Featured Application
For a steel plate–concrete composite structure with only tie-bars, the minimum shear connection ratio could be important for improving the seismic performance of a steel plate–concrete composite structure under out-of-plane cyclic loading.
Abstract
The failure modes of tie-bars under monotonic loading and cyclic loading are ductility and brittleness, respectively. They can significantly affect the design for tie-bars in a steel plate–concrete (SC) composite structure. A 3D finite element model of a SC composite beam was developed and verified through a quasi-static test. Two rules on the interfacial shear distribution were deduced and verified. Then, a total of 188 finite element models were developed to investigate the minimum shear connection ratio of tie-bars in SC composite beams, which can ensure the sufficient energy dissipation capacity of a SC composite beam under out-of-plane cyclic loading. The influences of the shear connection ratio, shear span versus depth ratio, stiffness, and number of tie-bars on the seismic behavior of a SC composite beam were investigated. Finally, a design method for tie-bars in the SC composite beam under out-of-plane cyclic loading was proposed.
1. Introduction
In a steel–concrete composite structure, the interfacial shear distribution of ductile shear connectors, for example, studs, was usually assumed to be uniform between the maximum bending moment and zero bending moment for the sake of convenience in construction [1,2,3]. The ratio of the number of shear connectors provided to the number of shear connectors calculated is called the shear connection ratio (γ). When γ reaches 1.0, it means the total of shear capacities of the shear connectors is equal to the smaller value between the yield capacity of the steel beam and compressive capacity of the concrete plate, and it is called full shear connection.
In the 1990s, the steel plate–concrete (SC) composite structure was developed by Tomlinson et al. [4], which was used in submerged tube tunnels. A SC composite structure includes two thin steel plates, concrete core, and connectors. Due to the modular construction, eliminating formwork, and superior mechanical properties, the SC composite structure is widely used in high-rise buildings, nuclear power plants, bridges, tunnels, cargo tanks, hulls, and offshore oil platforms. For the SC composite structure, the γ is also an important index. Wright et al. [5,6] carried out an experimental study on the flexural behavior of SC composite beams with long studs and short studs; the experimental results indicated that when the γ is close to 2, the flexural capacities of SC composite beams can reach the theoretical value at the state of yield of the tensile steel plate. Wright et al. conjectured that the cracks and partial crush of concrete at the bottom weaken the shear capacities of studs, so the shear capacities of studs should be decreased by 50%. Zhao and Nie [7] investigated the flexural behavior of SC composite beams with one steel plate subjected to monotonic loading. The experimental results indicated that, when γ reaches 1.6, the bending moment of the SC composite beam can reach the theoretical value. Roberts et al. [8,9] measured the interfacial shear and interfacial shear slip in SC composite beams with studs. The experimental results indicated that the interfacial shear and interfacial shear slip at the middle are almost neglected, and they are significantly higher at the end. The phenomena were also verified in other research works [10,11]. Currently, in two specifications, AISC/ANSI N690s-15 [3] and JEAC 4618-2009 [2], the design for shear connectors in SC composite beams are stipulated. In JEAC 4618-2009, the interfacial shear distribution of shear connectors is also assumed to be uniform. In AISC/ANSI-N690s-15, the shear connectors should be divided into ductile shear connectors and nonductile shear connectors. For ductile shear connectors, the interfacial shear distribution can be assumed to be uniform, and for nonductile shear connectors, the interfacial shear distribution can be assumed to be triangular.
The authors carried out push-out tests to investigate the shear behavior of tie-bars and studs under monotonic and cyclic loadings [12,13]. They showed that the failure mode of tie-bars under monotonic and cyclic loadings are ductility and brittleness, respectively. The shear capacities and ultimate shear slip of tie-bars under cyclic loading are far below those under monotonic loading. In addition, tie-bars in a SC composite structure not only offer interfacial shear between the steel plate and concrete, similar to studs, but also improve the out-of-plane shear capacity of the SC composite structure, like stirrups in a reinforced concrete beam. The author investigated the influence of axial tension on the shear capacities of tie-bars under cyclic loading and proposed a formula for calculating the relationship between shear capacities and the tensile capacities of tie-bars [14].
The extensive research works focused on the seismic behavior of the SC composite wall under in-plane cyclic loading; several research studies on the seismic behavior of SC composite beams under out-of-plane cyclic loading were carried out. Cho et al. [15,16] carried out a quasi-static test to compare the flexural behavior of the SC composite beams under out-of-plane cyclic and monotonic loadings. The specimens were fabricated according to the stipulates in JEAC 4618-2009 [2] and KEPIC-SNG [17]. The experimental results showed that the failure mode of SC composite beams under cyclic loading was brittleness, and the load capacities of SC composite beams under cyclic loading were lower than those under monotonic loading. The experimental results indicated that the interfacial slip of studs could significantly affect the flexural behavior of the SC composite beam under out-of-plane cyclic loading. Li et al. [18] compared the flexural behavior of the SC composite beam and RC beam under out-of-plane cyclic loading. After reaching ultimate capacities, the capacities of SC composite beams decreased rapidly. The RC beam shown significant ductility, and the ultimate displacement was far more than that of the SC composite beam. Varma et al. [19] investigated the influence of the number of shear connectors on the seismic behavior of the SC composite beam under out-of-plane cyclic loading. The SC composite beam with sufficient shear connectors had significant ductility, but the SC composite beam with fewer shear connectors had significantly lower ultimate displacement. It indicated that the design method of the shear connectors is crucial for the seismic behavior of the SC composite beam subjected to out-of-plane cyclic loading. Lu et al. [20] compared the flexural behavior between a SC composite beam with 42 tie-bars and a SC composite beam with 42 tie-bars and 56 studs. The experimental results indicated that the interfacial shear distribution can be affected by the shear connection ratio, and the added studs did not significantly improve the ductility and energy dissipation capacity of the SC composite beams under out-of-plane cyclic loading.
