Exploring the Age Effects on European Portuguese Vowel Production: An Ultrasound Study
Abstract
1. Introduction
1.1. Background
1.1.1. Aging Effects on the Articulatory Subsystem
1.1.2. Articulatory Studies of Age Effects
1.1.3. Ultrasound Imaging of Speech
2. Materials and Methods
2.1. Participants
2.2. Corpus
2.3. Data Acquisition
2.4. Data Processing
2.5. Articulatory Measures and Normalization
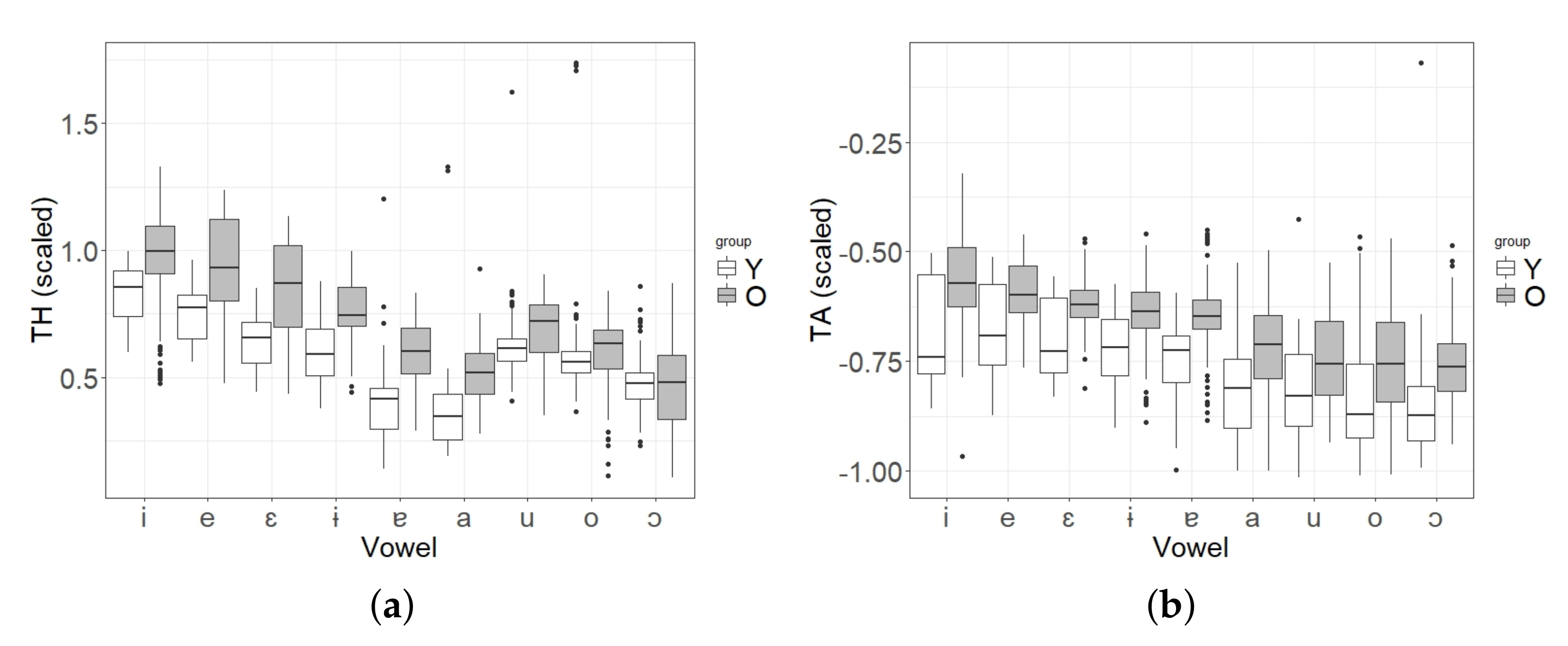
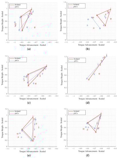
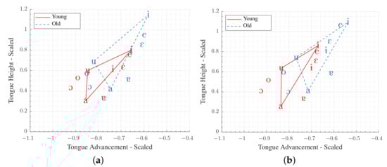
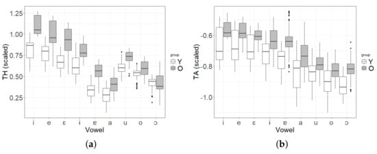
3. Results
4. Discussion
5. Conclusions
Author Contributions
Funding
Institutional Review Board Statement
Informed Consent Statement
Acknowledgments
Conflicts of Interest
Appendix A. TA and TH Scaled Measures Obtained of All Tongue Contours without Any Manual Verification

References
- Hermes, A.; Mertens, J.; Mücke, D. Age-Related Effects on Sensorimotor Control of Speech Production. In Proceedings of the Interspeech, Hyderabad, India, 2–6 September 2018; pp. 1526–1530. [Google Scholar]
- Makiyama, K.; Hirano, S. Aging Voice; Springer: Singapore, 2017. [Google Scholar]
- Massimo, P.; Elisa, P. Age and Rhtymic Variations: A Study on Italian. In Proceedings of the Interspeech, Sinngapore, 14–18 September 2014; pp. 1234–1237. [Google Scholar]
- Linville, S.E. Vocal Aging; Singular Thomson Learning: San Diego, CA, USA, 2001. [Google Scholar]
- Schötz, S. Perception, Analysis and Synthesis of Speaker Age. In Linguistics and Phonetics; Lund University: Lund, Sweden, 2006; Volume 47. [Google Scholar]
- Goozée, J.; Stephenson, D.; Murdoch, B.; Darnell, R.; Lapointe, L. Lingual kinematic strategies used to increase speech rate: Comparison between younger and older adults. Clin. Linguist. Phon. 2005, 19, 319–334. [Google Scholar] [CrossRef]
- Vipperla, R.; Renals, S.; Frankel, J. Ageing voices: The effect of changes in voice parameters on ASR performance. Eurasip Aud. Speech Music. Process 2010, 2010, 525783. [Google Scholar] [CrossRef]
- McDougall, K.; Nolan, F. Discrimination of speakers using the formant dynamics of /u:/ in British English. In Proceedings of the International Congress of Phonetic Sciences (ICPhS XVI), Saarbucken, Germany, 6–10 August 2007; pp. 1825–1828. [Google Scholar]
- Kent, R.D.; Vorperian, H.K. Static Measurements of Vowel Formant Frequencies and Bandwidths: A Review. J. Commun. Disord. 2018, 74, 74–97. [Google Scholar] [CrossRef] [PubMed]
