Crystal Structure, Electrical Conductivity and Hydration of the Novel Oxygen-Deficient Perovskite La2ScZnO5.5, Doped with MgO and CaO
Abstract
:1. Introduction
2. Materials and Methods
2.1. Synthesis of Perovskite La2ScZnO5.5 and Doped Samples
2.2. X-ray Diffraction
2.3. Thermogravimetric Analysis Coupled with Mass Spectrometry
2.4. Conductivity Measurements
3. Results and Discussion
3.1. Structure
3.2. Hydration Behavior
3.3. Conductivity
3.3.1. Analysis of Impedance Spectra
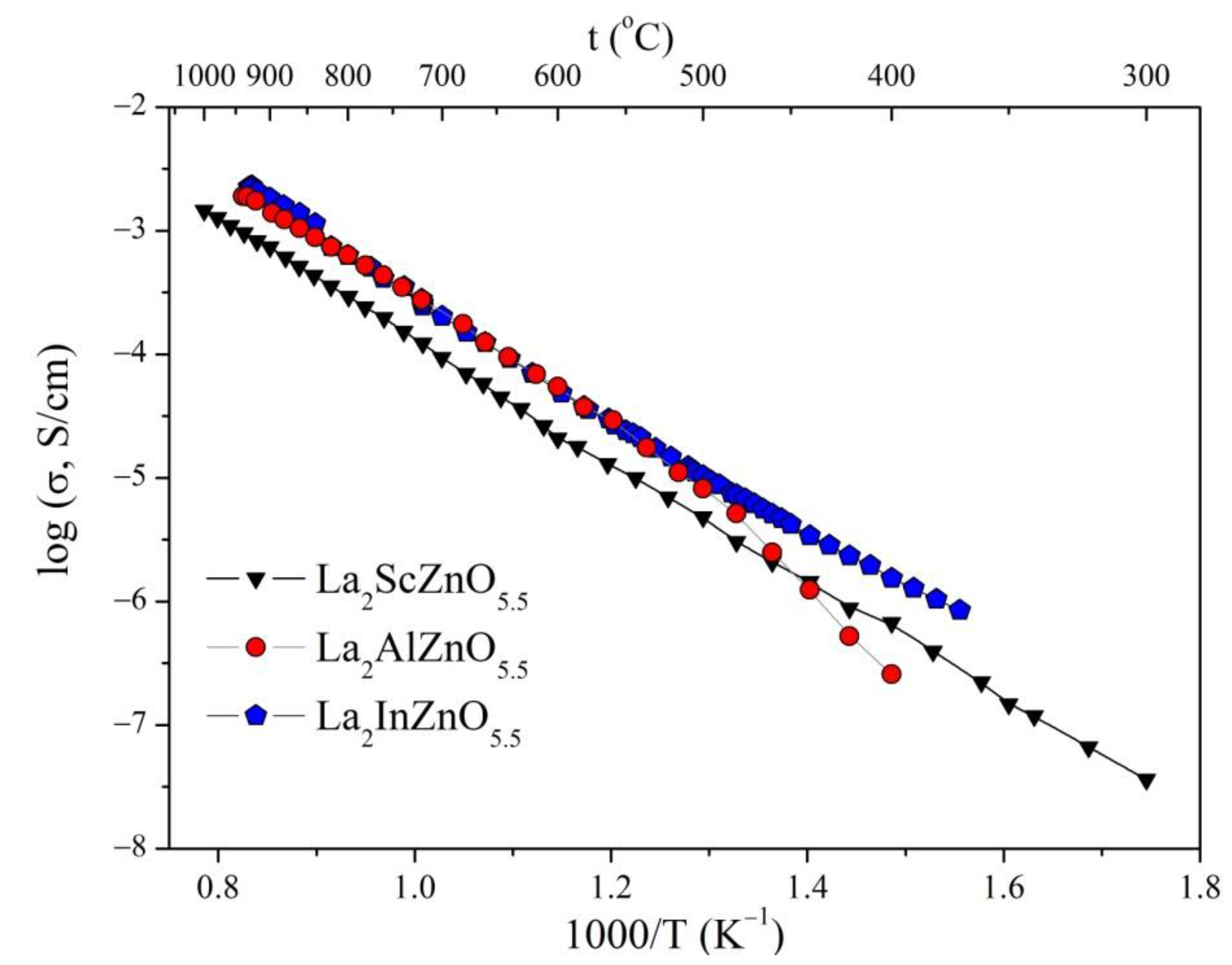
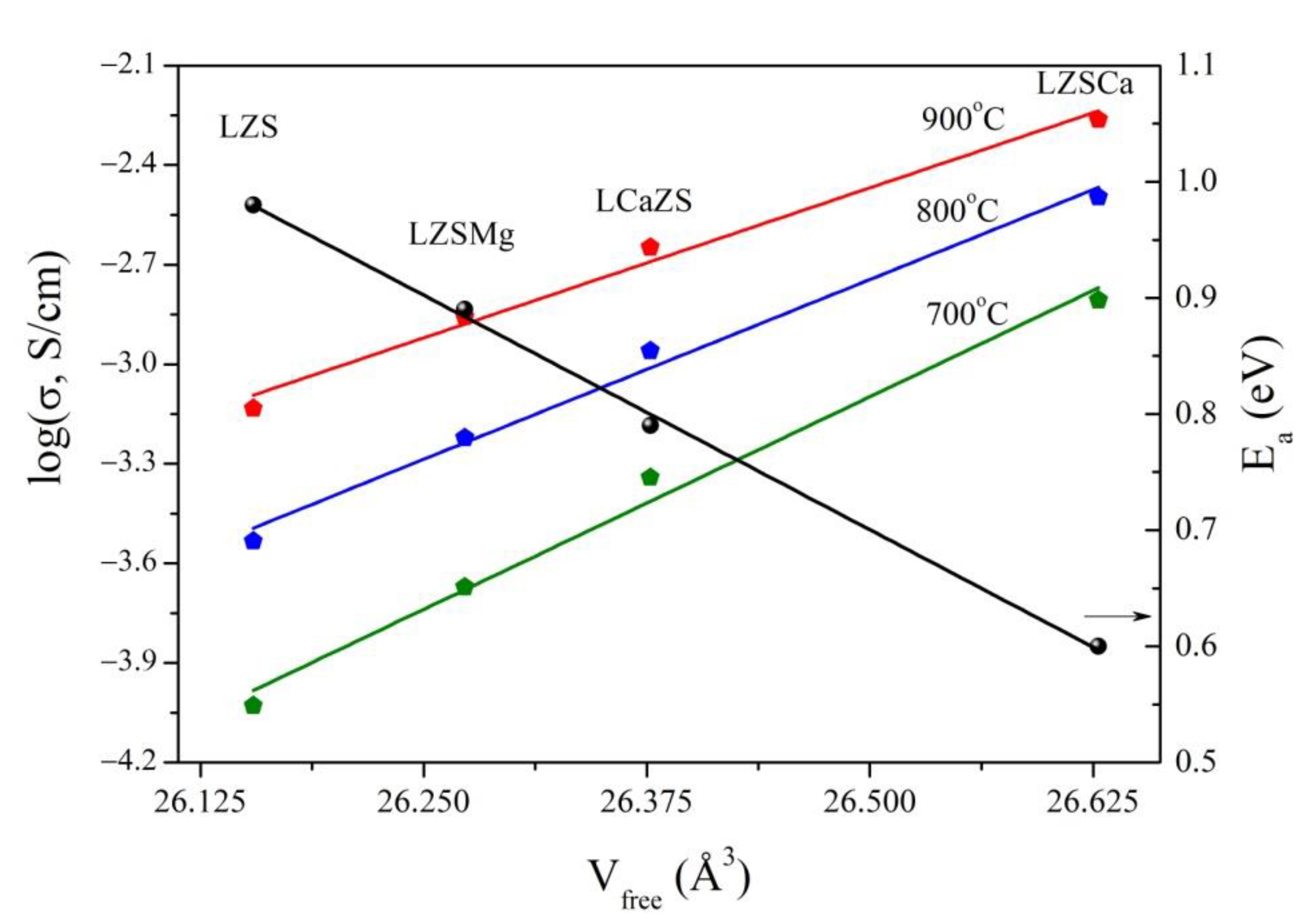
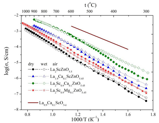
3.3.2. Temperature Dependencies of Conductivity
Dry Conditions
Wet Conditions
4. Conclusions
Author Contributions
Funding
Institutional Review Board Statement
Informed Consent Statement
Acknowledgments
Conflicts of Interest
References
- Knauth, P.; Tuller, H.L. Solid-State Ionics: Roots, Status, and Future Prospects. J. Am. Ceram. Soc. 2002, 85, 1654–1680. [Google Scholar] [CrossRef]
- Ramamoorthy, R.; Dutta, P.K.; Akbar, S.A. Oxygen sensors: Materials, methods, designs and applications. J. Mater. Sci. 2003, 38, 4271–4282. [Google Scholar] [CrossRef]
- Kochetova, N.; Animitsa, I.; Medvedev, D.; Demin, A.; Tsiakaras, P. Recent activity in the development of proton-conducting oxides for high-temperature applications. RSC Adv. 2016, 6, 73222–73268. [Google Scholar] [CrossRef]
- Skinner, S.J.; Kilne, J.A. Oxygen ion conductors. Mater. Today 2003, 6, 30–37. [Google Scholar] [CrossRef]
- Caramanico, N.; Di Florio, G.; Baratto, M.C.; Cigolotti, V.; Basosi, R.; Busi, E. Economic Analysis of Hydrogen Household Energy Systems Including Incentives on Energy Communities and Externalities: A Case Study in Italy. Energies 2021, 14, 5847. [Google Scholar] [CrossRef]
- Zhang, W.; Hu, Y.H. Progress in proton-conducting oxides as electrolytes for low-temperature solid oxide fuel cells: From materials to devices. Energy Sci. Eng. 2021, 9, 984–1011. [Google Scholar] [CrossRef]
- Ishihara, T. Perovskite Oxide for Solid Oxide Fuel Cells; Springer: New York, NY, USA, 2009. [Google Scholar] [CrossRef]
- Draber, F.M.; Ader, C.; Arnold, J.P.; Eisele, S.; Grieshammer, S.; Yamaguchi, S.; Martin, M. Nanoscale percolation in doped BaZrO3 for high proton mobility. Nat. Mater. 2020, 19, 338–346. [Google Scholar] [CrossRef] [PubMed]
