Featured Application
Authors are encouraged to provide a concise description of the specific application or a potential application of the work. This section is not mandatory.
Abstract
Glycidyl methacrylate (GMA) was grafted onto (recycled) polyethylene (PE) to design a new adhesive with better mechanical properties compared to non-grafted PE. The effects of the amount of GMA, the amount of dicumyl peroxide (DCP) and the use of supercritical carbon dioxide (scCO2) in a reactive extrusion (REX) were evaluated based on the grafting degree and efficiency of the grafted samples. Generally speaking, higher amounts of GMA led to higher functionalization degrees (FD), whereas higher amounts of DCP resulted in a lower FD due to the occurrence of more unfavorable side reactions. The influence of scCO2 showed different outcomes for the two substrates used. Higher FDs were obtained for the low-density polyethylene (LDPE) samples while, by contrast, lower FDs were obtained for the recycled polyethylene (RPE) samples when using scCO2. Additionally, adjusting the screw speed and the temperature profile of the extruder to the half-life time of the radical initiator appeared to have the highest positive impact on the FD. According to the tensile tests, all the grafted samples can withstand higher stress levels, especially the grafted RPE, compared to the non-grafted samples.
1. Introduction
Polyolefins, especially LDPE, high-density polyethylene (HDPE), and polypropylene (PP), are thermoplastics that are widely used for multiple industrial and technological applications due to their mechanical properties, ease of processing, versatility, and low price [1]. This automatically results in an enormous amount of plastic waste streams, in addition to the fact that most plastics are still produced from fossil fuels. Therefore, efficient processes are being developed to limit the disposal of plastic waste. One of these options is material recycling. During this process, plastic waste is converted into a recycled type of raw material for the production of new materials with possible changes in their chemical structures [2].
Indeed, the compatibility of polyolefins with other polymers and fillers is often very limited due to the lack of polar groups [3]. The grafting of polyolefins with monomers containing reactive groups is one of the methods used to improve their compatibility and interfacial adhesion with other materials. A grafting process is usually performed by adding a free-radical initiator to the monomer to be grafted and the polyolefin mixture. Historically, maleic anhydride (MAH) [4] has been one the monomers used for grafting to improve the properties of polyolefins. However, several authors have reported similar processes with GMA in the recent years. The epoxide functional group enhances the possibility of further reactions (at the interface) with other functional groups, such as hydroxyl groups. This results in effective compatibilizers that are usable for blends of polyolefins with immiscible nonpolar and polar polymers [5,6,7,8,9,10,11]. The advantages of using GMA are their faster grafting reactions, the non-formation of water or other side products, and a reduction in crosslinking due to the bulky molecular structure of GMA compared to MAH or acrylic acid (AA) [8].
The grafting of GMA onto the polymer backbone would enable the design of a new product out of (recycled) PE with better mechanical properties and compatibility compared to non-grafted PE. The main chain (-CH2-CH2-)2 is non-polar, while the grafted GMA is polar, and it can help to form multilayer composite films or act as a hot melt adhesive between metal plates.
Wang et al. (2019) [12] successfully performed melt grafting experiments in a torque rheometer with GMA, AA, and RPE. The tensile strength improved by 70% and the elongation at break increased by five times. Furthermore, the melt index decreased, indicating that longer polymer chains were formed. Furthermore, the crossover frequency decreased as well, due to the increased degree of chain entanglements in the grafted polymer. The mechanical properties of grafted RPE significantly improved compared to the un-grafted RPE. A study performed by Fang et al. (2013) [13], focused on the reuse of plastic waste, used PE-g-MAH as one of the compatibilizers for blending waste polypropylene and polyethylene in a twin-screw extruder. The usage of PE-g-MAH led to an improvement in impact strength but a decline in tensile strength. Nevertheless, the use of compatibilizers improved the blending of waste PE and waste PP due to the improved crystallization of the blend. This resulted in a temperature decrease in the PP melting peak and an increase in the PE melting peak, leading to a smaller temperature difference between the two melting peaks for the mixed PP/PE samples. This in turn suggests that the compatibilization of blending was improved.
On the other hand, the grafting reactions of GMA and MAH often result in relatively low grafting degrees and efficiencies [7,14]. One of the upcoming techniques that has been used for several grafting processes is the use of supercritical CO2 [15,16,17,18,19,20,21] because of its attractive properties. ScCO2 is non-flammable, nontoxic, and relatively cheap, and it has moderate critical parameters (Tc = 31.3 °C, Pc = 7.38 MPa) [22]. Furthermore, scCO2 has the advantage of lowering the viscosity of the melt phase due to its swelling effect, which leads to an increase in the specific volume of the polymer and the mobility of the chains. This results in a lower processing temperature, which ensures less chain degradation or side reactions in general [21]. Moreover, scCO2 has a plasticizer effect, which results in a lower glass transition temperate (Tg) and a more flexible and softer polymer. The plasticizer effect combined with the swelling effect of scCO2 enables interactions not only on the polymer surface, but also into the polymer matrix [23,24,25,26,27]. Several researchers found a higher grafting degree, less crosslinking, and lower processing temperatures when grafting under scCO2 conditions [3,15,16,17,18,19,20,21,28,29,30,31,32].
Overall, it can be said that there is already a significant amount of research information available about polymer grafting and blending, even with the use of scCO2. Nevertheless, a systematic comparative (with and without scCO2) study on GMA grafting is still lacking and constitutes the objective of the present work. The effect of using scCO2 in a reactive extrusion process (REX) was evaluated based on the grafting degree and efficiency of the grafted samples. The grafting results were compared to those of virgin LDPE. Furthermore, the adhesive properties of the grafted samples were tested.
2. Materials and Methods
2.1. Materials
LDPE (1922NO, Sabic, Geleen, The Netherlands) and RPE (Attero, Wijster, The Netherlands) were used for the preparation of PE-g-GMA without further purification. Glycidyl methacrylate (purity of 97%, Aldrich, Darmstadt, Germany) as grafting monomer was also used without further purification. DCP (98% purity, Darmstadt, Germany) was used as radical initiator without further purification. Carbon dioxide (CO2, SOL Nederland BV, Tilburg, The Netherlands) was fed during the grafting reaction under scCO2. Tetrahydrofuran (THF, >99% purity from Acros, Geel, Belgium) was used during the purification process.