- Fant, G. Acoustic Theory of Speech Production: With Calculations Based on X-ray Studies of Russian Articulations, 2nd ed.; Walter de Gruyter: Berlin, Germany, 1970. [Google Scholar]
- Eichhorn, J.T.; Kent, R.D.; Austin, D.; Vorperian, H.K. Effects of Aging on Vocal Fundamental Frequency and Vowel Formants in Men and Women. J. Voice 2018, 32, 644.e1–644.e9. [Google Scholar] [CrossRef] [PubMed]
- Das, B.; Mandal, S.; Mitra, P.; Basu, A. Effect of aging on speech features and phoneme recognition: A study on Bengali voicing vowels. Int. J. Speech Technol. 2013, 16, 19–31. [Google Scholar] [CrossRef]
- Tykalova, T.; Skrabal, D.; Boril, T.; Cmejla, R.; Volin, J.; Rusz, J. Effect of Ageing on Acoustic Characteristics of Voice Pitch and Formants in Czech Vowels. J. Voice 2020, 35, 931.e21–931.e33. [Google Scholar] [CrossRef]
- Rastatter, M.P.; McGuire, R.A.; Kalinowski, J.; Stuart, A. Formant frequency characteristics of elderly speakers in contextual speech. Folia Phoniatr. Logop. 1997, 49, 1–8. [Google Scholar] [CrossRef]
- Albuquerque, L.; Oliveira, C.; Teixeira, A.; Sa-Couto, P.; Freitas, J.; Dias, M.S.M. Impact of Age in the Production of European Portuguese Vowels. In Proceedings of the Interspeech, Sinngapore, 14–18 September 2014; pp. 940–944. [Google Scholar]
- Albuquerque, L.; Oliveira, C.; Teixeira, A.; Sa-Couto, P.; Figueiredo, D. A comprehensive analysis of age and gender effects in European Portuguese oral vowels. J. Voice 2020. [Google Scholar] [CrossRef]
- Pellegrini, T.; Hämäläinen, A.; de Mareüil, P.B.; Tjalve, M.; Trancoso, I.; Candeias, S.; Dias, M.S.; Braga, D. A Corpus-Based Study of Elderly and Young Speakers of European Portuguese: Acoustic Correlates and Their Impact on Speech Recognition Performance. In Proceedings of the Interspeech, Lyon, France, 25–29 August 2013; pp. 852–856. [Google Scholar]
- Albuquerque, L.; Oliveira, C.; Teixeira, A.; Sa-Couto, P.; Figueiredo, D. Age-Related Changes in European Portuguese Vowel Acoustics. In Proceedings of the Interspeech, Graz, Austria, 15–19 September 2019; pp. 3965–3969. [Google Scholar]
- De Decker, P.; Mackenzie, S. Tracking the phonological status of /l/ in Newfoundland English: Experiments in articulation and acoustics. J. Acoust. Soc. Am. 2017, 142, 350–362. [Google Scholar] [CrossRef]