It indicated that the design method of shear connectors based on the shear connection ratio can be imperfect for the SC composite beam. Thus, this paper investigated the interfacial shear distribution of SC composite beams under cyclic loading and proposed the design method for tie-bars. Firstly, the finite element model of SC composite beam was developed and verified. Meanwhile, two rules on the interfacial shear distribution of shear connectors are proposed. Secondly, the flexural behavior of SC composite beams with different shear connection ratios was analyzed, including load-displacement curves, internal force, interfacial slip distribution, and interfacial shear distribution. Thirdly, the influences of shear span ratio, shear stiffness, and number of tie-bars on the minimum shear connection ratio of SC composite beam under cyclic loading were investigated. Finally, based on the current research results, the simulation results in this paper, and stipulations in existing codes, the design method for tie-bars in SC composite beams subjected to out-of-plane cyclic loading is proposed.
2. Finite Element Model
2.1. Experimental Overview
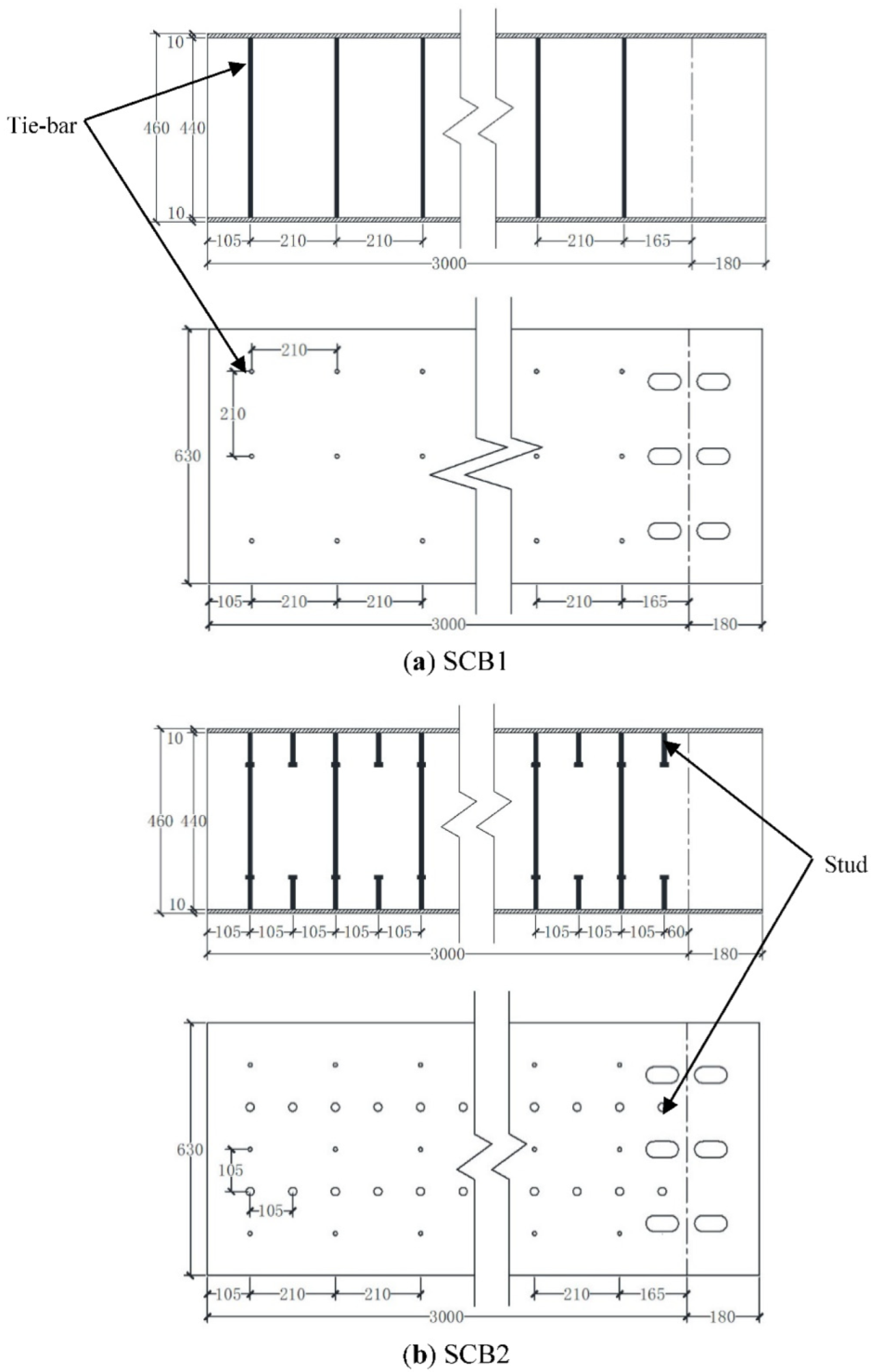
A quasi-static test on the seismic behavior of two SC composite cantilever beams subjected to out-of-plane cyclic loading was carried out by the authors to verify a developed finite element model of the SC composite beam [20]. As shown in Figure 1 and Figure 2, the section of the SC composite beam is 630 mm × 460 mm, the length is 3 m, and the shear span versus depth ratio is 6.67. The space of tie-bars is 210 mm at the longitudinal and transversal directions, and the number of tie-bars is 42. The spaces of studs at the longitudinal and transversal directions are 105 mm and 210 mm, respectively. The number of studs in SCB2 is 112. The materials in two SC composite beams are shown in Table 1. Groove fillet welding was used to connect shear connectors and steel plate. The test setup is shown in Figure 3.
Figure 1.
Specimen details: (a) SCB1; (b) SCB2.
Figure 2.
Placement of tie-bars and studs: (a) SCB1; (b) SCB2.
Table 1.
Properties of materials.
Figure 3.
Test set-up.
2.2. Model Overview
ABAQUS finite element software was used to develop the finite element model of the SC composite beam. The behavior of the concrete was simulated by a solid element (C3D8R); the behavior of the steel plate was simulated by a shell element (S4R); the behavior of the tie-bars and studs in concrete was simulated by a truss element (T3D2); and the interfacial slip of the tie-bars and studs was simulated by a spring element. Tie-bars and studs were embedded in concrete through an embedded function. The interaction between the steel plate and concrete was simulated by a surface-to-surface contact algorithm. The normal behavior was defined through “Hard” contact pressure-overclosure, the tangential behavior was defined through Penalty friction formulation, and the friction coefficient was 0.6.