- Animitsa, I.; Neiman, A.; Kochetova, N.; Melekh, B.; Sharafutdinov, A. Proton and oxygen-ion conductivity of Ba4Ca2Nb2O11. Solid State Ion. 2003, 162–163, 63–71. [Google Scholar] [CrossRef]
- Murakami, T.; Hester, J.R.; Yashima, M. High Proton Conductivity in Ba5Er2Al2ZrO13, a hexagonal perovskite-related oxide with intrinsically oxygen-deficient layers. J. Am. Chem. Soc. 2020, 142, 11653–11657. [Google Scholar] [CrossRef]
- Animitsa, I.; Neiman, A.; Kochetova, N.; Korona, D.; Sharafutdinov, A. Chemical diffusion of water in the double perovskites Ba4Ca2Nb2O11 and Sr6Ta2O11. Solid State Ion. 2006, 177, 2363–2368. [Google Scholar] [CrossRef]
- Korona, D.V.; Neiman, A.Y.; Animitsa, I.E.; Sharafutdinov, A.R. Effect of humidity on conductivity of Ba4Ca2Nb2O11 phase and solid solutions based on this phase. Russ. J. Electrochem. 2009, 45, 586–592. [Google Scholar] [CrossRef]
- Animitsa, I.; Denisova, T.; Neiman, A.; Nepryahin, A.; Kochetova, N.; Zhuravlev, N.; Colomban, P. States of H+-containing species and proton migration forms in hydrated niobates and tantalates of alkaline-earth metals with a perovskite-related structure. Solid State Ion. 2003, 162–163, 73–81. [Google Scholar] [CrossRef]
- Colomban, P.; Romain, F.; Neiman, A.; Animitsa, I. Double perovskites with oxygen structural vacancies: Raman spectra, conductivity and water uptake. Solid State Ion. 2001, 145, 339–347. [Google Scholar] [CrossRef]
- Glockner, R.; Neiman, A.; Larring, Y.; Norby, T. Protons in Sr3(Sr1+xNb2-x)O9−3x/2. Solid State Ion. 1999, 125, 369–376. [Google Scholar] [CrossRef]
- Jalarvo, N.; Haavik, C.; Kongshaug, C.; Norby, P.; Norby, T. Conductivity and water uptake of Sr4(Sr2Nb2)O11·nH2O and Sr4(Sr2Ta2)O11·nH2O. Solid State Ion. 2009, 180, 1151–1156. [Google Scholar] [CrossRef]
- Animitsa, I.E.; Neiman, A.Y.; Sharafutdinov, A.R.; Kazakova, M.G. Strontium tantalates with a perovskite structure: Their conductivity and high-temperature interaction with water. Russ. J. Electrochem. 2001, 37, 266–272. [Google Scholar] [CrossRef]
- Baliteau, S.; Mauvy, F.; Fourcade, S.; Grenier, J.C. Investigation on double perovskite Ba4Ca2Ta2O11. Solid State Sci. 2009, 11, 1572–1575. [Google Scholar] [CrossRef]