- Belmont, A.J. Anticipatory Coarticulation and Stability of Speech in Typically Fluent Speakers and People Who Stutter Across the Lifespan: An Ultrasound Study. Master’s Thesis, University of South Florida, Fowler Ave, FL, USA, 2015. [Google Scholar]
- Neel, A.T.; Palmer, P.M. Is Tongue Strength an Important Influence on Rate of Articulation in Diadochokinetic and Reading Tasks? JSLHR 2012, 55, 235–246. [Google Scholar] [CrossRef]
- Albuquerque, L.; Valente, A.R.; Barros, F.; Teixeira, A.; Silva, S.; Martins, P.; Oliveira, C. The Age Effects on EP Vowel Production: An Ultrasound Pilot Study; IberSPEECH 2021; ISCA: Valladolid, Spain, 2021; pp. 245–249. [Google Scholar] [CrossRef]
- Sonies, B.C.; Baum, B.J.; Shawker, T.H. Tongue motion in elderly adults: Initial in situ observations. J. Gerontol. 1984, 39, 279–283. [Google Scholar] [CrossRef] [PubMed]
- Escudero, P.; Boersma, P.; Rauber, A.S.; Bion, R.A.H. A cross-dialect acoustic description of vowels: Brazilian and European Portuguese. J. Acoust. Soc. Am. 2009, 126, 1379–1393. [Google Scholar] [CrossRef] [PubMed]
- Oliveira, C.; Cunha, M.M.; Silva, S.; Teixeira, A.; Sa-Couto, P. Acoustic Analysis of European Portuguese Oral Vowels Produced by Children. In Advances in Speech and Language Technologies for Iberian Languages; Springer: Berlin/Heidelberg, Germany, 2012; Volume 328, pp. 129–138. [Google Scholar]
- Oliveira, C.; Martins, P.; Silva, S.; Teixeira, A. An MRI study of the oral articulation of European Portuguese nasal vowels. In Proceedings of the ISCA’s 13th Annual Conference, Portland, OR, USA, 9–13 September 2012; pp. 2690–2693. [Google Scholar]
- Cunha, C.; Silva, S.; Teixeira, A.; Oliveira, C.; Martins, P.; Joseph, A.; Frahm, J. On the Role of Oral Configurations in European Portuguese Nasal Vowels. In Proceedings of the Interspeech, Graz, Austria, 15–19 September 2019; pp. 3332–3336. [Google Scholar] [CrossRef]
- Oliveira, C.; Martins, P.; Teixeira, A. Speech Rate Effects on European Portuguese Nasal Vowels. In Proceedings of the Interspeech, Brighton, UK, 6–10 September 2009; pp. 480–483. [Google Scholar]
- Sataloff, R.T.; Kost, K.M.; Linville, S.E. The Effects of Age on the Voice. In Clinical Assessment of Voice, 2nd ed.; Sataloff, R.T., Ed.; Plural Publishing, Inc.: San Diego, CA, USA, 2017; Chapter 13; pp. 221–240. [Google Scholar]
- Boone, D.R.; McFarlane, S.C.; Berg, S.L.V.; Zraick, R.I. The Voice and Voice Therapy, 8th ed.; Pearson Education: Upper Saddle River, NJ, USA, 2010. [Google Scholar]