Due to the symmetries of specimen and loading, the finite element model of half of the SC composite beam was developed. On the symmetry plane, the normal displacement was confined. One end of specimen was fixed, and the other end was free. The cyclic loading was carried out on the free end. The mesh size of the C3D8R element and S4R element was 0.04 m, and the length of the T3D2 element was 0.044 m. The finite element model of SC composite beam is shown in Figure 4.
Figure 4.
Finite element model of SC composite beam.
The constitutive behavior of concrete was simulated by a concrete damaged plasticity (CDP) model. The compressive stress–strain relationship of concrete was calculated based on the following functions proposed by Carreira and Chu [21].
where σc represents the compressive stress of concrete, εc represents the compressive strain of concrete, is the compressive strength of cylindrical concrete, represents the strain corresponding to , which is taken as 0.002, and β is a function of secant modulus. In the CDP model, the dilation angel was assumed as 30°, the flow potential eccentricity was assumed as 0.667, the ratio of the biaxial compressive strength versus uniaxial compressive strength was assumed as 1.16, the eccentricity was assumed as 0.1, and the Poisson’s ratio was assumed as 0.2. The elasticity modulus of concrete was calculated based on the following equation stipulated in ACI-314-14:
where Ec represents elasticity modulus of the concrete. In the quasi-static test, the compressive strength of cube concrete (fcu) and compressive strength of prismatic concrete (fc) were measured. According to the relationship between and fcu, the conversion factor between and fc could be 1.1.
The ultimate tensile strength of the cylindrical concrete () was assumed as 0.1, and the tension behavior of the concrete was calculated based on the stress–fracture energy cracking model. The following equation was used to calculate the fracture energy (Gf), which is stipulated in CEB-FIP [22]:
where af is related to the maximum size of the coarse aggregate, and it can be assumed as 0.3.
The CDP model has two failure mechanisms, including tensile cracking and compressive crushing. Two damage variables, dt and dc, were used to represent the degrees of tensile cracking and compressive crushing. When dt or dc reached 1, the stiffness of the element could be negligible. Birtel and Mark [23] proposed an equation for calculating dc, as shown in the following:
where εp,c represents the concrete plastic strain, bc is the ratio of the concrete plastic strain versus concrete inelastic strain, which could be taken as 0.7. Gopalaratnam and Shahcrack [24] investigated the tensile behavior of plain concrete and proposed an equation for calculating dt, as shown in the following:
where σt represents the tensile stress of concrete.
The stress and strain of steel obtained from standard tensile test are called engineering stress (σeng) and engineering strain (εeng), respectively. In the ABAQUS finite element software, the true stress–strain relationship of steel should be calculated based on the following equations:
where σtrue and εtrue are the true stress and true strain, respectively. In this model, the constitutive behavior of the steel plate and tie-bars were simulated through the elastic–plastic model, which was associated with the von Mises yielding criterion and isotropic hardening law.
The spring element was used to simulate the interfacial shear-slip curves of tie-bars and studs. In this model, the tie-bars and studs in the SC composite beam were subjected to cyclic loading, so the shear-slip skeleton curves of tie-bars and studs obtained from the push–out test under cyclic loading were used to develop the force-displacement curves of the spring elements [12,13,14].
2.3. Model Verification
Figure 5 shows that the load-displacement curves and skeleton curves simulated by ABAQUS finite element software coincide with those in the quasi-static test. It indicated that the finite element model was reasonable and accurate. Then, the interfacial shear distribution of tie-bars in SC composite beam with different shear connection ratio was analyzed.
Figure 5.
Simulation for hysteretic curves and skeleton curves of SC composite beams. (a) Hysteretic curve of SCB1; (b) skeleton curve of SCB1; (c) hysteretic curve of SCB2; (d) skeleton curve of SCB2.
3. Interfacial Shear Distribution of Shear Connectors in Tensile Region of SC Composite Beam
Based on the existing research on the out-of-plane flexural behavior of SC composite beams, the interfacial shear distribution of shear connectors could be divided into three phases: in the first phase, the concrete was uncracked and the shear connector was elastic; in the second phase, the concrete was cracked and the shear connector was elastic; in the third phase, the concrete was cracked and the shear connectors or steel plate yielded. For the sake of simplicity, the following assumptions should be allowed: (1) plane section assumption; (2) ignorance of interfacial friction; (3) infinite axial stiffness of shear connectors at the interface; and (4) neglection of shear deformation. The shear–slip curves of shear connectors and the constitutive model of steel-plate were assumed to be bilinear. The interfacial shear distribution of a cantilever SC composite beam subjected to concentrated load at the free end was investigated, as shown in Figure 6.
Figure 6.
Schematic of cantilever SC composite beam.
According to the research provided by Xia [11] and Kisala [25], when the concrete was uncracked and shear connectors were elastic, the interfacial slip distribution curve of the shear connectors was approximately parabolic. Due to the lower tensile strength of concrete, the interfacial slip in this stage could be very small. The shear connectors were assumed as elastic, so the interfacial shear distribution could be approximately parabolic. Based on the simulation results of the SC composite beam, the interfacial shear distribution of tie-bars in the SC composite beam is measured and shown in Figure 7b.
Figure 7.
Distribution of interfacial shear slip of SC composite beams in the condition that concrete was uncracked.
When the concrete is cracked, the steel plate and shear connectors are still elastic, and the interfacial slip distribution of shear connectors should be trapezoidal due to the occurrence of vertical cracks in concrete. The concrete cracks occurred and widened with the increase in loading. The difference between the reinforced concrete beam and SC composite beam is that the cooperative deformation of concrete and longitudinal rebars in reinforced concrete beam depend on the end anchorage of rebars and the rib on the surface of rebars, and the cooperative deformation of concrete and steel plate in the SC composite beam only relies on shear connectors. Thus, the vertical cracks usually occurred around shear connectors. The authors conjectured that the slip of shear connectors was approximately equal to the summation of the width of cracks between the shear connector and the fixed end. Thus, the interfacial slip distribution of the shear connectors could be trapezoidal, and the turning point was close to the farthest crack, as shown in Figure 8. The shear connectors were assumed to be elastic, so the interfacial shear distribution could be approximately trapezoidal. With the increase in loading, the width and number of cracks increased, and the location of the latest crack was further from the fixed end. According to the simulation results, the interfacial shear distribution of tie-bars in the SC composite beam is measured and shown in Figure 8b.
