Applicability Study on Modified Argillaceous Slate as Subgrade Filling for High-Speed Railway
Abstract
:1. Introduction
| Additives | Reference | Findings |
|---|---|---|
| Cement kiln dust | [9] | CKD can be an effective additive as it improves soil strength significantly |
| [1] |
| |
| Lime and cement | [10] |
|
| [11] |
| |
| [12] |
| |
| [13] |
| |
| Lime | [14] | There is optimal lime content to improve the characters of red sandstone residual soil. |
| [15] | All aspects of the improved filler have been better improved. | |
| [16] |
| |
| Water-resistant polymer cement base | [17] | The micro strain phase produced by polymer cement reinforced soil is three times higher than that of pure cement reinforced soil, showing good fatigue resistance. |
| Lime, cement and fly ash | [18] |
|
2. Materials and Test Program
2.1. Characteristics of WAS
2.2. Design of Test Scheme
3. Experimental Evaluation of Cement/Lime-Modified Soil
3.1. Results
3.1.1. Analysis of Main Mineral Components for Natural and Modified Soil
3.1.2. Analysis of Basic Physical Index for Natural and Modified Soil
3.1.3. Particle-Size Distribution for Natural and Modified Soil
3.1.4. Compaction Characteristics
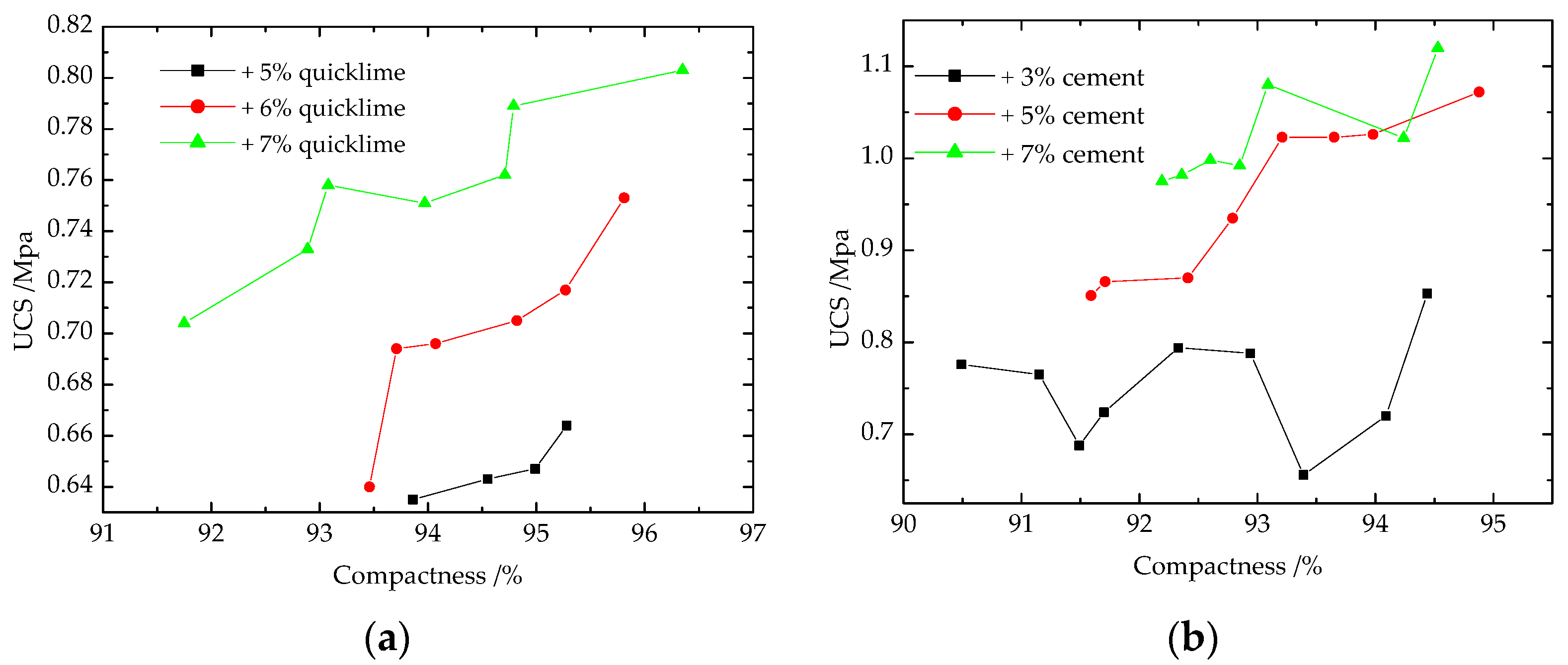
3.1.5. Unconfined Compression Strength Characteristics
3.1.6. Shearing Characteristics
3.1.7. Dry-Wet Cycle Characteristics
3.2. Discussions
4. Dynamic Simulation Analysis of Soft-Rock-Modified Soil as Subgrade
4.1. Dynamic Model Establishment
4.1.1. Dynamic Fundamentals
4.1.2. Model Establishment and Verification
4.1.3. Verification
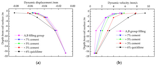
4.2. Results of Dynamic Response Analysis
4.2.1. Dynamic Response Analysis
4.2.2. Dynamics Strength Analysis
4.3. Disccusions
5. Conclusions
Author Contributions
Funding
Conflicts of Interest
References
- Mosa, A.M.; Taher, A.H.; Al-Jaberi, L.A. Improvement of poor subgrade soils using cement kiln dust. Case Stud. Constr. Mater. 2017, 7, 138–143. [Google Scholar] [CrossRef]
- Quang Tran, K. Study on strength behavior of cement stabilized sludge reinforced with waste cornsilk fifiber. Int. J. Geomate 2017, 13, 140–147. [Google Scholar] [CrossRef]
