, D.; Dyer, C.; He, X.; Smola, A.; Hovy, E. Hierarchical Attention Networks for Document Classification. In Proceedings of the 2016 Conference of the North American Chapter of the Association for Computational Linguistics: Human Language Technologies, San Diego, CA, USA, 12–17 June 2016; pp. 1480–1489. [Google Scholar]
 - Belinkov, Y.; Glass, J. Analysis Methods in Neural Language Processing: A Survey. Trans. Assoc. Comput. Linguist. 2019, 7, 49–72. [Google Scholar] [CrossRef]
 - Li, J.; Zhang, G.; Yu, L.; Meng, T. Research and Design on Cognitive Computing Framework for Predicting Judicial Decisions. J. Signal Process. Syst. 2019, 91, 1159–1167. [Google Scholar] [CrossRef]
 - Long, S.; Tu, C.; Liu, Z.; Sun, M. Automatic Judgment Prediction via Legal Reading Comprehension. In Proceedings of the 18th China National Conference on Chinese Computing Linguistics, Kunming, China, 18–20 October 2019; Lecture Notes in Computer Science Series; Springer: Cham, Switzerland, 2019; Volume 11856, pp. 558–572. [Google Scholar] [CrossRef]
 - Devlin, J.; Chang, M.W.; Lee, K.; Toutanova, K. BERT: Pre-training of Deep Bidirectional Transformers for Language Understanding. In Proceedings of the 2019 Conference of the North American Chapter of the Association for Computational Linguistics: Human Language Technologies, Minneapolis, MN, USA, 2–7 June 2019; Association for Computational Linguistics: Stroudsburg, PA, USA, 2019; Volume 1, pp. 4171–4186. [Google Scholar] [CrossRef]
 - Chalkidis, I.; Fergadiotis, M.; Malakasiotis, P.; Aletras, N.; Androutsopoulos, I. LEGAL-BERT: The Muppets Straight out of Law School. arXiv 2020, arXiv:2010.02559. [Google Scholar]
 - Zheng, L.; Guha, N.; Anderson, B.R.; Henderson, P.; Ho, D.E. When Does Pretraining Help?: Assessing Self-Supervised Learning for Law and the CaseHOLD Dataset of 53,000+ Legal Holdings. In Proceedings of the Eighteenth International Conference on Artificial Intelligence and Law, Sao Paulo, Brazil, 21–25 June 2021; Association for Computing Machinery: New York, NY, USA, 2021; pp. 159–168. [Google Scholar]
 - Wehnert, S.; Sudhi, V.; Dureja, S.; Kutty, L.; Shahania, S.; De Luca, E.W. Legal Norm Retrieval with Variations of the Bert Model Combined with TF-IDF Vectorization. In Proceedings of the Eighteenth International Conference on Artificial Intelligence and Law, Sao Paulo, Brazil, 21–25 June 2021; Association for Computing Machinery: New York, NY, USA, 2021; pp. 285–294. [Google Scholar] [CrossRef]
 - Linardatos, P.; Papastefanopoulos, V.; Kotsiantis, S.B. Explainable AI: A Review of Machine Learning Interpretability Methods. Entropy 2021, 23, 18. [Google Scholar] [CrossRef] [PubMed]
 - Yu, R.; Ali, G.S. What’s Inside the Black Box? AI Challenges for Lawyers and Researchers. Leg. Inf. Manag. 2019, 19, 2–13. [Google Scholar] [CrossRef]
 - Bolukbasi, T.; Chang, K.W.; Zou, J.Y.; Saligrama, V.; Kalai, A.T. Man Is to Computer Programmer as Woman Is to Homemaker? Debiasing Word Embeddings. Adv. Neural Inf. Process. Syst. 2016, 29, 4349–4357. [Google Scholar]
