Simultaneously Wavelength- and Temperature-Insensitive Mid-Infrared Optical Parametric Amplification with LiGaS2 Crystal
Abstract
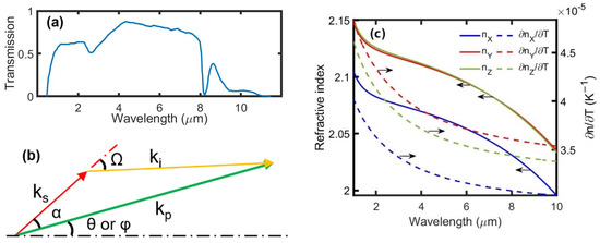
1. Introduction
2. WTIPM Solutions for LiGaS2-Based OPA
2.1. PM Design and Manipulation
2.2. Collinear WTIPM Calculations

2.3. Noncollinear WTIPM Calculations
3. Numerical Simulation and Discussion
3.1. Simulation Code
3.2. Results and Discussion
4. Conclusions
Author Contributions
Funding
Institutional Review Board Statement
Informed Consent Statement
Data Availability Statement
Conflicts of Interest
References
- Wolter, B.; Pullen, M.G.; Baudisch, M.; Sclafani, M.; Hemmer, M.; Senftleben, A.; Schröter, C.D.; Ullrich, J.; Moshammer, R.; Biegert, J. Strong-Field Physics with Mid-IR Fields. Phys. Rev. X 2015, 5, 021034. [Google Scholar] [CrossRef]
- Koç, A.; Hauf, C.; Woerner, M.; von Grafensteın, L.; Ueberschaer, D.; Bock, M.; Griebner, U.; Elsaesser, T. Compact high-flux hard X-ray source driven by femtosecond mid-infrared pulses at a 1 kHz repetition rate. Opt. Lett. 2021, 46, 210–213. [Google Scholar] [CrossRef] [PubMed]
- Pires, H.; Baudisch, M.; Sanchez, D.; Hemmer, M.; Biegert, J. Ultrashort pulse generation in the mid-IR. Prog. Quantum Electron. 2015, 43, 1–30. [Google Scholar] [CrossRef]
- Seidel, M.; Xiao, X.; Hussain, S.A.; Arisholm, G.; Hartung, A.; Zawilski, K.T.; Schunemann, P.G.; Habel, F.; Trubetskov, M.; Pervak, V.; et al. Multi-watt, multi-octave, mid-infrared femtosecond source. Sci. Adv. 2018, 4, eaaq1526. [Google Scholar] [CrossRef]
- Tian, K.; He, L.; Yang, X.; Liang, H. Mid-Infrared Few-Cycle Pulse Generation and Amplification. Photonics 2021, 8, 290. [Google Scholar] [CrossRef]
- Petrov, V. Frequency down-conversion of solid-state laser sources to the mid-infrared spectral range using non-oxide nonlinear crystals. Prog. Quantum Electron. 2015, 42, 1–106. [Google Scholar] [CrossRef]
- Nikogosyan, D.N. Nonlinear Optical Crystals: A Complete Survey; Springer Science & Business Media: New York, NY, USA, 2006. [Google Scholar]
- Yelisseyev, A.P.; Starikova, M.K.; Korolev, V.V.; Isaenko, L.I.; Lobanov, S.I. Photoluminescence of lithium thiogallate LiGaS2. J. Opt. Soc. Am. B 2012, 29, 1003–1011. [Google Scholar] [CrossRef]
- Rothhardt, J.; Demmler, S.; Hädrich, S.; Peschel, T.; Limpert, J.; Tünnermann, A. Thermal effects in high average power optical parametric amplifiers. Opt. Lett. 2013, 38, 763–765. [Google Scholar] [CrossRef]
- Prandolini, M.J.; Riedel, R.; Schulz, M.; Hage, A.; Höppner, H.; Tavella, F. Design considerations for a high power, ultrabroadband optical parametric chirped-pulse amplifier. Opt. Express 2014, 22, 1594–1607. [Google Scholar] [CrossRef][Green Version]
- Chen, B.-H.; Wittmann, E.; Morimoto, Y.; Baum, P.; Riedle, E. Octave-spanning single-cycle middle-infrared generation through optical parametric amplification in LiGaS2. Opt. Express 2019, 27, 21306–21318. [Google Scholar] [CrossRef] [PubMed]
- Qu, S.; Liang, H.; Liu, K.; Zou, X.; Li, W.; Wang, Q.J.; Zhang, Y. 9 μm few-cycle optical parametric chirped-pulse amplifier based on LiGaS2. Opt. Lett. 2019, 44, 2422–2425. [Google Scholar] [CrossRef] [PubMed]
- Liu, K.; Liang, H.; Wang, L.; Qu, S.; Lang, T.; Li, H.; Wang, Q.J.; Zhang, Y. Multimicrojoule GaSe-based midinfrared optical parametric amplifier with an ultrabroad idler spectrum covering 4.2–16 μm. Opt. Lett. 2019, 44, 1003–1006. [Google Scholar] [CrossRef] [PubMed]
- Heiner, Z.; Petrov, V.; Mero, M. Efficient, sub-4-cycle, 1-μm-pumped optical parametric amplifier at 10 μm based on BaGa4S7. Opt. Lett. 2020, 45, 5692–5695. [Google Scholar] [CrossRef] [PubMed]
