Next Article in Journal
Seismic Behavior of a Steel Beam-to-Concrete-Filled Steel Tubular Column Connection Using External Diaphragms
Previous Article in Journal
An Overview of Position Sensorless Techniques for Switched Reluctance Machine Systems
 
 
Font Type:
Arial Georgia Verdana
Font Size:
Aa Aa Aa
Line Spacing:
Column Width:
Background:
Article

Research on Passenger Flow Assignment of Integrated Cross-Line and Skip-Stop Operation between State Railway and Suburban Railway

School of Civil Engineering, Beijing Jiaotong University, Beijing 100044, China
*
Author to whom correspondence should be addressed.
Appl. Sci. 2022, 12(7), 3617; https://doi.org/10.3390/app12073617
Submission received: 15 February 2022 / Revised: 30 March 2022 / Accepted: 31 March 2022 / Published: 2 April 2022
(This article belongs to the Section Transportation and Future Mobility)

Abstract

:
The passenger flow assignment in the rail transit network is the basis for determining the passenger spatiotemporal distribution and train operation organization plan. In previous studies, the passenger flow assignment problem mainly focused on lines within the same rail system. Few studies focus on lines with the integrated mode of cross-line and skip-stop operation between state and suburban railway due to fewer cases in practice. In this study, passenger congestion and fare policy are taken into account in the generalized travel cost function, and a passenger flow assignment model based on the path-sized logit (PSL) model considering train capacity is proposed. Meanwhile, a schedule-based spatiotemporal digraph is established to search for the shortest spatiotemporal travel path. Furthermore, an improved method of successive averages (MSA) algorithm is designed to solve the proposed model. The proposed model is verified by a numerical example. The sensitivities of three main parameters which influence the results are also analyzed. The results show that the assignment model based on PSL is practicable in integrated operation mode. The higher the passenger’s familiarity with network information, the more accurate the assignment results. State trains are more attractive when the fare is lower than 0.5 CNY/km or the hourly wage is higher than 50 CNY/h.

1. Introduction

The large-scale, multi-center spatial layout of urban clusters and metropolitan areas requires multi-level, integrated rail transportation systems. In China, the rail transportation systems within metropolitan areas are generally divided into four levels: mainline, intercity, suburban railway, and urban rail transit. Mainline railway and intercity railway are operated by the state railway administration departments, connecting the main cities, serving passengers who travel long distances, and operating at higher speeds. The suburban railway is operated by the local city, connecting urban centers and surrounding satellite towns, serving the demand of intra-city travel. Generally speaking, the operation of state railway systems and suburban railway systems are independent of each other, so passengers have to transfer at the hub station, which results in a long transfer time. If the cross-line operation is realized, it will not only meet the passenger demand for direct access but also save passengers travel time. However, the cross-line operation is more complicated so it brings a great challenge to the operating organization. Nowadays, urban clusters and metropolitan areas are developing greatly in China, and cross-line operation between the state railway and suburban railway in these areas has become a research hotspot.
For the cross-line operation, the core question is to determine the cross-line operation section and the train stop plan in the section. Passenger flow distribution is the key technology to solve the question [1]. The cross-line operation increases the passengers’ choice of the travel path. Due to great differences in travel time, comfort level, and fare cost of different paths, passengers’ path choice behavior has become diversified.
In this paper, a stochastic user equilibrium (SUE) passenger flow assignment model based on path-sized logit (PSL) model considering different train capacities, congestion levels, and fare policies is proposed to solve the passenger assignment problem under cross-line and skip-stop operation mode. Regardless of the level of operators, the proposed method can also be applied on lines with the same operators whenever there are different trains providing different services.
The remaining part of the paper proceeds as follows. Section 2 reviews the recent literature. Section 3 gives the problem description and establishes the schedule-based network. In Section 4, a stochastic user equilibrium (SUE) assignment model based on the PSL model under cross-line and skip-stop operation mode is established. Furthermore, an improved method of successive averages (MSA) is designed to solve the PSL–SUE model in Section 5. A numerical example validates the proposed model and solution approach in Section 6. Finally, the conclusions are presented in the last section.

2. Literature Review

2.1. Cross-Line and Skip-Stop Operation in Rail System

The previous studies of cross-line and skip-stop operation mainly focus on the determination of stopping planning and operation frequency. Two issues are studied separately, and scholars previously focused on only one specific issue. Regarding the skip-stop pattern, there is much research in the field of urban rail transit. Typically, the optimization models were established by building the relationships between the objective functions and stopping patterns to meet the passenger demand [2], and the goal of these models is to minimize passenger travel time and operation costs [3,4,5,6]. Jiang [7] proposed a coordinated optimization scheme which combined passenger inflow control with train rescheduling of skip-stopping strategies for minimizing the penalty value of passengers being stranded. The researches of cross-line in urban rail transit are mainly focused on the technical requirements and applicable conditions of passenger demand. Kurosaki [8] compared the cross-line organizational patterns between Japan and European countries. Ming [9] analyzed the applicable conditions for operating cross-line trains according to passenger flow demand and found that cross-line operation is necessary when passenger flow that passes by the junction station is high enough. Zhao [10] proposed a routing planning design model for Y-type urban rail transit aimed at minimizing the passenger travel time and train-operating distance. Yang [11] proposed the train operation adjustment method of cross-line trains to solve the problem of small-scale delay in the urban rail transit network. Hao [12] studied the cross-line editing train graph technology of the network operating based on the single-line train graph editing. For the combination of cross-line and skip-stop pattern, an integrated optimization with cross-line and skip-stop is proposed to optimize the frequencies, stopping patterns, and operation zones of express/local trains in reference [13]. In these studies, the passenger path choice was based on specific assumptions and uniform assignment.

2.2. Passenger Path Choice Behavior

In fact, there are many paths to choose for passengers in the whole travel process. Passengers evaluate and rank the travel cost of each path and the choice probability of each path can be obtained [14]. Most studies of travel path choice analysis are based on the random utility theory [15]. The utility function is represented in terms of the generalized travel cost of passengers. This includes the generalized travel cost related to time (waiting and in-vehicle times) [16,17], transfer factor [18,19], congestion level [20,21], fare policy [22,23], and network topology [24]. The generalized cost in previous studies considered single or multiple factors. Discrete choice model is generally used to analyze passenger choice behavior. Schmöcker [25] considered the hyperpath characteristics in the choice set and introduced a new discrete choice model to describe passenger behavior at stops based on utility maximization. Furthermore, with the development of real-time information and telematics, Zargayouna [26] presented a multi-agent simulation model to observe and assess the effects of real-time information provision on the passengers in transit networks. Nuzzolo [27] proposed a method to search for a dynamic optimal travel strategies in a stochastic multiservice transit network supplied through mobile devices. Wahba [28] proposed a new modeling framework to represent behavioral responses under information provision for the transit assignment problem.

2.3. Passenger Flow Assignment Model

Based on the analysis of passenger choice behavior, the passenger flow assignment method can allocate passengers to different paths based on the user equilibrium (UE) criteria and stochastic user equilibrium (SUE) criteria. The SUE model, which provides a reasonable equilibrium traffic flow pattern by considering travelers’ imperfect perceptions of travel cost, is widely used [29]. Nielsen [30] proposed a stochastic transit assignment model considering differences properties in passengers’ utility function. Xu [31], Han [32], and Hamdouch [33] proposed the assignment models considering the capacity constraint. Hong [34] used the automatic fare collection (AFC) data to assign the passenger flow on the metro network. Fu [35] assigned the passenger flow in a high-speed railway network by introducing some restricted conditions. Based on the schedule-based network, Mo [36] proposed a network loading model to distribute passengers for monitoring the network performance. Nuzzolo [37] proposed a dynamic assignment model to simulate the within-day and day-tO–Day learning process of passengers’ route choices. Furthermore, Yao [38] proposed a simulation-based dynamic passenger assignment framework, and Khani [39] proposed a trip-based network representation and a set of path algorithms.
In summary, the previous studies of passenger flow assignment concentrate on a single specific operation system, whereas this study focuses on the integrated operation scenarios between two different systems which adopt both cross-line and skip-stop modes. Previous studies focused on passenger choice between lines in the physical network; nevertheless, the choice between different types of trains becomes the research point in this study.