Figure 8.
Distribution of interfacial shear slip of SC composite beams in the condition that concrete was uncracked. (a) Theoretical model; (b) simulation results.
Based on the interfacial shear slip distribution, bilinear shear–slip curves of shear connectors, and bilinear constitutive model of the steel plate, when all the shear connectors were yield or the tensile steel plate was yield, the shear connection degree could be divided into three levels: low, middle, and high. For the low level, before the tensile steel plate was yield, all the shear connectors were firstly yield. For the middle level, before the tensile steel plate was yield, some shear connectors were yield. For the high level, before the first shear connector was yield, the tensile steel plate was yield. In the next section, the flexural behavior of the SC composite beam with different level shear connection degrees was simulated and analyzed.
4. Out-of-Plane Flexural Behavior of SC Composite Beams with Different Shear Connection Ratios
The influence of the shear connection ratio on the out-of-plane flexural behavior of 3 m long SC composite beams was investigated. In this paper, six SC composite beam finite element models with 0.5, 0.7, 1.0, 1.3, 1.7 and 2.0 shear connection ratio were developed. The low shear connection ratio includes 0.5 and 0.7, the middle shear connection ratio includes 1.0 and 1.3, and the high shear connection ratio includes 1.7 and 2.0. The space of tie-bars in six SC composite beams was constant, 210 mm, and the shear capacities of tie-bars in each SC composite beam were calculated. According to the research on the shear behavior of tie-bars under cyclic loading carried out by the authors, the mean shear stiffness could be assumed as 40 kN/mm [12]. The force displacement of tie-bars was assumed to be linear. The parameters of tie-bars in six SC composite beams are shown in Table 2.
Table 2.
Parameters of tie-bars in SC composite beam under monotonic loadings.
The sensitivity analysis of the shear span versus depth ratio, number, and stiffness of tie-bars on the interfacial shear distribution of SC composite beams is investigated in Section 4.
4.1. Load-Displacement Curves
The load-displacement curves of six SC composite beams with different shear connection ratios are shown in Figure 9. The load corresponding to the theoretical flexural capacity of the SC composite beam with the yield tensile steel plate is 315 kN, which was determined according to equations for calculating the bending moment of a doubly reinforced concrete beam stipulated in GB 50010-2010. For low shear connection ratio, the ultimate capacity of SC composite beams with 0.7 shear connection ratio is 193.0 kN, which is far below the theoretical value. The displacement corresponding to ultimate capacity is 33 mm. As shown in Figure 9a,b, the load-displacement curves of SC composite beams with low shear connection ratios are approximately linear.

Figure 9.
Load-displacement curves of SC composite beams with different shear connection ratios.
When the shear connection ratio reaches 1.3, a short plateau occurs in the load-displacement curve. The yield capacity is 314.5 kN, which is close to the theoretical value, and the displacement corresponding to the yield capacity is 50 mm. The ultimate capacity is 323.4 kN, the displacement corresponding to ultimate capacity is 67 mm, and the ductility could be 1.32. It could be due to the uneven interfacial shear distribution, the ultimate capacity of the SC composite beam with a 1.0 shear connection ratio is lower than 315 kN. The load-displacement curves of SC composite beams with middle shear connection ratios are variable, as shown in Figure 9c,d.
When the shear connection ratio reaches 2.0, a significant plateau occurs in the load-displacement curve. The yield capacity is 317.5 kN, and the displacement corresponding to yield capacity is still 50 mm. The ultimate capacity is 367.8 kN, the displacement corresponding to ultimate capacity is 165 mm, and the ductility can be 3.3. The yield capacities and yield displacements of SC composite beam with 1.7 shear connection ratio are similar with those of a SC composite beam with a 2.0 shear connection ratio. The load-displacement curves of SC composite beams with high shear connection ratios are stable and full, as shown in Figure 9e,f. The most economic shear connection ratio could be between 1.3 and 1.7 for a SC composite beam with a 6.67 shear span versus depth ratio.
4.2. Internal Force of Steel Plate and Concrete vs. Displacement
The internal force-displacement curves of SC composite beams with different shear connection ratios are shown in Figure 10. The internal forces of two steel plates and core concrete at the fixed end increase with the increase in displacement. Meanwhile, for a low shear connection ratio and middle shear connection ratio, the maximum internal force of the steel plate increases with the increase in the shear connection ratio. For SC composite beams with a 0.7 shear connection ratio, when the SC composite beams reach ultimate capacity, the maximum tension of the tensile steel plate is 1295.8 kN, which is also lower than the yield tensile capacity of the steel plate (2107 kN). The compression of compressive concrete is 894.7 kN, and the compression of compressive steel plate is 534.4 kN. For the SC composite beam with a low shear connection ratio, the tensile steel plate could not yield before the SC composite beam fractured.
Figure 10.
Internal force-displacement curves of SC composite beams with different shear connection ratio.
For the SC composite beam with a 1.3 shear connection ratio, when the SC composite beam reaches yield capacity, the tension of the tensile steel plate is 1943.4 kN, which is slightly lower than the yield tensile capacity of the steel plate. When the SC composite beam reaches ultimate capacity, the compression of the compressive concrete is 1404.1 kN, and the compression of the compressive steel plate is 911.6 kN. Meanwhile, the tension of the tensile steel plate is 2224.0 kN, which is slightly higher than the yield tensile capacity of the steel plate. However, for the SC composite with a 1.0 shear connection ratio, the ultimate tension of tensile steel plate is 1733.4 kN, which is slightly lower than the yield tensile capacity of the steel plate. For the SC composite beam with a middle shear connection ratio, the tensile steel plate could reach the yield tensile capacity of the steel plate before the SC composite beam fractures, but the ductility could be neglected.