2.2. Synthesis and Purification of PE-g-GMA
2.2.1. Melt Grafting
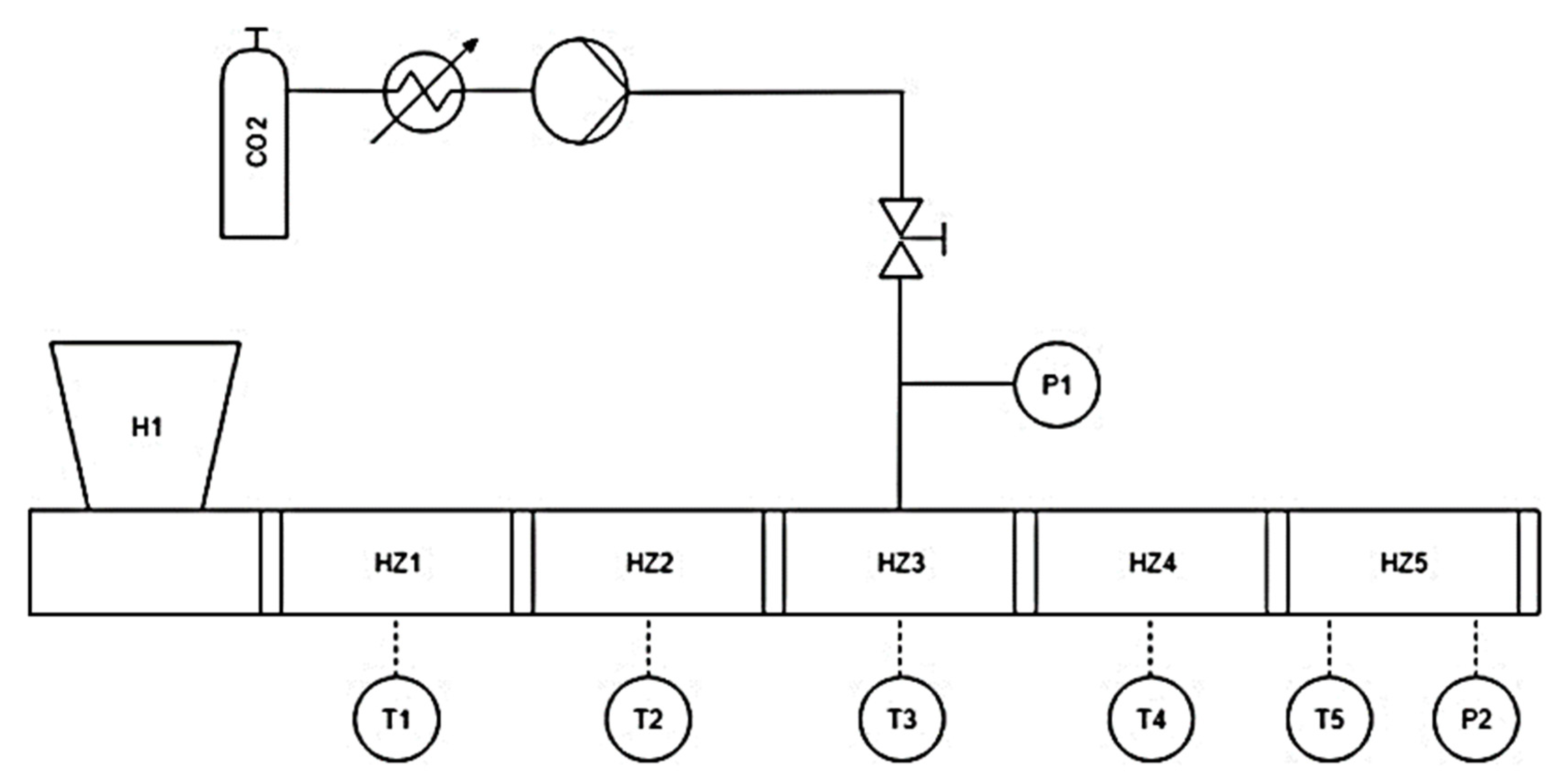
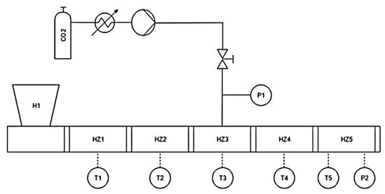
PE grafting was conducted in Three-Tec ZE12 twin-screw extruder (see Figure 1) with a screw length-to-diameter ration (L/D) of 30. The screw speed was set on 20 rpm to yield a residence time set at six times the half-life time of DCP. Indeed, the temperature profile of the extruder was set to 175–180–185–180–175 °C because the half-life time of DCP is 30 s at 180 °C. The reactant composition, extruder temperature profile and screw rotational speed were adjusted throughout the study.
Figure 1.
Schematic picture of the twin extruder.
The samples were prepared by premixing GMA and PE pellets together. Once the GMA was soaked into the PE pellets, and after approximately 10 min, the DCP was added into the beaker. The materials were briefly mixed before being fed into the extruder. The samples were shredded by Brabender CHG Duisberg before purification.
2.2.2. Grafting of scCO2
The scCO2 enters the extruder halfway. The scCO2 flow was set at 4 g/min at 130 bar for almost all the experiments. In some of the experiments, a different flow (8 g/min) and a different pressure (90–170 bar) were used to determine whether these changes would influence the process. An overview of all grafting experiments is given in Table 1 (p = 130 bar, flow = 4 g/min and 20 rpm). For all the experimental data, see Appendix B, Table A1, Table A2, Table A3, Table A4 and Table A5.
Table 1.
One way ANOVA.
2.3. Purification
Soxhlet extraction (ST 243 SoxtecTM, Foss) was used to remove the remaining reactants and side products from the PE-g-GMA. The extraction time was set to 4 h of boiling and 2 h of rinsing with THF. Next, the solid phase was collected and dried under vacuum for 24 h (200 mbar and 80 °C).
The use of Soxtec extraction contrasted the approach in other studies [9,21]. However, Soxtec appeared to be the most reliable method for the determination of the FD according to the different purification methods (Appendix C).
2.4. Characterization of Samples
2.4.1. Fourier-Transform Infrared Spectroscopy (FTIR)
In order to characterize the PE-g-GMA samples, FTIR measurements were performed. There were two distinguishable peaks belonging to PE-g-GMA at wavenumber 1735 cm−1, which corresponded to the carbonyl group of GMA and the methylene group of PE at wavenumber 722 cm−1. To determine the amount of GMA grafted onto the polymer matrix, the ratios of these FTIR peak heights were considered. Each sample was measured from 600–4000 cm−1, using a resolution of 4 cm−1, 2–4 times.
A calibration curve was obtained from a commercial PE-g-GMA (Sigma Aldrich, Darmstadt, Germany) sample with 8 wt.% GMA, which was diluted with LDPE pellets and blended in the Brabender plasticorder at 155 °C for 8 min at 60 rpm (see Appendix A, Figure A1). The ratio between the peak heights was plotted as function of the GMA content in the samples to the calibration curve to obtain the functionalization degree (FD).
Furthermore, the efficiency of the grafting process, E, was defined by dividing the value of [GMA]g (grafted) by [GMA]i (initial concentration) according to:
2.4.2. Differential Scanning Calorimetry (DSC)
DSC measurements in Discovery DSC 25 by TA Instruments were conducted for the analysis of both the melting points of the two substrates. Small flat pieces (5–10 mg) were placed into a reference pan covered by an aluminum lid by TA Instruments. A heat–cool–heat cycle starting at 50 °C to 200 °C was used (heating rate and cooling rate at 10 °C/min).
2.4.3. Rheometer
Rheology measurements were performed to determine the flowing properties of the two polymers. The pellets were molded into an 8 mm disc and placed inside the Discovery HR30 by TA instruments for analysis. A constant oscillation strain was required when conducting the temperature ramp analysis. Therefore, the oscillation amplitude at the highest and lowest temperature of the temperature range needed to be evaluated first. Moreover, the gap between the plates needed to be adjusted so that the sample was in contact with the plates without excessive force.
2.5. Gel Content Measurement
In total, 0.1 g of RPE, 2 g of solvent and a magnetic stirring bar were added in a vial. Nine different solvents (acetone, benzene, diethyl ether, dimethyl sulfoxide, ethanol, ethyl acetate, n-hexane, toluene and xylene) were used. The nine samples were left at room temperature for 24 h. Subsequently, the samples were heated on a hot plate and removed from the plate once they had boiled for 10 min. Toluene was chosen as solvent to check the gel content in the samples by means of visual inspection.
The gel content of the samples was determined through Soxhlet extraction (ST 243 SoxtecTM, Foss). The samples were initially weighed (0.5 g) and were extracted for 6 h (4 h boiling and 2 h of drying). The insoluble samples were vacuum-dried for 24 h at 200 mbar and 80 °C. The gel content was calculated as follows:
2.6. Statistical Analysis
To quantify the significance of the difference in results, one-way and two-way ANOVA were conducted with IBM SPSS Statistics 25 software with the following hypotheses:
- Null hypothesis: The data are drawn from populations with equal means;
- Alternative hypothesis: There is at least one mean that differs from the other means.