3. Problem Statement and Schedule-Based Network

3.1. Problem Description

“Y” type is a standard network structure type of cross-line operation. The state railway connects to the suburban railway line at the junction station, as shown in Figure 1. The terminal station of the state railway line is the intermediate station of the suburban line, and the state trains can run across onto the suburban line through the junction station. In other words, the state railway trains and suburban railway trains share the same track in the central urban area. The cross-line operation can be an excellent way to reduce the transfer time in a transportation junction hub and meet the demands of passengers who take the state train and desire to arrive at the stations in the urban center quickly and directly.
There are two kinds of train routing: state train routing and suburban train routing, and they share the same track of suburban railway line for cross-line operation. State railway trains only stop at the main stations with large numbers of passengers. The suburban train routing takes on the combination of local and express modes. Local trains stop at every station of the line, and the express trains take the skip-stop scheme. The train stop plan is shown in Figure 2. Meanwhile, station No. 4 and No. 7 are set as overtaking stations where express train and state train can overtake local train.

3.2. Schedule-Based Network Representation

In order to figure out passenger’s choice between different trains when diversified service trains are operating on the line, a schedule-based network G = (V, E, T) is used to represent the train-based network under cross-line and skip-stop operation. V is the set of spatiotemporal nodes. E is the set of arcs connecting spatiotemporal nodes. T denotes the time attributes of nodes and arcs. Basic notations related to schedule-based network are listed in Table 1. A schedule-based network of one O–D pair is shown in Figure 3.
There are four types of spatiotemporal nodes which include trip origin and destination nodes, train arrival, and departure nodes. The notation and definition of nodes are described in Table 1. And there are five types of arcs in the network described as follows.

3.2.1. Waiting Arc

Passengers will make a choice when there are different kinds of trains operating on the line. When the train they want to take is not the current arrival train, the waiting time will be extended. Let a ( v o r l , v d r l ) denote the waiting arc from virtual origin node v o r l to the departure node v d r l . This represents passenger waits for train l whereas the current arrival train is l at origin station r. Assuming that the passengers arrive at the station following the uniform distribution, the corresponding passenger average arrival time is the intermediate value of the departure time t d ( r , l ) and t d ( r , l 1 ) , as shown in Figure 4. The waiting time of the waiting arc can be calculated by Equation (1). If the current train is l and passenger also choose to take train l, then l = l ,
c w ( a ) = t ( v d r l ) t ( v o r l ) = t d ( r , l ) t o ( r , l ) l , l L
t o ( r , l ) = 1 2 [ t d ( r , l ) t d ( r , l 1 ) ] l L .
Additionally, the situation at the junction station is different from other stations. There are three types of waiting passengers: the passengers of the suburban line itself, the state passengers on the cross-line train, and state passengers on the non-cross train, as shown in Figure 5. Passengers on the non-cross state train need to transfer from the state railway hub station platform to the suburban railway platform at the junction station, and an extra time cost T h should be considered in the travel time of the waiting arc. For passengers on the cross-line train, the waiting time of the waiting arc is 0.

3.2.2. Running Arc

Let a ( v d r l , v a s l ) denote the section running arc from departure node v d r l to arrive at node v a s l . This represents train l operating from station r to s. The travel time of the section running arc can be calculated by Equation (3),
c r ( a ) = t ( v a s l ) t ( v d r l ) = t a ( s , l ) t d ( r , l ) l L .

3.2.3. Station-Stop Arc

Let a ( v a s l , v d s l ) denote the stop arc from arrive node v a s l to departure node v d s l . This represents train l stopping at station s. The train stop time of the station-stop arc can be calculated by the Equation (4),
c s ( a ) = t ( v d s l ) t ( v a s l ) = t d ( s , l ) t a ( s , l ) l L .

3.2.4. Transfer Arc

Let a ( v a s l 1 , v d s l 2 ) denote the transfer arc from the arrival node v a s l 1 to the departure node v d s l 2 . This reflects passenger transfer from train l 1 to train l 2 at station s. The transfer time includes transfer walking time and transfer waiting time, which can be calculated by the Equation (5),
c t ( a ) = t ( v d s l 2 ) t ( v a s l 1 ) = t d ( s , l 2 ) t a ( s , l 1 ) l 1 , l 2 L .

3.2.5. Arrive Arc

a ( v a s l , v e s ) denotes the arrival arc from arrival node v a s l to virtual destination node v e s . The virtual temporal node v e s represents the destination of the travel path. The virtual arrival arcs are only used to ensure the integrity of the travel path, and there is no time cost when calculating the travel path cost. In other words, the travel time of the arrival arc is 0.
In the schedule-based network, paths of spatiotemporal O–D pairs are a sequence of arcs. For example, one path of spatiotemporal O–D pair ( v o 3 2 , v e 7 ) can be expressed as ( v o 3 2 , v d 3 2 ) ( v d 3 2 , v a 5 2 ) ( v a 5 2 , v d 5 2 ) ( v d 5 2 , v a 6 2 ) ( v a 6 2 , v d 6 1 ) ( v d 6 1 , v a 7 1 ) ( v a 7 1 , v e 7 ) based on the schedule-based network shown in Figure 3. It corresponds to the trip that passengers take train No. 2 from station No. 3, then transfer to train No. 1 at station No. 6 and take train No. 1 arrive the terminal station No. 7.

4. Passenger Flow Assignment Model

This section calculates the path-generalized travel cost in a schedule-based network and builds the stochastic user equilibrium (SUE) model based on the path-size logit (PSL) model.

4.1. Generalized Travel Cost

There are many alternative travel paths between spatiotemporal O–D pairs, and the choice of passenger travel path is affected by multiple factors. Generally, the generalized travel cost is established to analyze the passenger’s travel path choice behavior. The travel cost is composed of waiting time cost, in-vehicle time cost, transfer time cost, and congestion penalty. Meanwhile, the fare cost is considered in generalized travel cost due to the different trains with diversified fare policies. Basic notations related to generalized travel cost are listed in Table 2.

4.1.1. Waiting Time Cost

In combined operation with the express and local trains, the headway of trains at each station is not consistent with that in the origin station because of the different train speeds in sections. Therefore, it is not appropriate to take the half headway at the first station as waiting time. In the schedule-based network, the waiting time is calculated according to the actual train timetable. The waiting time cost of the passenger’s travel path is equal to the time of the waiting arc on the path (refer to the Equation (1)). The waiting time cost of the kth path of O–D pair ( i , j ) is calculated by Equation (6),
C W ( i , j ) k = c w ( a ) × δ ( i , j ) , k a a E W .

4.1.2. In-Vehicle Time Cost

The passenger in-vehicle time includes the train running time and station stop time. In the schedule-based network, in-vehicle time is the total time of running arcs and station-stop arcs on the travel path. The total in-vehicle time of passengers is calculated by Equation (7),
C I ( i , j ) k = [ c r ( a ) × δ ( i , j ) , k a ] + [ c s ( a ) × δ ( i , j ) , k a ] a E R E S .
Considering the impact of congestion on the passenger choice of travel path, the discomfort caused by congestion will increase the generalized travel cost of passengers. Based on the impedance function defined by the American Bureau of Public Road (BPR) (refer to the Equation (8)), this paper introduces the congestion penalty function of passenger assignment in the rail transit system (refer to Equation (9)),
T a = t a 0 [ 1 + α ( x a C a ) β ] , a
where T a is travel time with link flow x a on link, a , t a 0 and C a are the free-flow travel time and capacity on link a , respectively, and α and β are deterministic parameters, respectively.
f c ( q a ) = { 0 q a Z δ 1 ( q a Z c p Z ) δ 2 Z < q a c p + q a > c p .
When the number of passengers on board is less than the number of seats, the passengers feel comfortable, and the congestion penalty is 0. When the number of passengers is greater than the number of seats and less than the maximum train capacity, passengers gradually feel uncomfortable, and the congestion penalty is an exponential function related to the passenger number. Furthermore, when the number of passengers exceed the maximum train capacity, the congestion penalty is set to positive infinity. Therefore, this arc will not be passed when searching for the shortest path.
Then the travel time of the section running arc considering the congestion penalty can be calculated by the Equation (10). The congestion penalty on the station-stopping arcs is not considered due to the dynamic change of passengers in the train during the stopping period. Thus, the Equation (7) is reformulated as Equation (11),
c r p ( a ) = c r ( a ) [ 1 + f c ( q a ) ] a E R
C I ( i , j ) k = [ c r p ( a ) × δ ( i , j ) , k a ] + [ c s ( a ) × δ ( i , j ) , k a ] a E R E S .