- Linville, S.E.; Fisher, H.B. Acoustic Characteristics of Women’s Voices with Advancing Age. J. Gerontol. 1985, 40, 324–330. [Google Scholar] [CrossRef]
- Wohlert, A.B.; Smith, A. Spatiotemporal Stability of Lip Movements in Older Adult Speakers. J. Speech Lang. Heart Res. 1998, 41, 41–50. [Google Scholar] [CrossRef] [PubMed]
- Klein, D.R. Oral soft tissue changes in geriatric patients. Bull. N. Y. Acad. Med. 1980, 56, 721–727. [Google Scholar] [PubMed]
- Mahne, A.; El-Haddad, G.; Alavi, A.; Houseni, M.; Moonis, G.; Mong, A.; Hernandez-Pampaloni, M.; Torigian, D.A. Assessment of Age-Related Morphological and Functional Changes of Selected Structures of the Head and Neck by Computed Tomography, Magnetic Resonance Imaging, and Positron Emission Tomography. Semin. Nucl. Med. 2007, 37, 88–102. [Google Scholar] [CrossRef] [PubMed]
- Mautner, H. A Cross-System Instrumental Voice Profile of the Aging Voice: With Considerations of Jaw Posture Effects. Ph.D. Thesis, University of Canterbury, Christchurch, New Zealand, 2011. [Google Scholar]
- Bässler, R. Histopathology of different types of atrophy of the human tongue. Path. Res. Pract. 1987, 182, 87–97. [Google Scholar] [CrossRef]
- Kuruvilla-Dugdale, M.; Dietrich, M.; McKinley, J.D.; Deroche, C. An exploratory model of speech intelligibility for healthy aging based on phonatory and articulatory measures. J. Commun. Disord. 2020, 87, 105995. [Google Scholar] [CrossRef]
- Vanderwegen, J.; Guns, C.; Van Nuffelen, G.; Elen, R.; De Bodt, M. The Influence of Age, Sex, Bulb Position, Visual Feedback, and the Order of Testing on Maximum Anterior and Posterior Tongue Strength and Endurance in Healthy Belgian Adults. Dysphagia 2013, 28, 159–166. [Google Scholar] [CrossRef]
- Crow, H.C.; Ship, J.A. Tongue Strength and Endurance in Different Aged Individuals. J. Gerontol. Med. Sci. 1996, 51A, M247–M250. [Google Scholar] [CrossRef]
- Mortimore, I.L.; Fiddes, P.; Stephens, S.; Douglas, N.J. Tongue protrusion force and fatiguability in male and female subjects. Eur. Respir. J. 1999, 14, 191–195. [Google Scholar] [CrossRef] [PubMed][Green Version]
- Mortimore, I.L.; Bennett, S.P.; Douglas, N.J. Tongue protrusion strength and fatiguability: Relationship to apnoea/hypopnoea index and age. J. Sleep Res. 2000, 9, 389–393. [Google Scholar] [CrossRef] [PubMed]