- Animitsa, I.; Dogodaeva, E.; Tarasova, N.; Kosareva, O.; Neiman, A. Oxygen-ion and proton transport in Ba4Na2W2O11. Solid State Ion. 2011, 185, 1–5. [Google Scholar] [CrossRef]
- Schober, T. Protonic conduction in BaIn0.5Sn0.5O2.75. Solid State Ion. 1998, 109, 1–11. [Google Scholar] [CrossRef]
- Murugaraj, P.; Kreuer, K.D.; He, T.; Schober, T.; Maier, J. High proton conductivity in barium yttrium stannate Ba2YSnO5.5. Solid State Ion. 1997, 98, 1–6. [Google Scholar] [CrossRef]
- Animitsa, I.E.; Dogodaeva, E.N.; Nokhrin, S.S.; Kosareva, O.A.; Neiman, A.Y. Synthesis, structure, and electric properties of oxygen-deficient perovskites Ba3In2ZrO8 and Ba4In2Zr2O11. Russ. J. Electrochem. 2010, 46, 734–740. [Google Scholar] [CrossRef]
- Medvedev, D.; Murashkina, A.; Pikalova, E.; Demin, A.; Podias, A.; Tsiakaras, P. BaCeO3: Materials development, properties and application. Prog. Mater. Sci. 2014, 60, 72–129. [Google Scholar] [CrossRef]
- Sazinas, R.; Bernuy-Lopez, C.; Einarsrud, M.-A.; Grande, T. Effect of CO2 exposure on the chemical stability and mechanical properties of BaZrO3-ceramics. J. Am. Ceram. Soc. 2016, 99, 3685–3695. [Google Scholar] [CrossRef] [Green Version]
- Gopalan, S.; Virkar, A.V. Thermodynamic stabilities of SrCeO3 and BaCeO3 using a molten salt method and galvanic cells. J. Electrochem. Soc. 1993, 140, 1060–1065. [Google Scholar] [CrossRef]
- Medvedev, D.; Lyagaeva, J.; Plaksin, S.; Demin, A.; Tsiakaras, P. Sulfur and carbon tolerance of BaCeO3-BaZrO3 proton-conducting materials. J. Power Sources. 2015, 273, 716–723. [Google Scholar] [CrossRef]
- Nomura, K.; Takeuchi, T.; Kamo, S.; Kageyama, H.; Miyazaki, Y. Proton conduction in doped LaScO3 perovskites. Solid State Ion. 2004, 175, 553–555. [Google Scholar] [CrossRef]
- Lybye, D.; Bonanos, N. Proton and oxide ion conductivity of doped LaScO3. Solid State Ion. 1999, 125, 339–344. [Google Scholar] [CrossRef]
- Lesnichyova, A.S.; Belyakov, S.A.; Stroeva, A.Y.; Kuzmin, A.V. Proton conductivity and mobility in Sr-doped LaScO3 perovskites. Ceram. Int. 2021, 47, 6105–6113. [Google Scholar] [CrossRef]
- Kim, S.; Lee, K.H.; Lee, H.L. Proton conduction in La0.6Ba0.4ScO2.8 cubic perovskite. Solid State Ion. 2001, 144, 109–115. [Google Scholar] [CrossRef]