- The Professional Standards Compilation Group of People’s Republic of China. Provisional Regulations on Beijing-Shanghai High-Speed Railway Design [S]; China Railway Publishing House: Beijing, China, 2003. (In Chinese) [Google Scholar]
- Ribeiro, C.A.; Calçada, R.; Delgado, R. Experimental assessment of the dynamic behaviour of the train-track system at a culvert transition zone. Eng. Struct. 2017, 138, 215–228. [Google Scholar] [CrossRef]
- Shan, Y.; Albers, B.; Savidis, S.A. Influence of different transition zones on the dynamic response of track-subgrade systems. Comput. Geotech. 2013, 48, 21–28. [Google Scholar] [CrossRef]
- Li, W.; Bian, X. Dynamic performance of pile-supported bridge-embankment transition zones under high-speed train moving loads. Advances in Transportation Geotechnics 3. In Proceedings of the 3rd International Conference on Transportation Geotechnics (ICTG 2016), Guimarães, Portugal, 4–7 September 2016; Volume 143, pp. 1059–1067. [Google Scholar]
- Xu, R. Analysis on the dynamic performance of different subgrade transition sections in the high speed railway. Subgrade Eng. 2017, 3, 64–68. [Google Scholar]
- Vatani Oskouei, A.; Afzali, M.; Madadipour, M. Experimental investigation on mud bricks reinforced with natural additives under compressive and tensile tests. Constr. Build. Mater. 2017, 142, 137–147. [Google Scholar] [CrossRef]
- Rimal, S.; Poudel, R.K.; Gautam, D. Experimental study on properties of natural soils treated with cement kiln dust. Case Stud. Constr. Mater. 2019, 10, e00223. [Google Scholar] [CrossRef]
- Sharma, L.K.; Sirdesai, N.N.; Sharma, K.M.; Singh, T.N. Experimental study to examine the independent roles of lime and cement on the stabilization of a mountain soil: A comparative study. Appl. Clay Sci. 2018, 152, 183–195. [Google Scholar] [CrossRef]
- Vazquez, J.; Garzon, E.; Romerosa, A. South Spain soils containing phyllites improved by using cement and lime. Concr Sust Agric. 2005, 299–304. Available online: https://www.researchgate.net/publication/288968919_South_Spain_soils_containing_phyllites_improved_by_using_cement_and_lime (accessed on 29 December 2021).