 - Wu, H.C.; Luk, R.W.P.; Wong, K.F.; Kwok, K.L. Interpreting TF-IDF Term Weights as Making Relevance Decisions. ACM Trans. Inf. Syst. 2008, 26, 1–37. [Google Scholar] [CrossRef]
 - Raghupathi, V.; Zhou, Y.; Raghupathi, W. Legal Decision Support: Exploring Big Data Analytics Approach to Modeling Pharma Patent Validity Cases. IEEE Access 2018, 6, 41518–41528. [Google Scholar] [CrossRef]
 - Mahfouz, T.; Kandil, A. Construction Legal Decision Support Using Support Vector Machine (SVM). In Proceedings of the 2010 Construction Research Congress, Banff, AB, Canada, 8–10 May 2010; American Society of Civil Engineers: Reston, VA, USA, 2012; pp. 879–888. [Google Scholar] [CrossRef]
 - Ramraj, S.; Uzir, N.; Sunil, R.; Banerjee, S. Experimenting XGBoost Algorithm for Prediction and Classification of Different Datasets. Int. J. Control Theory Appl. 2016, 9, 651–662. [Google Scholar]
 - Elith, J.; Leathwick, J.R.; Hastie, T. A Working Guide to Boosted Regression Trees. J. Anim. Ecol. 2008, 77, 802–813. [Google Scholar] [CrossRef]
 - Lundberg, S.M.; Lee, S.I. A Unified Approach to Interpreting Model Predictions. In Advances in Neural Information Processing Systems; Curran Associates, Inc.: Dutchess County, NY, USA, 2017; Volume 30. [Google Scholar]
 - Montavon, G.; Samek, W.; Müller, K.R. Methods for Interpreting and Understanding Deep Neural Networks. Digit. Signal Process. 2018, 73, 1–15. [Google Scholar] [CrossRef]
 - Shrikumar, A.; Greenside, P.; Kundaje, A. Learning Important Features through Propagating Activation Differences. In Proceedings of the 34th International Conference on Machine Learning (ICML 2017), Sydney, Australia, 6–11 August 2017; pp. 3145–3153. [Google Scholar]
 - Simonyan, K.; Vedaldi, A.; Zisserman, A. Deep Inside Convolutional Networks: Visualising Image Classification Models and Saliency Maps. arXiv 2014, arXiv:1312.6034. [Google Scholar]
 - Ce, P.; Tie, B. An Analysis Method for Interpretability of CNN Text Classification Model. Future Internet 2020, 12, 228. [Google Scholar] [CrossRef]
 - Zhou, P.; Shi, W.; Tian, J.; Qi, Z.; Li, B.; Hao, H.; Xu, B. Attention-Based Bidirectional Long Short-Term Memory Networks for Relation Classification. In Proceedings of the 54th Annual Meeting of the Association for Computational Linguistics, Berlin, Germany, 7–12 August 2016; Volume 2, pp. 207–212. [Google Scholar]
 - Rush, A.M.; Chopra, S.; Weston, J. A Neural Attention Model for Abstractive Sentence Summarization. arXiv 2015, arXiv:1509.00685. [Google Scholar]
 - Jain, S.; Wallace, B.C. Attention Is Not Explanation. arXiv 2019, arXiv:1902.10186. [Google Scholar]
 - Vashishth, S.; Upadhyay, S.; Tomar, G.S.; Faruqui, M. Attention Interpretability Across NLP Tasks. arXiv 2019, arXiv:1909.11218. [Google Scholar]
 - Mullenbach, J.; Wiegreffe, S.; Duke, J.; Sun, J.; Eisenstein, J. Explainable Prediction of Medical Codes from Clinical Text. arXiv 2018, arXiv:1802.05695. [Google Scholar]
 - Chalkidis, I.; Androutsopoulos, I.; Aletras, N. Neural Legal Judgment Prediction in English. arXiv 2019, arXiv:1906.02059. [Google Scholar]