- Nam, S.-H.; Fedorov, V.; Mirov, S.; Hong, K.-H. Octave-spanning mid-infrared femtosecond OPA in a ZnGeP2 pumped by a 2.4 μm Cr:ZnSe chirped-pulse amplifier. Opt. Express 2020, 28, 32403–32414. [Google Scholar]
- Kanai, T.; Malevich, P.; Kangaparambil, S.S.; Ishida, K.; Mizui, M.; Yamanouchi, K.; Hoogland, H.; Holzwarth, R.; Pugzlys, A.; Baltuska, A. Parametric amplification of 100 fs mid-infrared pulses in ZnGeP2 driven by a Ho:YAG chirped-pulse amplifier. Opt. Lett. 2017, 42, 683–686. [Google Scholar] [CrossRef] [PubMed]
- von Grafenstein, L.; Bock, M.; Ueberschaer, D.; Escoto, E.; Koç, A.; Zawilski, K.; Schunemann, P.; Griebner, U.; Elsaesser, T. Multi-millijoule, few-cycle 5 µm OPCPA at 1 kHz repetition rate. Opt. Lett. 2020, 45, 5998–6001. [Google Scholar] [CrossRef] [PubMed]
- Badikov, V.; Badikov, D.; Shevyrdyaeva, G.; Tyazhev, A.; Marchev, G.; Panyutin, V.; Noack, F.; Petrov, V.; Kwasniewski, A. BaGa4S7: Wide-bandgap phase-matchable nonlinear crystal for the mid-infrared. Opt. Mater. Express 2011, 1, 316–320. [Google Scholar] [CrossRef]
- Petrov, V.; Yelisseyev, A.; Isaenko, L.; Lobanov, S.; Titov, A.; Zondy, J.-J. Second harmonic generation and optical parametric amplification in the mid-IR with orthorhombic biaxial crystals LiGaS2 and LiGaSe2. Appl. Phys. B 2004, 78, 543–546. [Google Scholar] [CrossRef]
- Isaenko, L.I.; Yelisseyev, A.P. Recent studies of nonlinear chalcogenide crystals for the mid-IR. Semicond. Sci. Technol. 2016, 31, 123001. [Google Scholar] [CrossRef]
- Manzoni, C.; Cerullo, G. Design criteria for ultrafast optical parametric amplifiers. J. Opt. 2016, 18, 103501. [Google Scholar] [CrossRef]
- Guo, X.; Wang, C.; Leng, Y.; Li, R. Bandwidth analysis of type-I optical parametric chirped pulse amplification systems. J. Opt. Soc. Am. B 2014, 31, 2615. [Google Scholar] [CrossRef]
- Hongjun, L.; Wei, Z.; Guofu, C.; Yishan, W.; Zhao, C.; Chi, R. Investigation of spectral bandwidth of optical parametric amplification. Appl. Phys. B 2004, 79, 569–576. [Google Scholar] [CrossRef]
- Schimpf, D.N.; Rothhardt, J.; Limpert, J.; Tünnermann, A.; Hanna, D.C. Theoretical analysis of the gain bandwidth for noncollinear parametric amplification of ultrafast pulses. J. Opt. Soc. Am. B 2007, 24, 2837–2846. [Google Scholar] [CrossRef]
- Dabu, R. Very broad gain bandwidth parametric amplification in nonlinear crystals at critical wavelength degeneracy. Opt. Express 2010, 18, 11689–11699. [Google Scholar] [CrossRef] [PubMed]
- Tang, D.; Ma, J.; Wang, J.; Zhou, B.; Xie, G.; Yuan, P.; Zhu, H.; Qian, L. Temperature- and wavelength-insensitive parametric amplification enabled by noncollinear achromatic phase-matching. Sci. Rep. 2016, 6, 36059. [Google Scholar] [CrossRef] [PubMed]
- Zhong, H.; Dai, D.; Dai, S.; Hu, B.; Li, Y.; Fan, D. Comprehensive analyses of the thermal insensitive noncollinear phase-matching for power scalable parametric amplifications. Opt. Express 2018, 26, 23675–23688. [Google Scholar] [CrossRef] [PubMed]
- Dai, D.; Liang, C.; Liang, Z.; Wang, B.; Zhong, H.; Li, Y.; Fan, D. Temperature-insensitive broadband optical parametric chirped pulse amplification based on a tilted noncollinear QPM design. Opt. Express 2020, 28, 57–70. [Google Scholar] [CrossRef] [PubMed]
- Kato, K.; Umemura, N.; Isaenko, L.; Lobanov, S.; Vedenyapin, V.; Miyata, K.; Petrov, V. Thermo-optic dispersion formula for LiGaS2. Appl. Opt. 2019, 58, 1519–1521. [Google Scholar] [CrossRef] [PubMed]
- SNLO Is a Public Domain Software. Available online: http://www.as-photonics.com/SNLO/ (accessed on 1 February 2022).