- Katz, L.E.; Rauch, A.F.; Liljestrand, H.M.; Harmon, J.S.; Shaw, K.S.; Albers, H. Mechanisms of soil stabilization with liquid ionic stabilizer. Transp. Res. Rec. J. Transp. Res. Board 2001, 1757, 50–57. [Google Scholar] [CrossRef] [Green Version]
- Yan, M.; Luo, Q.; Liang, B.; Mei, Y. Experimental study on influence factors of unconfined compressive strength of improved red sandstone soil. Jounal Qingdao Univ. Sci. Technlogy (Nat. Sci. Ed.) 2017, 38, 161–164. (In Chinese) [Google Scholar]
- Wang, Z.; Gao, Y.; Shen, L.; Pan, D. Engineering properties of lime-modifiedred sandstone residual soil. J. Eng. Geol. 2018, 26, 416–421. (In Chinese) [Google Scholar]
- Joel Manasseh, A.I.O. Effect of Lime on Some Geotechnical Properties of Igumale Shale. Electron. J. Geotech. Eng. 2008, 13, 1–11. [Google Scholar]
- Zhu, Y.; Yu, H.; Yang, Y.; Jia, Z. Indoor experimental research on characteristics of improved red-mudstone. J. Rock Mech. Eng. 2013, 32, 425–432. (In Chinese) [Google Scholar]
- Pan, X.; Gui, L.; Yuejun, L.I. Contrast experiment study on the stabilized effect of the different soil stahilizer. Highw. Eng. 2014, 39, 59–62. (In Chinese) [Google Scholar]
- Qian, P.; Cao, Q.; Wei, D.; Wang, H.; Qing, L.I. Based on the spectrum analysis of the SBS modified asphalt regeneration mechanism research. Highw. Eng. 2016, 41, 194–198. (In Chinese) [Google Scholar]
- Zhu, Y.P.; Ma, T.; Yang, X.H.; Yang, K.B.; Wang, H.M. Shear strength tests and regression analysis of red sandstone-improved soils based on orthogonal design. J. Geotech. Eng. 2018, 40, 87–91. (In Chinese) [Google Scholar]
- Jiang, H.; Zhang, J.; Sun, C.; Liu, S.; Liang, M.; Yao, Z. Experimental assessment on engineering properties of aged bitumen incorporating a developed rejuvenator. Constr. Build. Mater. 2018, 179, 1–10. [Google Scholar] [CrossRef]
- Yang, D.S.; Bornert, M.; Chanchole, S.; Gharbi, H.; Valli, P.; Gatmiri, B. Dependence of elastic properties of argillaceous rocks on moisture content investigated with optical full-field strain measurement techniques. Int. J. Rock Mech. Min. Sci. 2012, 53, 45–55. [Google Scholar] [CrossRef]
- Zhang, N.; Liu, L.B.; Hou, D.; He, M.; Liu, Y. Geo-mechanical and water vapor absorption characteristics of clay-bearing soft rocks at great depth. Int. J. Min. Sci. Technol. 2014, 24, 811–818. [Google Scholar] [CrossRef]
- Garzón, E.; Cano, M.; OKelly, B.C.; Sánchez-Soto, P.J. Effect of lime on stabilization of phyllite clays. Appl. Clay Sci. 2016, 123, 329–334. [Google Scholar] [CrossRef]
- Mao, X.; Miller, C.J.; Liu, L. Cement improved highly weathered phyllite for highway subgrades: A case study in Shaanxi province. J. Trafficand Transp. Eng. 2017, 4, 403–411. [Google Scholar] [CrossRef]
- Al-Rawas, A.A.; Goosen, M.F. Expansive Soils: Recent Advances in Characterization and Treatment. Taylor & Francis: London, UK, 2006. [Google Scholar]
- Guo, Y.C.; Shen, A.; Gao, T.; Li, W.-g. Assessment of weathering degree and road performance test of weathered rock as subgrade filling. J. Traffic Transp. Eng. 2014, 14, 15–23. [Google Scholar]