The alpha was set to 0.05 and the decision of whether to either accept or reject the null hypothesis was determined by the p-value. If p > 0.05, the null hypothesis of equal means was accepted; thus, the difference in the compared variables was insignificant.
2.7. Tensile Strength Grafted Samples
The recycled samples were pressed at 180 °C and 100 kN, whereas a temperature of 130 °C and 100 kN were used for the LDPE sample. A total press time of 10 min was used in the LabManual 300 press from Fontijne presses to form a film with a thickness of 0.09–0.1 mm. The formed films were cooled down and settled for at least 20 h.
A single-lap joint shear test was performed using the Tinius Olsen H25KT machine to obtain the adhesive strength of the produced samples. The study was conducted with 1.3 mm/min velocity. The surface area of the film was 2.5 × 2.5 cm2, with a thickness of 0.09–0.1 mm. Aluminum plates measuring 10 × 2.5 × 2.5 with a thickness of 1 mm were used. Five samples were tested for each adhesive formulation.
The adhesive shear strength (MPa) is defined by:
3. Results and Discussion
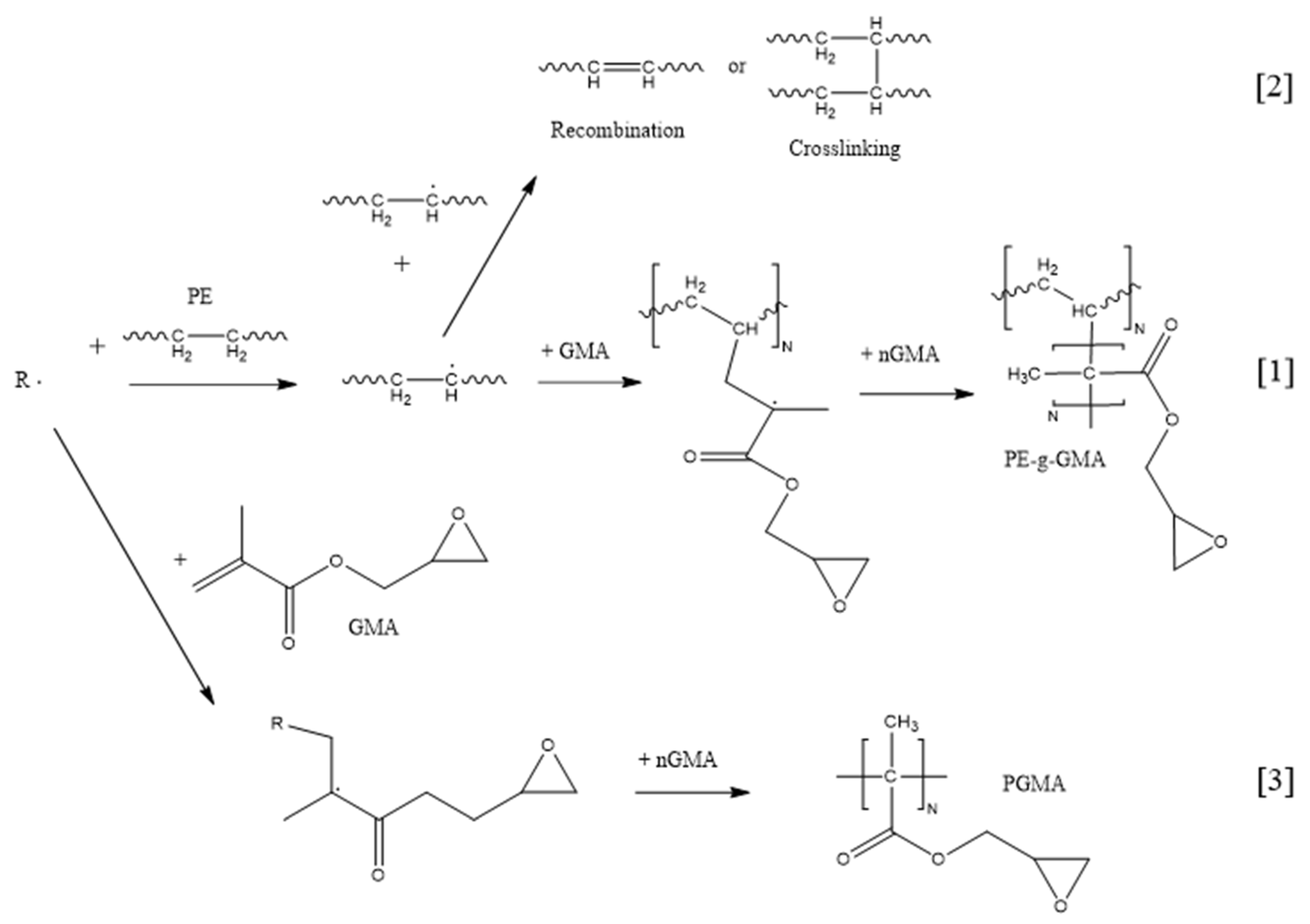
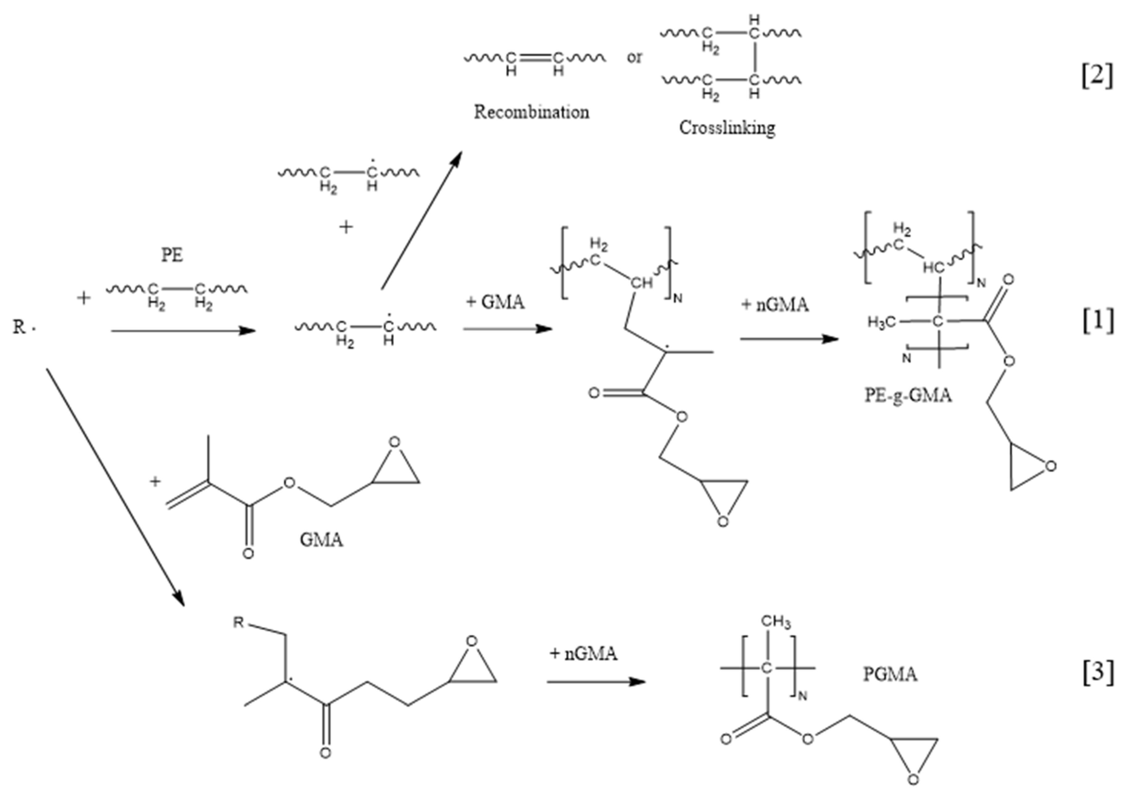
PE-g-GMA is synthesized via radical polymerization [3,5,6,7,9,10,11,14,33]. Radicals are formed after the thermal decomposition of the peroxide and these formed radicals can react via several pathways (Figure 2).
