Next Article in Journal
Sentence Boundary Extraction from Scientific Literature of Electric Double Layer Capacitor Domain: Tools and Techniques
Next Article in Special Issue
Verification and Comparison of Direct Calculation Method for the Analysis of Support–Ground Interaction of a Circular Tunnel Excavation
Previous Article in Journal
Computational Evaluation of Shock Wave Interaction with a Liquid Droplet
Previous Article in Special Issue
A New Design Method of Shield Tunnel Based on the Concept of Minimum Bending Moment
 
 
Font Type:
Arial Georgia Verdana
Font Size:
Aa Aa Aa
Line Spacing:
Column Width:
Background:
Article

A Suitability Evaluation Method of Urban Underground Space Based on Rough Set Theory and Conditional Entropy: A Case Study in Wuhan Changjiang New Town

1
Faculty of Engineering, China University of Geosciences, Wuhan 430074, China
2
China Railway First Survey & Design Institute Group Co., Ltd., Xi’an 710043, China
3
Shanghai Investigation, Design & Research Institute Co., Ltd., Shanghai 200434, China
*
Author to whom correspondence should be addressed.
Appl. Sci. 2022, 12(3), 1347; https://doi.org/10.3390/app12031347
Submission received: 27 December 2021 / Revised: 17 January 2022 / Accepted: 21 January 2022 / Published: 27 January 2022
(This article belongs to the Special Issue Advanced Underground Space Technology)

Abstract

:
In order to make full use of underground space resources and reasonably determine the development function and scale, it is important to evaluate the suitability evaluation of urban underground space (UUS). The development and utilization of underground space is affected by many factors, such as topography, geomorphology, geotechnical characteristics, hydrogeology and so on. Taking the starting area of Changjiang New Town in Wuhan as a case study, this paper introduces the rough set theory and conditional entropy and establishes a suitability evaluation model of UUS. Rough set theory is used to construct a decision information table, preprocess sample data and classify the knowledge base, while conditional entropy is employed to calculate the attributes’ own and relative importance. Then, the fuzzy comprehensive evaluation method, the most unfavorable grade discrimination method and the exclusive method are used to evaluate the model, and the partition map of regional underground space development suitability is obtained. In this method, any prior knowledge and additional information will not be needed except the sample data, and the obtained weights are more objective and reasonable. The results show that the overall suitability of underground space development and utilization in the starting area of Wuhan Changjiang New Town is good.