- Hu, P.; Zhang, C.; Guo, W.; Wang, Y. Dynamic response of a Bridge-Embankment Transition with Emphasis on the Coupled Train- Track-Subgrade System. Appl. Sci. 2020, 10, 5982. [Google Scholar] [CrossRef]
- Xiao, D.; Jiang, G.L.; Liao, D.; Hu, Y.F.; Liu, X.F. Influence of cement-fly ash-gravel pile-supported approach embankment on abutment piles in soft ground. J. Rock Mech. Geotech. Eng. 2018, 10, 977–985. [Google Scholar] [CrossRef]
- Zheng, J.L.; Zhang, J.H.; Li, X.F. Effects of embankment load on piled bridge abutments on soft clay. China J. Highw. Transp. 2013, 26, 48–55. (In Chinese) [Google Scholar]
- Hu, P.; Zhang, C.; Chen, S.J.; Wang, Y.; Wang, W.; Duan, W.H. Dynamic responses of bridge–embankment transitions in high speed railway: Field tests and data analyses. Eng. Struct. 2018, 175, 565–576. [Google Scholar] [CrossRef]
- Zhou, S. Research on Design Parameters of Bridge and Tunnel in High Speed Railway; Ministry of Railways Academy of Science: Beijing, China, 1995. [Google Scholar]
- National Railway Administration. Design Code of High Speed Railway (TB 10621-2014); China Railway Press: Beijing, China, 2015. [Google Scholar]
- The Ministry of Railway. P. R. C. Code for Soil Test of Railway Engineering (TB10102-2010); China Railway Publishing House: Beijing, China, 2015. (In Chinese) [Google Scholar]
- Hu, P.; Zhang, C.; Wen, S.; Wang, Y. Dynamic responses of high-speed railway transition zone with various subgrade fillings. Comput. Geotech. 2019, 108, 17–26. [Google Scholar] [CrossRef]
- Wei, L.; Li, S.L.; Lin, Y.; He, Q.; Zhang, C. Dynamic performance of a deep buried pile-plank structure transition section for a high-speed railway-Field tests and numerical analyses. Transp. Geotech. 2020, 25, 100408. [Google Scholar] [CrossRef]
- ASTM, D698: ASTM D559-03; Standard Test Methods for Wetting and Drying Compacted Soil-Cement Mixtures. ASTM International: West Conshohocken, PA, USA, 2012.
- ASTM: D4546; Standard Test Methods for One-Dimensional Swell or Collapse of Soils. ASTM International: West Conshohocken, PA, USA, 2014.
- Moliner, E.; Martínez-Rodrigo, M.D.; Museros, P. Dynamic performance of existing double track railway bridges at resonance with the increase of the operational line speed. Eng. Struct. 2017, 132, 98–109. [Google Scholar] [CrossRef] [Green Version]
- Heydari-Noghabi, H.; Varandas, J.N.; Esmaeili, M.; Zakeri, J. Investigating the Influence of Auxiliary Rails on Dynamic Behavior of Railway Transition Zone by a 3D Train-Track Interaction Model. Lat. Am. J. Solids Struct. 2017, 14, 2000–2018. [Google Scholar] [CrossRef] [Green Version]
- Fu, Q.; Wu, Y. Three-dimensional finite element modelling and dynamic response analysis of track-embankment-ground system subjected to high-speed train moving loads. Geomech. Eng. 2019, 19, 241–254. [Google Scholar]
- Germonpré, M.; Degrande, G.; Lombaert, G. A track model for railway-induced ground vibration resulting from a transition zone. Proc. Inst. Mech. Eng. Part F J. Rail Rapid Transit 2018, 232, 1703–1717. [Google Scholar] [CrossRef]