- Nomura, K.; Takeuchi, T.; Tanase, S.; Kageyama, H.; Tanimoto, K.; Miyazaki, Y. Proton conduction in (La0.9Sr0.1)MIIIO3-δ (MIII=Sc, In, and Lu) perovskites. Solid State Ion. 2002, 154–155, 647–652. [Google Scholar] [CrossRef]
- Lybye, D.; Poulsen, F.W.; Mogensen, M. Conductivity of A- and B-site doped LaAlO3, LaGaO3, LaScO3 and LaInO3 perovskites. Solid State Ion. 2000, 128, 91–103. [Google Scholar] [CrossRef]
- Lesnichyova, A.; Stroeva, A.; Belyakov, S.; Farlenkov, A.; Shevyrev, N.; Plekhanov, M.; Khromushin, I.; Aksenova, T.; Ananyev, M.; Kuzmin, A. Water uptake and transport properties of La1−xCaxScO3−α proton-conducting oxides. Materials 2019, 12, 2219. [Google Scholar] [CrossRef] [Green Version]
- Farlenkov, A.S.; Smolnikov, A.G.; Ananyev, M.V.; Khodimchuk, A.V.; Buzlukov, A.L.; Kuzmin, A.V.; Porotnikova, N.M. Local disorder and water uptake in La1−xSrxScO3−δ. Solid State Ion. 2017, 306, 82–88. [Google Scholar] [CrossRef]
- Farlenkov, A.S.; Putilov, L.P.; Ananyev, M.V.; Antonov, E.P.; Eremin, V.A.; Stroeva, A.Y.; Sherstobitova, E.A.; Voronin, V.I.; Berger, I.F.; Tsidilkovski, V.I.; et al. Water uptake, ionic and hole transport in La0.9Sr0.1ScO3−δ. Solid State Ion. 2017, 306, 126–136. [Google Scholar] [CrossRef]
- Plekhanov, M.S.; Kuzmin, A.V.; Tropin, E.S.; Korolev, D.A.; Ananyev, M.V. New mixed ionic and electronic conductors based on LaScO3: Protonic ceramic fuel cells electrodes. J. Power Sources 2020, 449, 227476. [Google Scholar] [CrossRef]
- Zhao, G.; Suzuki, K.; Hirayama, M.; Kanno, R. Syntheses and characterization of novel perovskite-type LaScO3-based lithium ionic conductors. Molecules 2021, 26, 299. [Google Scholar] [CrossRef]
- Farlenkov, A.S.; Zhuravlev, N.A.; Denisov, T.A.; Ananyev, M.V. Interaction of O2, H2O and H2 with proton-conducting oxides based on lanthanum scandates. Int. J. Hydrog. Energy 2019, 44, 26419–26427. [Google Scholar] [CrossRef]
- Kuzmin, A.V.; Stroeva, A.Y.; Gorelov, V.P.; Novikova, Y.V.; Lesnichyova, A.S.; Farlenkov, A.S.; Khodimchuk, A.V. Synthesis and characterization of dense proton-conducting La1-xSrxScO3-α ceramics. Int. J. Hydrog. Energy 2019, 44, 1130–1138. [Google Scholar] [CrossRef]