Figure 2.
Reaction mechanism based on the literature [3,5,6,7,9,10,11,14,33,34].
As depicted in Figure 2, the primary radical can abstract a hydrogen from PE to form a macro-radical (reaction 1). The formed macro radicals attack the GMA’s sigma bond and, via termination, the growing chain forms a grafted polymer chain, PE-g-GMA. However, macro-radicals have limited accessibility to the GMA monomers due to steric hindrance. Therefore, PE crosslinking and recombination might occur (reaction 2). Furthermore, the primary radical might directly initiate GMA homo-polymerization (reaction 3) [7,9,14,33].
Multiple side reactions are possible. They should be minimized to yield the highest FD. Several conditions, such as DCP and GMA concentration, temperature, pressure, and the use of scCO2 can minimize these side reactions.
In this study, we started by studying the influence of the feed composition (GMA and DCP) on the FD values for both virgin LDPE and RPE.
Overall, the amount of GMA being grafted increased with the initiator intake until it reached a plateau, as shown in Figure 3. Similar results were found in the literature [6,7,9,10,11,33]. The main reason for this was the increase in the number active sites, which enhanced unfavorable side reactions, such as crosslinking and the homo-polymerization of GMA [6,7,9,10,11,35,36]. Overall, the RPE yielded lower FD values compared to the LDPE.
Figure 3.
Effect of initiator concentration on the FD for LDPE (a) and RPE (b).
As shown in Figure 4, an increase in the amount of GMA at constant DCP concentration resulted in a higher FD. The highest FD was found when using 10 wt.% GMA for all the samples.
Figure 4.
Effect of GMA concentration on the FD for LDPE (a) and RPE (b).
This was in agreement with literature-based expectations because a larger amount of GMA monomers allows more molecules to be grafted onto the matrix and less active sites are available for the crosslinking of PE [11]. The grafting efficiency increased with the DCP intake for the LDPE, according to Figure 5a. However, the GMA grafting efficiency declined significantly for RPE, according to Figure 5b. It was assumed that GMA homo-polymerization may exceed GMA grafting in reaction rate with the increase in the monomer concentration. As a result, the efficiency decreased in the grafted GMA based on initial GMA concentration. These observations were also made in other grafting studies [6,7,9,10,11,33].
Figure 5.
Grafting efficiencies for LDPE (a) and RPE (b).
To assess which parameters were more influential in changing the FD of the RPE-g-GMA, a statistical test using one-way ANOVA was conducted. The results are shown in Table 1.
As shown in Table 1, p < 0.05 for the variation of the (GMA) was conducted on the RPE regardless of the presence of scCO2. This indicated that the null hypothesis of equal means was rejected. Therefore, tuning the (GMA) had a higher influence on altering the FD compared to tuning the (DCP). This was also reported by M. Saeb et al. (2017) [36], through a mathematical modeling approach of grafting GMA onto HDPE.
Overall, using pure, i.e., fresh and non-recycled, LDPE resulted in higher FD for all the samples, as expected. There are several possibilities that could account for this observation. First of all, it is very likely that there were radical quenchers present in the RPE, such as carbon black, which may have influenced the reaction rate and the grafting reaction. The presence of carbon black could also explain the color difference, with the RPE being light gray, as opposed to white, for the fresh LDPE.
Moreover, there were traces of PP present in the RPE pellets, according to the DSC results. Therefore, extra grafting experiments were performed with the PE and PP mixtures (Table 2) to check whether the presence of PP had an influence on the grafting degree.
Table 2.
FD of several substrates without the use of scCO2.
It can be concluded that the samples containing PP yielded significantly lower FD values. The different results might have been caused by the involvement of the polymer macro-radical via the chain scission (β-scission) of the unstable PP macro-radicals. This is highly undesirable if a high graft yield is desired for use in a secondary process.
On the other hand, the difference in the composition led to the different viscosity of the melt. The rheology measurements pointed out that the viscosity of the RPE was six times higher than that of the LDPE at 130 °C. This high viscosity led to insufficient mixing in the extruder and favored the cage effect, which may explain the lower FD [14]. The exact reason for this difference is that viscosity was yet to be found. However, it probably stemmed from the post-consumer nature of RPE and the presence (vide supra) of different contaminants.
In order to obtain a higher FD value, the use of scCO2 during the reactive extrusion might help, due to its advantages. According to Dorscht et al. (2002) [37], who investigated the influence of scCO2 on the levels of MAH grafted onto polypropylene through reactive extrusion, scCO2 had a positive impact on the grafting level when working with higher inlet concentrations of MAH (4 wt.%). Moreover, using certain levels of scCO2 (2, 3 wt.%) led to less chain degradation compared to working with lower inlet concentrations of MAH (2 wt.%). On the other hand, Cao et al. (2010) [29] discovered that both the grafting degree and efficiency drastically improved, with an efficiency up to 85%, when lower concentrations of MAH and DCP were used.
The use of scCO2 gave different results for the two types of PE used, as shown in Figure 2 and Figure 3. ScCO2 had a positive impact on the FD for the PE-g-GMA (0.6 wt.% DCP and 10 wt.% GMA) prepared with LDPE, reaching an FD of 6.3% compared to 3.2% without the use of scCO2. Nevertheless, the influence of scCO2 was more significant at higher concentrations of GMA compared to the results of Dorscht et al. (2002) [37] and Cao et al. (2010) [29].
On the other hand, scCO2 had a negative impact on the FD for all the RPE-grafted samples, as can be seen in Figure 2 and Figure 3. According to the gel content measurements with toluene, using higher concentrations of DCP favored a crosslinking instead of a grafting reaction. This observation was also reported by Zhou et al. (2017) [38], where an increase in the DCP concentration increased the gel content in HDPE. Furthermore, Hwang et al. (2012) [39] studied the use of scCO2 during a reactive extrusion of PP/polystyrene blends and noticed that chain scission reaction by peroxides became more prominent at high DCP levels. This might also have occurred during our process, in which the use of scCO2 during the reactive extrusion probably further enhanced the crosslinking effect and, therefore, resulted in lower FD values.
Despite the negative initial results of using scCO2 for the grafting of RPE, scCO2 has the advantage of lowering the viscosity of the melt phase due to its swelling and plasticizing effects, which can result in a lower process temperature [23,24,25,26,27,29]. In Figure 6, the results are shown of the temperature effect for different inlet concentrations. The residence time was set to 5 min, with a screw speed of 20 rpm.
Figure 6.
Temperature influence of FD on RPE samples.
Again, the highest FDs obtained at 190 °C and 200 °C were achieved for the samples not treated with scCO2. The reason why higher temperatures resulted in a decrease in FD might be that the processing temperature exceeded the ceiling temperature of the GMA (150–220 °C). At higher temperatures, the polymerization of GMA becomes reversible. Moreover, the residence time was set to 20 rpm, which is not the most suitable time for all the different temperatures due to the different half-life times of DCP at different temperatures.
The influences of scCO2 and a different process temperature on the FD of the RPE was not significant at all for the samples with higher inlet concentrations. However, a small increase was seen for the 3 wt.% GMA + 0.3 wt.% DCP at 175 °C compared to the results in Figure 3. This difference in FD values as functions of temperature with and without scCO2 is relevant and yet difficult to explain. Generally speaking, the influence of temperature on FD values for melt processes is related to the occurrence of side reactions [5,6]. This can be also be the case in scCO2 conditions, with one additional remark. The monomer used in this work (GMA) is soluble in scCO2; this causes a dilution effect, according to which, side reactions as GMA homo-polymerization become less probable. At the same time, with GMA present in the supercritical phase, a mass transfer barrier has to be overcome in order to obtain grafting.