- Yin, Z.; Ma, J.; Wang, J.; Yuan, P.; Xie, G.; Qian, L. Quasi-Parametric Chirped-Pulse Amplification Simultaneously Enables High Peak Power and High Average Power. IEEE Photonics J. 2019, 11, 1503612. [Google Scholar] [CrossRef]
- Sabaeian, M.; Mousave, L.; Nadgaran, H. Investigation of thermally-induced phase mismatching in continuous-wave second harmonic generation: A theoretical model. Opt. Express 2010, 18, 18732–18743. [Google Scholar] [CrossRef]
- Isaenko, L.; Yelisseyev, A.; Lobanov, S.; Krinitsin, P.; Petrov, V.; Zondy, J.-J. Ternary chalcogenides LiBC2 (B = In, Ga; C = S, Se, Te) for mid-IR nonlinear optics. J. Non-Cryst. Solids 2006, 352, 2439–2443. [Google Scholar] [CrossRef]
- Namboodiri, M.; Luo, C.; Indorf, G.; Golz, T.; Grguraš, I.; Buss, J.H.; Schulz, M.; Riedel, R.; Prandolini, M.J.; Laarmann, T. Optical properties of Li-based nonlinear crystals for high power mid-IR OPCPA pumped at 1 μm under realistic operational conditions. Opt. Mater. Express 2021, 11, 231–239. [Google Scholar] [CrossRef]
- Atuchin, V.; Isaenko, L.; Kesler, V.; Lobanov, S. Core level photoelectron spectroscopy of LiGaS2 and Ga–S bonding in complex sulfides. J. Alloys Compd. 2010, 497, 244–248. [Google Scholar] [CrossRef]
- Ma, J.; Wang, J.; Yuan, P.; Xie, G.; Xiong, K.; Tu, Y.; Tu, X.; Shi, E.; Zheng, Y.; Qian, L. Quasi-parametric amplification of chirped pulses based on a Sm3+-doped yttrium calcium oxyborate crystal. Optica 2015, 2, 1006–1009. [Google Scholar] [CrossRef]





Publisher’s Note: MDPI stays neutral with regard to jurisdictional claims in published maps and institutional affiliations. |
© 2022 by the authors. Licensee MDPI, Basel, Switzerland. This article is an open access article distributed under the terms and conditions of the Creative Commons Attribution (CC BY) license (https://creativecommons.org/licenses/by/4.0/).
Share and Cite
Hu, Z.; Ma, J. Simultaneously Wavelength- and Temperature-Insensitive Mid-Infrared Optical Parametric Amplification with LiGaS2 Crystal. Appl. Sci. 2022, 12, 2886. https://doi.org/10.3390/app12062886
Hu Z, Ma J. Simultaneously Wavelength- and Temperature-Insensitive Mid-Infrared Optical Parametric Amplification with LiGaS2 Crystal. Applied Sciences. 2022; 12(6):2886. https://doi.org/10.3390/app12062886
Chicago/Turabian StyleHu, Zhixuan, and Jingui Ma. 2022. "Simultaneously Wavelength- and Temperature-Insensitive Mid-Infrared Optical Parametric Amplification with LiGaS2 Crystal" Applied Sciences 12, no. 6: 2886. https://doi.org/10.3390/app12062886
APA StyleHu, Z., & Ma, J. (2022). Simultaneously Wavelength- and Temperature-Insensitive Mid-Infrared Optical Parametric Amplification with LiGaS2 Crystal. Applied Sciences, 12(6), 2886. https://doi.org/10.3390/app12062886