1. Introduction

With the development of the economy, the continuous advance of urbanization and the rapid agglomeration of urban population, current urban development is facing a severe test. A series of problems such as congestion of ground space, traffic jams, environmental pollution and ecological deterioration appear one after another. At present, the scale of cities cannot meet the demand of people. Under the constraint of total land supply, the development and utilization of urban underground space has become an indispensable part of urban construction and development in the 21st century. The development and utilization of underground space can effectively relieve the pressure of population and traffic on surface space, thus saving land resources, protecting urban green space, improving urban environment and improving the quality of urban life. In addition, due to its own structure, underground space has unique advantages in urban disaster prevention and reduction. However, the development and utilization of underground space is a complex system of engineering that is affected by many factors, and its reversibility is poor. Once destroyed, it is difficult to restore the original condition. Therefore, scientific and reasonable evaluation of the suitability of underground space development is an important basic condition for making full use of underground space resources, reasonably determining the development function and scale and compiling underground space planning [1,2].
The research on the suitability evaluation of underground space mainly focuses on the evaluation of underground space resources, engineering geology suitability evaluation, spatial planning evaluation and underground space vision evaluation. As for the evaluation of underground space resources, based on the geological conditions of sandstone as the main body in Minneapolis, Sterling and Nelson [3] adopted the method of comprehensive superposition to give the distribution range and the appropriate space form of development and utilization of underground space resources in Minneapolis. Boivin [4] employed the transparency superposition method and determined the spatial capacity, distribution range and development difficulty level of Quebec in Canada. Peng and Peng [5,6] proposed an improved UUS resource evaluation model, synthetically considering major factors and applying GIS, AHP, the most unfavorable grading method, and the exclusive method is applied to the UUS master planning of Chinese cities. Rienzo et al. [7] introduced a 3D geological and underground structure model based on GIS, which can provide great help for the planning and management of underground space development. Zhu et al. [8] used digital technology to handle problems existing in traditional evaluation tools, elaborated relevant concepts and main technologies of digitization and established an engineering geological intelligence system based on GIS. Regarding the visual evaluation of underground space, Zhou et al. [9] proposed a measurable visual comfort evaluation method for underground space based on human perception and machine learning methods and applied it to the underground space of Pentagon Square in Shanghai, China.
As for the suitability evaluation of engineering geology, many scholars have carried out relevant studies and evaluated the suitability of engineering geology of underground space in many cities from the perspective of the analytic hierarchy process (AHP). Lu et al. [10] presented a multilayer UUS exploitation engineering geological suitability evaluation framework, employed a fuzzy set analytic hierarchy process and TOPSIS for the basic layer evaluation and evaluated the geological suitability of multilayer underground space combining with the transferring coefficient matrix. Hou et al. [11] presented a process for quality assessment of the underground space resources in Foshan City by introducing a coupled 3D geological model with borehole data. Chen et al. [12] collected and normalized the data of 56 representative cities at different levels in China on the premise of summarizing the indicators affecting the suitability of underground space development and utilization. Youssef et al. [13] established the suitability evaluation model of engineering geological conditions by using the analytic hierarchy process. Wang et al. [14] used the structural equation model (SEM) to evaluate the suitability of urban underground space by taking Gulou District in Nanjing as an example. In addition, scholars at home and abroad have used the expert questionnaire survey method, entropy weight method and other methods to study the influencing factors of engineering geology suitability and achieved a lot of results. Based on the time sequential weighted average (TOWA) operator, Liu et al. [15] combined the classical entropy weight method with the time dimension weight method and proposed an entropy time weighted mixed weight allocation model for UUSR evaluation. Duan et al. [16] used the index scale analytic hierarchy process (AHP) to analyze the geological conditions and proposed an evaluation system suitable for Kunming, China. To sum up, the key points of UUS suitability evaluation mainly focus on three aspects [17]: 1. the purpose of evaluation; 2. selection, quantification and weight determination of indicators; 3. evaluation model and method. This paper argues that the attributes of the suitability of UUS depend on three types of factors: basic geological conditions, adverse geological phenomena and restricted development zones. The better the basic geological conditions are, the less adverse geological phenomena are developed, the smaller the restrictive development zones are and the better the comprehensive engineering geological suitability is. However, at the present stage, the index weighting method of UUS engineering geological suitability evaluation is relatively simple, mostly using some fuzzy-based approaches, such as analytic hierarchy process and entropy method, and less involving other subjective and objective weighting methods, such as the correlation matrix method (Gulin method) [14], sequential scoring method [18], principal component analysis [19], CRITIC method [20], rough set theory [21,22], etc. So, there are many subjectivities and randomness, and the task is time-consuming.
In this paper, based on the status quo of underground space development and utilization in the starting area of Wuhan Changjiang New Town and relevant data, a suitability evaluation model is developed. Rough set theory is used to construct a decision information table, preprocess sample data and classify the knowledge base. The concept of conditional entropy is introduced to calculate the attributes’ own and relative importance. Finally, the attribute weight of each classification index is obtained through standardization. On this basis, the fuzzy comprehensive evaluation method, the most unfavorable grade discrimination method and the exclusive method are used to evaluate the model, and the partition map of regional underground space development suitability is obtained.

2. Description of the Study Area

Wuhan is located in the middle of China, which is the transition zone from the southeast of Hubei and the eastern margin of Jianghan plain to the south of Dabie mountain. Wuhan is surrounded by the hills and ridges in the north and south portions, but in the middle portion the terrain is relatively low, which is the only mega-city in the six central provinces. With the rapid development of urban economy, urban population has further increased, and the accompanying traffic congestion, scarcity of land resources and other urban diseases have become further highlighted. It is an inevitable choice to fully develop and utilize underground space.
Changjiang New Town is situated in the northeast of Wuhan, with a planned construction area of about 560 km2 (see Figure 1a). The construction will be carried out in three phases, i.e., the starting area, the medium-term development area and the long-term construction area. The starting area of Changjiang New Town (see Figure 1b) is mainly located in the Chenjiaji-Wuhu area, and it is about 70 km2.
Due to its adjacence to the Yangtze River, Fuhe River, Sheshui River, Daoshui River and many other rivers and lakes, the water resources in the starting area are rich. The area is dominated by a plain landform, and the residual hills are separated from each other. The NW fault in the area is characterized by the Xiangguang fault, while the NE fault is marked by the Yangtze River fault. The limestone and dolomite in the area are developed with karst; thus, there is the possibility of a karst collapse geological disaster.

3. Study Methods and Evaluation Process

According to the data collected on the suitability of underground space development and utilization in five regions, combined with the engineering geological conditions of Wuhan [23,24], statistical analysis was carried out. This paper evaluates the suitability of underground space engineering geology in the starting area of Wuhan Changjiang New Town from six aspects: geotechnical characteristics, geomorphology, geological structure, hydrogeology, adverse geological phenomena and restricted development zone. The evaluation path is shown in Figure 2.