- Mücke, D.; Thies, T.; Mertens, J.; Hermes, A. Age-related effects of prosodic prominence in vowel articulation. In Proceedings of the 12th International Seminar on Speech Production, New Haven, CT, USA, 14–18 December 2021. [Google Scholar]
- Chantaramanee, A.; Tohara, H.; Nakagawa, K.; Hara, K.; Nakane, A.; Yamaguchi, K.; Yoshimi, K.; Junichi, F.; Minakuchi, S. Association between echo intensity of the tongue and its thickness and function in elderly subjects. J. Oral Rehabil. 2019, 46, 634–639. [Google Scholar] [CrossRef] [PubMed]
- Xue, S.A.; Hao, G.J. Changes in the Human vocal tact due to aging and the acoustic correlates of speech production: A pilot study. J. Speech Lang. Heart Res. 2003, 46, 689–701. [Google Scholar] [CrossRef]
- Zharkova, N.; Hewlett, N.; Hardcastle, W.J. An ultrasound study of lingual coarticulation in/s V/syllables produced by adults and typically developing children. JIPA 2012, 42, 193–208. [Google Scholar] [CrossRef][Green Version]
- Lancia, L.; Rausch, P.; Morris, J.S. Automatic quantitative analysis of ultrasound tongue contours via wavelet-based functional mixed models. J. Acoust. Soc. Am. 2015, 137, EL178–EL183. [Google Scholar] [CrossRef]
- Tabain, M. Research Methods in Speech Production. In Bloomsbury Companion to Phonetics; Jones, M.J., Knight, R.A., Eds.; Bloomsbury: London, UK, 2013; Chapter 3; pp. 39–56. [Google Scholar]
- Mozaffari, M.H.; Wen, S.; Wang, N.; Lee, W. Real-time automatic tongue contour tracking in ultrasound video for guided pronunciation training. In Proceedings of the VISIGRAPP 2019: 14th International Joint Conference on Computer Vision, Imaging and Computer Graphics Theory and Applications, Prague, Czech Republic, 25–27 February 2019; Volume 1, pp. 302–309. [Google Scholar] [CrossRef]
- Akgul, Y.S.; Stone, C.; Maureen, K. Automatic extraction and tracking of contours. Trans. Med. Imaging 1999, 18, 1035–1045. [Google Scholar] [CrossRef]
- Stone, M. A guide to analysing tongue motion from ultrasound images. Clin. Linguist. Phon. 2005, 19, 455–501. [Google Scholar] [CrossRef]
- Zharkova, N.; Hewlett, N.; Hardcastle, W.J. Coarticulation as an indicator of speech motor control development in children: An ultrasound study. Motor Control 2011, 15, 118–140. [Google Scholar] [CrossRef][Green Version]
- Scobbie, J.M.; Lawson, E.; Cowen, S.; Cleland, J.; Wrench, A.A. A Common Co-Ordinate System for Mid-Sagittal Articulatory Measurement, QMU CASL Working Papers WP-20. 2011; unpublished work.
