Numerical Analysis of the Effects of Ship Motion on Hydrogen Release and Dispersion in an Enclosed Area
Abstract
:1. Introduction
2. Methodology
- (1)
- A hydrogen leak test was performed in a steady state, and the effectiveness of the numerical analysis tool was verified by comparing the experimental and numerical analyses results;
- (2)
- The effect of ship motion on hydrogen diffusion was analyzed by applying the ship motion scenario to the CFD simulation.
2.1. CFD Modeling
2.2. Model Validation
2.2.1. Experimental Description
2.2.2. Grid Independence Test
2.2.3. Numerical Details
2.2.4. Results
3. Effect of Ship Motion on Hydrogen Dispersion
3.1. Ship Motion Coordinate System
3.2. Ship Motion Scenario
3.3. Effect of Ship Motion Types
3.4. Effect of Ship Motion Directions
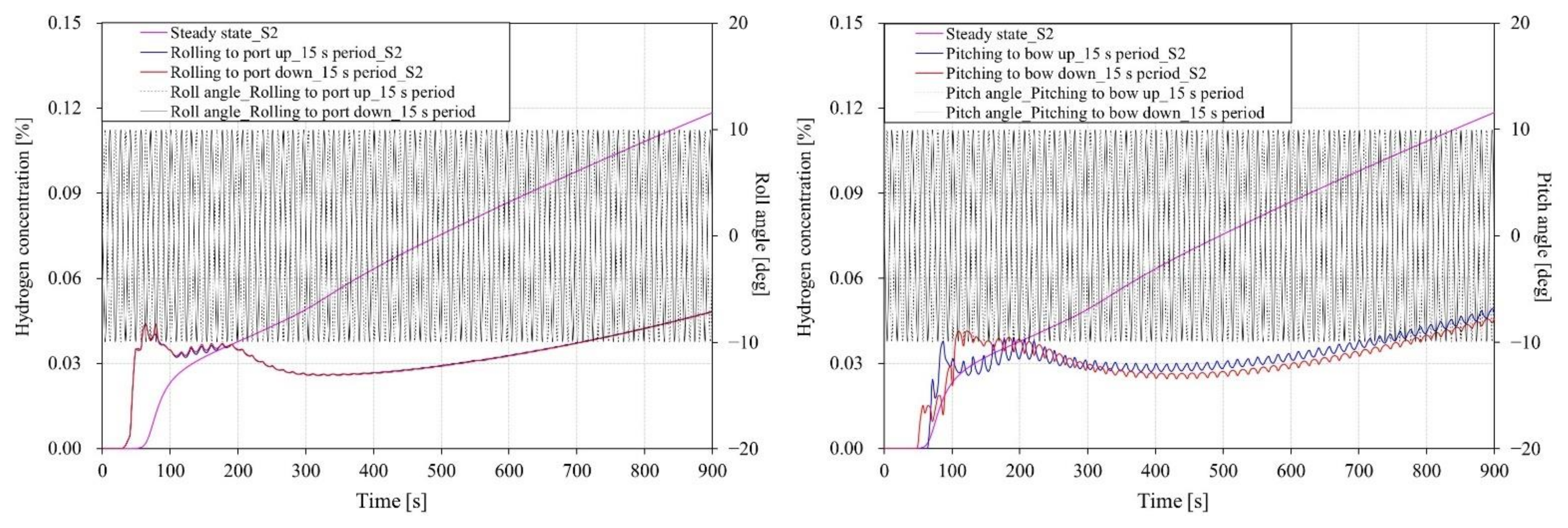
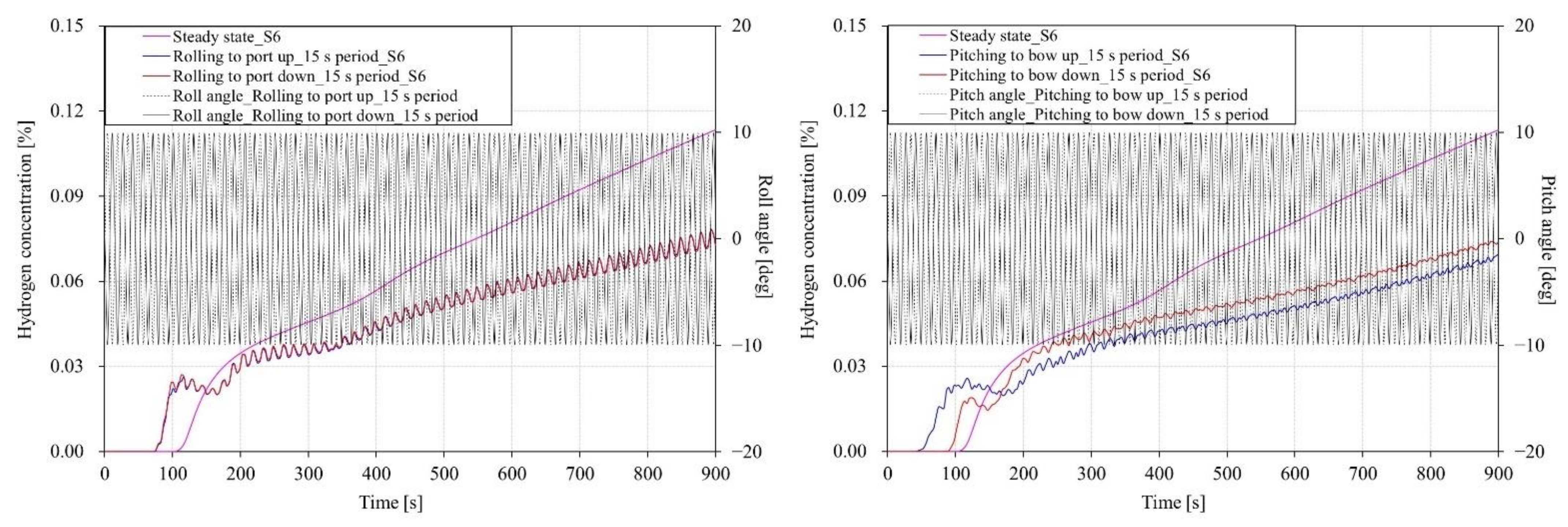
3.5. Effect of Ship Motion Periods
4. Conclusions
- (1)
- When the hydrogen leakage is located in the lateral direction, it reaches the sensors approximately 63% (15 s) faster during pitch (lateral) motion than in the steady state. On the other hand, in the case of longitudinal motion, it reaches the sensor approximately 50% (30 s) faster. When the direction of rotation is the same based on the hydrogen leak’s location, the effect on the hydrogen concentration distribution and diffusion is significant;
- (2)
- We confirmed that the difference in time required by hydrogen to reach the sensor depends on the direction of motion and location of the hydrogen leak. When moving in the same direction as the hydrogen leakage, it reaches the sensor 52% (64 s) faster than in the steady state due to updraft formation; however, in the opposite case, the time required to reach the sensor compared to the steady state increases by 50% (20 s);
- (3)