- Kuzmin, A.V.; Lesnichyova, A.S.; Tropin, E.S.; Stroeva, A.Y.; Vorotnikov, V.A.; Solodyankina, D.M.; Belyakov, S.A.; Plekhanov, M.S.; Farlenkov, A.S.; Osinkin, D.A.; et al. LaScO3-based electrolyte for protonic ceramic fuel cells: Influence of sintering additives on the transport properties and electrochemical performance. J. Power Sources 2020, 466, 228255. [Google Scholar] [CrossRef]
- Fisher, C.A.J.; Taguchi, A.; Ogawa, T.; Kuwabara, A. Structural phase transitions of LaScO3 from first principles. Mater. Today Commun. 2021, 26, 102048. [Google Scholar] [CrossRef]
- Nikodemski, S.; Tong, J.; O’Hayre, R. Solid-state reactive sintering mechanism for proton conducting ceramics. Solid State Ion. 2013, 253, 201–210. [Google Scholar] [CrossRef]
- Sukhanov, M.V.; Pet’kov, V.I.; Firsov, D.B. Sintering mechanism of high density NZP-ceramics. Inorg. Mater. 2011, 47, 674–678. [Google Scholar] [CrossRef]
- Medvedev, D.A.; Murashkina, A.A.; Demin, A.K. Formation of dense electrolytes based on BaCeO3 and BaZrO3 for application in solid oxide fuel cells: The role of solid state reactive sintering. Review J. Chem. 2015, 5, 193–214. [Google Scholar] [CrossRef]
- Korona, D.V.; Ivanova, I.V.; Obrubova, A.V.; Sharafutdinov, A.R.; Animitsa, I.E. Proton conductivity and the thermal properties of Ba2CeZnO5. Bull. Russ. Acad. Sci. Phys. 2017, 81, 628–631. [Google Scholar] [CrossRef]
- Egorova, A.V.; Belova, K.G.; Animitsa, I.E. New oxygen-deficient perovskite La(Al0.5Zn0.5)O2.75: Synthesis, structure, and transport properties. Russ. J. Phys. Chem. A. 2020, 94, 2480–2486. [Google Scholar] [CrossRef]
- Egorova, A.V.; Morkhova, Y.A.; Kabanov, A.A.; Belova, K.G.; Animitsa, I.E.; Blatov, V.A.; Pimenov, A.A.; Korona, D.V. Oxygen ionic transport in LaInO3 and LaIn0.5Zn0.5O2.75 perovskites: Theory and experiment. Solid State Ion. 2021, 372, 115790. [Google Scholar] [CrossRef]
- Bakiz, B.; Guinneton, F.; Arab, M.; Benlhachemi, A.; Villain, S.; Satre, P.; Gavarri, J.-R. Carbonatation and decarbonatation kinetics in the La2O3-La2O2CO3 system under CO2 gas flows. Adv. Mater. Sci. Eng. 2010, 2010, 360597. [Google Scholar] [CrossRef] [Green Version]
- Rodríguez-Carvajal, J. Recent Developments of the Program FULLPROF In Commission on Powder Diffraction (IUCr). Newsletter 2001, 26, 12–19. [Google Scholar]
- ASTM C373-88. Standard Test Method for Water Absorption, Bulk Density, Apparent Porosity, and Apparent Specific Gravity of Fired Whiteware Products; ASTM Int.: West Conshohocken, PA, USA, 2006. [Google Scholar]