- Shan, Y.; Shu, Y.; Zhou, S. Finite-infinite element coupled analysis on the influence of material parameters on the dynamic properties of transition zones. Constr. Build. Mater. 2017, 148, 548–568. [Google Scholar] [CrossRef]
- Chen, M.; Sun, Y.; Zhai, W. High efficient dynamic analysis of vehicle-track-subgrade vertical interaction based on Green function method. Vechicle Syst. Dyn. 2019, 58, 1076–1100. [Google Scholar] [CrossRef]
- Li, C.; Bi, K.; Hao, H. Seismic performances of precast segmental column under bidirectional earthquake motions: Shake table test and numerical evaluation. Eng. Struct. 2019, 187, 314–328. [Google Scholar] [CrossRef]
- Madenci, E.; Guven, I. The Finite Element Method and Applications in Engineering Using ANSY; Elsevier: Amsterdam, The Netherlands, 2015. [Google Scholar]
- Chen, L.; Zhang, J.; Chen, J.; Chen, J.; Liu, X. Dynamic characteristic test of argillite-slate gravel cement-improved subgrade soil. Int. J. Simul. Syst. Sci. Technol. 2016, 17, 59.1–59.9. [Google Scholar]
- Chen, L.; Zhang, J.; Chen, J.; Chen, J.; Liu, X. A study on improving-by-cement the mechanical characteristics of argillaceous slate coarse-grained soil. Int. J. Simul. Syst. Sci. Technol. 2016, 17, 16.1–16.6. [Google Scholar]
- Xie, X.; Chen, H.; Xiao, X.; Wang, J.; Zhou, J. Micro-structural characteristics and softening mechanism of red-bed soft rock under water-rock interaction condition. J. Eng. Geol. 2019, 27, 966–972. (In Chinese) [Google Scholar]
- Li, G.-W.; Gong, Q.-Q.; Li, T.; Wu, J.-T.; Chen, W.; Cao, X.-S. Experimental study on properties of weak expansive soil improved by disintegrated sandstone. J. Eng. Geol. 2021, 29, 34–43. (In Chinese) [Google Scholar]
- Kamon, M.; Gu, H. Improvement of mechanical properties of femum lime stabilized soil with the addition of aluminum sludge. Mater. Sci. Res. Int. 2001, 7, 56–61. [Google Scholar]
- Shafabakhsh, G.H.; Sadeghnejad, M.; Sajed, Y. Case study of rutting performance of HMA modifified with waste rubber powder. Case Stud. Constr. Mater. 2014, 1, 69–76. [Google Scholar]
- Ismail, A.I.M.; Belal, Z.L. Use of cement kiln dust on the engineering modifification of soil materials, nile delta, Egypt. Geotech. Geol. Eng. 2016, 34, 463–469. [Google Scholar] [CrossRef]
- Bhatty, J.I.; Bhattacharja, S.; Todres, H. Use of Cement Kiln Dust in Stabilizing Clay Soils; Serial No. 2035; Portland Cement Association: Skokie, IL, USA, 1996; pp. 1–28. [Google Scholar]















| Constituents | SiO2 | TiO2 | Al2O3 | Fe2O3 | MgO | CaO | K2O | Na2O |
|---|---|---|---|---|---|---|---|---|
| Percentage(%) | 56.20 | 1.50 | 21.40 | 11.58 | 1.40 | 0.48 | 3.53 | 0.80 |
| Phase-Name | Clinochlore | Muscovite | Kaolinite | Albite | Quartz | Rutile |
|---|---|---|---|---|---|---|
| Average mass percent(%) | 24.31 | 46.25 | 3.65 | 0.63 | 24.97 | 0.20 |
| Natural Water Content w (%) | Specific Gravity (g/cm3) | OMC (%) | MDD (g/cm3) | Plastic Limit wp (%) | Liquid Limit wL (%) | Plasticity Index Ip |