3.1. Selection and Quantification of Indicators

There are many factors that affect the suitability of UUS. Firstly, the underground space takes the rock and soil mass as a carrier. The bearing capacity of rock and soil mass and the compressibility of soil mass determine the strength and stability of the layer of soil mass, which are related to the construction difficulty of underground space and the sensitivity to the influence of surface disturbance and deformation. Secondly, the study area is rich in water resources, which not only increases the difficulty of construction but also the long-term leakage problem that underground engineering still faces after construction completion. In addition, soft soil with different thickness and middle developed karst are distributed in the area, which will cause great harm to underground space development and ground construction. Finally, in ecological control areas, historical relics and monuments and underground water conservation areas, underground construction should meet the policy requirements and control the scale of development. According to the specific situation of the study area, the factors with strong correlation are selected, and the qualitative and quantitative indicators are evaluated by using the numerical method to divide them into five grades of excellent, good, medium, poor and very poor. The indicators are quantified by the following methods:
  • According to the membership function adopted in this paper, its quantitative score is selected from the interval of (0,100) by linear interpolation method;
  • For measurable indicators, the indicators are divided into five levels and quantified by referring to relevant literature and similar cases;
  • For the qualitative evaluation indexes that cannot be measured, expert evaluation is adopted to determine the membership degree of each grade.
Through the above methods, the quantitative and grading results of indicators are shown in Table 1, and the membership degree of qualitative indicators is shown in Table 2.

3.2. Determination of Index Weight

Different indexes have different influences on the evaluation results, that is, they are endowed with different weights in the calculation process. Accurate determination of the importance of each factor is an important premise for the evaluation results to conform to the reality. In previous studies, the analytic hierarchy process (AHP) and expert scoring method were mostly adopted. This method based on the decision makers’ subjective information to determine the weight of each factor relies too much on the level and ability of the decision makers, and the weight is not necessarily reasonable. So, the evaluation results may appear to have large differences. In this paper, the method of combining rough set and conditional entropy is adopted, which can fully reflect the objectivity of the data without providing any prior information outside the sample data set. Thus, the weight determination is more reasonable, and the evaluation results are more in line with the reality.

3.2.1. Rough Set Theory

Rough set (Rs) theory is a theoretical method proposed by Pawlak et al. [25] to study the expression, learning and generalization of incomplete and uncertain knowledge and data. It can mine potential and useful knowledge from a large amount of data and reduce the unnecessary workload of calculation and classification caused by redundant knowledge. In Rs theory, membership is no longer an initial concept but an objectively calculated one, which is only related to known knowledge, thus avoiding the influence of subjective factors [26,27,28].
In rough set theory, an information table is a basic tool to express and process knowledge [29]. The basic component of the information table knowledge expression system is the collection of research objects. The knowledge about these objects is described by specifying the attributes (characteristics) of objects and their attribute values. Generally, an information table knowledge expression system S can be expressed as:
S = < U , R , V , f >
where U is the set of objects, also known as the domain, R = C D ,   C D = Φ , C is the set of conditional attributes and D is the set of decision attributes. V = V r is the set of attribute values, V r is the range of values of the attribute r and r R . f : U × R V is an information function, which specifies the properties of each object X in U. The decision table is a knowledge expression system with conditional attributes and decision attributes.
Knowledge in the knowledge base is not equally important, and some knowledge can be derived from other knowledge [30]. For knowledge base K = < U , R > , P and Q belong to R. If indiscernible relation i n d ( P ) belongs to i n d ( Q ) , then knowledge Q depends on knowledge P. The dependence of knowledge Q on P is defined as:
  γ p ( Q ) = c a r d ( P O S p ( Q ) ) / c a r d ( U )
where card represents the cardinality of the set and P O S p ( Q ) represents the positive region of the set P in U / i n d ( Q ) and
P O S p ( Q ) = { Y n E t }
where Yn and Et represent the basic sets of U / P and U / Q , respectively.
In the decision table, when a certain attribute C i in the attribute set C is removed, the classification of the decision table changes greatly, indicating that the removed attribute is of high importance and vice versa. The concept of attribute importance is defined by the difference of attribute dependence:
σ C D ( C i ) = γ C ( D ) γ C C i ( D )
The above equation shows how the positive domain of classification U / C is affected when the attribute subset C i is removed from set C. When 0 σ C D ( C i ) 1 , the larger σ C D ( C i ) is, the more important C i is in the entire conditional attribute set. If σ C D ( C i ) = 0 , C i is a redundant attribute and can be reduced.
The importance of each attribute is normalized to obtain the weight Wi of each attribute.
W i = σ C D ( C i ) σ C D ( C i )