For the SC composite beam with a 2.0 shear connection ratio, when SC composite beam reaches yield capacity, the tension of tensile steel plate is 2150.6 kN, which is higher than the yield tensile capacity of the steel plate. The compression of the compressive concrete is 1435.3 kN, and the compression of the compressive steel plate is 932.4 kN, which are similar to those of the SC composite beam with a 1.3 shear connection ratio. When the SC composite beam reaches ultimate capacity, the tension of the tensile steel plate slightly reaches 2281.1 kN. The internal force of the steel plate and concrete in the SC composite beam with a 1.7 shear connection ratio is slightly lower than those in the SC composite beam with a 2.0 shear connection ratio. For the SC composite beam with a high shear connection ratio, the tensile steel plate could reach the yield tensile capacity of the steel plate when the SC composite beam reached yield capacity. In addition, the compression of the steel plate decreases due to the neutral axis moving up. The author conjectured that when SC composite beam reaches yield capacity and the tensile steel plate reaches yield tensile capacity, the shear connector ratio could be the most economic.
4.3. V/Vu
V represents the interfacial shear of the tie-bar, and Vu represents the shear capacity of the tie-bar. The V/Vu versus displacement curves of the SC composite beams with different shear connection ratios are shown in Figure 11. The ratio of V versus Vu increases with the increase in displacement, and the uneven degree of interfacial shear distribution increases with the increase in the shear connection ratio.

Figure 11.
V/Vu—displacement curves of SC composite beams with different shear connection ratios.
For the SC composite beam with a 0.5 shear connection ratio, when the tie-bar fractures, the V of the tie-bar decreases rapidly. When the SC composite beam reaches ultimate displacement, the V/Vu versus displacement curve is approximately trapezoidal. The V of the first five rows of tie-bars increases significantly with the increase in span. The other tie-bars have similar interfacial shear force. For the SC composite beam with a 0.7 shear connection ratio, the V of the first three rows of tie-bars increases significantly with the increase in span. For the SC composite beam with a low shear connection ratio, the V of the tie-bars close to the maximum bending moment could be significantly lower than the Vu of tie-bars due to the limitation of interfacial slip. Meanwhile, the V of the tie-bars far away from the maximum bending moment could prematurely reach Vu.
For the SC composite beam with 1.0 shear connection ratio, the V/Vu versus displacement curve is also approximately trapezoidal. However, for the SC composite beam with a 1.3 shear connection ratio, the V/Vu versus displacement curve is approximately bilinear, and the V of the first five rows of tie-bars increases significantly with the increase in span. The V of the tie-bars far away from the fixed end increases slightly with the increase in span. For the middle shear connection ratio, the V/Vu versus displacement curves are significantly variable. Meanwhile, the V of tie-bars close to the maximum bending moment are also significantly lower than the Vu of the tie-bars.
For the SC composite beam with a 1.7 shear connection ratio, the V/Vu versus displacement curve could be divided into three parts. In the first part, close to the fixed end, the V of the tie-bars increases significantly with the increase in span. In the second part, at the middle of the SC composite beam, the V of the tie-bars increases slightly with the increase in span. In the third part, close to the free end, the V of the tie-bars increases rapidly with the increase in span, which could be due to the influence of concentrated loading. The V/Vu versus displacement curve in the first part and the second part is approximately parabolic, which is similar to that of the SC composite beam with a 2.0 shear connection ratio. For a high shear connection ratio, the V of most tie-bars are lower than Vu, and the uneven degree of interfacial shear distribution is more significant.
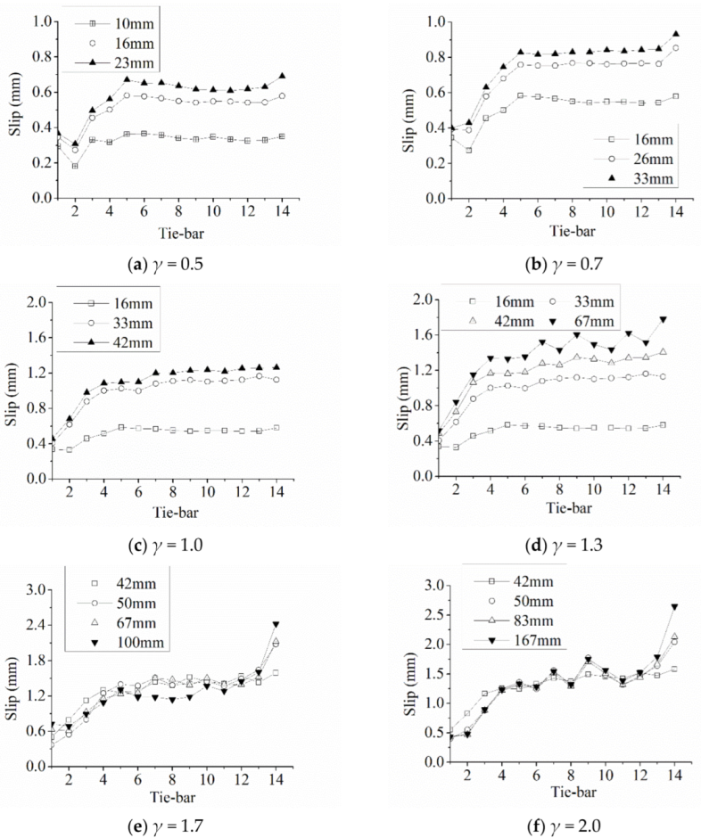
4.4. Slip
The interfacial shear slip distribution curves of tie-bars of SC composite beams with different shear connection ratios are shown in Figure 12. The shapes of interfacial slip distribution curves are similar to V/Vu versus displacement curves, which could be due to the brittle fracture of tie-bars under cyclic loading. For a low shear connection ratio, the interfacial slip distribution curves of the tie-bars are approximately trapezoidal, and the slip of tie-bars close to the maximum bending moment could be significantly lower than ultimate slip of the tie-bars. Meanwhile, the slip of tie-bars far away from the maximum bending moment could reach the ultimate slip. For the middle shear connection ratio, the interfacial shear slip distribution curves are significantly variable. The shape of curves changes from trapezoidal to bilinear. For a high shear connection ratio, the interfacial shear slip distribution curve could be also divided into three parts. In the first part, close to the fixed end, the slip of the tie-bar increases significantly with the increase in span. In the second part, at the middle of the SC composite beam, the slip of the tie-bar increases slightly with the increase in span. In the third part, close to the free end, the slip of the tie-bar increases rapidly with the increase in span. The interfacial shear slip distribution curves in the first two parts are approximately parabolic.