 - Shen, Y.; He, X.; Gao, J.; Deng, L.; Mesnil, G. Learning Semantic Representations Using Convolutional Neural Networks for Web Search. In Proceedings of the 23rd International Conference on World Wide Web, Seoul, Korea, 7–11 April 2014; Association of Computing Machinery: New York, NY, USA, 2014; pp. 373–374. [Google Scholar]
 - Kim, Y. Convolutional Neural Networks for Sentence Classification. arXiv 2014, arXiv:1408.5882. [Google Scholar]
 - Wang, Y.; Wei, G.Y.; Brooks, D. Benchmarking TPU, GPU, and CPU Platforms for Deep Learning. arXiv 2019, arXiv:1907.10701. [Google Scholar]
 - Bai, S.; Kolter, J.Z.; Koltun, V. An Empirical Evaluation of Generic Convolutional and Recurrent Networks for Sequence Modeling. arXiv 2018, arXiv:1803.01271. [Google Scholar]
 - Zhang, Z.; Chen, Y.; Li, H.; Zhang, Q. IA-CNN: A Generalised Interpretable Convolutional Neural Network with Attention Mechanism. In Proceedings of the 2021 International Joint Conference on Neural Networks (IJCNN), Shenzhen, China, 18–22 July 2021; pp. 1–8. [Google Scholar]
 - Dey, S.; Luo, H.; Fokoue, A.; Hu, J.; Zhang, P. Predicting Adverse Drug Reactions through Interpretable Deep Learning Framework. BMC Bioinform. 2018, 19, 476. [Google Scholar] [CrossRef] [PubMed]
 - Ribeiro, M.T.; Singh, S.; Guestrin, C. “Why Should i Trust You?” Explaining the Predictions of Any Classifier. In Proceedings of the 22nd ACM SIGKDD International Conference on Knowledge Discovery and Data Mining, San Francisco, CA, USA, 13–17 August 2016; Association for Computing Machinery: New York, NY, USA, 2016; pp. 1135–1144. [Google Scholar]
 - van der Linden, I.; Haned, H.; Kanoulas, E. Global Aggregations of Local Explanations for Black Box Models. arXiv 2019, arXiv:1907.03039. [Google Scholar]
 - Zhou, Z.; Hooker, G.; Wang, F. S-LIME: Stabilized-LIME for Model Explanation. In Proceedings of the 27th ACM SIGKDD Conference on Knowledge Discovery & Data Mining, Singapore, 14–18 August 2021. [Google Scholar]
 - Dieber, J.; Kirrane, S. Why Model Why? Assessing the Strengths and Limitations of LIME. arXiv 2020, arXiv:2012.00093. [Google Scholar]
 - Bird, S.; Klein, E.; Loper, E. Natural Language Processing with Python: Analyzing Text with the Natural Language Toolkit; O’Reilly Media, Inc.: Newton, MA, USA, 2009. [Google Scholar]
 - Pedregosa, F.; Varoquaux, G.; Gramfort, A.; Michel, V.; Thirion, B.; Grisel, O.; Blondel, M.; Prettenhofer, P.; Weiss, R.; Dubourg, V.; et al. Scikit-Learn: Machine Learning in Python. J. Mach. Learn. Res. 2011, 12, 2825–2830. [Google Scholar]
 - Sokhansanj, B.A.; Zhao, Z.; Rosen, G.L. Interpretable and Predictive Deep Modeling of the SARS-CoV-2 Spike Protein Sequence. medRxiv 2021. [Google Scholar] [CrossRef]
 - Grewal, M.; Petruzzi, H.; Gu, W. Ranking Parallel Petitions before the PTAB: A Survey. Chi.-Kent J. Intell. Prop. 2019, 19, 523–535. [Google Scholar]
 - Chalkidis, I. Law2Vec: Legal Word Embeddings. Available online: http://archive.org/details/Law2Vec (accessed on 3 April 2022).