4.1.3. Transfer Time Cost

The transfer time cost is related to the time of the transfer arcs and the number of transfer times. Passengers do not prefer the travel paths with more transfer time and frequency. The transfer time that passengers feel is generally greater than the actual time consumed. Thus, it is necessary to introduce the amplification factor when calculating the generalized transfer time cost of the travel path,
C T ( i , j ) k = α 1 × ( n t f ) α 2 × [ c t ( a ) × δ ( i , j ) , k a ] a E T .

4.1.4. Fare Cost

In previous studies, the passenger choice of travel path is studied in the single rail transit system. The fare costs of different paths between one O–D pair are identical, and it does not influence passenger’s choice behavior. Thus, the fare cost is not considered in previous researches. However, under the cross-line operation between the state and suburban railway, the fare policies of the state and suburban railway are different. According to the respective travel distances taken by two rail systems, the total fare cost of the kth path is calculated by the Equation (13),
C F ( i , j ) k = C F 1 + C F 2 = p 1 × ( L a × δ ( i , j ) , k a × η 1 a ) + p 2 × ( L a × δ ( i , j ) , k a × η 2 a )

4.1.5. Generalized Travel Cost

The generalized travel cost includes time cost and ticket price, which need to be normalized. The hourly wage λ is introduced to transfer the time cost into money. Then, in the schedule-based network, the generalized travel cost of the kth path of the spatiotemporal O–D pair ( i , j ) is expressed as follows
C ( i , j ) k = λ [ C W ( i , j ) k + C I ( i , j ) k + C T ( i , j ) k ] + C F ( i , j ) k .
For arc a , the generalized cost c a is calculated by:
c a ( q a ) = { λ c w ( a ) a E W λ [ 1 + f c ( q a ) ] c r ( a ) + ( p 1 η 1 ( a ) + p 2 η 2 ( a ) ) L a a E R λ c s ( a ) a E S λ α 1 ( n t f ) α 2 c t ( a ) a E T

4.2. SUE Assignment Model Formulation

There are many alternative travel paths between O–D pairs, and the choice of travel path is affected by multiple factors. The discrete choice model based on random utility theory simulates the travel behavior made by travelers in the feasible choice set. The multinomial logit model (MNL), based on the discrete choice theory, is often used to solve the problem of multi-alternatives choice. However, due to the property of independence of irrelevant alternatives (IIA), this will lead to excessive flow being assigned to overlapping paths [40]. In this paper, we introduce a size variable in the utility of a path and propose the path-size logit (PSL) model which considers the path length to eliminate the IIA property of traditional logit models [41]. The choice probability of the kth path can be calculated by
p ( i , j ) k = exp ( V ( i , j ) k + ln S ( i , j ) k ) k K ( i , j ) exp ( V ( i , j ) k + ln S ( i , j ) k )
where, V ( i , j ) k is the utility of path k between O–D pair ( i , j ) and can be calculated by Equation (17), S ( i , j ) k is the correction term and defined by Equation (18), and K ( i , j ) represents the path set between O–D pair. Furthermore, we give
V ( i , j ) k = θ C ( i , j ) k
S ( i , j ) k = a Γ ( i , j ) k l a L ( i , j ) k 1 k K ( i , j ) δ a k L K ( i , j ) * L k
where θ is the scale parameter that converts the generalized travel cost to the utility, Γ ( i , j ) k is the set of links in path k between O–D pair, l a and L ( i , j ) k are the length of link a and path k , δ a k is the link-path incidence variable, δ a k = 1 if link a is on path k and δ a k = 0 , otherwise, and L K ( i , j ) * is the length of the shortest path in K ( i , j ) .
Based on the classical logit SUE assignment model proposed by Fisk [42], the improved PSL-SUE model of the schedule-based network considering the train capacity is established:
min Z ( f ) = 1 θ ( i , j ) ( O , D ) k K ( i , j ) f ( i , j ) k ( ln f ( i , j ) k ln s ( i , j ) k ) + a E 0 x a c a ( w ) d w
s . t .   k K ( i , j ) f ( i , j ) k = q ( i , j ) , ( i , j ) ( O , D )
f ( i , j ) k 0 , ( i , j ) ( O , D ) , k K ( i , j )
x a = ( i , j ) ( O , D ) k K ( i , j ) f ( i , j ) k δ ( i , j ) , k a , a E .
Here f ( i , j ) k denotes the passenger flow on the kth path between O–D pair ( i , j ) , ( O , D ) is the set of all spatiotemporal O–D pairs, x a denotes the flow on arc a , and q ( i , j ) represents the passenger demand between O–D pair ( i , j ) .
Equation (20) represents the conservation of path flow and passenger volume of the O–D pair. Formula (21) is a non-negativity restriction of path flow. The relationship between arc flow and path flow is restricted in Equation (22).
The equivalence and uniqueness of the model can be proved by constructing the Lagrangian function for PSL-SUE problem, and the Kuhn–Tucker conditions for the PSL–SUE problem can be formulated as follows:
1 θ ( ln f ( i , j ) k ln S ( i , j ) k + 1 ) + a c a ( x a ) δ ( i , j ) , k a φ ( i , j ) μ ( i , j ) k = 0
μ ( i , j ) k f ( i , j ) k = 0
where φ ( i , j ) and μ ( i , j ) k are the corresponding Lagrangian multipliers to Equations (20) and (21). Equation (23) can be easily transformed into the following PSL model:
p ( i , j ) k = exp ( θ C ( i , j ) k + ln S ( i , j ) k ) k K ( i , j ) exp ( θ C ( i , j ) k + ln S ( i , j ) k ) .

5. Solution Approach

There are several algorithms for solving the SUE problem, such as method of successive averages (MSA) [31], the disaggregated simplicial decomposition method (DSD) [43], and the gradient projection method (GP) [44]. We developed a method based on the MSA algorithm to solve the proposed PSL-SUE problem with train capacity constraints.
Step 1: Network construction and valid path set.
The schedule-based network is constructed according to the established timetable of cross-line operation with state and suburban trains. In the case of free flow, the k shortest paths between each O–D pair are found by using the k shortest path algorithm and then stored into the valid path set K .
Step 2: Initialization.
Initialize all arc flows to 0 and calculate the arcs’ impedance under the condition of free flow. The generalized costs of all paths are calculated. Assign the passengers to the paths by using the MNL mode on the zero-flow network, and the initial path flow f 0 is obtained and set the number of iteration n = 0 .
Step 3: Update arc impedance.
According to the path flow f n of the nth iteration, the new arc flow x a n is updated by Equation (22). Then, update the impedance of all arcs and generalized cost of all paths based on the generalized travel cost function mentioned above.
Step 4: Iteration.
According to the updated generalized cost of paths, the passengers are reassigned to paths by using the PSL model
f ( i , j ) k , n = q ( i , j ) exp ( θ C ( i , j ) k , n + ln S ( i , j ) k ) k K ( i , j ) exp ( θ C ( i , j ) k , n + ln S ( i , j ) k ) , k K ( i , j ) .
Update the arc flow according to the new path flow, and judge whether the arc flow exceeds the train capacity. If the arc flow exceeds the train capacity, it is necessary to reassign the path flow by reducing it proportionally. If x a n > c p , η a n < 1 , the path flow will be reduced. Otherwise, if x a n > c p , η a n < 1 , the path flow will not change.
c p / x a n = c p / ( i , j ) ( O , D ) k K ( i , j ) δ ( i , j ) , k a f ( i , j ) k , n
η a n = min [ 1 , c p / x a n ]
f ( i , j ) k , n = f ( i , j ) k , n η a n .
While the path flow is reduced, the total passenger number of the O–D pair ( i , j ) will also be reduced, so it is also necessary to enlarge the total number of reduced path flow to the original value
η ( i , j ) n = q ( i , j ) / k K ( i , j ) f ( i , j ) k , n .
Thus, at the n + 1th iteration, the new ancillary path flow can be obtained by multiplying the nth iteration path flow by the reduction factor and amplification factor successively
f ( i , j ) k , n + 1 = f ( i , j ) k , n η a n η ( i , j ) n .
Step 5: Convergence and output results.
Stop iterating if the convergence criterion (32) is satisfied. Otherwise, return to Step 3
( i , j ) ( O , D ) k K ( i , j ) ( f ( i , j ) k , n + 1 f ( i , j ) k , n ) 2 f ( i , j ) k , n ε .
The solution approach is shown in Figure 6.