- By comparing the results of hydrogen concentration, we confirmed that the difference in time elapsed to reach the sensor, dependent on the motion period of the vessel, is smaller compared to the steady-state; the longer the cycle, the weaker the effect of the cycle period on hydrogen diffusion.
Author Contributions
Funding
Conflicts of Interest
References
- Asikainen, A.; Pärjälä, E.; Jantunen, M.; Tuomisto, J.T.; Sabel, C.E. Effects of local greenhouse gas abatement strategies on air pollutant emissions and on health in Kuopio, Finland. Climate 2017, 5, 43. [Google Scholar] [CrossRef] [Green Version]
- Walker, T.R.; Adebambo, O.; Del, M. Environmental effects of marine transportation. In Word Seas: An Environmental Evaluation, 2nd ed.; Elsevier: Amsterdam, The Netherlands, 2018; Chapter 27. [Google Scholar]
- Kim, H.; Koo, K.Y.; Joung, T.H. A study on the necessity of integrated evaluation of alternative marine fuels. J. Int. Marit. Saf. Environ. Aff. Shipp. 2020, 4, 26–31. [Google Scholar] [CrossRef]
- Chen, J.; Fei, Y.; Wan, Z. The relationship between the development of global maritime fleets and GHG emission from shipping. J. Environ. Manag. 2019, 242, 31–39. [Google Scholar] [CrossRef] [PubMed]
- IMO. Fourth IMO GHG Study 2020; International Maritime Organization (IMO): London, UK, 2020. [Google Scholar]
- IMO. Initial IMO Strategy on Reduction of GHG Emissions from Ships, Resolution MEPC.304 (72) Adopted on 13 April 2018; International Maritime Organization: London, UK, 2018; p. 13. [Google Scholar]
- Joung, T.H.; Kang, S.G.; Lee, J.K.; Ahn, J. The IMO initial strategy for reducing Greenhouse Gas (GHG) emissions, and its follow-up actions towards 2050. J. Int. Marit. Saf. Environ. Aff. Shipp. 2020, 4, 1–7. [Google Scholar] [CrossRef] [Green Version]
- Endresen, Ø.; Eide, M.; Longva, T. Maritime Forecast. To 2050. Energy Transition Outlook 2019; DNV GL: Hamburg, Germany, 2019; Available online: https://eto.dnvgl.com/2019/download (accessed on 1 December 2021).