Figure 12.
Interfacial shear slip distribution curves of SC composite beams with different shear connection ratio.
4.5. The Minimum Shear Connection Ratio
The flexural behavior of the SC composite beam could mainly depend on the tension of the steel plate and the interfacial shear of tie-bars. The shear behavior of tie-bars under cyclic loading are brittle, which significantly affects the flexural behavior of the SC composite beam. For determining the lowest shear connection ratio of SC composite beams subjected to out-of-plane cyclic loading, the flexural behavior of SC composite beams with different shear connection ratios from 1.30~1.60 were investigated.
Figure 13a shows the tension of the steel plate versus the displacement curves of the SC composite beams. It indicates that the ultimate tension of the steel plate and the ultimate displacement increase with the increase in the shear connection ratio. Figure 13b shows the interfacial shear slip distribution when the tensile steel plate was yield. The minimum shear connection ratio is when the tensile steel plate was yield and the SC composite beam reached theoretical value. According to the simulation results, the minimum shear connection ratio of the SC composite beam with a 6.67 shear span ratio is 1.55. Table 3 shows the tension of the tensile steel plate at yield displacement and ultimate displacement as well as the ductile coefficient of SC composite beams with different shear connection ratios. The ductile coefficient of the SC composite beam with 1.55 shear connection ratio reaches 1.83, which indicates that the SC composite beam subjected to cyclic loading has good ductility and seismic performance.
Figure 13.
Behavior of SC composite beam (γ = 1.30~1.60). (a) Tension of steel plate versus displacement; (b) institution of shear slip of tie-bars when tensile steel plate was yield.
Table 3.
Tension of tensile steel plate in SC composite beam under cyclic loadings.
5. Parameter Analysis
Because the minimum shear connection ratio of the SC composite beam under cyclic loading was the focus of this paper, in this section, the influences of the shear span versus depth ratio, stiffness of the tie-bar, and number of tie-bars on the minimum shear connection ratio were investigated. The parameter analysis was based on 175 developed finite element models of SC composite beams: every five developed finite element models could determine one minimum shear connection ratio.
5.1. The Influence of Shear Span vs. Depth Ratio of SC Composite Beam
Based on the developed finite element models, the influence of the shear span versus depth ratio (λ) on the minimum shear connection ratio of the SC composite beam under cyclic loading was investigated. The shear span versus depth ratio of four SC composite beams varied from 3.33 to 6.67. For each SC composite beam, the minimum shear connection ratio could be determined by the same assumption, i.e., the plastic strain occurs in tensile steel plate when the SC composite beam reached yield capacity. After simulation, the minimum shear connection ratios of the SC composite beams with 3.33, 4.44, 5.56, and 6.67 shear span versus depth ratio are 1.70, 1.60, 1.55, and 1.55, respectively.
5.2. The Influence of Stiffness of Tie-Bar
Because the stiffness of tie-bars in the previous developed finite element models of SC composite beams was assumed to be 40 kN/mm, the influence of the stiffness of the tie-bar on the minimum shear connection ratio should be investigated. The stiffness of tie-bars varied from 50% to 150% of the initial stiffness. For four SC composite beams with different shear span versus depth ratios, the changes in minimum shear connection ratio are shown in Figure 14a. It is shown that the influence of the stiffness of the tie-bars on the minimum shear connection ratio of the SC composite beams could be negligible. Therefore, the previous investigation in this paper was accurate and reasonable.
Figure 14.
Parameter analysis on minimum shear connection ratio.
5.3. The Influence of Number of Tie-Bars
Because the number of tie-bars in the SC composite beams was constant, i.e., 14, the influence of the number of tie-bars on the minimum shear connection ratio should be investigated. The space of tie-bars varied from 1/4 to 3/4 h, and the number of tie-bars varied from 4 to 28 for four SC composite beams with different shear span versus depth ratios. The changes in minimum shear connection ratio are shown in Figure 14b. It is shown that the minimum shear connection ratio of the SC composite beam decreases with the increase in the number of tie-bars. Meanwhile, the influence of the number of tie-bars on the minimum shear connection ratio of SC composite beams with more than 10 tie-bars could be negligible. Therefore, the minimum number of tie-bars in the SC composite beam between the maximum bending moment and zero bending moment was suggested as 10.
6. Design Method for Tie-Bars in SC Composite Beam under Cyclic Loading
Based on the existing research on the design of shear connectors in a SC composite structure, a new design method of tie-bars in the SC composite beam under cyclic loading was proposed. For the SC composite beam, H represents the total thickness, Hc represents the thickness of concrete, B represents the width, sL represents the longitudinal space of the tie-bar, and sT represents the transversal space of tie-bars. It is assumed that the interfacial shear and tension in the oblique section could be offered by tie-bars. The diameter and tensile strength of the tie-bar are assumed to be known, and thus, the tension capacity of the tie-bar could be calculated. The shear capacity of tie-bar under cyclic loading could be determined through the push-out test due to the absence of experimental results. The relationship between the tension capacity and shear capacity of tie-bars could be determined based on the existing research carried out by the authors [14]. The formula is shown in the following:
where T is the tension of the tie-bar, and Tu is the tensile capacity of the tie-bar. The number, longitudinal space, and transversal space of tie-bar should be designed. The longitudinal space of tie-bars should be less than half of the height of the concrete, and less than 40 times the thickness of the steel plate. The number of tie-bars in the SC composite structure between the maximum bending moment and zero bending moment could be no less than 10. In addition, the tie-bars should satisfy the remand of the lowest reinforcement ratio (ρt,min) [26]. The formula is shown in the following:
V/Vu + T/Tu = 1.0
The steps of the design method for tie-bars in the SC composite beam subjected to out-of-plane cyclic loading are shown in the following:
- (1)
- According to the yield tensile capacity of steel plate and space between two steel plates, the theoretical value of the flexural capacity of the SC composite beam could be calculated. Then, the yield tensile capacity of steel plate (Fy,s) could be determined.