6. Numerical Example

A numerical example is used to verify the effectiveness and rationality of the proposed model and solution approach. The example is a Y type network structure similar to that shown in Figure 1. The simplified network topology structure is shown in Figure 7. The state trains can run onto the suburban line through the junction station. Meanwhile, the suburban train routing takes on the combination of local and express modes. The stop plan of each type of train is shown in Figure 2 above.
This example takes the cyclical operation plan. In each operation cycle, there are eight trains operating on the line. The order of departure is as follows: three local trains, one express train, three local trains, and one state train. Based on the basic information, which includes train departure interval, station stop time, the section running time, and overtaking conditions, the train timetable is calculated and shown in Figure 8.

6.1. Passenger Data

The passenger demand data includes not only the passenger demand of the suburban railway (as shown in Table 3) but also the demand of the state railway that passengers travel from the state railway hub station to suburban stations (as shown in Table 4). In this study, OD nodes are not physical nodes but spatiotemporal nodes. It is necessary to divide the physical O–D pair demand into the spatiotemporal O–D pair demand according to the train headways. Thus, according to the train timetable, there are 427 spatiotemporal O–D pairs in one operation cycle.

6.2. Parameter and Symbol Values

The parameters in the model are mainly referred to the passenger travel survey and relevant literature. The values of parameters used in this paper are listed in Table 5. The congestion coefficient of the in-vehicle time cost function takes the American Bureau of Public Road (BPR) values for reference. Due to the higher comfort level of state trains compared with suburban trains, the coefficients of BPR function are different between the two systems. The parameters of the fare cost function are referred to in reference [45].

6.3. Results Analysis

6.3.1. Convergence Analysis of Solution Approach

Figure 9 shows the convergence processes of the improved MSA algorithm in solving the PSL–SUE and MNL–SUE models, respectively. It shows that the convergence processes are approximately the same, but the PSL–SUE model satisfies the convergence criterion at the 162th iteration, whereas the traditional MNL–SUE model converges at the 180th iteration. In Figure 9a, the convergence speed is breakneck before the 25th iteration. When the iteration times reach 44, the gap value converges to less than 5%. When it reaches the 92nd iteration, the gap value converges to less than 1%. Moreover, when it reaches the 162nd iteration, the gap value converges to less than 0.1%. The solution approach in solving the PSL–SUE model has a good convergence of the proposed algorithm.

6.3.2. Solution Results Analysis

Based on the schedule-based network, the valid path set is obtained by the K-shortest search algorithm. The passenger assignment result of each train in different sections is obtained by using the improved MSA algorithm, and the passenger assignment results are shown in Figure 10 below. The comparison of solution results between PSL–SUE and MNL–SUE models are shown in Table 6.
It can be seen from the results that there have seven sections with train load rates over 90% and 11 sections with load rates between 80% and 90%. These sections are mainly converged between section No. 3 and section No. 7, that is, the sections between station No. 3 and No. 8. The largest number of sections with different load rate distribution is 11, and the range of load rate is 40% to 50%. By analyzing the load rate of different trains, it can be seen that the load rates of train No. 1, 2, 4, 5, and 8 are relatively high. The higher load rates of train No. 1, 2, and 5 are due to the large interval from the front train, resulting in many waiting passengers. Train No. 4 is an express train with a higher speed and lower travel time cost, and the probability of waiting passengers choosing this train is higher than other trains. Train No. 8 is a state train with fewer stop stations and is more comfortable. The passengers whose destination is station No. 8, 9, 10, and 11 tend to choose this train.
Comparing the results of PSL–SUE and MNL–SUE models, there is no obvious difference, but it can still be found that some trains are assigned more passengers in some sections than the MNL–SUE model, mainly because fewer travel paths involve these trains and sections. And the paths with a larger of the PSL–SUE model are assigned more passengers than the paths of the MNL–SUE model, and the paths with a smaller of the PSL–SUE model are assigned fewer passengers than the paths of the MNL–SUE model. Because the path selection probability of the PSL–SUE model is based on the generalized cost and considers the path length, it can be found that the PSL–SUE model can deal the path overlapping problem and can eliminate the IIA property.

6.4. Sensitivity Analysis

The main factor influencing the assignment results is the choice probability of each travel path. The choice probability of the path is influenced by the perceptual coefficient θ, time cost, and fare cost. Therefore, this paper selects the parameter θ, state railway fare per kilometer p 1 , and passenger hourly wage λ for sensitivity analysis.

6.4.1. The Value of θ

The parameter θ represents the degree of familiarity of passengers with network operation information, and it has a significant impact on the result of passenger assignment. The least iteration time required by the proposed algorithm under different θ values is shown in Figure 11. The larger the value of θ, the more passengers are familiar with the operation status, and the greater probability of choosing the path with the lowest travel cost. The passenger assignment results are also more in conformity with reality. However, the solution approach will take longer to reach a stable state.