- LR/UMAS. Zero-Emission Vessels 2030: Transition Pathways; UMAS/Lloyd’s Register: London, UK, 2019. [Google Scholar]
- Lide, D. CRC Handbook of Chemistry and Physics, 74th ed.; CRC Press: Boca Raton, FL, USA, 1993. [Google Scholar]
- IMO. International Code of Safety for Ships Using Gases or Other Low-Flashpoint Fuels (IGF Code), MSC.391(95) Resolution; IMO (International Maritime Organization): London, UK, 2015. [Google Scholar]
- Li, F.; Yuan, Y.; Yan, X.; Malekian, R.; Li, Z. A study on a numerical simulation of the leakage and diffusion of hydrogen in a fuel cell ship. Renew. Sustain. Energy Rev. 2018, 97, 177–185. [Google Scholar] [CrossRef] [Green Version]
- Liu, Y.L.; Zheng, Y.Y.; Xu, P.; Zhao, Y.Z.; Bie, H.Y.; Chen, H.G.; Dryver, H. Numerical simulation on the diffusion of hydrogen due to high pressured storage tanks failure. J. Loss Prev. Process Ind. 2009, 22, 265–270. [Google Scholar] [CrossRef]
- Dadashzadeh, M.; Ahmad, A.; Khan, F. Dispersion modelling and analysis of hydrogen fuel gas released in an enclosed area: A CFD-based approach. Fuel 2016, 184, 192–201. [Google Scholar] [CrossRef]
- Malakhov, A.A.; Avdeenkov, A.V.; du Toit, M.H.; Bessarabov, D.G. CFD simulation and experimental study of a hydrogen leak in a semi-closed space with the purpose of risk mitigation. Int. J. Hydrog. Energy 2020, 45, 9231–9240. [Google Scholar] [CrossRef]
- Lacome, J.M.; Jamois, D.; Perrette, D.; Proust, C.H. Large-scale hydrogen release in an isothermal confined area. Int. J. Hydrog. Energy 2011, 36, 2302–2312. [Google Scholar] [CrossRef] [Green Version]
- Mao, X.; Ying, R.; Yuan, Y.; Li, F.; Shen, B. Simulation and analysis of hydrogen leakage and explosion behaviors in various compartments on a hydrogen fuel cell ship. Int. J. Hydrog. Energy 2021, 46, 6857–6872. [Google Scholar] [CrossRef]
- ANSYS Fluent Theory Guide. Release 19.2; ANSYS: Canonsburg, PA, USA, 2019. [Google Scholar]
- Hussein, H.; Brennan, S.; Molkov, V. Dispersion of hydrogen release in a naturally ventilated covered car park. Int. J. Hydrog. Energy 2020, 45, 23882–23897. [Google Scholar] [CrossRef]
- Tang, X.; Pu, L.; Shao, X.; Lei, G.; Li, Y.; Wang, X. Dispersion behavior and safety study of liquid hydrogen leakage under different application situations. Int. J. Hydrog. Energy 2020, 45, 31278–31288. [Google Scholar] [CrossRef]
- IMO. International Code on Intact Stability, MSC.267(85) Resolution; IMO (International Maritime Organization): London, UK, 2008. [Google Scholar]
- Biran, A.; Pulido, R.L. Ship Hydrostatics and Stability; Butterworth-Heinemann: Oxford, UK, 2013. [Google Scholar]















| Object | Method | Parameters | Ref | ||
|---|---|---|---|---|---|
| Initial Pressure | Release Flow Rate | Diameter [mm] | |||
| Hydrogen fuel cell ship | Simulation/FLUENT | 10 MPa | 0.467 | 10 | [12] |
| Hydrogen storage tank | Simulation/FLUENT | 42 MPa | - | 0.5, 1, 2, 5 | [13] |
| Hydrogen fuel cell vehicle | Simulation/FDS | - | 6.7 × 10−4 kg/s | - | [14] |
| Semi-closed space | Simulation/STAR-CCM+ | 2, 5, 20 bar | - | 0.4572, 0.8 | [15] |