|---|---|---|---|---|---|---|
| 10.8~13.5 | 2.72 | 12.4 | 1.844 | 22.4 | 33.2 | 10.4 |
| Constituents | CMC (%) | MgO (%) | S (%) | Si (%) | URC | CO2 Content (%) | Pulp Yield (%) | Grade |
|---|---|---|---|---|---|---|---|---|
| Value | 92.80 | 0.96 | 0.006 | 0.058 | 4 | 4 | 4.8 | excellent |
| Constituents | SO3 | MgO | LOI | R80 RHS | Specific Surface Area | Setting Time | Strength | ||||
|---|---|---|---|---|---|---|---|---|---|---|---|
| Initial Setting | Final Setting | Flexural | Compression | ||||||||
| (%) | (%) | (%) | (%) | (m2/kg) | (Hour) | (Hour) | 3 Days | 28 Days | 3 Days | 28 Days | |
| Value | 3.44 | 2.58 | 4.37 | 3.5 | 328.5 | 3:17 | 6:21 | 4.5 | 6.2 | 20.3 | 34.4 |
| Additives | Sample (Size, Shape) | Test Type | Test Machine | Standard |
|---|---|---|---|---|
| +3%, 5% cement + 6% quicklime | EDS | SEI (3.0 nm) BEI | ||
| +5%, 6%, 7% quicklime + 3%, 5%, 7% cement | 20 mm sieve | Z2 Compaction test | DJ30-5 | TB10102-2010 |
| +5%, 6%, 7% quicklime + 3%, 5%, 7% cement | Φ50 mm × 50 mm 10 mm sieve | UCS test | YYW-2 | TB10102-2010 |
| +5%, 6%, 7% quicklime + 3%, 5%, 7% cement | 2 mm sieve at 0.92 compactness | shearing test | SZ304 | TB10102-2010 |
| +3%, 5%, 7% cement Quicklime (collapsed) | Φ50 mm × 50 mm 10 mm sieve | dry-wet test | YYW-2, basin | ASTMD 559-44 |
| Natural WAS | Natural air-dried soil | specific gravity | Pycnometer | |
| +4%, 6%, 8% quicklime + 4%, 5%, 6% cement | 0.5 mm sieve | liquid-plastic limits | GYS-2 | TB10102-2010 |
| natural +5% cement | Natural air-dried soil | Particle size | seives | TB10102-2010 |
| Phase-Name | Quartz (%) | Muscovite (%) | Illite (%) | Feldspar (%) | Kaolinite (%) | Siderite (%) | Calcite (%) | |
|---|---|---|---|---|---|---|---|---|
| Samples | ||||||||
| Natural soil | 47.54 | 36.42 | 4.47 | 1.57 | 3.59 | 5.68 | 2.87 | |
| +3% cement | 49.17 | 33.82 | 3.23 | 1.70 | 3.78 | 4.27 | 3.65 | |
| +5% cement | 55.90 | 26.85 | 2.82 | 1.93 | 3.87 | 3.54 | 3.79 | |
| +6% quicklime | 52.37 | 28.47 | 3.46 | 1.82 | 3.62 | 3.26 | 3.53 | |
| Physical Index | Mixture | Liquid Limit LL (%) | Plastic Limit PL (%) | Plasticity Index PI (%) |
|---|---|---|---|---|
| Curing 1 day | +4% quicklime | 23.26 | 23.26 | 9.97 |
| +6% quicklime | 24.11 | 24.11 | 8.47 | |
| +8% quicklime | 23.45 | 23.45 | 8.40 | |
| Curing 3 days | +4% cement | 24.07 | 24.07 | 10.92 |
| +5% cement | 25.23 | 25.23 | 7.47 | |
| +6% cement | 24.16 | 24.16 | 7.07 |
| Soil Sample | Mixture Percent (%) | Internal Friction Angle φ(°) | Cohesion c (kPa) | Fitting Correlation Coefficient R |
|---|---|---|---|---|
| Natural sample | - | 27.6 | 59.0 | 0.995 |
| quicklime | 5 | 28.2 | 62.1 | 0.99 |
| 6 | 29.6 | 76.5 | 0.992 | |
| 7 | 29.2 | 67.3 | 0.994 | |
| cement | 3 | 29.0 | 68.5 | 0.998 |
| 5 | 30.6 | 79.9 | 0.998 | |
| 7 | 31.8 | 100.8 | 0.999 |
| Parameters | E (GPa) | ν | Φ (°) | C (kPa) | |
|---|---|---|---|---|---|
| Rail | 210 | 0.3 | 78 | ||
| Track plate | 34.0 | 0.1667 | 30 | - | - |
| Concrete Supporting | 25.5 | 0.20 | 24 | ||
| C15 concrete | 22.0 | 0.25 | 24 | - | - |