6.4.2. State Railway Fare per Kilometer p1

State railway fare policy affects the fare cost of the travel path, thus affecting passengers’ choice behavior. This part mainly analyzes the changes of passengers on the state train and the probability of passengers choosing the state train under the conditions of different state railway fares and values of θ.
  • Passengers on the state train.
Figure 12 shows the changes of passengers on the state train (No. 8) in different sections under the conditions of various state railway fare policies and θ values. The passenger assignment results in Figure 12b are less than they are in Figure 12a because the section from station No. 8 to No. 11 is the last operation section of the state train, and the total number of passengers to the terminal station is small.
Overall, the passengers in both sections show a downward trend with the increase of state railway fare. This is because passengers choose the relatively cheap suburban trains when fare costs rise with more travel time. When the fare is less than 0.5 CNY/km, it has little impact on the results. However, when it is greater than or equal to 0.5, the effect of fare cost becomes greater. And when θ = 0.1, passenger’s sensitivity to state railway fares is low, more passengers are assigned to the state train. When θ takes other values and the fare is more than 0.7 CNY/km, the results vary widely for different values of θ. The larger value of θ, the more passengers are allocated.
2.
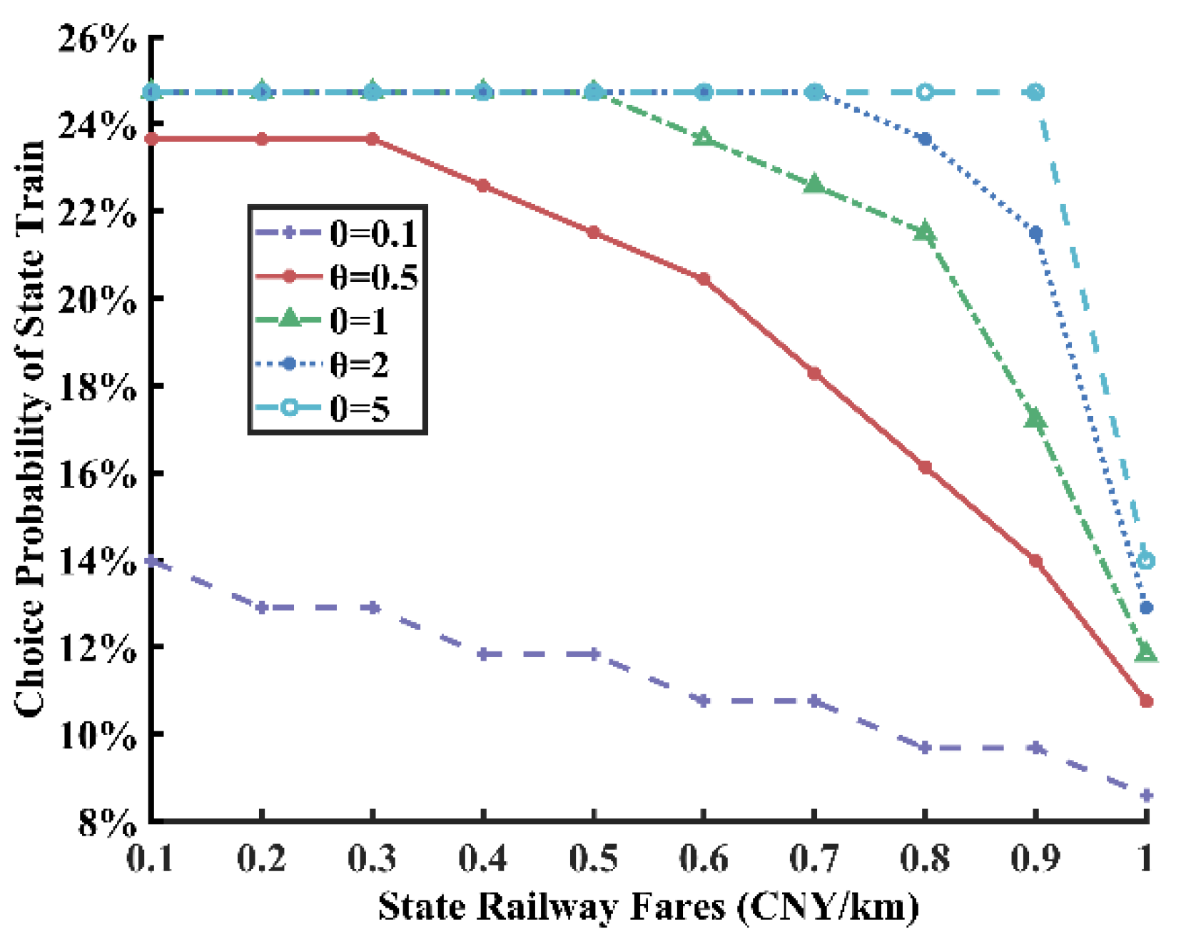
State train choice probability
Figure 13a,b represents the probability of passengers choosing the state train (No. 8) at station No. 5 while the current arriving train is No. 7 and No. 8, respectively. We can see that the state railway fares increase, and the choice probability of the state train decreases gradually. Meanwhile, the probability of Figure 13b is higher than that of Figure 13a because the additional waiting time will be added when the current arriving train is train No. 7.
Separately, in Figure 13a, when the fare is less than 0.5 CNY/km, the greater the θ, the higher the probability of choosing the state train and vice versa. Therefore, it can be concluded that when the state railway fare is below 0.5 CNY/km, passengers are willing to wait for the next state train even with a longer waiting time. When the fare is greater than 0.5 CNY/km, the disadvantage of the additional waiting time will not be compensated. At this moment, the higher the θ value, the more sensitive passengers are to fares and the lower the probability of choosing the state train. In Figure 13b, the larger the θ value is, the greater the choice probability is, regardless of the fare. These passengers do not need additional waiting time, and the state train has a very high attraction.
The overall trend of Figure 14 is similar to Figure 13b, and the probability is relatively low and less than 26% because fewer passengers arrive at the terminal station among all waiting passengers at station No. 8.

6.4.3. Passenger Hourly Wage λ

The hourly wage is equivalent to the weight of the travel path’s time cost. The higher the hourly wage, the larger the proportion of time cost in the generalized cost, the greater the impact of travel time on path choice.
  • Passengers on the state train
Figure 15 shows the changes of passengers on the state train (No. 8) in different sections under the conditions of different hourly wages and θ values. The passenger assignment results in Figure 15b are less than those in Figure 15a.
Overall, passengers on the state train become progressively larger as the hourly wage increases. When the hourly wage reaches 80 CNY/h, the passengers on the state train reach the train capacity in the section between station No. 5 and No. 8 and stabilizes at 180 persons in the section between station No. 8 and No. 11. When θ = 0.1, the polyline is flatter and does not fluctuate much because of the low passenger perception coefficient and the balanced assignment of passengers among the paths. For the other values of θ, the corresponding results do not differ much. Nevertheless, we can still find some details after observation. The larger θ is, the more slightly passengers will be assigned.
2.
State train choice probability
The impact on the probability that passengers choose the state train caused by hourly wage is shown in Figure 16 and Figure 17. As can be seen from the two figures, as the hourly wage increases, the choice probability of state train increases gradually. Meanwhile, the probability of Figure 16b is higher than that of Figure 16a because the additional waiting time will be added when the current arriving train is train No. 7.
In the schedule-based network, the state train No. 8 can overtake the local train No. 7 at station No. 7. Thus, in Figure 16a, although passengers who desire to take the state train need additional waiting time, the passengers whose destination is station No. 8 and No. 11 can arrive at their destination before passengers who take train No. 7. At this time, there is a judgment between the time cost and fare cost. When the hourly wage is greater than 50 CNY/h, the greater θ, and the greater the probability of choosing the state train and vice versa. When the hourly wage is less than 50 CNY/h, the time cost becomes immaterial. The higher θ, the more sensitive passengers are to the state railway’s high fares and the lower the probability of choosing the state train.
As also can be seen in Figure 16b and Figure 17, when the current arriving train is the state train, there is no extra waiting time, regardless of the hourly wage, and the time cost saved by state train is higher than the fare cost increment. The choice probability of state train gradually increases with the higher hourly wage, and the larger θ is, the greater the choice probability is.

7. Conclusions

This paper proposes a PSL–SUE model to solve the passenger assignment problem under the integrated operation mode of cross-line and skip-stop between state and suburban railways. An improved MSA algorithm considering train capacity is designed to solve the model. The passenger travel utility in the PSL–SUE model is represented by the path’s generalized travel cost, which is divided into waiting time cost, in-vehicle time cost, transfer time cost, and fare cost. Furthermore, the in-vehicle time cost takes into account the train congestion and incorporates a congestion penalty function. The different fare policies of the two rail systems are also represented by the functions and added into the generalized travel cost. Besides, the schedule-based network is also established to describe all possible paths and the impedance of the links. This network is used to calculate the components of the path’s generalized travel cost.
A numerical example is designed to verify the validity and feasibility of the proposed model and algorithm. The results show that the model and algorithm can be applied to the passenger assignment problem in the practical cases of cross-line and skip-stop operation between state and suburban railway systems. The proposed PSL–SUE model has superiority over the traditional MNL–SUE model. Furthermore, the sensitivity of three main parameters is analyzed. First, passengers’ higher degree of familiarity with network operation information, the more accurate the assignment results, but with more iteration times and slower convergence speed. Secondly, the number of passengers on the state train and the probability of passengers choosing the state train decreases with higher state railway fares. In contrast, the opposite is true for the hourly wage. The passenger number and probability increase with the higher hourly wage. When the state railway fare is lower than 0.5 CNY/km or the hourly wage is higher than 50 CNY/h, the generalized travel cost of the paths that include the state train is lower, and the state train becomes more attractive.
With the interconnection between rail systems, the proposed model and solution procedure can be used for solving passenger assignment problem under integrated operation mode between different railway systems. It can provide ideas for network operation research and foundations for operators to develop operation plans. For further research, there are still some aspects can be explained. Some improved models based on extended logit could be used (e.g., C-logit models, nested logit models, paired combinational logit model) to avert the IIA property of MNL models. Meanwhile, with the development of big data and telematics, the passenger path choice behavior supported by real-time network information deserves further research.