- Shannon, R.D. Revised effective ionic radii and systematic studies of interatomic distances in halides and chalcogenides. Acta Crystallogr. Sect. A Found. Crystallogr. 1976, 32, 751–767. [Google Scholar] [CrossRef]
- Animitsa, I.; Norby, T.; Marion, S.; Glockner, R.; Neiman, A. Incorporation of water in strontium tantalates with perovskite-related structure. Solid State Ion. 2001, 145, 357–364. [Google Scholar] [CrossRef]
- Okuyama, Y.; Kozai, T.; Ikeda, S.; Matsuka, M.; Sakai, T.; Matsumoto, H. Incorporation and conduction of proton in Sr-doped LaMO3-δ (M=Al, Sc, In, Yb, Y). Electrochim. Acta 2014, 125, 443–449. [Google Scholar] [CrossRef]
- Okuyama, Y.; Ikeda, S.; Sakai, T.; Matsumoto, H. Incorporation of a proton into La0.9Sr0.1(Yb1-xMx)O3-δ (M= Y, In). Solid State Ion. 2014, 262, 865–869. [Google Scholar] [CrossRef]
- Okuyama, Y.; Kozai, T.; Sakai, T.; Matsuka, M.; Matsumoto, H. Proton transport properties of La0.9M0.1YbO3-δ (M=Ba, Sr, Ca, Mg). Electrochim. Acta 2013, 95, 54–59. [Google Scholar] [CrossRef]
- Obukuro, Y.; Okuyama, Y.; Sakai, G.; Matsushima, S. Experimental and theoretical approaches for the investigation of proton conductive characteristics of La1−xBaxYbO3−δ. J. Alloys Compd. 2019, 770, 294–300. [Google Scholar] [CrossRef]
- Chatzichristodoulou, C.; Norby, P.; Hendriksen, P.V.; Mogensen, M.B. Size of oxide vacancies in fluorite and perovskite structured oxides. J. Electroceram. 2015, 34, 100–107. [Google Scholar] [CrossRef] [Green Version]
- Jedvik, E.; Lindman, A.; Benediktsson, M.Þ.; Wahnström, G. Size and shape of oxygen vacancies and protons in acceptor-doped barium zirconate. Solid State Ion. 2015, 275, 2–8. [Google Scholar] [CrossRef] [Green Version]
- Kharton, V.V.; Marques, F.M.B.; Kilner, J.A.; Atkinson, A. Oxygen ion-conducting materials. In Solid State Electrochemistry I: Fundamentals, Materials and Their Applications; Kharton, V., Ed.; Wiley-VCH Verlag GmbH & Co.: Weinheim, Germany, 2009; pp. 301–334. [Google Scholar] [CrossRef]
- Kreuer, K.D. Proton-conducting oxides. Annu. Rev. Mater. Res. 2003, 33, 333–359. [Google Scholar] [CrossRef] [Green Version]