- Noble, A.; Boukerroui, D.; Noble, A.; Boukerroui, D.; Noble, J.A.; Member, S.; Boukerroui, D. Ultrasound image segmentation: A survey. IEEE Trans. Med. Imaging 2006, 25, 987–1010. [Google Scholar] [CrossRef]
- Strycharczuk, P.; Scobbie, J.M. Fronting of Southern British English high-back vowels in articulation and acoustics. J. Acoust. Soc. Am. 2017, 142, 322–331. [Google Scholar] [CrossRef] [PubMed]
- Barbier, G.; Perrier, P.; Ménard, L.; Payan, Y.; Tiede, M.; Perkell, J. Speech Planning in 4-Year-Old Children Versus Adults: Acoustic and Articulatory Analyses. In Proceedings of the Interspeech, Dresden, Germany, 6–10 September 2015. [Google Scholar]
- Comivi Alowonou, K.; Wei, J.; Lu, W.; Liu, Z.; Honda, K.; Dang, J. Acoustic and Articulatory Study of Ewe Vowels: A Comparative Study of Male and Female. In Proceedings of the Interspeech, Graz, Austria, 15–19 September 2019; pp. 1776–1780. [Google Scholar] [CrossRef]
- Ménard, L.; Toupin, C.; Baum, S.R.; Drouin, S.; Aubin, J.; Tiede, M. Acoustic and articulatory analysis of French vowels produced by congenitally blind adults and sighted adults. J. Acoust. Soc. Am. 2013, 134, 2975–2987. [Google Scholar] [CrossRef] [PubMed]
- Zharkova, N.; Hewlett, N.; Hardcastle, W.J. Analysing coarticulation in Scottish English children and adults: An ultrasound study. Can. Acoust. 2008, 36, 158–159. [Google Scholar]
- Zharkova, N.; Lickley, R.; Hardcastle, W.J. Development of lingual coarticulation and articulatory constraints between childhood and adolescence: An ultrasound study. In Proceedings of the 10th International Seminar on Speech Production (10th ISSP), Cologne, Germany, 5–8 May 2014; pp. 472–475. [Google Scholar]
- Lee, S.H.; Yu, J.F.; Hsieh, Y.H.; Lee, G.S. Relationships between formant frequencies of sustained vowels and tongue contours measured by ultrasonography. Am. J. Speech Lang Pathol. 2015, 24, 739–749. [Google Scholar] [CrossRef]
- Radisic, M. An Ultrasound and Acoustic Study of Turkish Rounded/Unrounded Vowel Pairs. Ph.D. Thesis, University of Toronto, Toronto, ON, Canada, 2014. [Google Scholar]
- Georgeton, L.; Antolík, T.K.; Fougeron, C. Effect of Domain Initial Strengthening on Vowel Height and Backness Contrasts in French: Acoustic and Ultrasound Data. JSLHR 2016, 59, S1575–S1586. [Google Scholar] [CrossRef]
- Song, J.Y. The use of ultrasound in the study of articulatory properties of vowels in clear speech. Clin. Linguist. Phon. 2017, 31, 351–374. [Google Scholar] [CrossRef]
- Baghban, K.; Zarifian, T.; Adibi, A.; Shati, M.; Derakhshandeh, F. The quantitative ultrasound study of tongue shape and movement in normal Persian speaking children. Int. J. Pediatr. Otorhinolaryngol. 2020, 134, 110051. [Google Scholar] [CrossRef]
- Zharkova, N. A normative-speaker validation study of two indices developed to quantify tongue dorsum activity from midsagittal tongue shapes. Clin. Linguist. Phon. 2013, 27, 484–496. [Google Scholar] [CrossRef]
- Articulate Instruments Ltd. Ultrasound Stabilisation Headset Users Manual; Articulate Instruments Ltd.: Musselburgh, UK, 2008. [Google Scholar]
- Articulate Assistant Ltd. Articulate Assistant Advanced Ultrasound Module User Manual; Articulate Instruments Ltd.: Musselburgh, UK, 2014. [Google Scholar]
- Articulate Instruments Ltd. SyncBrightUp Users Manual; Articulate Instruments Ltd.: Musselburgh, UK, 2010. [Google Scholar]
- Wrench, A.A.; Scobbie, J.M. High-speed Cineloop Ultrasound vs. Video Ultrasound Tongue Imaging: Comparison of Front and Back Lingual Gesture Location and Relative Timing. In Proceedings of the 8th International Seminar on Speech Production (ISSP), Alsace, France, 8–12 December 2008. [Google Scholar]
- Dokovova, M.; Sabev, M.; Scobbie, J.M.; Lickley, R.; Cowen, S. Bulgarian vowel reduction in unstressed position: An ultrasound and acoustic investigation. In Proceedings of the 19th International Congress of Phonetic Sciences, Melbourne, Australia, 5–9 August 2019; pp. 2720–2724. [Google Scholar]
- Ronneberger, O.; Fischer, P.; Brox, T. U-Net: Convolutional Networks for Biomedical Image Segmentation. Lect. Notes Comput. Sci. 2015, 9351, 234–241. [Google Scholar]
- Kirkham, S.; Nance, C. An acoustic-articulatory study of bilingual vowel production: Advanced tongue root vowels in Twi and tense/lax vowels in Ghanaian English. J. Phon. 2017, 62, 65–81. [Google Scholar] [CrossRef]
- Kisler, T.; Reichel, U.; Schiel, F. Multilingual processing of speech via web services. Comput. Speech Lang. 2017, 45, 326–347. [Google Scholar] [CrossRef]
- Boersma, P.; Weenink, D. Praat: Doing Phonetics by Computer. 2012. Available online: https://www.fon.hum.uva.nl/praat/ (accessed on 28 December 2021).