3.2.2. Method for Determining Attribute Weight Based on Rough Set and Conditional Entropy

In the process of using rough set theory to calculate the attribute weight, sometimes the attribute importance degree is zero, that is, the attribute weight is zero. The reason for this phenomenon is that the rough set theory only considers the importance of a single attribute to the entire attribute set, without considering the importance of the attribute itself, and ignores the practical significance of the attribute. To solve this problem, Bao and Liu [31] introduced the concept of conditional entropy to improve the method. The calculation process is shown in Figure 3.
In the decision information table S = ( U , C , D , V , f ) , the conditional entropy of the decision attribute set D ( U / D = { D 1 , D 2 , , D k } ) relative to the conditional attribute set C ( U / C = { C 1 , C 2 , , C m } ) is expressed as:
I ( D | C ) = i = 1 m | C i | 2 | U | 2 j = 1 k | D j C i | | C i | [ 1 | D j C i | | C i | ]
In the decision information table, C i C , and the importance degree of conditional attribute (index) C i is expressed as:
N e w   S i g ( C i ) = I ( D | C { C i } ) I ( D | C )
where N e w   S i g ( C i ) indicates the importance of the conditional attribute C i in the entire conditional attribute set, and   I ( D | { C i } ) indicates the importance of the conditional attribute Ci itself in the system.
Considering these two aspects comprehensively and carrying out standardization processing, the weight of each conditional attribute can be obtained:
W ( C i ) = N e w   S i g ( C i ) + I ( D | { C i } ) i = 1 m { N e w   S i g ( C i ) + I ( D | { C i } ) }
However, when the value of conditional attribute C i is less than three, the weight is always 1/2 according to the above method, which is too average. In this paper, it will be corrected and the importance degree of conditional attribute (index) C i is expressed as:
N e w   S i g ( C i ) = I ( D | C { C i } ) I ( D | C ) + a C | a ( x ) | a C { C i } | a ( x ) | a C | a ( x ) |
where the conditional entropy and the normalized weight of C i are still calculated according to Equations (6) and (8), respectively.

3.2.3. Examples of Index Weight Calculation

Fourteen partitions are selected as a sample set from the evaluation results of five regions. In terms of the criteria layer factors in this paper, the decision table is constructed where the geotechnical characteristics (B1), geomorphology (B2), geological structure (B3) and hydrogeology (B4) are considered as the conditional attributes, and the actual classification of underground space suitability is considered as the decision attribute (D). Table 3 shows the discretization results of the sample data.
The calculation process of index weight is as follows:
  • According to the process shown in Figure 3a, the sample data are processed from three aspects.
    (1)
    Removing duplicate samples: the fifth group and the tenth group are duplicate samples, thus the tenth group is removed;
    (2)
    Removing contradictory samples: the level of each conditional attribute of the third group is two, one, two and two, respectively, which are all higher than the level three of decision attribute. It is not consistent with the reality, so let us dispose of the third group. Similarly, the seventh group is removed;
    (3)
    Cleaning conflict samples: the sixth group and the first group have the same level of conditional attributes, but different levels of decision attributes are contradictory, so the sixth group is removed.
Through data pre-processing, sample data x1, x2, x4, x5, x8, x9, x11, x12, x13 and x14 are retained to form the decision table.
2.
Calculation according to rough set theory and conditional entropy,
U / ( B ) = { { x 1 } , { x 2 } , { x 4 } , { x 5 } , { x 8 } , { x 9 } , { x 11 } , { x 12 } , { x 13 } , { x 14 } } = { X 1 , X 2 , X 3 , X 4 , X 5 , X 6 , X 7 , X 8 , X 9 , X 10 } U / ( D ) = { { x 1 } , { x 2 , x 4 , x 5 , x 8 , x 9 } , { x 11 , x 12 , x 13 , x 14 } } = { D 1 , D 2 , D 3 } U / ( B 1 ) = { { x 1 } , { x 2 , x 4 , x 8 } , { x 5 , x 9 , x 11 , x 13 } , { x 12 , x 14 } } U / ( B B 1 ) = { { x 1 } , { x 2 , x 9 } , { x 4 } , { x 5 } , { x 8 , x 13 } , { x 11 } , { x 12 } , { x 14 } } X 1 D 1 = { x 1 } , X 1 D 2 = Φ , X 1 D 3 = Φ X 10 D 1 = Φ , X 10 D 2 = Φ , X 10 D 3 = { x 14 } I ( D | B ) = ( 1 10 ) 2 [ 1 1 × ( 1 1 1 ) + 0 1 × ( 1 0 1 ) + 0 1 × ( 1 0 1 ) ] × 10 = 0
Similarly, I ( D | B 1 ) = 0.08 and I ( D | B B 1 ) = 0.02 can be calculated.
According to Equation (7), the importance of condition attribute B1 is calculated as follows:
N e w   S i g ( B 1 ) = I ( D | B B 1 ) I ( D | B ) = 0.02 N e w   S i g ( B 1 ) + I ( D | B 1 ) = 0.1
In the same way, the conditional entropy and importance of geomorphology (B2), geological structure (B3) and hydrogeology (B4) are calculated, and the weight of each attribute is calculated according to Equation (8). The calculation results are shown in Table 4.
3.
When the number of conditional attributes is less than three, fault (C6) and seismic basic intensity (C7) are taken as conditional attributes and geological structure (B3) as the decision attribute according to index layer factors. After the above data pre-processing, the decision table is constructed (see in Table 5).
According to the above calculation process, the conditional entropies of C6 and C7 are 0.12 and 0.18, respectively, and the importance degree is obtained according to Equation (9).
a C | a ( x ) | = 9 a C { C 6 } | a ( x ) | = 4 a C { C 7 } | a ( x ) | = 5 N e w   S i g ( C 6 ) = I ( B 3 | C { C 6 } ) I ( B 3 | C ) + a C | a ( x ) | a C { C 6 } | a ( x ) | a C | a ( x ) | = 0.736 N e w   S i g ( C 7 ) = I ( B 3 | C { C 7 } ) I ( B 3 | C ) + a C | a ( x ) | a C { C 7 } | a ( x ) | a C | a ( x ) | = 0.564
According to Equation (8), W ( C 6 ) and   W ( C 7 ) are 0.535 and 0.465, respectively.
Based on the above decision table construction, sample data processing and the calculation process of attribute weight, the conditional entropy, importance degree and attribute weight of other factors in the index layer are calculated, respectively. The calculation results are shown in Table 6.