Author Contributions

Both authors took part in the discussion of the work described in this paper. Writing—original draft preparation, X.H.; methodology, X.H., X.W.; writing—review and editing, Q.L.; data curation, S.L., K.H. All authors have read and agreed to the published version of the manuscript.

Funding

This research received no external funding.

Institutional Review Board Statement

Not applicable.

Informed Consent Statement

Not applicable.

Data Availability Statement

The data presented in this study are available on request from the corresponding author.

Acknowledgments

The authors thank Shushan Chai, for his constructive comments and suggestions in this study.

Conflicts of Interest

The authors declare no conflict of interest.

References

  1. Zhou, Y.; Yang, H.; Wang, Y.; Yan, X.D. Integrated line configuration and frequency determination with passenger path assignment in urban rail transit networks. Transp. Res. Part B-Methodol. 2021, 145, 134–151. [Google Scholar] [CrossRef]
  2. Cheng, L.; Zhu, C.; Wang, Q.; Wang, W.; Zhang, Z.; Sun, W. Skip-stop operation plan for urban rail transit considering bounded rationality of passengers. IET Intell. Transp. Syst. 2021, 2021, 1–17. [Google Scholar] [CrossRef]
  3. Niu, H.; Zhou, X.; Gao, R. Train scheduling for minimizing passenger waiting time with time-dependent demand and skip-stop patterns: Nonlinear integer programming models with linear constraints. Transp. Res. Part B-Methodol. 2015, 76, 117–135. [Google Scholar] [CrossRef]
  4. Parbo, J.; Nielsen, O.A.; Prato, C.G. Reducing passengers’ travel time by optimizing stopping patterns in a large-scale network: A case-study in the Copenhagen Region. Transp. Res. Part A-Policy Pract. 2018, 113, 197–212. [Google Scholar] [CrossRef]
  5. Qi, J.; Yang, L.; Di, Z.; Li, S.; Yang, K.; Gao, Y. Integrated optimization for train operation zone and stop plan with passenger distributions. Transp. Res. Part E-Logist. Transp. Rev. 2018, 109, 151–173. [Google Scholar] [CrossRef]
  6. Luo, J.; Tong, Y.; Cavone, G.; Dotoli, M. A Service-Oriented Metro Traffic Regulation Method for Improving Operation Performance. In Proceedings of the 2021 IEEE International Intelligent Transportation Systems Conference (ITSC), Indianapolis, IN, USA, 19–21 September 2021. [Google Scholar] [CrossRef]
  7. Jiang, Z.; Gu, J.; Fan, W.; Liu, W.; Zhu, B. Q-learning approach to coordinated optimization of passenger inflow control with train skip-stopping on a urban rail transit line. Comput. Ind. Eng. 2019, 127, 1131–1142. [Google Scholar] [CrossRef]
  8. Kurosaki, F. Through-Train Services: A Comparison between Japan and Europe. In Japan Railway & Transport Review; East Japan Railway Culture Foundation: Tokyo, Japan, 2014; pp. 22–25. [Google Scholar]
  9. Ming, R.; Ye, X. Through operations between subways and suburban lines in Tokyo. Urban Mass Transit. 2009, 12, 26–30. [Google Scholar] [CrossRef]
  10. Zhao, X.; Sun, Q.; Zhu, Y.; Ding, Y.; Ma, C.; Chen, Z. Multi-routing planning design of Y-type urban rail transit. Adv. Mech. Eng. 2016, 8, 1–12. [Google Scholar] [CrossRef] [Green Version]
  11. Yang, X.; Hu, H.; Yang, S.; Wang, W.; Shi, Z.; Yu, H.; Huang, Y. Train Operation Adjustment Method of Cross-line Train in Urban Rail Transit Based on Coyote Optimization Algorithm. In Proceedings of the 2020 IEEE 23rd International Conference on Intelligent Transportation Systems (ITSC), Rhodes, Greece, 20–23 September 2020; pp. 1–6. [Google Scholar] [CrossRef]
  12. Hao, Q.; Liang, H.; Teng, C. Research on Cross-line Train Graph Technology based on the Network operation. Adv. Eng. Res. 2018, 163, 978–984. [Google Scholar] [CrossRef]
  13. Yang, A.; Wang, B.; Huang, J.; Li, C. Service replanning in urban rail transit networks: Cross-line express trains for reducing the number of passenger transfers and travel time. Transp. Res. Part C-Emerg. Technol. 2020, 115, 102629. [Google Scholar] [CrossRef]
  14. Cui, Z.; Long, Y. Perspectives on stability and mobility of transit passenger’s travel behaviour through smart card data. IET Intell. Transp. Syst. 2019, 13, 1761–1769. [Google Scholar] [CrossRef] [Green Version]
  15. Lin, Z.; Jiang, M.; Liu, J.; Si, B. Improved Logit Model and Method for Urban Rail Transit Network Assignment. J. Transp. Syst. Eng. Inf. Tech. 2012, 6, 145–151. [Google Scholar] [CrossRef]
  16. Huan, N.; Yao, E.; Zhang, J. Demand-responsive passenger flow control strategies for metro networks considering service fairness and passengers’ behavioural responses. Transp. Res. Part C-Emerg. Technol. 2021, 131, 103335. [Google Scholar] [CrossRef]
  17. Yin, J.; Yang, L.; Tang, T.; Gao, Z.; Ran, B. Dynamic passenger demand oriented metro train scheduling with energy-efficiency and waiting time minimization: Mixed-integer linear programming approaches. Transp. Res. Part B-Methodol. 2017, 97, 182–213. [Google Scholar] [CrossRef]
  18. Eluru, N.; Chakour, V.; El-Geneidy, A.M. Travel mode choice and transit route choice behaviour in Montreal: Insights from McGill University members commute patterns. Public Trans. 2012, 4, 129–149. [Google Scholar] [CrossRef]
  19. Yin, J.; D’Ariano, A.; Wang, Y.; Yang, L.; Tang, T. Timetable coordination in a rail transit network with time-dependent passenger demand. Eur. J. Oper. Res. 2021, 295, 183–202. [Google Scholar] [CrossRef]
  20. Zhu, Y.; Koutsopoulos, H.N.; Wilson, N.H. A probabilistic passenger-to-train assignment model based on automated data. Transp. Res. Part B-Methodol. 2017, 104, 522–542. [Google Scholar] [CrossRef]
  21. Zhu, Y.; Koutsopoulos, H.N.; Wilson, N.H. Passenger itinerary inference model for congested urban rail networks. Transp. Res. Part C-Emerg. Technol. 2021, 123, 102896. [Google Scholar] [CrossRef]
  22. Zhao, X.; Yang, J. Research on the Bi-level Programming Model for Ticket Fare Pricing of Urban Rail Transit based on Particle Swarm Optimization Algorithm. Procedia Soc. Behav. Sci. 2013, 96, 633–642. [Google Scholar] [CrossRef] [Green Version]
  23. Cheng, Q.; Deng, W.; Ammar, R.M. Analysis of the departure time choices of metro passengers during peak hours. IET Intell. Transp. Syst. 2020, 14, 866–872. [Google Scholar] [CrossRef]
  24. Lin, P.; Weng, J.; Fu, Y.; Alivanistos, D.; Yin, B. Study on the topology and dynamics of the rail transit network based on automatic fare collection data. Physica A 2020, 545, 123538. [Google Scholar] [CrossRef]
  25. Schmöcker, J.D.; Shimamoto, H.; Kurauchi, F. Generation and calibration of transit hyperpaths. Transp. Res. Part C-Emerg. Technol. 2013, 36, 406–418. [Google Scholar] [CrossRef] [Green Version]
  26. Zargayouna, M.; Othman, A.; Scemama, G.; Zeddini, B. Multiagent Simulation of Real-Time Passenger Information on Transit Networks. IEEE Intell. Transp. Syst. 2020, 12, 50–63. [Google Scholar] [CrossRef]
  27. Nuzzolo, A.; Comi, A. Dynamic Optimal Travel Strategies in Intelligent Stochastic Transit Networks. Information 2021, 12, 281. [Google Scholar] [CrossRef]
  28. Wahba, M.; Shalaby, A. MILATRAS: A new modeling framework for the transit assignment problem. In Schedule-Based Modeling of Transportation Networks: Theory and Applications; Springer: Boston, MA, USA, 2009; pp. 1–24. [Google Scholar]
  29. Yan, D.M.; Guo, J.H. A stochastic user equilibrium model solving overlapping path and perfectly rational issues. J. Cent. South Univ. 2021, 28, 1584–1600. [Google Scholar] [CrossRef]
  30. Nielsen, O.A. A stochastic transit assignment model considering differences in passengers utility functions. Transp. Res. Part B-Methodol. 2000, 34, 377–402. [Google Scholar] [CrossRef]
  31. Xu, W.; Miao, L.; Lin, W. Stochastic User Equilibrium Assignment in Schedule-Based Transit Networks with Capacity Constraints. Discrete Dyn. Nat. Soc. 2012, 2012, 910754. [Google Scholar] [CrossRef]
  32. Han, B.M.; Zhou, W.T.; Li, D.W.; Yin, H.D. Dynamic schedule-based assignment model for urban rail transit network with capacity constraints. Sci. World J. 2015, 2015, 940815. [Google Scholar] [CrossRef] [Green Version]
  33. Hamdouch, Y.; Ho, H.W.; Sumalee, A.; Wang, G. Schedule-based transit assignment model with vehicle capacity and seat availability. Transp. Res. Part B-Methodol. 2011, 45, 1805–1830. [Google Scholar] [CrossRef]
  34. Hong, L.; Li, W.; Zhu, W. Assigning Passenger Flows on a Metro Network Based on Automatic Fare Collection Data and Timetable. Discrete Dyn. Nat. Soc. 2017, 2017, 4373871. [Google Scholar] [CrossRef]
  35. Fu, H.; Sperry, B.R.; Nie, L. Operational Impacts of Using Restricted Passenger Flow Assignment in High-Speed Train Stop Scheduling Problem. Math. Probl. Eng. 2013, 2013, 902562. [Google Scholar] [CrossRef]
  36. Mo, B.; Ma, Z.; Koutsopoulos, H.N.; Zhao, J. Capacity-Constrained Network Performance Model for Urban Rail Systems. Transp. Res. Rec. 2020, 2674, 59–69. [Google Scholar] [CrossRef]
  37. Nuzzolo, A.; Russo, F.; Crisalli, U. A Doubly Dynamic Schedule-Based Assignment Model for Transit Networks. Transp. Sci. 2001, 35, 268–285. [Google Scholar] [CrossRef]
  38. Yao, X.; Han, B.; Yu, D.; Ren, H. Simulation-Based Dynamic Passenger Flow Assignment Modelling for a Schedule-Based Transit Network. Discrete Dyn. Nat. Soc. 2017, 2017, 2890814. [Google Scholar] [CrossRef]
  39. Khani, A.; Hickman, M.; Noh, H. Trip-Based Path Algorithms Using the Transit Network Hierarchy. Netw. Spat. Econ. 2015, 15, 635–653. [Google Scholar] [CrossRef]
  40. Nuzzolo, A.; Crisalli, U.; Comi, A.; Rosati, L. Individual Behavioural Models for Personal Transit Pre-trip Planners. Transp. Res. Procedia 2015, 5, 30–43. [Google Scholar] [CrossRef]
  41. Ben-Akiva, M.; Bierlaire, M. Discrete Choice Methods and their Applications to Short Term Travel Decisions. In Handbook of Transportation Science; Springer: Boston, MA, USA, 1999; pp. 5–33. [Google Scholar]