 - Miller, S.P. What’s the Connection between Repeat Litigation and Patent Quality: A (Partial) Defense of the Most Litigated Patents. Stanf. Technol. Law Rev. 2012, 16, 313. [Google Scholar]
 - Medianik, K. Artificially Intelligent Lawyers: Updating the Model Rules of Professional Conduct in Accordance with the New Technological Era. Cardozo Law Rev. 2017, 39, 1497–1530. [Google Scholar]
 - Wiener, F.B. Decision Prediction by Computers: Nonsense Cubed—And Worse. Am. Bar Assoc. J. 1962, 48, 1023–1028. [Google Scholar]
 - Davis, J.P. Artificial Wisdom? A Potential Limit on AI in Law (and Elsewhere). Okla. Law Rev. 2019, 72, 51–89. [Google Scholar] [CrossRef]
 - Pah, A.R.; Schwartz, D.L.; Sanga, S.; Clopton, Z.D.; DiCola, P.; Mersey, R.D.; Alexander, C.S.; Hammond, K.J.; Amaral, L.A.N. How to Build a More Open Justice System. Science 2020, 369, 134–136. [Google Scholar] [CrossRef] [PubMed]
 









| CNN-Attention | LIME (CNN) | SHAP (XGBoost) | TF-IDF | 
|---|---|---|---|
| notice | record | notice | program | 
| hereby | stage | stage | digitally | 
| commence | proceeding | record | television | 
| entry | patentability | entry | interactive | 
| pursuant | citing | pursuant | programs | 
| stage | interactive | institution | guide | 
| final | teaches | ordered | directory | 
| made | hereby | explain | associated | 
| shall | television | hereby | claims | 
| given | pursuant | final | presents | 
| impact | recites | disagree | maintaining | 
| different | notice | arguments | data | 
| ground | using | citing | recordings | 
| exists | demonstrates | therefore | constitutional | 
| record | dispute | date | stored | 
| institution | discussed | combination | previously | 
| material | arguments | petition | teaches | 
| patentability | entry | authorized | erred | 
| disclosure | associated | must | user | 
| identified | request | recites | storing | 
Publisher’s Note: MDPI stays neutral with regard to jurisdictional claims in published maps and institutional affiliations.  | 
© 2022 by the authors. Licensee MDPI, Basel, Switzerland. This article is an open access article distributed under the terms and conditions of the Creative Commons Attribution (CC BY) license (https://creativecommons.org/licenses/by/4.0/).
Share and Cite
Sokhansanj, B.A.; Rosen, G.L. Predicting Institution Outcomes for Inter Partes Review (IPR) Proceedings at the United States Patent Trial & Appeal Board by Deep Learning of Patent Owner Preliminary Response Briefs. Appl. Sci. 2022, 12, 3656. https://doi.org/10.3390/app12073656
Sokhansanj BA, Rosen GL. Predicting Institution Outcomes for Inter Partes Review (IPR) Proceedings at the United States Patent Trial & Appeal Board by Deep Learning of Patent Owner Preliminary Response Briefs. Applied Sciences. 2022; 12(7):3656. https://doi.org/10.3390/app12073656
Chicago/Turabian StyleSokhansanj, Bahrad A., and Gail L. Rosen. 2022. "Predicting Institution Outcomes for Inter Partes Review (IPR) Proceedings at the United States Patent Trial & Appeal Board by Deep Learning of Patent Owner Preliminary Response Briefs" Applied Sciences 12, no. 7: 3656. https://doi.org/10.3390/app12073656
APA StyleSokhansanj, B. A., & Rosen, G. L. (2022). Predicting Institution Outcomes for Inter Partes Review (IPR) Proceedings at the United States Patent Trial & Appeal Board by Deep Learning of Patent Owner Preliminary Response Briefs. Applied Sciences, 12(7), 3656. https://doi.org/10.3390/app12073656
        
                                                