The optimal residence time in the extruder is linked to the temperature profile and, therefore, the screw speed. An excessively long residence time is unfavorable and can result in a decline in GMA grafting due to the depolymerization of the GMA [7,9]. Therefore, the screw speed was adjusted to the ideal residence time and temperature, as shown in Table 3.
Table 3.
Half-life-time DCP at different temperatures.
The results are given in Figure 7.
Figure 7.
Influence of temperature while using the ideal screw speed for RPE samples.
Adjusting the screw speed resulted in a significant improvement of the FD for the samples prepared without scCO2 while working at 200 °C. The mixing was probably improved due to the increase in the rotational screw speed to 66 rpm, resulting in the exertion of a large amount of shear by the screws.
The samples grafted under scCO2 did not show any serious improvement. Presumably, the scCO2 could have swollen the polymer more due to a lower viscosity at higher temperatures. Therefore, the initiator could diffuse better into the matrix, which would have led to the crosslinking of the PE instead of GMA grafting.
Having considered the screw speed, as well as the temperature profile of the extruder, it was also reasonable to observe the different properties of the scCO2 itself. The solubility, solvation power, and transport properties of the scCO2 were all related to the temperature and pressure [24]. Some experiments were carried out with different pressures (90–170 bar) at a constant temperature (180 °C). The results are shown in Figure 8.
Figure 8.
Influence of CO2 inlet pressure on FD.
Higher pressures did not favor the GMA grafting process. This was also reported by Galia et al. (2004) [40] during the grafting of MAH onto isotactic PP. According to their findings, there was more polymer swelling due to the higher density (increasing solubility parameter) of the scCO2. This automatically led to more diffusion of the MAH, but also to that of the free radicals formed by the decomposition of the peroxide inside the polymer. Therefore, this enhanced the occurrence of more unwanted side reactions. Furthermore, the stabilizing effect of the scCO2 at higher pressure increased, leading to more side reactions due to the longer radical lifetime.
Areerat et al. (2002) [41] reported a decrease in LDPE viscosity as the scCO2 concentration in the system increased. Lowering the viscosity of the melt enhances the scCO2 infiltration in the matrix and lowers the cage effect. However, in the present study, an increasing flow of scCO2 resulted in the opposite observation, as shown in Figure 9. Just as in the case of using higher pressure, the higher swelling of the matrix resulted in more unwanted side reactions.
Figure 9.
Influence in the scCO2 flow.
Mechanical Properties of PE-g-GMA
A series of laboratory shear tests were carried out to evaluate the bonding strength between the aluminum plates and the grafted samples in order to preliminarily evaluate the applicability of the prepared samples as hot melt adhesives. The mechanical properties of the grafted LDPEs with different FDs are plotted in Figure 10.
Figure 10.
Strain (a) and stress (b) at break for grafted LFPE samples with different FD.
The samples with a FD of 3.3 did not break at all. The LDPE-g-GMA glue was stronger than the aluminum plates, which were torn apart in all five samples. This was also confirmed by observing the strain, which was significantly higher compared to the other FDs.
The tensile test results of the grafted RPE samples are shown in Figure 11.
Figure 11.
Strain (a) and stress (b) at break for grafted RPE samples with different FD.
The glue was stronger than the aluminum plates for all the glued samples with the 1.1 FD, as well as 3 out of 5 for the 1.2 FD. Overall, it can be concluded that all the grafted samples withstood higher stress rates compared to the non-grafted samples. On the other hand, a higher FD does not automatically entail the breaking of the substrate. In the case of the grafted LDPE, only the highest FD resulted in the aluminum breaking, but for the grafted RPE, lower levels of FD were sufficient. Apparently, the use of scCO2 during the grafting process not only had a negative impact on the FD, as stated previously, but it also negatively impacted the adhesive properties. The RPE samples prepared with scCO2 with a similar FD to those made without scCO2 had a significantly lower stress allowance.
Figure 12 shows sheets of LDPE and RPE on aluminum foil at a 100× magnification. The RPE sheets contained waste particles and had a yellow color, whereas the LDPE was free of particles and colorless.
Figure 12.
RPE and LDPE sheets on aluminum foil at 100× magnification, pressed at 130 °C (LDPE) and 200 °C (RPE) at 100 kN for 15 min (2.5 min warmup at 0 kN, 12.5 min at 100 kN). The edges of the films are shown on the left and in the center of the films on the right.
4. Conclusions
In this work, the grafting of GMA onto LDPE and RPE was investigated. Several process conditions, such as concentrations of DCP and GMA, the use of scCO2, and process temperature and reaction time, were adjusted in order to provide a better insight into which of the settings influenced the grafting process and adhesion properties the most. Increasing the DCP and, especially, GMA concentrations initially resulted in a higher FD in both substrates but, at higher concentrations, a decrease was shown due to the occurrence of more unfavorable side reactions. The influence of scCO2 clearly showed different outcomes for the two substrates used. For all the grafted samples, the LDPE samples showed the highest FD and using scCO2 had a positive impact. However, the scCO2 had a negative impact on the FD of all the grafted samples made out of RPE, enhancing more unfavorable side reactions. Adjusting the temperature and rotational screw speed in accordance with the half-life time of the DCP resulted in higher FD, with the highest FD recorded as 6.7%. This value was obtained under the following conditions: 10 wt.% GMA, 1 wt.% DCP, a temperature of 200 °C, and a screw speed of 66 rpm. The tensile test showed that all the grafted samples appeared to have better adhesive properties. However, the tensile property increase for the recycled LDPE was less pronounced. An increase in FD for the grafted LDPE resulted in higher maximum stress. Even better were the results for the grafted RPE. These samples did not even need extremely high FDs to make the aluminum plates break.
On a more general level, the purpose of this work was twofold: on the one hand, to investigate the possibility of using a post-consumer RPE for grafting purposes, and, on the other, to use scCO2 as a processing aid. Both questions were shown to have a positive answer as far as the mere possibility is concerned. However, the scCO2 seemed to have a slightly negative effect on the FD values, although the validity of this statement needs to be checked by analyzing other polymers before it can be stated generally. The use of a post-consumer RPE was shown to have little influence, if any, on the quality of the end-product, envisioned here as an adhesive. However, form a purely scientific point of view, the presence of contaminants does require extra effort in terms of characterization and dedicated extra experiments in order to fully elucidate the influence of different processing parameters on the final product structure. The strategy used in this work, including, for example, the use of pure LDPE/PP blends to clarify the obtained FD values, might be seen, in this context, as a general approach to the presence of polymeric contaminants.
Author Contributions
Conceptualization F.A.V. and F.P.; methodology F.A.V. and F.P.; investigation F.A.V., B.B.B., J.A.J. and F.P.; resources F.P.; data curation B.B.B. and F.A.V.; writing- original draft F.A.V.; writing-editing and review F.A.V. and F.P.; supervision F.P.; funding acquisition F.P. All authors have read and agreed to the published version of the manuscript.
Funding
This work was financially supported by SNN (Northern Netherlands Alliance) and the Province of Groningen via an EFRO (European Fonds for Regional Development) subsidies program.
Institutional Review Board Statement
Not applicable.
Informed Consent Statement
Not applicable.
Data Availability Statement
Not applicable.
Conflicts of Interest
The authors declare no conflict of interest.