| Simple geometric spaces | Experiment | - | 0.2, 1 kg/s | 5, 10, 20 | [16] |
| Experimental facility | W × L × H (m) | 0.5 × 1.0 × 0.75 |
| Volume (m3) | 0.1596 | |
| Hydrogen leak | Diameter (m) | 0.001587 (1/16 inch) |
| Inlet (kg/s) | 0.965 × 10−5 | |
| Pressure (Pa) | 1,400,000 | |
| Natural ventilation opening | Diameter (m) | 0.01 |
| Translation or Rotation | Type of Ship Motion | Axis | Positive Sense |
|---|---|---|---|
| Translation | Surge | Along x | Forwards |
| Sway | Along y | To starboard | |
| Heave | Along z | Upwards | |
| Rotation | Roll | About x | Port up |
| Pitch | About y | Bow up | |
| Yaw | About z | Starboard to bow |
| S2 | S3 | S4 | S5 | S6 | |
|---|---|---|---|---|---|
| Steady state | 60 s | 53 s | 40 s | 53 s | 124 s |
| 60 s period Pitching to bow up | 45 s (−23%) | 30 s (−43%) | 15 s (−63%) | 30 s (−43%) | 60 s (−52%) |
| 60 s period Rolling to port up | 30 s (−50%) | 45 s (−15%) | 30 s (−25%) | 45 s (−15%) | 90 s (−27%) |
| S2 | S3 | S4 | S5 | S6 | ||
|---|---|---|---|---|---|---|
| Steady state | 60 s | 53 s | 40 s | 53 s | 124 s | |
| Pitch motion 15 s period | Bow up | 68 s (+13%) | 49 s (−8%) | 23 s (−43%) | 49 s (−8%) | 60 s (−52%) |
| Bow down | 53 s (−12%) | 79 s (+49%) | 60 s (+50%) | 79 s (+49%) | 101 s (−19%) | |
| Roll motion 15 s period | Port up | 45 s (−25%) | 41 s (−23%) | 65 s (+63%) | 64 s (+21%) | 87 s (−30%) |
| Port down | 45 s (−25%) | 64 s (+21%) | 65 s (+63%) | 41 s (−23%) | 87 s (−30%) | |
| S2 | S3 | S4 | S5 | S6 | |
|---|---|---|---|---|---|
| Steady state | 60 s | 53 s | 40 s | 53 s | 124 s |
| 15 s period Pitching to bow up | 68 s (+13%) | 49 s (−8%) | 23 s (−43%) | 49 s (−8%) | 60 s (−52%) |
| 60 s period Pitching to bow up | 45 s (−23%) | 30 s (−43%) | 15 s (−63%) | 30 s (−43%) | 60 s (−52%) |
| 120 s period Pitching to bow up | 60 s (0%) | 60 s (+13%) | 40 s (0%) | 60 s (+13%) | 60 s (−52%) |
Publisher’s Note: MDPI stays neutral with regard to jurisdictional claims in published maps and institutional affiliations. |
© 2022 by the authors. Licensee MDPI, Basel, Switzerland. This article is an open access article distributed under the terms and conditions of the Creative Commons Attribution (CC BY) license (https://creativecommons.org/licenses/by/4.0/).
Share and Cite
Kim, B.; Hwang, K.-I. Numerical Analysis of the Effects of Ship Motion on Hydrogen Release and Dispersion in an Enclosed Area. Appl. Sci. 2022, 12, 1259. https://doi.org/10.3390/app12031259
Kim B, Hwang K-I. Numerical Analysis of the Effects of Ship Motion on Hydrogen Release and Dispersion in an Enclosed Area. Applied Sciences. 2022; 12(3):1259. https://doi.org/10.3390/app12031259
Chicago/Turabian StyleKim, Byeol, and Kwang-Il Hwang. 2022. "Numerical Analysis of the Effects of Ship Motion on Hydrogen Release and Dispersion in an Enclosed Area" Applied Sciences 12, no. 3: 1259. https://doi.org/10.3390/app12031259
APA StyleKim, B., & Hwang, K.-I. (2022). Numerical Analysis of the Effects of Ship Motion on Hydrogen Release and Dispersion in an Enclosed Area. Applied Sciences, 12(3), 1259. https://doi.org/10.3390/app12031259