- (2)
- It is assumed that the concrete firstly offers oblique section shear, and the tie–bars offer oblique section tension secondly. Based on the formula in AISC/ANSCI N690s-15, the tension of tie-bars could be calculated. The formula is shown in the following:where Vno is the out-of-plane shear, Vconc is the out-of-plane shear contribution from the concrete, Vs is the out-of-plane shear contribution from the shear reinforcement, i.e., tie-bar, φ = 1.0 for yielding shear reinforcement, and φ = 0.5 for nonyielding shear reinforcement.
- (3)
- According to the simulation results, the minimum shear connection ratio (γmin) of the SC composite beam with different shear span versus depth ratio could be calculated based on linear interpolation. When λ is less than 3.33, the minimum shear connection ratio could be 1.7; and when λ is more than 6.67, the minimum shear connection ratio could be 1.55. The first estimation of the number of tie-bars should be calculated by the formula,
- (4)
- The longitudinal space and transversal space of tie-bars could be determined. Meanwhile, the demands about the space of tie–bars should be satisfied.
- (5)
- Verify the lowest reinforcement ratio (ρt,min). If not satisfied, increase the number of tie-bars or increase the section area of tie-bars.
- (6)
- Calculate the tension of tie-bars by the formula . Qs is the out-of-plane shear. Then, according to Equation (9), calculate the reduced shear capacities of the tie-bars (Vu,d). The second estimation of the number of tie-bars should be calculated by the formula,
- (7)
- If the number of tie-bars is not enough, increase the number of tie-bars or increase the section area of tie-bars and go back to (2). If satisfied, it is finished.
According to the proposed design method, two finite element models of SC composite beams with 16 mm diameter tie-bars and 18 mm diameter tie-bars were developed, respectively. The load–slip curves of 16 mm diameter tie-bars and 18 mm diameter tie-bars were determined according to the experimental results carried out by Zhai et al. [12]. After simulation, the load-displacement curves and skeleton curves of the two SC composite beams are shown in Figure 15. It indicates the accuracy and reasonability of the proposed design method for designing tie-bars in a SC composite beam under out-of-plane cyclic loading.
Figure 15.
Load-displacement curves of SC composite beams with different diameter tie-bars. (a) 16 mm diameter tie-bar; (b) 18 mm diameter tie-bar.
7. Conclusions
The finite element model of the SC composite beam was developed and verified through a quasi-static test. Two interfacial shear distribution rules and three shear connection ratio levels were proposed. The load-displacement curves, internal force of steel plate and concrete, interfacial shear distribution, and interfacial shear slip distribution of six 3 m long SC composite beams with different shear connection ratios subjected to out-of-plane cyclic loadings were investigated. Based on the simulation results, the definition of minimum shear connection ratio was proposed. Then, 175 SC composite beam finite element models were developed to study the influence of shear span versus depth ratio, the stiffness of the tie-bar, and the number of tie-bars on the minimum shear connection ratio. Finally, a design method for tie-bars in SC composite beams subjected to out-of-plane cyclic loading was developed. The main findings are shown in the following:
- (1)
- The SC composite beam finite element model was developed and verified, and the load–displacement curves from the simulation result coincided well with those from the experimental result. It indicates that the simulation results were accurate and reasonable.
- (2)
- Two interfacial shear distribution rules were proposed based on the existing research and verified through the simulation results of the SC composite beam. Three shear connection ratio levels, i.e., low shear connection ratio, middle shear connection ratio, and high shear connection ratio, were proposed, which were determined based on the yield tensile capacity of the steel plate and the shear capacities of the whole tie-bars at the interface.
- (3)
- Six SC composite beam finite element models were developed to investigate the influence of the shear connection ratio on the interfacial shear distribution of the SC composite beam. According to the simulation results, the definition of the minimum shear connection ratio was proposed, which indicated that the tension of the tensile steel plate should reach the yield tensile capacity when the SC composite beam reached yield capacity.
- (4)
- The minimum shear connection ratio of the SC composite beam decreased with the increase in shear span versus depth ratio; the influence of the stiffness of the tie-bars varied from 50% to 150% of initial stiffness on the minimum shear connection ratio and could be neglected; the number of tie-bars also significantly affected the minimum shear connection ratio when the number of tie-bars was less than 10, but the influence could be negligible when the number of tie-bars was more than 10.
- (5)
- A design method of tie-bars in the SC composite beam subjected to out-of-plane cyclic loading was proposed based on the simulation results, existing research, and existing specifications. According to the simulation results, the proposed design method is accurate and reasonable.
Author Contributions
Conceptualization, B.L.; methodology, B.L. and C.L. (Cuihua Li); software, B.L. and C.L. (Cong Liu); validation, C.L. (Cong Liu); formal analysis, B.L.; investigation, B.L.; resources, B.L. and C.L. (Cong Liu); data curation, B.L.; writing—original draft preparation, B.L.; writing—review and editing, B.L.; visualization, B.L.; supervision, L.G.; project administration, L.G.; funding acquisition, B.L. and C.L. (Cuihua Li). All authors have read and agreed to the published version of the manuscript.
Funding
This research was funded by Scientific Research Fund of Institute of Engineering Mechanics, China Earthquake Administration, grant number: 2021D34; National Natural Science Foundation of China, grant number 51825801, 51878432, and 51908504; School Natural Science Foundation of Suzhou University of Science and Technology, grant number XKZ2020012.
Institutional Review Board Statement
Not applicable.
Informed Consent Statement
Informed consent was obtained from all subjects involved in the study.
Data Availability Statement
Not applicable.
Conflicts of Interest
The authors declare no conflict of interest. The funders had no role in the design of the study; in the collection, analyses, or interpretation of data; in the writing of the manuscript, or in the decision to publish the results.