Appendix A
PE-co-GMA (Sigma Aldrich) with a known GMA amount of 8 wt.% was diluted with LDPE pellets and blended in a Brabender plasticorder at 155 °C for 8 min at 60 rpm. Each sample was measured in an FTIR (Shimatzu Ir tracer-100), and the characteristic peak height was determined for the carbonyl group of GMA at 1732 cm−1 and the group of PE at 715 cm−1. The ratio between these peak heights was plotted against the GMA content in the samples to obtain the calibration curve. The calibration curve of the LDPE and PE-g-GMA is given in Figure A1.
Figure A1.
Calibration curve of LDPE and PE-g-GMA.
Figure A1.
Calibration curve of LDPE and PE-g-GMA.

Appendix B
All the experimental data and conditions are listed in Table A1, Table A2, Table A3, Table A4 and Table A5.
Table A1.
Extruder temperature: 175–180–185–180–175 °C. Screw speed: 20 rpm. PscCO2: 130 bar. Flowrate: 4 g/min.
Table A1.
Extruder temperature: 175–180–185–180–175 °C. Screw speed: 20 rpm. PscCO2: 130 bar. Flowrate: 4 g/min.
| GMA (wt.%) | DCP (wt.%) | Average FD | E (%) | GMA (wt.%) | DCP (wt.%) | Average FD | E (%) |
|---|---|---|---|---|---|---|---|
| Pure LDPE without CO2 | Pure LDPE with CO2 | ||||||
| 5 | 0.6 | 0.682 | 13.631 | 5 | 0.6 | 0.699 | 13.990 |
| 0.8 | 0.652 | 13.037 | 0.8 | 0.975 | 19.502 | ||
| 10 | 0.2 | 2.374 | 23.741 | 10 | 0.2 | 1.137 | 11.368 |
| 0.4 | 1.866 | 18.67 | 0.4 | 2.269 | 22.686 | ||
| 0.6 0.8 | 3.297 2.962 | 32.969 29.619 | 0.6 0.8 | 6.374 3.973 | 63.741 39.730 | ||
| RPE without CO2 | RPE with CO2 | ||||||
| 3 | 0.2 | 0.875 | 29.157 | 3 | 0.2 | 0.480 | 15.997 |
| 0.4 | 1.049 | 34.962 | 0.4 | 0.521 | 17.365 | ||
| 0.6 0.8 | 1.165 0.883 | 38.842 29.422 | 0.6 0.8 | 0.789 0.752 | 26.316 25.066 | ||
| 5 | 0.2 | 0.804 | 16.090 | 5 | 0.2 | 0.572 | 11.441 |
| 0.4 | 1.180 | 23.608 | 0.4 | 0.622 | 12.433 | ||
| 0.6 0.8 | 1.425 1.443 | 28.493 28.858 | 0.6 0.8 | 0.825 0.807 | 16.497 8.070 | ||
| 10 | 0.2 | 1.825 | 18.254 | 10 | 0.2 | 1.266 | 12.659 |
| 0.4 | 1.885 | 18.850 | 0.4 | 1.149 | 11.488 | ||
| 0.6 0.8 | 2.247 2.386 | 22.470 23.864 | 0.6 0.8 | 1.165 1.214 | 11.651 12.144 | ||
| RPE without CO2 | RPE with CO2 | ||||||
| Ratio | GMA (wt.%) | Average FD (%) | E (%) | Ratio | GMA (wt.%) | Average FD (%) | E (%) |
| 0.1 | 3 | 1.003 | 33.425 | 3 | 0.955 | 31.829 | |
| 5 10 | 1.199 2.016 | 23.977 20.157 | 0.1 | 5 10 | 1.160 1.331 | 23.197 13.314 | |
| 0.1 duplo | 3 | 0.879 | 29.303 | 3 | 0.763 | 25.435 | |
| 5 10 | 0.933 1.827 | 18.651 18.266 | 0.1 duplo | 5 10 | 0.902 1.103 | 18.049 11.033 | |
| 0.2 | 3 | 0.893 | 29.775 | 3 | 1.013 | 33.772 | |
| 5 10 | 1.313 1.992 | 26.254 19.918 | 0.2 | 5 10 | 1.043 1.144 | 20.850 11.440 | |
| 0.4 | 3 | 1.079 | 35.974 | 3 | 1.067 | 35.581 | |
| 5 10 | 1.522 2.302 | 30.445 23.021 | 0.4 | 5 10 | 1.108 1.514 | 33.214 15.314 | |
| 0.6 | 3 | 1.106 | 36.855 | 3 | 0.804 | 26.816 | |
| 5 10 | 1.555 N.A. | 31.110 N.A. | 0.6 | 5 10 | 0.985 1.072 | 19.706 10.723 | |
Table A2.
Effect of temperature and rotational screw speed on recycled PE-g-GMA. PscCO2: 130 bar. Flowrate: 4 g/min.
Table A2.
Effect of temperature and rotational screw speed on recycled PE-g-GMA. PscCO2: 130 bar. Flowrate: 4 g/min.
| Temperature (°C) | Run | GMA (wt.%) | RPM | Average FD | E (%) | Average FD | E (%) |
|---|---|---|---|---|---|---|---|
| Without CO2 | With CO2 | ||||||
| 175 | 1 | 3 | 20 | 1.200 | 40.004 | 1.392 | 46.408 |
| 2 3 | 5 10 | 20 20 | 1.566 2.100 | 31.323 20.995 | 0.851 1.135 | 17.027 11.348 | |
| 175 | 1 | 3 | 4 | 1.151 | 38.362 | 0.877 | 29.238 |
| 2 | 5 | 4 | 1.322 | 26.432 | 0.916 | 18.322 | |
| 3 | 10 | 4 | 2.228 | 22.281 | 1.162 | 11.625 | |
| 190 | 1 | 3 | 20 | 0.818 | 27.258 | 0.871 | 28.300 |
| 2 3 | 5 10 | 20 20 | 1.578 3.421 | 31.555 34.205 | 0.802 1.106 | 18.584 11.060 | |
| 190 | 1 2 3 | 3 5 10 | 42 42 42 | 1.155 1.578 3.489 | 38.499 31.565 34.888 | 0.849 0.929 1.186 | 28.300 18.584 11.863 |
| 200 | 1 2 3 | 3 5 10 | 20 20 20 | 0.978 1.114 2.144 | 32.599 22.877 21.443 | 0.840 0.929 1.060 | 28.007 18.575 10.599 |
| 200 | 1 2 3 | 3 5 10 | 66 66 66 | 1.729 2.204 6.701 | 57.636 44.079 67.006 | 0.698 0.799 0.969 | 23.280 15.982 9.688 |
Table A3.
Cyclic GMA grafting onto PE. Extruder temperature: 175–180–185–180–175 °C. Screw speed: 20 rpm. PscCO2: 130 bar. Flowrate: 4 g/min. Ratio: 0.1. GMA 10 wt.%.
Table A3.
Cyclic GMA grafting onto PE. Extruder temperature: 175–180–185–180–175 °C. Screw speed: 20 rpm. PscCO2: 130 bar. Flowrate: 4 g/min. Ratio: 0.1. GMA 10 wt.%.
| Cycle | Substrate | Average FD | E (%) |
|---|---|---|---|
| 1 | LDPE | 2.005 | 20.048 |
| RPE | 1.754 | 17.542 | |
| 2 | LDPE | 2.170 | 10.851 |
| RPE | 2.823 | 14.117 | |
| 3 | LDPE RPE | 2.980 3.219 | 9.932 10.728 |
Table A4.
Effect of variation in scCO2 pressure on recycled PE-g-GMA results. Extruder temperature: 175–180–185–180–175 °C. Screw speed: 20 rpm. PscCO2: 130 bar. Flowrate: 4 g/min. Ratio: 0.1.
Table A4.