3.3. Fuzzy Comprehensive Evaluation

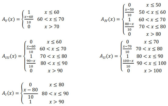
According to fuzzy comprehensive theory, the membership degree of each measurable single factor to each grade is determined by membership function. For ease of calculation, the membership function shown in Figure 4 is adopted for all factors. At the same time, in order to give consideration to the evaluation of the overall factors, the weighted average type of synthesis operator is used to perform the fuzzy calculation. Finally, the grade is determined by the principle of maximum membership degree. The evaluation calculation process is shown in Figure 3b.

3.4. The Most Unfavorable Grade Discrimination Method

According to the evaluation level of index factors, the lowest level is selected as the evaluation result. In the evaluation of adverse geological phenomena, if the superposition calculation is adopted for karst ground collapse and soft soil settlement, the scores of areas with adverse geological phenomena will be too average, which is different from the actual impact results. Therefore, the indexes of adverse geological phenomena are degraded by using the most unfavorable grade discrimination method.

4. Case Study

The Yangtze River is the highest river in the Changjiang New Town section. During the flood season, the water level of the Yangtze River is often higher than that of Wuhu Lake. When the Binjiang area in the Changjiang New Town is developed, attention should be paid to the protection of shoreline tidal wetlands. The ecological buffer zone should be set up within a certain range of river edge to avoid digging river sand, building artificial islands and large underground buildings, etc., because these will strongly change the hydraulic conditions and have a negative effect on the internal security of Changjiang New Town. Therefore, a restricted development zone should be set up within a certain range along the river.
On the basis of collecting various data, this paper imports the screened and pre-processed data into the geographic database. According to the established index system and evaluation methods, the properties of each zoning unit are evaluated, classified, superimposed and calculated, and finally the evaluation results of the suitability zoning of underground space in the starting area of Wuhan Changjiang New Town are generated, as shown in Figure 5. The summary table of the evaluation results is shown in Table 7.
Combined with the suitability zoning map and the evaluation summary table, it can be known that:
(1)
On the whole, the suitability of underground space development and utilization in the starting area of Wuhan Changjiang New Town is good. The evaluation results mainly include excellent suitability (class I) and good suitability (class II), and the proportion of medium suitability (class III) is small. According to the evaluation criteria and methods in this paper, there are no areas with poor suitability or very poor suitability in the starting area of Changjiang New Town.
(2)
In the starting area, most of the areas north of the Sheshui River have better geotechnical conditions and geomorphological conditions, but the water content in this area is abundant, and single well yield can be up to 467.467–666.399 m3/d. Therefore, during the development and utilization of this area, the main restriction condition is groundwater.
(3)
The areas with relatively poor suitability are mainly concentrated in the southwest side of the starting area. The hydrogeological conditions in this area are complex, and there is the phenomenon of soft soil surface subsidence and karst ground collapse medium development. The development and utilization of underground space is relatively unfavorable.

5. Conclusions

(1)
According to the collected regional data and combined with the engineering geological conditions of the starting area of Wuhan Changjiang New Town, this paper chooses the main factors that affect the suitability of underground space development and utilization. The weight is more objective and reasonable by using rough set and conditional entropy for determination. At the same time, the fuzzy comprehensive evaluation method, the most unfavorable grade discrimination method and the exclusion method are used to evaluate the model. Finally, the evaluation results are more accurate and realistic.
(2)
In terms of the analysis of relatively poor suitability areas, the main factors affecting the development and utilization of underground space in the starting area are the settlement of soft soil layer, karst ground collapse and groundwater. Therefore, in the process of development and utilization, we should focus on identifying and preventing these factors.
(3)
This paper evaluates the development and utilization of underground space based on the suitability of engineering geology. Factors such as potential value of underground space development and utilization, number of resources and developable volume are not considered in the model. Therefore, future research will be based on geological factors evaluation, fully consider the role of economic value, resource amount, etc., to make the evaluation more comprehensive.

Author Contributions

D.T.: methodology, writing—original draft preparation. F.T.: conceptualization, methodology, writing—reviewing and editing. B.M.: investigation. Y.-Y.J.: conceptualization, supervision. J.W.: data curation. All authors have read and agreed to the published version of the manuscript.