| Graded gravel +5%cement | 1.78 | 0.30 | 24 | 45.8 | 1326 |
| Graded gravel | 1.58 | 0.24 | 24 | 39.5 | 160 |
| A/B-group filling | 0.53 | 0.26 | 2.35 | 41.8 | 200 |
| +3% cement | 0.28 | 0.26 | 1.61 * | 29.0 * | 68.5 * |
| +5% cement | 0.32 | 0.26 | 1.62 * | 30.6 * | 79.9 * |
| +7% cement | 0.36 | 0.26 | 1.65 * | 31.8 * | 100.8 * |
| +5% quicklime | 0.22 | 0.26 | 1.58 * | 28.2 * | 62.1 * |
| +6% quicklime | 0.24 | 0.26 | 1.59 * | 29.6 * | 76.5 * |
| +7% quicklime | 0.26 | 0.26 | 1.57 * | 29.2 * | 67.3 * |
| Test Layer | Dynamic Acceleration (m·s−2) | Dynamic Velocity (mm·s−1) | Dynamic Displacement (×10−3 mm) | Dynamic Stress (kPa) | ||||||||||||||||
|---|---|---|---|---|---|---|---|---|---|---|---|---|---|---|---|---|---|---|---|---|
| I | II | III | IV | V | I | II | III | IV | V | I | II | III | IV | V | I | II | III | IV | V | |
| 1 | 16.5 | 14.5 | 14 | 13.5 | 12 | 9.4 | 7.8 | 5.8 | 5.4 | 5.1 | −82 | −63 | −57 | −56 | −53 | 60.5 | 63 | 65 | 68 | 73 |
| 2 | 7 | 7.5 | 8.2 | 7.8 | 7 | 7.7 | 5.4 | 4.4 | 4.1 | 3.8 | −60 | −52 | −50 | −48 | −48 | 17.5 | 29 | 30 | 32 | 35 |
| 3 | 4.8 | 4.8 | 4 | 4.8 | 4.6 | 6.5 | 4 | 3.1 | 2.7 | 2.6 | −50 | −40 | −38 | −38 | −36 | 11.8 | 17 | 20 | 22 | 23 |
| 4 | 2.3 | 2.2 | 2.2 | 2.2 | 2.1 | 3.3 | 3 | 2.1 | 1.8 | 3.3 | −25 | −25 | −24 | −25 | −22 | 4.0 | 6.4 | 6.5 | 7 | 7.3 |
| 5 | 2 | 1 | 0.8 | 1 | 0.9 | 1.1 | 1 | 0.9 | 0.8 | 1.1 | −10 | −10 | −10 | −10 | −10 | 2.4 | 3.5 | 3.5 | 3.6 | 3.6 |
| Group | Natural Sample | +Quicklime | +Cement | ||||
|---|---|---|---|---|---|---|---|
| /% | 0 | 5 | 6 | 7 | 3 | 5 | 7 |
| k | 203.97 | 215.62 | 235.62 | 294.62 | 597.82 | 661.03 | 490.04 |
| θ | −0.0498 | −0.0301 | −0.0234 | −0.0381 | −0.0237 | −0.02658 | −0.00475 |
| σd,f/kPa | 66.17 | 123.84 | 153.10 | 146.03 | 386.30 | 417.00 | 448.99 |
| R | 0.9601 | 0.9623 | 0.9247 | 0.9748 | 0.9573 | 0.9488 | 0.9378 |
Publisher’s Note: MDPI stays neutral with regard to jurisdictional claims in published maps and institutional affiliations. |
© 2022 by the authors. Licensee MDPI, Basel, Switzerland. This article is an open access article distributed under the terms and conditions of the Creative Commons Attribution (CC BY) license (https://creativecommons.org/licenses/by/4.0/).
Share and Cite
Hu, P.; Guo, W.; Wei, L. Applicability Study on Modified Argillaceous Slate as Subgrade Filling for High-Speed Railway. Appl. Sci. 2022, 12, 2227. https://doi.org/10.3390/app12042227
Hu P, Guo W, Wei L. Applicability Study on Modified Argillaceous Slate as Subgrade Filling for High-Speed Railway. Applied Sciences. 2022; 12(4):2227. https://doi.org/10.3390/app12042227
Chicago/Turabian StyleHu, Ping, Wei Guo, and Limin Wei. 2022. "Applicability Study on Modified Argillaceous Slate as Subgrade Filling for High-Speed Railway" Applied Sciences 12, no. 4: 2227. https://doi.org/10.3390/app12042227
APA StyleHu, P., Guo, W., & Wei, L. (2022). Applicability Study on Modified Argillaceous Slate as Subgrade Filling for High-Speed Railway. Applied Sciences, 12(4), 2227. https://doi.org/10.3390/app12042227