- Iwahara, H.; Yajima, T.; Hibino, T.; Ozaki, K.; Suzuki, H. Protonic conduction in calcium, strontium and barium zirconates. Solid State Ion. 1993, 61, 65–69. [Google Scholar] [CrossRef]
- Haugsrud, R.; Norby, T. Proton conduction in rare-earth ortho-niobates and ortho-tantalates. Nat. Mater. 2006, 5, 193–196. [Google Scholar] [CrossRef]









| Formula | a, Å | b, Å | c, Å | V *, Å3 | V ** free, Å3 |
|---|---|---|---|---|---|
| La2ScZnO5.5 | 5.796 (5) | 8.101 (9) | 5.683 (4) | 66.73 | 26.15 |
| La2Sc0.9Mg0.1ZnO5.45 | 5.792 (7) | 8.095 (7) | 5.678 (9) | 66.58 | 26.27 |
| La2Sc0.9Ca0.1ZnO5.45 | 5.813 (3) | 8.116 (2) | 5.685 (7) | 67.06 | 26.63 |
| La1.9Ca0.1ScZnO5.45 | 5.794 (7) | 8.099 (8) | 5.681 (7) | 66.67 | 26.38 |
| La2InZnO5.5 [47] | 5.941 (2) | 8.217 (1) | 5.723 (7) | 69.86 | 29.08 |
| La2AlZnO5.5 [46] | 3.7932 (1) | − | − | 54.58 | 14.55 |
Publisher’s Note: MDPI stays neutral with regard to jurisdictional claims in published maps and institutional affiliations. |
© 2022 by the authors. Licensee MDPI, Basel, Switzerland. This article is an open access article distributed under the terms and conditions of the Creative Commons Attribution (CC BY) license (https://creativecommons.org/licenses/by/4.0/).
Share and Cite
Belova, K.; Egorova, A.; Pachina, S.; Animitsa, I. Crystal Structure, Electrical Conductivity and Hydration of the Novel Oxygen-Deficient Perovskite La2ScZnO5.5, Doped with MgO and CaO. Appl. Sci. 2022, 12, 1181. https://doi.org/10.3390/app12031181
Belova K, Egorova A, Pachina S, Animitsa I. Crystal Structure, Electrical Conductivity and Hydration of the Novel Oxygen-Deficient Perovskite La2ScZnO5.5, Doped with MgO and CaO. Applied Sciences. 2022; 12(3):1181. https://doi.org/10.3390/app12031181
Chicago/Turabian StyleBelova, Ksenia, Anastasia Egorova, Svetlana Pachina, and Irina Animitsa. 2022. "Crystal Structure, Electrical Conductivity and Hydration of the Novel Oxygen-Deficient Perovskite La2ScZnO5.5, Doped with MgO and CaO" Applied Sciences 12, no. 3: 1181. https://doi.org/10.3390/app12031181
APA StyleBelova, K., Egorova, A., Pachina, S., & Animitsa, I. (2022). Crystal Structure, Electrical Conductivity and Hydration of the Novel Oxygen-Deficient Perovskite La2ScZnO5.5, Doped with MgO and CaO. Applied Sciences, 12(3), 1181. https://doi.org/10.3390/app12031181