Funding

This research was funded by the National Natural Science Foundation of China (Grant nos. 41920104007 and 51879245) and the Fundamental Research Funds for the Central Universities, China University of Geosciences (Wuhan) (No. CUGCJ1821 and CUG170645).

Institutional Review Board Statement

Not applicable.

Informed Consent Statement

Not applicable.

Data Availability Statement

Some or all data, models or code that support the findings of this study are available from the corresponding author upon reasonable request.

Conflicts of Interest

The authors declare no conflict of interest.

References

  1. Rönkä, K.; Ritola, J.; Rauhala, K. Underground space in land-use planning. Tunn. Undergr. Space Technol. 1998, 13, 39–49. [Google Scholar] [CrossRef]
  2. Bobylev, N.; Sterling, R. Urban underground space: A growing imperative. Perspectives and current research in planning and design for underground space use. Tunn. Undergr. Space Technol. 2016, 55, 1–342. [Google Scholar] [CrossRef]
  3. Sterling, R.L.; Nelson, S.R. Planning for underground space: A case study for Minneapolis. Undergr. Space 1982, 7, 86–103. [Google Scholar]
  4. Boivin, D.J. Underground space use and planning in the Québec City area. Tunn. Undergr. Space Technol. 1990, 5, 69–83. [Google Scholar] [CrossRef]
  5. Peng, J.; Peng, F.L. A GIS-based evaluation method of underground space resources for urban spatial planning: Part 1 methodology. Tunn. Undergr. Space Technol. 2018, 74, 82–95. [Google Scholar] [CrossRef]
  6. Peng, J.; Peng, F.L. A GIS-based evaluation method of underground space resources for urban spatial planning: Part 2 application. Tunn. Undergr. Space Technol. 2018, 77, 142–165. [Google Scholar] [CrossRef]
  7. Rienzo, F.D.; Oreste, P.; Pelizza, S. 3D GIS supporting underground urbanisation in the city of Turin (Italy). Geotech. Geol. Eng. 2009, 27, 539–547. [Google Scholar] [CrossRef]
  8. Zhu, H.; Huang, X.; Li, X.; Zhang, L.; Liu, X. Evaluation of urban underground space resources using digitalization technologies. Undergr. Space 2016, 1, 124–136. [Google Scholar] [CrossRef]
  9. Zhou, B.; Gui, Y.; Xie, X.; Li, W.; Li, Q. A measurable evaluation method of visual comfort in underground space by intelligent sorting and classification algorithms. Undergr. Space, 2021; in press. [Google Scholar]
  10. Lu, Z.; Wu, L.; Zhuang, X.; Rabczuk, T. Quantitative assessment of engineering geological suitability for multilayer urban underground space. Tunn. Undergr. Space Technol. 2016, 59, 65–76. [Google Scholar] [CrossRef]
  11. Hou, W.; Yang, L.; Deng, D.; Ye, J.; Clarke, K.; Yang, Z.; Zhuang, W.; Liu, J.; Huang, J. Assessing quality of urban underground spaces by coupling 3D geological models: The case study of Foshan city, South China. Comput. Geosci. 2016, 89, 1–11. [Google Scholar] [CrossRef]
  12. Chen, Z.L.; Chen, J.Y.; Liu, H.; Zhang, Z.F. Present status and development trends of underground space in Chinese cities: Evaluation and analysis. Tunn. Undergr. Space Technol. 2018, 71, 253–270. [Google Scholar] [CrossRef]
  13. Youssef, A.M.; Pradhan, B.; Tarabees, E. Integrated evaluation of urban development suitability based on remote sensing and GIS techniques: Contribution from the analytic hierarchy process. Arab. J. Geosci. 2011, 4, 463–473. [Google Scholar] [CrossRef]
  14. Wang, X.; Zhen, F.; Huang, X.; Zhang, M.; Liu, Z. Factors influencing the development potential of urban underground space: Structural equation model approach. Tunn. Undergr. Space Technol. 2013, 38, 235–243. [Google Scholar] [CrossRef]
  15. Liu, D.; Wu, L.; Yang, Y. A hybrid weight assignment model for urban underground space resources evaluation integrated with the weight of time dimension. Appl. Sci. 2020, 10, 5152. [Google Scholar] [CrossRef]
  16. Duan, Y.; Xie, Z.; Zhao, F.; Zeng, H.; Lin, M.; Chen, H.; Zuo, X.; He, J.; Hou, Z. Suitability of underground space development in plateau cities based on geological environment analysis: Case study in Kunming, China. J. Urban. Plan. Dev. 2021, 147, 05021014. [Google Scholar] [CrossRef]
  17. Zhou, D.; Li, X.; Wang, Q.; Wang, R.; Wang, T.; Gu, Q.; Xin, Y. GIS-based urban underground space resources evaluation toward three-dimensional land planning: A case study in Nantong, China. Tunn. Undergr. Space Technol. 2019, 84, 1–10. [Google Scholar] [CrossRef]
  18. Sinha, S.K.; McKim, R.A. Probabilistic based integrated pipeline management system. Tunn. Undergr. Space Technol. 2007, 22, 543–552. [Google Scholar] [CrossRef]
  19. Peng, J.; Peng, F.L.; Yabuki, N.; Fukuda, T. Factors in the development of urban underground space surrounding metro stations: A case study of Osaka, Japan. Tunn. Undergr. Space Technol. 2019, 91, 103009. [Google Scholar] [CrossRef]
  20. van der Hoeven, F.; Juchnevic, K. The significance of the underground experience: Selection of reference design cases from the underground public transport stations and interchanges of the European Union. Tunn. Undergr. Space Technol. 2016, 55, 176–193. [Google Scholar] [CrossRef]
  21. Ulucay, V. A new similarity function of trapezoidal fuzzy multi-numbers based on multi-criteria decision making. J. Inst. Sci. Technol. 2020, 10, 1233–1246. [Google Scholar] [CrossRef]
  22. Uluçay, V.; Deli, I.; Şahin, M. Trapezoidal fuzzy multi-number and its application to multi-criteria decision-making problems. Neural Comput. Appl. 2018, 30, 1469–1478. [Google Scholar] [CrossRef]
  23. Li, X.; Xu, H.; Li, C.; Sun, L.; Wang, R. Study on the demand and driving factors of urban underground space use. Tunn. Undergr. Space Technol. 2016, 55, 52–58. [Google Scholar] [CrossRef]