Effect of variation in scCO2 pressure on recycled PE-g-GMA results. Extruder temperature: 175–180–185–180–175 °C. Screw speed: 20 rpm. PscCO2: 130 bar. Flowrate: 4 g/min. Ratio: 0.1.
| Pressure (bar) | GMA (wt.%) | Average FD | E (%) |
|---|---|---|---|
| 90 | 5 | 1.412 | 28.243 |
| 10 | 1.986 | 19.864 | |
| 110 | 5 | 1.068 | 21.367 |
| 10 | 1.734 | 17.337 | |
| 130 | 5 10 | 1.160 1.331 | 23.197 13.314 |
| 150 | 5 10 | 0.923 1.467 | 18.467 14.670 |
| 170 | 5 10 | 0.950 1.536 | 19.005 15.363 |
Table A5.
Effect of variation in scCO2 flow on recycled PE-g-GMA results. Extruder temperature: 175–180–185–180–175 °C. Screw speed: 20 rpm. PscCO2: 130 bar. Flowrate: 4 g/min. Ratio: 0.1.
Table A5.
Effect of variation in scCO2 flow on recycled PE-g-GMA results. Extruder temperature: 175–180–185–180–175 °C. Screw speed: 20 rpm. PscCO2: 130 bar. Flowrate: 4 g/min. Ratio: 0.1.
| Pressure (bar) | GMA (wt.%) | Average FD | E (%) |
|---|---|---|---|
| 4 g/min | 3 5 | 0.955 1.160 | 31.829 23.197 |
| 10 | 1.331 | 13.314 | |
| 8 g/min | 3 5 | 0.712 0.728 | 23.745 14.563 |
| 10 | 0.759 | 7.593 |
Appendix C
Different purification methods were used to determine the amount of GMA grafted onto the polymer matrix. Some researchers dissolved a small amount of the polymer in refluxing xylene, and used acetone for the precipitation [9,21]. Therefore, several purification methods were performed to determine the most reliable method for the determination of the FD.
The PE-g-GMA was produced in the Brabender using a GMA concentration of 3 wt.% and a TRI concentration of 0.4 wt.%. Note that this is a different peroxide from that used in previous studies. However, these experiments were performed to investigate the differences between the purification methods. The unwashed product had an FD of 0.98. The product was purified using different methods after it was characterized using FTIR to obtain the FD. The results are presented in Table A6, which shows that the different cleaning methods yielded quite significantly different FDs. The purification method involving an extraction with THF yielded the lowest FD, suggesting that this purification method had the highest extraction efficiency. When using the purification method using xylene as the solvent and acetone or methanol as the anti-solvent, the FD was much higher. This indicated that the grafting degrees of the grafting experiments performed in the literature are rather high. Too much p-GMA is still present in the product, leading to a higher IR peak, which in turn leads to a higher FD.
Table A6.
Purification methods.
Table A6.
Purification methods.
| Purification Method | FD |
|---|---|
| None | 0.98 |
| Precipitation with acetone | 0.83 |
| Precipitation with methanol | 0.87 |
| Soxtec with acetone | 0.98 |
| Soxtec with THF | 0.59 |
References
- Plastics Europe. Plastics—The Facts 2017 an Analysis of European Plastics Production, Demand and Waste Data; Plastics Europe: Brussels, Belgium, 2017. [Google Scholar]
- Yin, S.; Tuladhar, R.; Shi, F.; Shanks, R.A.; Combe, M.; Collister, T. Mechanical Reprocessing of Polyolefin Waste: A Review. Polym. Eng. Sci. 2015, 55, 2899–2909. [Google Scholar] [CrossRef]
- Bhattacharya, A.; Misra, B.N. Grafting: A Versatile Means to Modify PolymersTechniques, Factors and Applications. Prog. Polym. Sci. 2004, 29, 767–814. [Google Scholar] [CrossRef]
- Rzayev, Z.M.O. Graft Copolymers of Maleic Anhydride and Its Isostructural Analogues: High Performance Engineering Materials. arXiv 2011, arXiv:1105.1260. [Google Scholar]
- Moad, G. The Synthesis of Polyolefin Graft Copolymers by Reactive Extrusion. Prog. Polym. Sci. 1999, 24, 81–142. [Google Scholar] [CrossRef]
- Pazzagli, F.; Pracella, M. Reactive Compatibilization of Polyolefin/PET Blends by Melt Grafting with Glycidyl Methacrylate. Macromol. Symp. 2000, 149, 225–230. [Google Scholar] [CrossRef]
- Wei, Q.; Chionna, D.; Galoppini, E.; Pracella, M. Functionalization of LDPE by Melt Grafting with Glycidyl Methacrylate and Reactive Blending with Polyamide-6. Macromol. Chem. Phys. 2003, 204, 1123–1133. [Google Scholar] [CrossRef]
- Wei, Q.; Chionna, D.; Pracella, M. Reactive Compatibilization of PA6/LDPE Blends with Glycidyl Methacrylate Functionalized Polyolefins. Macromol. Chem. Phys. 2005, 206, 777–786. [Google Scholar] [CrossRef]
- Li, J.-L.; Xie, X.-M. Reconsideration on the Mechanism of Free-Radical Melt Grafting of Glycidyl Methacrylate on Polyolefin. Polymer 2012, 53, 2197–2204. [Google Scholar] [CrossRef]
- Cho, K.Y.; Eom, J.-Y.; Kim, C.-H.; Park, J.-K. Grafting of Glycidyl Methacrylate onto High-Density Polyethylene with Reaction Time in the Batch Mixer. J. Appl. Polym. Sci. 2008, 108, 1093–1099. [Google Scholar] [CrossRef]
- Pesneau, I.; Champagne, M.F.; Huneault, M.A. Glycidyl Methacrylate-Grafted Linear Low-Density Polyethylene Fabrication and Application for Polyester/Polyethylene Bonding. J. Appl. Polym. Sci. 2004, 91, 3180–3191. [Google Scholar] [CrossRef]
- Wang, P.; Xu, H.; Qiu, D.; Zhao, Y.; Long, S.; Li, X. Improved Mechanical and Rheological Properties of Recycled Polyethylene by Acrylic Acid-Assisted Melt Grafting of Glycidyl Methacrylate. Plast. Rubber Compos. 2019, 48, 440–447. [Google Scholar] [CrossRef]
- Fang, C.; Nie, L.; Liu, S.; Yu, R.; An, N.; Li, S. Characterization of Polypropylene–Polyethylene Blends Made of Waste Materials with Compatibilizer and Nano-Filler. Compos. Part B Eng. 2013, 55, 498–505. [Google Scholar] [CrossRef]
- Brito, G.F.; Xin, J.; Zhang, P.; Mélo, T.J.A.; Zhang, J. Enhanced Melt Free Radical Grafting Efficiency of Polyethylene Using a Novel Redox Initiation Method. RSC Adv. 2014, 4, 26425–26433. [Google Scholar] [CrossRef]
- Li, D.; Han, B.; Liu, Z. Grafting of 2-Hydroxyethyl Methacrylate onto Isotactic Poly(Propylene) Using Supercritical CO2 as a Solvent and Swelling Agent. Macromol. Chem. Phys. 2001, 202, 2187–2194. [Google Scholar] [CrossRef]
- Liu, Z.; Song, L.; Dai, X.; Yang, G.; Han, B.; Xu, J. Grafting of Methyl Methylacrylate onto Isotactic Polypropylene Film Using Supercritical CO2 as a Swelling Agent. Polymer 2002, 43, 1183–1188. [Google Scholar] [CrossRef]