References
- GB 50017-2017Standard for Design of Steel Strutures, China Architecture & Building Press: Beijing, China, 2017.
- JEAC 4618-2009Technical Code for Seismic Design of Steel Plate Reinforced Concrete Structures: Building and Structures, Japan Electric Association Code: Tokyo, Japan, 2009.
- AISC/ANSI N690-15Specification for Safety-Related Steel Structures for Nuclear Facilities, AISC/ANSI: Chicago, IL, USA, 2015.
- Tomlinson, M.J.; Tomlinson, A.; Li Chapman, M.; Jefferson, A.D.; Wright, H.D. Shell composite construction for shallow draft immersed tube tunnels. In Immersed Tunnel Techniques; Thomas Telford Publishing: Manchester, UK, 1989. [Google Scholar]
- Wright, H.; Oduyemi, T.; Evans, H. The design of double skin composite elements. J. Constr. Steel Res. 1991, 19, 111–132. [Google Scholar] [CrossRef]
- Wright, H.D.; Oduyemi, T.O.S.; Evans, H.R. The experimental behavior of double skin composite elements. J. Constr. Steel Res. 1991, 19, 97–110. [Google Scholar] [CrossRef]
- Zhao, J.; Nie, G. Nonlinear finite element analysis of steel plate-concrete composite beams. Eng. Mech. 2009, 26, 105–112. [Google Scholar]
- Roberts, T.M.; Edwards, D.N.; Narayanan, R. Testing and analysis of steel-concrete-steel sandwich beams. J. Constr. Steel Res. 1996, 38, 257–279. [Google Scholar] [CrossRef]
- Roberts, T.M.; Dogan, O. Fatigue of welded stud shear connectors in steel—Concrete-steel sandwich beams. J. Con-Structional Steel Res. 1998, 45, 301–320. [Google Scholar] [CrossRef]
- Dogan, O.; Roberts, T.M. Comparison of experimental internal forces with full and partial interaction theories in steel-concrete-steel sandwich beams. Int. J. Phys. Sci. 2010, 5, 2322–2334. [Google Scholar]
- Xia, P. The Study on the Mechanical Properties and Failure Mechanism of Steel-Concrete-Steel Composite Beam; Harbin Institute of Engineering: Hrbin, China, 2012. [Google Scholar]
- Zhai, C.; Lu, B.; Wen, W.; Ji, D.; Xie, L. Experimental study on shear behavior of tie-bars in steel-plate concrete composite structure subjected to cyclic loading. Eng. Struct. 2018, 163, 311–322. [Google Scholar] [CrossRef]
- Zhai, C.; Lu, B.; Wen, W.; Ji, D.; Xie, L. Experimental study on shear behavior of studs under monotonic and cyclic loadings. J. Constr. Steel Res. 2018, 151, 1–11. [Google Scholar] [CrossRef]
- Bing, L.; Changhai, Z.; Shuang, L.; Weiping, W. Predicting ultimate shear capacities of shear connectors under monotonic and cyclic loading. Thin-Walled Struct. 2019, 141, 16. [Google Scholar]
- Sung-Gook, C.; Gi-Hwan, S.; Doo-Kie, K.; Min-Ho, K. Experimental investigation of the lateral load capacity and strength characteristics of a steel plate concrete (SC) shear wall. J. Earthq. Eng. Soc. Korea 2012, 16, 10. [Google Scholar]
- Cho, S.G.; Park, W.-K.; So, G.-H.; Yi, S.-T.; Kim, D. Seismic capacity estimation of Steel Plate Concrete (SC) shear wall specimens by nonlinear static analyses. KSCE J. Civ. Eng. 2014, 19, 698–709. [Google Scholar] [CrossRef]
- KEPIC–SNG. Specification for Safety-Related Steel Plate Concrete Structures for Nuclear Facilities; Korea Electric: Naju-si, Korea, 2010. [Google Scholar]
- Li, X.H.; Li, X.J. Steel plates and concrete filled composite shear walls related nuclear structural engineering: Experimental study for out-of-plane cyclic loading. Nucl. Eng. Des. 2017, 315, 144–154. [Google Scholar] [CrossRef]
- Sener, K.C.; Varma, A.H.; Bradt, T. Cyclic Out-of-Plane Behavior of SC composite Structures; SMiRT: Busan, Korea, 2017. [Google Scholar]
- Lu, B.; Zhai, C.H.; Li, S.; Ji, D.F.; Lu, X.B. Influence of brittle shear fracture of shear connectors on the seismic behavior of SC composite beams. Int. J. Steel Struct. 2020, 168, 17. [Google Scholar]
- Carreira, D.J.; Chu, K.H. Stress-strain Relationship for Plain Concrete in Compression. J. Am. Concr. Inst. 1985, 82, 797–804. [Google Scholar]
- CEB-FIP. Model Code 2010; International Federation for Structural Concrete (fib): Langusanne, Switzerland, 2010. [Google Scholar]
- Birtel, V.; Mark, P. Parameterised Finite Element Modelling of RC Beam Shear Failure. In Proceedings of the ABAQUS User’s Conference, Boston, MA, USA, 23–25 May 2006. [Google Scholar]
- Gopalaratnam, V.S.; Shah, S.P. Softening Response of Plain Concrete in Direct Tension. J. Am. Concr. Inst. 1985, 82, 310–323. [Google Scholar]
- Kisała, D.; Furtak, K. The Assessment of the Slip Influence on the Deflection of the Steel Plate-Concrete Composite Beams. Arch. Civ. Eng. 2016, 62, 59–76. [Google Scholar] [CrossRef]
- Qin, F.; Tan, S.; Yan, J.; Li, M.; Mo, Y.L.; Fan, F. Minimum shear reinforcement ratio of steel plate concrete beams. Mater. Struct. 2015, 49, 3927–3944. [Google Scholar] [CrossRef]
Publisher’s Note: MDPI stays neutral with regard to jurisdictional claims in published maps and institutional affiliations. |
© 2022 by the authors. Licensee MDPI, Basel, Switzerland. This article is an open access article distributed under the terms and conditions of the Creative Commons Attribution (CC BY) license (https://creativecommons.org/licenses/by/4.0/).