  24. Tan, F.; Wang, J.; Jiao, Y.Y.; Ma, B.; He, L. Suitability evaluation of underground space based on finite interval cloud model and genetic algorithm combination weighting. Tunn. Undergr. Space Technol. 2021, 108, 103743. [Google Scholar] [CrossRef]
  25. Pawlak, Z.; Wong, S.K.M.; Ziarko, W. Rough sets: Probabilistic versus deterministic approach. Int. J. Man-Mach. Stud. 1990, 29, 81–95. [Google Scholar] [CrossRef]
  26. Munakata, T. Fundamentals of the New Artificial Intelligence: Neural, Evolutionary, Fuzzy and More; Springer: London, UK, 2008. [Google Scholar]
  27. Zhenfei, Z.; Guangdao, H.; Mingguo, Y.; Xing, L.; Zhenhai, W.; Wenhui, L.; Xiaobing, Z.; Li, H. An approach to spectral discrimination of rocks using ASAI and rough sets. J. Earth Sci.-China 2003, 5, 257–260. [Google Scholar]
  28. Bakbak, D.; Uluçay, V.; Şahin, M. Intuitionistic trapezoidal fuzzy multi-numbers and some arithmetic averaging operators with their application in architecture. In Proceedings of the 6th International Multidisciplinary Studies Congress (Multicongress’19), Gaziantep, Turkey, 26–27 April 2019. [Google Scholar]
  29. Pawlak, Z. Rough sets and intelligent data analysis. Inf. Sci. 2002, 147, 1–12. [Google Scholar] [CrossRef] [Green Version]
  30. Hu, X.; Cercone, N. Learning in relational databases: A rough set approach. Comput. Intell. 1995, 11, 323–338. [Google Scholar] [CrossRef]
  31. Bao, X.; Liu, Y. A new method of ascertaining attribute weight based on rough sets theory. In Proceedings of the International Conference on Electronic Commerce & Business Intelligence, Beijing, China, 6–7 June 2009; pp. 507–510. [Google Scholar]
Figure 1. (a) Planning study area of Wuhan Changjiang New Town. (b) The starting area of Wuhan Changjiang New Town.
Figure 1. (a) Planning study area of Wuhan Changjiang New Town. (b) The starting area of Wuhan Changjiang New Town.
Applsci 12 01347 g001
Figure 2. Flow chart of UUS suitability evaluation.
Figure 2. Flow chart of UUS suitability evaluation.
Applsci 12 01347 g002
Figure 3. Technical flow chart of underground space suitability evaluation based on rough set and conditional entropy: (a) flow chart of weight calculation based on rough set and conditional entropy; (b) flow chart of fuzzy comprehensive evaluation.
Figure 3. Technical flow chart of underground space suitability evaluation based on rough set and conditional entropy: (a) flow chart of weight calculation based on rough set and conditional entropy; (b) flow chart of fuzzy comprehensive evaluation.
Applsci 12 01347 g003
Figure 4. Fuzzy comprehensive evaluation membership function.
Figure 4. Fuzzy comprehensive evaluation membership function.
Applsci 12 01347 g004
Figure 5. Evaluation results of UUS suitability in the starting area of Wuhan Changjiang New Town.
Figure 5. Evaluation results of UUS suitability in the starting area of Wuhan Changjiang New Town.
Applsci 12 01347 g005
Table 1. Index selection and quantification classification.
Table 1. Index selection and quantification classification.
Criterion Layer BiIndex Layer CiUnderground Space Development Geological Suitability Grade
IIIIIIIVV
≥9090 > x ≥ 8080 > x ≥ 7070 > x ≥ 60<60
Target layer DGeotechnical characteristics B1Compression coefficient of soil mass/MPa−1 C1<0.10.1~0.30.3~0.50.5~0.7≥0.7
Rock/soil bearing capacity/Mpa C2≥0.40.3~0.40.2~0.30.1~0.2<0.1
Soil uniform C3UniformMore uniformLess uniformNonuniform-
Geomorphology B2Landform unit C4HillErosion and accumulation of low ridgeAlluvial plainAlluvial lacustrine plainLacustrine plain
Topographic slope/% C5<1010~2020~3030~50≥50
Geologic structure B3Fault/m C6≥10001000~800800~500500~200<200
Seismic basic intensity C7≤VIVIIVIIIIX≥X
Hydrogeology B4The depth of confined water roof/m C8≥1816~1814~1610~14<10
Water inflow of single wellt·d−1 C9<100100~400400~700700~1000≥1000
Groundwater corrosion C10NoSlightWeakMediumStrong
Adverse geological phenomenon B5Karst ground collapse C11NoWeakMedium-Strong
Soft soil settlement C12NoWeakMedium-Strong
Table 2. Membership degree of qualitative indicators.
Table 2. Membership degree of qualitative indicators.
RankMembership
I(0.75, 0.25, 0, 0, 0)
II(0.15, 0.7, 0.15, 0, 0)
III(0, 0.15, 0.7, 0.15, 0)
IV(0, 0, 0.15, 0.7, 0.15)
V(0, 0, 0, 0.25, 0.75)
Table 3. Sample data discretization of criterion layer.
Table 3. Sample data discretization of criterion layer.
No. of Sample (X)B1B2B3B4D
x112122
x223243
x321223
x423333
x533233
x612121
x732234
x825353
x933243
x1033233
x1134354
x1244434
x1335354
x1445444
Table 4. Conditional entropy, importance degree and attribute weight of criterion layer.
Table 4. Conditional entropy, importance degree and attribute weight of criterion layer.
I ( D | B i ) I ( D | B B i ) N e w   S i g ( B i ) W ( B i )
B10.080.020.020.294
B20.04000.118
B30.08000.235
B40.12000.353
Table 5. Sample data discretization of index layer.
Table 5. Sample data discretization of index layer.
C6C7B3 C6C7B3
x1132x6524
x2222x7333
x3354x8343
x4232x9243
x5423x10153
Table 6. Condition entropy, importance degree and attribute weight of index layer.
Table 6. Condition entropy, importance degree and attribute weight of index layer.
I ( B | C i ) I ( B | C C i ) N e w   S i g ( C i ) W ( C i )
C10.100.020.020.316
C20.120.020.020.368
C30.12000.316
C40.100.200.8250.578
C50.200.100.4750.422
C80.100.020.020.333
C90.100.060.060.444
C100.08000.223
Table 7. Summary of suitability evaluation results of underground space.
Table 7. Summary of suitability evaluation results of underground space.
ClassIIIIIIWater AreaRestricted Area
Area/km234.4221.807.346.691.4
Percentage/%48.0430.4310.249.341.95
Publisher’s Note: MDPI stays neutral with regard to jurisdictional claims in published maps and institutional affiliations.