- Mozaffari, M.H.; Lee, W.S. Domain adaptation for ultrasound tongue contour extraction using transfer learning: A deep learning approach. J. Acoust. Soc. Am. 2019, 146, EL431–EL437. [Google Scholar] [CrossRef] [PubMed]
- Zhu, J.; Styler, W.; Calloway, I. A CNN-based tool for automatic tongue contour tracking in ultrasound images. arXiv 2019, arXiv:1907.10210. [Google Scholar]
- Watson, P.J.; Munson, B. A comparison of vowel acoustics between older and younger adults. In Proceedings of the ICPhS XVI, Saarbrucken, Germany, 6–10 August 2007; pp. 561–564. [Google Scholar]
- Torre, P., III; Barlow, J.A. Age-related changes in acoustic characteristics of adult speech. J. Commun. Disord. 2009, 42, 324–333. [Google Scholar] [CrossRef]
- Rastatter, M.P.; Jacques, R.D. Formant frequency structure of the aging male and female vocal tract. Folia Phoniatr. 1990, 42, 312–319. [Google Scholar] [CrossRef]
- Sonies, B.C.; Stone, M.; Shawker, T. Speech and Swallowing in the Elderly. Gerodontology 1984, 3, 115–123. [Google Scholar] [CrossRef]
- Lee, W.S. Articulatory-Acoustical Relationship in Cantonese Vowels. Lang. Linguist. 2016, 17, 477–500. [Google Scholar] [CrossRef]
- Mielke, J. An ultrasound study of Canadian French rhotic vowels with polar smoothing spline comparisons. J. Acoust. Soc. Am. 2015, 137, 2858–2869. [Google Scholar] [CrossRef]
- Turgeon, C.; Trudeau-Fisette, P.; Fitzpatrick, E.; Ménard, L. Vowel intelligibility in children with cochlear implants: An acoustic and articulatory study. Int. J. Pediatr. Otorhinolaryngol. 2017, 101, 87–96. [Google Scholar] [CrossRef]











| Speaker | Weight (kg) | Height (cm) | BMI * | Weight Status |
|---|---|---|---|---|
| Y1 | 72 | 158 | 28.8 | Overweight |
| Y2 | 62 | 160 | 24.2 | Normal weight |
| Y3 | 50 | 158 | 20.0 | Normal weight |
| Y4 | 57 | 173 | 19.0 | Normal weight |
| Y5 | 49 | 160 | 19.1 | Normal weight |
| O1 | 48 | 158 | 19.2 | Normal weight |
| O2 | 60 | 167 | 21.5 | Normal weight |
| O3 | 80 | 162 | 30.5 | Obesity class I |
| O4 | 67 | 160 | 26.2 | Overweight |
| O5 | 78 | 160 | 30.5 | Obesity class I |
| Vowels | Pseudowords | |||
|---|---|---|---|---|
| front | [i] | [′pipɨ] | [′pitɐ] | [′pikɐ] |
| [e] | [′pepɨ] | [′petu] | [′pekɐ] | |
| [ɛ] | [′pɛpɨ] | [′pɛtɐ] | [′pɛku] | |
| central | [ɨ] | [′pɨpɨ] | [′pɨtɐ] | [′pɨkɐ] |
| [ɐ] | [′pɐpɨ] | [′pɐtɐ] | [′pɐkɐ] | |