  42. Fisk, C. Some developments in equilibrium traffic assignment. Transp. Res. Part B-Methodol. 1980, 14, 243–255. [Google Scholar] [CrossRef]
  43. Bekhor, S.; Toledo, T. Investigating path-based solution algorithms to the stochastic user equilibrium problem. Transp. Res. Part B-Methodol. 2005, 39, 279–295. [Google Scholar] [CrossRef]
  44. Chen, A.; Zhou, Z.; Xu, X. A self-adaptive gradient projection algorithm for the nonadditive traffic equilibrium problem. Comput. Oper. Res. 2012, 39, 127–138. [Google Scholar] [CrossRef]
  45. Di, D.; Yang, D.Y. Passenger Flow Analysis Model about Express/ Slow Train in Urban Rail Transportation Corridor. J. Tongji Uni. Nat. Sci. 2014, 42, 78–83. [Google Scholar] [CrossRef]
Figure 1. “Y” type cross-line operation between the state railway and suburban railway.
Figure 1. “Y” type cross-line operation between the state railway and suburban railway.
Applsci 12 03617 g001
Figure 2. Train stop plan.
Figure 2. Train stop plan.
Applsci 12 03617 g002
Figure 3. Schedule-based network of one O–D pair under cross-line and skip-stop operation.
Figure 3. Schedule-based network of one O–D pair under cross-line and skip-stop operation.
Applsci 12 03617 g003
Figure 4. An illustration of passenger waiting time.
Figure 4. An illustration of passenger waiting time.
Applsci 12 03617 g004
Figure 5. Different type waiting arcs of different origin nodes at the junction station.
Figure 5. Different type waiting arcs of different origin nodes at the junction station.
Applsci 12 03617 g005
Figure 6. The solution approach of improved MSA method.
Figure 6. The solution approach of improved MSA method.
Applsci 12 03617 g006
Figure 7. The structure of the operation network.
Figure 7. The structure of the operation network.
Applsci 12 03617 g007
Figure 8. Train timetable under cross-line and skip-stop operation.
Figure 8. Train timetable under cross-line and skip-stop operation.
Applsci 12 03617 g008
Figure 9. The convergence of solution approach. (a) PSL–SUE model. (b) MNL–SUE model.
Figure 9. The convergence of solution approach. (a) PSL–SUE model. (b) MNL–SUE model.
Applsci 12 03617 g009
Figure 10. Passenger assignment result.
Figure 10. Passenger assignment result.
Applsci 12 03617 g010
Figure 11. The iteration times by the proposed algorithm under different θ values.
Figure 11. The iteration times by the proposed algorithm under different θ values.
Applsci 12 03617 g011
Figure 12. Sensitivity analysis of state railway fares to state train passengers. (a) Section between st.5 and st.8. (b) Section between st.8 and st.11.
Figure 12. Sensitivity analysis of state railway fares to state train passengers. (a) Section between st.5 and st.8. (b) Section between st.8 and st.11.
Applsci 12 03617 g012
Figure 13. Sensitivity analysis of state railway fares to state train choice probability of suburban passengers at station No. 5. (a) Current train No. 7 (Local). (b) Current train No. 8 (State).
Figure 13. Sensitivity analysis of state railway fares to state train choice probability of suburban passengers at station No. 5. (a) Current train No. 7 (Local). (b) Current train No. 8 (State).
Applsci 12 03617 g013
Figure 14. Sensitivity analysis of state railway fares to state train choice probability of suburban passengers at station No. 8 (Current train No. 8: State).
Figure 14. Sensitivity analysis of state railway fares to state train choice probability of suburban passengers at station No. 8 (Current train No. 8: State).
Applsci 12 03617 g014
Figure 15. Sensitivity analysis of hourly wages to state train passengers. (a) Section between st.5 and st.8. (b) Section between st.8 and st.11.
Figure 15. Sensitivity analysis of hourly wages to state train passengers. (a) Section between st.5 and st.8. (b) Section between st.8 and st.11.
Applsci 12 03617 g015
Figure 16. Sensitivity analysis of hourly wages to state train choice probability of suburban passengers at station No. 5. (a) Current train No. 7 (Local). (b) Current train No. 8 (State).
Figure 16. Sensitivity analysis of hourly wages to state train choice probability of suburban passengers at station No. 5. (a) Current train No. 7 (Local). (b) Current train No. 8 (State).
Applsci 12 03617 g016
Figure 17. Sensitivity analysis of hourly wages to state train choice probability of suburban passengers at station No. 8 (Current train No. 8: State).
Figure 17. Sensitivity analysis of hourly wages to state train choice probability of suburban passengers at station No. 8 (Current train No. 8: State).
Applsci 12 03617 g017
Table 1. Schedule-based network related notations.
Table 1. Schedule-based network related notations.
SymbolDefinition
L Set of train list.
v a r l Arrival node of train l at station r.
v d r l Depart node of train l at station r.
v o r l Virtual origin node denotes passenger travel from station r and current arrival train is l.
v e s Virtual destination node of station s.
a ( i , j ) Arc from node i to j.
t ( i ) Time of node i.
t d ( r , l ) Time of depart node v d r l , namely depart time of train l at station r.
t a ( r , l ) Time of arrival node v a r l , namely arrival time of train l at station r.
t o ( r , l ) Time of virtual origin node v o r l .
T h Transfer time for passengers transfer from the state railway platform to suburban railway platform at hub station.
c w ( a ) Time of waiting arc a .
c r ( a ) Time of section running arc a .
c s ( a ) Time of station-stop arc a .
c t ( a ) Time of transfer arc a .
Table 2. Passenger generalized travel cost related notations.
Table 2. Passenger generalized travel cost related notations.
SymbolDefinition
C W ( i , j ) k Waiting time cost of kth path of O–D pair ( i , j ) .
C I ( i , j ) k In-vehicle time cost of kth path of O–D pair ( i , j ) .
C T ( i , j ) k Transfer time cost of kth path of O–D pair ( i , j ) .
C F ( i , j ) k Fare cost of kth path of O–D pair ( i , j ) .
C ( i , j ) k Generalized travel time cost of kth path of O–D pair ( i , j ) .
δ ( i , j ) , k a Binary variable, if arc a is on the kth path of O–D pair ( i , j ) then δ ( i , j ) , k a = 1 , otherwise δ ( i , j ) , k a = 0 .
c r p ( a ) Time of running arc a consider congestion penalty.
E W Set of waiting arcs.
E R Set of running arcs.
E S Set of station-stop arcs.
E T Set of transfer arcs.
Z Number of seats.
c p Maximum train capacity.
δ 1 , δ 2 Coefficients of congestion penalty function.
q a Passenger flow on arc a .
α 1 Sensitivity of passengers to transfer time.
α 2 Penalty of transfer times.
n t f Transfer times on passenger travel path.
p 1 Fare per kilometer of state train.
p 2 Fare per kilometer of suburban train.
L a Distance of the running arc a .
η 1 a Binary variables, if running arc a corresponds to the state train then η 1 a = 1 , otherwise η 1 a = 0 .
η 2 a Binary variables, if running arc a corresponds to the suburban train then η 2 a = 1 , otherwise η 2 a = 0 .
λ Passenger hourly wage.
Table 3. Suburban railway passenger demand in one operation cycle.
Table 3. Suburban railway passenger demand in one operation cycle.
Station Number1234567891011
1100300300400200500400300200100
2100300300400500400300400100
3100200300400700300600200
4100200300400300200100
5200200600300200100
6100200400200100
7100300200300
8100200100
9100100
10100
11
Table 4. State railway passenger demand in one operation cycle.
Table 4. State railway passenger demand in one operation cycle.
Station Number67891011
State railway hubNo. 5 (Junction station)200250400300500200
Table 5. Parameters used in this paper.
Table 5. Parameters used in this paper.
SymbolDefinitionValue
δ 1 n , δ 2 n Coefficient of state train BPR function.0.1, 3.0
δ 1 s , δ 2 s Coefficient of suburban train BPR function.0.15, 3.0
α 1 Sensitivity of passengers to transfer time.1.7
α 2 Penalty coefficient of transfer times.0.2
p 1 State railway fare per kilometer.0.5 (CNY/km)
p 2 Suburban railway fare per kilometer.0.25 (CNY/km)
λ Passenger hourly wage.60 (CNY/h)
c p 1 The capacity of the state railway train.1000 (persons)
c p 2 The capacity of the suburban railway train.2062 (persons)
Z 1 The number of seats on the state train.518 (persons)
Z 2 The number of seats on the suburban train.256 (persons)
N The number of state railway trains arriving at the state railway hub station in one research cycle.10
T h The transfer time for passengers transfer from the state railway platform to suburban railway platform at hub station.5 (min)
kNumber of valid paths between each O–D pair.3
θ Passenger familiarity with network information.1
Table 6. Comparison of solution results between PSL–SUE model and MNL–SUE model.
Table 6. Comparison of solution results between PSL–SUE model and MNL–SUE model.
TrainModelSection
12345678910
1 (local)PSL–SUE6451228175018931979206220251370839196
MNL–SUE6341202173218781966206220491399845203
DIF(+11)(+26)(+18)(+15)(+23)(+0)(−24)(−29)(−6)(−7)
2 (local)PSL–SUE52410701539179118601048420597723123
MNL–SUE54311111578182618851066418601739124
DIF(−19)(−41)(−39)(−35)(−25)(−18)(+2)(−4)(−16)(−1)
3 (local)PSL–SUE1714771384228981083726542354121
MNL–SUE1744731244128831072712527341121
DIF(−3)(+4)(+14)(+10)(+15)(+11)(+14)(+15)(+13)(+0)
4 (express)PSL–SUE5791404180520621118346
MNL–SUE5681397181420621104339
DIF(+11)(+7)(−9)(+0)(+14)(+7)
5 (local)PSL–SUE30499014121450171716071353926586192
MNL–SUE30799714211457172416121356928586191
DIF(−3)(−7)(−9)(−7)(−7)(−5)(−3)(−2)(+0)(+1)
6 (local)PSL–SUE28758684493811801133999699444157
MNL–SUE28658283893111711124990693440157
DIF(+1)(+4)(+6)(+7)(+9)(+9)(+9)(+6)(+4)(+0)
7 (local)PSL–SUE2905698119009108549121207769225
MNL–SUE2885658078968868318921199762218
DIF(+2)(+4)(+4)(+4)(+24)(+23)(+20)(+8)(+7)(+7)
8 (state)PSL–SUE 898139
MNL–SUE917147
DIF(−19)(−8)
Note: The data in parentheses is the difference between the solution results of PSL–SUE model and MNL–SUE model.
Publisher’s Note: MDPI stays neutral with regard to jurisdictional claims in published maps and institutional affiliations.