Share and Cite

MDPI and ACS Style

Tong, D.; Tan, F.; Ma, B.; Jiao, Y.-Y.; Wang, J. A Suitability Evaluation Method of Urban Underground Space Based on Rough Set Theory and Conditional Entropy: A Case Study in Wuhan Changjiang New Town. Appl. Sci. 2022, 12, 1347. https://doi.org/10.3390/app12031347

AMA Style

Tong D, Tan F, Ma B, Jiao Y-Y, Wang J. A Suitability Evaluation Method of Urban Underground Space Based on Rough Set Theory and Conditional Entropy: A Case Study in Wuhan Changjiang New Town. Applied Sciences. 2022; 12(3):1347. https://doi.org/10.3390/app12031347

Chicago/Turabian Style

Tong, Defu, Fei Tan, Bangchuang Ma, Yu-Yong Jiao, and Jun Wang. 2022. "A Suitability Evaluation Method of Urban Underground Space Based on Rough Set Theory and Conditional Entropy: A Case Study in Wuhan Changjiang New Town" Applied Sciences 12, no. 3: 1347. https://doi.org/10.3390/app12031347

APA Style

Tong, D., Tan, F., Ma, B., Jiao, Y.-Y., & Wang, J. (2022). A Suitability Evaluation Method of Urban Underground Space Based on Rough Set Theory and Conditional Entropy: A Case Study in Wuhan Changjiang New Town. Applied Sciences, 12(3), 1347. https://doi.org/10.3390/app12031347

Note that from the first issue of 2016, this journal uses article numbers instead of page numbers. See further details here.

Article Metrics

Back to TopTop