| [a] | [′papɨ] | [′patɐ] | [′paku] | |
| back | [u] | [′pupɨ] | [′putu] | [′pukɐ] |
| [o] | [′popɨ] | [′potu] | [′poku] | |
| [ɔ] | [′pɔpɨ] | [′pɔtu] | [′pɔkɐ] | |
| Speaker | |||||||||||
|---|---|---|---|---|---|---|---|---|---|---|---|
| Y1 | Y2 | Y3 | Y4 | Y5 | O1 | O2 | O3 | O4 | O5 | Total | |
| [i] | 17 | 18 | 14 | 17 | 17 | 2 | 5 | 6 | 1 | 0 | 97 |
| [e] | 18 | 18 | 17 | 18 | 18 | 17 | 10 | 16 | 8 | 2 | 142 |
| [ɛ] | 18 | 18 | 18 | 18 | 18 | 17 | 16 | 15 | 16 | 7 | 161 |
| [ɨ] | 17 | 18 | 18 | 18 | 17 | 17 | 10 | 17 | 13 | 6 | 151 |
| [ɐ] | 18 | 18 | 18 | 18 | 18 | 16 | 18 | 18 | 16 | 18 | 176 |
| [a] | 18 | 18 | 18 | 17 | 16 | 18 | 14 | 18 | 17 | 17 | 171 |
| [u] | 13 | 18 | 18 | 17 | 18 | 18 | 0 | 14 | 12 | 14 | 142 |
| [o] | 18 | 16 | 14 | 18 | 18 | 18 | 0 | 11 | 12 | 17 | 142 |
| [ɔ] | 18 | 15 | 18 | 18 | 18 | 18 | 0 | 16 | 17 | 17 | 155 |
| Total | 155 | 157 | 153 | 159 | 158 | 141 | 73 | 131 | 112 | 98 | 1337 |
Publisher’s Note: MDPI stays neutral with regard to jurisdictional claims in published maps and institutional affiliations. |
© 2022 by the authors. Licensee MDPI, Basel, Switzerland. This article is an open access article distributed under the terms and conditions of the Creative Commons Attribution (CC BY) license (https://creativecommons.org/licenses/by/4.0/).
Share and Cite
Albuquerque, L.; Valente, A.R.; Barros, F.; Teixeira, A.; Silva, S.; Martins, P.; Oliveira, C. Exploring the Age Effects on European Portuguese Vowel Production: An Ultrasound Study. Appl. Sci. 2022, 12, 1396. https://doi.org/10.3390/app12031396
Albuquerque L, Valente AR, Barros F, Teixeira A, Silva S, Martins P, Oliveira C. Exploring the Age Effects on European Portuguese Vowel Production: An Ultrasound Study. Applied Sciences. 2022; 12(3):1396. https://doi.org/10.3390/app12031396
Chicago/Turabian StyleAlbuquerque, Luciana, Ana Rita Valente, Fábio Barros, António Teixeira, Samuel Silva, Paula Martins, and Catarina Oliveira. 2022. "Exploring the Age Effects on European Portuguese Vowel Production: An Ultrasound Study" Applied Sciences 12, no. 3: 1396. https://doi.org/10.3390/app12031396
APA StyleAlbuquerque, L., Valente, A. R., Barros, F., Teixeira, A., Silva, S., Martins, P., & Oliveira, C. (2022). Exploring the Age Effects on European Portuguese Vowel Production: An Ultrasound Study. Applied Sciences, 12(3), 1396. https://doi.org/10.3390/app12031396