Share and Cite

MDPI and ACS Style

Huang, X.; Liang, Q.; Li, S.; Han, K.; Wei, X. Research on Passenger Flow Assignment of Integrated Cross-Line and Skip-Stop Operation between State Railway and Suburban Railway. Appl. Sci. 2022, 12, 3617. https://doi.org/10.3390/app12073617

AMA Style

Huang X, Liang Q, Li S, Han K, Wei X. Research on Passenger Flow Assignment of Integrated Cross-Line and Skip-Stop Operation between State Railway and Suburban Railway. Applied Sciences. 2022; 12(7):3617. https://doi.org/10.3390/app12073617

Chicago/Turabian Style

Huang, Xiaoyu, Qinghuai Liang, Songsong Li, Kuo Han, and Xiangting Wei. 2022. "Research on Passenger Flow Assignment of Integrated Cross-Line and Skip-Stop Operation between State Railway and Suburban Railway" Applied Sciences 12, no. 7: 3617. https://doi.org/10.3390/app12073617

APA Style

Huang, X., Liang, Q., Li, S., Han, K., & Wei, X. (2022). Research on Passenger Flow Assignment of Integrated Cross-Line and Skip-Stop Operation between State Railway and Suburban Railway. Applied Sciences, 12(7), 3617. https://doi.org/10.3390/app12073617

Note that from the first issue of 2016, this journal uses article numbers instead of page numbers. See further details here.

Article Metrics

Back to TopTop