- Dong, Z.; Liu, Z.; Han, B.; He, J.; Jiang, T.; Yang, G. Modification of Isotactic Polypropylene Film by Grafting of Acrylic Acid Using Supercritical CO2 as a Swelling Agent. J. Mater. Chem. 2002, 12, 3565–3569. [Google Scholar] [CrossRef]
- Kunita, M.H.; Girotto, E.M.; Muniz, E.C.; Rubira, A.F. Polypropylene Grafted with Glycidyl Methacrylate Using Supercritical CO2 Medium. Braz. J. Chem. Eng. 2006, 23, 267–271. [Google Scholar] [CrossRef]
- Wang, J.; Ran, Y.; Zou, E.; Dong, Q. Supercritical CO2 Assisted Ternary-Monomer Grafting Copolymerization of Polypropylene. J. Polym. Res. 2009, 16, 739–744. [Google Scholar] [CrossRef]
- Tong, G.-S.; Liu, T.; Hu, G.-H.; Zhao, L.; Yuan, W.-K. Supercritical Carbon Dioxide-Assisted Solid-State Free Radical Grafting of Methyl Methacrylate onto Polypropylene. J. Supercrit. Fluids 2007, 43, 64–73. [Google Scholar] [CrossRef]
- Daneshvar, M.; Kamali, H.; Masoomi, M.; Ghaziaskar, H.S. Supercritical Carbon Dioxide Grafting of Glycidyl Methacrylate onto Medium Density Polyethylene and Purification of Residual Monomer and Initiator. J. Supercrit. Fluids 2012, 70, 119–125. [Google Scholar] [CrossRef]
- Nalawade, S.P.; Picchioni, F.; Janssen, L.P.B.M. Supercritical Carbon Dioxide as a Green Solvent for Processing Polymer Melts: Processing Aspects and Applications. Prog. Polym. Sci. 2006, 31, 19–43. [Google Scholar] [CrossRef]
- Cavalcanti, R.N.; Meireles, M.A.A. Fundamentals of Supercritical Fluid Extraction. In Comprehensive Sampling and Sample Preparation; Elsevier: Amsterdam, The Netherlands, 2012. [Google Scholar] [CrossRef]
- Rehman, I.; Darr, J.; Moshaverinia, A. Supercritical Fluid Processing. In Encyclopedia of Biomaterials and Biomedical Engineering, 2nd ed.; Four Volume Set; CRC Press: Boca Raton, FL, USA, 2008. [Google Scholar] [CrossRef]
- Kazarian, S.G. Polymer Processing with Supercritical Fluids. Polym. Sci. Ser. CC/C Vysokomol. Soedin. 2000, 42, 78–101. [Google Scholar]
- Higginbotham, C.L.; Yons, J.G.L.; Kennedy, J.E. Polymer Processing Using Supercritical Fluids. In Advances in Polymer Processing; Elsevier: Amsterdam, The Netherlands, 2009. [Google Scholar] [CrossRef]
- Picchioni, F. Supercritical Carbon Dioxide and Polymers: An Interplay of Science and Technology. Polym. Int. 2014, 63, 1394–1399. [Google Scholar] [CrossRef]
- Boyère, C.; Jérôme, C.; Debuigne, A. Input of Supercritical Carbon Dioxide to Polymer Synthesis: An Overview. Eur. Polym. J. 2014, 61, 45–63. [Google Scholar] [CrossRef]
- Cao, K.; Shen, Z.; Yao, Z.; Qu, B.; Pang, X.; Lu, Z.; Li, Y.; Chen, Z. New Insight into the Action of Supercritical Carbon Dioxide for Grafting of Maleic Anhydride onto Isotactic Polypropylene by Reactive Extrusion. Chem. Eng. Sci. 2010, 65, 1621–1626. [Google Scholar] [CrossRef]
- Fages, J.; Rodier, É.; Letourneau, J.J.; Sauceau, M.; Alexandratos, S.D. Polypropylene Grafting in Supercritical Carbon Dioxide. In ISSF 2012-10th International Symposium on Supercritical Fluids; ISASF: Memphis, TN, USA, 2012. [Google Scholar]
- Wang, D.; Wang, J. Grafting Dual Polar Monomers onto Hydroperoxidized Polypropylene with the Assistant of Supercritical Carbon Dioxide. Appl. Petrochem. Res. 2017, 7, 169–179. [Google Scholar] [CrossRef]
- Khankrua, R.; Pivsa-Art, S.; Hiroyuki, H.; Suttiruengwong, S. Grafting of Poly (Lactic Acid) with Maleic Anhydride Using Supercritical Carbon Dioxide. In Proceedings of the IOP Conference Series: Materials Science and Engineering, 2015 Global Conference on Polymer and Composite Materials (PCM2015), Beijing, China, 16–18 May 2015; IOP Publishing: Bristol, UK, 2015; Volume 87. [Google Scholar] [CrossRef]
- Chen, C.M.; Hsieh, T.E.; Liu, M.O. Preparation of Epoxy-Modified Polyethylene by Graft Extrusion and Its Applications to Polyphenylene Sulfide Alloys as a Compatibilizer. React. Funct. Polym. 2008, 68, 1307–1313. [Google Scholar] [CrossRef]
- Xie, X.-M.; Chen, N.-H.; Guo, B.-H.; Li, S. Study of Multi-Monomer Melt-Grafting onto Polypropylene in an Extruder. Polym. Int. 2000, 49, 1677–1683. [Google Scholar] [CrossRef]
- Jahani, Y.; Valavi, A.; Ziaee, F. Reactive Melt Modification of Polyethylene by Ethyl Acrylate/Acrylic Acid Copolymers: Rheology, Morphology and Thermal Behavior. Iran. Polym. J. 2015, 24, 449–458. [Google Scholar] [CrossRef]
- Saeb, M.R.; Garmabi, H. Investigation of Styrene-Assisted Free-Radical Grafting of Glycidyl Methacrylate onto High-Density Polyethylene Using Response Surface Method. J. Appl. Polym. Sci. 2009, 111, 1600–1605. [Google Scholar] [CrossRef]
- Dorscht, B.M.; Tzoganakis, C. Reactive Extrusion of Polypropylene with Supercritical Carbon Dioxide: Free Radical Grafting of Maleic Anhydride. J. Appl. Polym. Sci. 2003, 87, 1116–1122. [Google Scholar] [CrossRef]
- Zhou, H.; Wang, Z.; Xu, G.; Wang, X.; Wen, B.; Jin, S. Preparation of Crosslinked High-Density Polyethylene Foam Using Supercritical CO2 as Blowing Agent. Cell. Polym. 2017, 36, 167–182. [Google Scholar] [CrossRef]
- Hwang, T.Y.; Lee, S.; Yoo, Y.; Jang, K.; Lee, J.W. Reactive Extrusion of Polypropylene/Polystyrene Blends with Supercritical Carbon Dioxide. Macromol. Res. 2012, 20, 559–567. [Google Scholar] [CrossRef]
- Galia, A.; de Gregorio, R.; Spadaro, G.; Scialdone, O.; Filardo, G. Grafting of Maleic Anhydride onto Isotactic Polypropylene in the Presence of Supercritical Carbon Dioxide as a Solvent and Swelling Fluid. Macromolecules 2004, 37, 4580–4589. [Google Scholar] [CrossRef]
- Areerat, S.; Nagata, T.; Ohshima, M. Measurement and Prediction of LDPE/CO2 Solution Viscosity. Polym. Eng. Sci. 2002, 42, 2234–2245. [Google Scholar] [CrossRef]
Publisher’s Note: MDPI stays neutral with regard to jurisdictional claims in published maps and institutional affiliations. |
© 2022 by the authors. Licensee MDPI, Basel, Switzerland. This article is an open access article distributed under the terms and conditions of the Creative Commons Attribution (CC BY) license (https://creativecommons.org/licenses/by/4.0/).











