Effect of Local Cyclic Loading on Direct Shear Strength Characteristics of Shear-Zone Soil
Abstract
1. Introduction
2. Landslide Overview
3. Materials and Methods
3.1. Soil Properties
3.2. Testing Methodology
4. Results
4.1. Monotonic Direct Shear Test Characteristics
4.2. Studying the Effect of Normal Stress
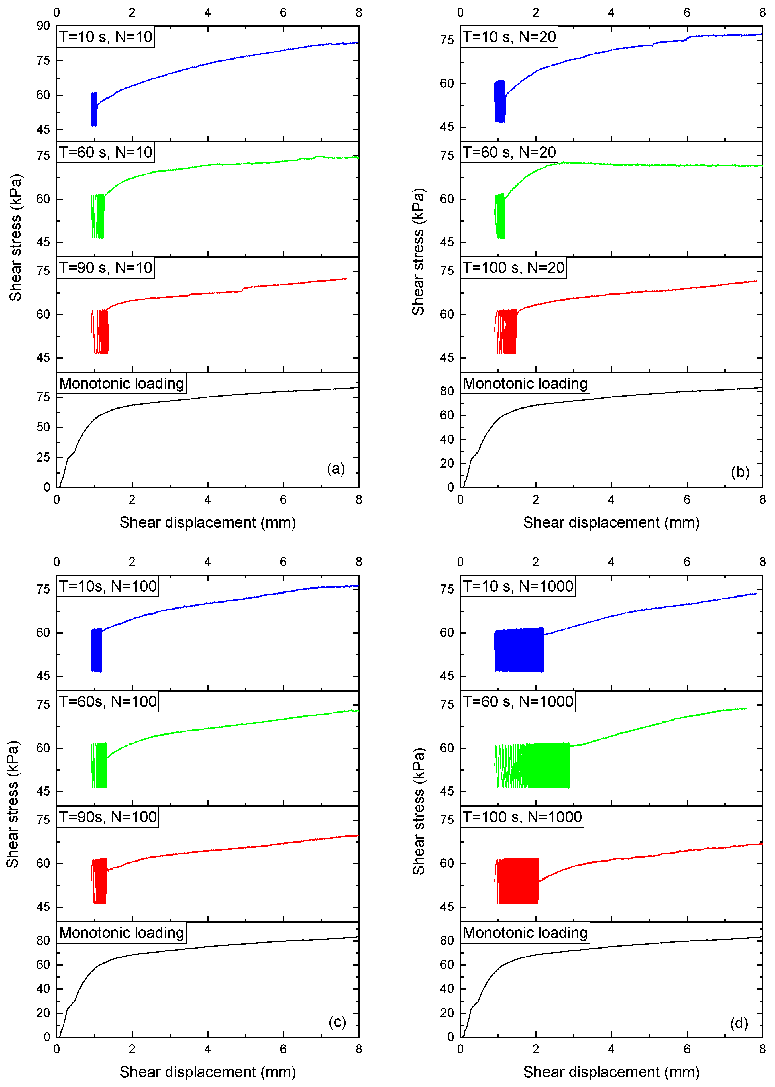
4.3. Studying the Effect of Number of Cycles
4.4. Studying the Effect of Cyclic Period
5. Discussion
5.1. Effect of Cyclic Loading on Shear Displacement
5.2. Effect of Cyclic Loading on Volume change
6. Conclusions
- The shear strength ratio fcm of shear-zone soil from monotonic and local cyclic direct shear testing depends on the normal stress and cyclic shear stress. As the normal stress increases, the shear strength ratio fcm grows almost linearly with different cyclic periods. The shear strength of shear-zone soil after applying local cyclic loading is smaller than that of monotonic loading because of ratcheting behavior and fatigue deterioration.
- In a local cyclic loading direct shear test, the shear failure stress of shear-zone soil decreases with an increase in the number of cycles and a decrease in the cyclic periods. In a local load-controlled cyclic loading test (stage II), the shear displacement of specimens in each cycle initially increases dramatically, and then increases slightly to steady stage, exhibiting a ratcheting effect. If loading persists after cyclic loading, the shear-zone soil hardens continuously, resulting in an elastic hysteresis loop with a larger number of cycles.
- Compared with monotonic loading, an increase in the cyclic period of cyclic loading on a specimen causes a decrease in the shear strength ratio fcm. The shear stress–displacement curves of the shear-zone soil with different numbers of cycles are quite similar, showing two individual parts: initially a plastic displacement stage and then elastic displacement stage.
- For slow-moving reservoir landslides in the TGR, the horizontal displacements are more sensitive than vertical ones after suffering local cyclic loadings.
Author Contributions
Funding
Institutional Review Board Statement
Informed Consent Statement
Data Availability Statement
Conflicts of Interest
References
- Gratchev, I.; Sassa, K.; Osipov, V.; Sokolov, V. The liquefaction of clayey soils under cyclic loading. Eng. Geol. 2006, 86, 70–84. [Google Scholar] [CrossRef]
- Sassa, K.; Fukuoka, H.; Wang, G.; Ishikawa, N. Undrained dynamic-loading ring-shear apparatus and its application to landslide dynamics. Landslides 2004, 1, 7–19. [Google Scholar] [CrossRef]
- Nakamura, S.; Wakai, A.; Umemura, J.; Sugimoto, H.; Takeshi, T. Earthquake-induced landslides: Distribution, motion and mechanisms. Soils Found. 2014, 54, 544–559. [Google Scholar] [CrossRef]
- Faris, F.; Fawu, W. Investigation of the initiation mechanism of an earthquake-induced landslide during rainfall: A case study of the Tandikat landslide, West Sumatra, Indonesia. Geoenviron. Disasters 2014, 1, 4. [Google Scholar] [CrossRef]
- Chen, Q.; Cui, D.; Chen, Y.; Tao, X.; Xiang, W. Effect of Prior Cyclic Loading on Triaxial Compression Strength of Sliding Zone Soil of the Huangtupo Landslide. Adv. Civ. Eng. 2021, 2021, 9924995. [Google Scholar] [CrossRef]
- Romeo, R. Seismically induced landslide displacements: A predictive model. Eng. Geol. 2000, 58, 337–351. [Google Scholar] [CrossRef]
- Tan, H.; Chen, S. A hybrid DEM-SPH model for deformable landslide and its generated surge waves. Adv. Water Resour. 2017, 108, 256–276. [Google Scholar] [CrossRef]
- Paronuzzi, P.; Bolla, A. The prehistoric Vajont rockslide: An updated geological model. Geomorphology 2012, 169, 165–191. [Google Scholar] [CrossRef]
- Shahnazari, H.; Dehnavi, Y.; Alavi, A.H. Numerical modeling of stress–strain behavior of sand under cyclic loading. Eng. Geol. 2010, 116, 53–72. [Google Scholar] [CrossRef]
- Tang, H.; Wasowski, J.; Juang, C.H. Geohazards in the three Gorges Reservoir Area, China–Lessons learned from decades of research. Eng. Geol. 2019, 261, 105267. [Google Scholar] [CrossRef]
- Tang, H.; Li, C.; Hu, X.; Su, A.; Wang, L.; Wu, Y.; Criss, R.; Xiong, C.; Li, Y. Evolution characteristics of the Huangtupo landslide based on in situ tunneling and monitoring. Landslides 2015, 12, 511–521. [Google Scholar] [CrossRef]
- Yin, Y.; Huang, B.; Wang, W.; Wei, Y.; Ma, X.; Ma, F.; Zhao, C. Reservoir-induced landslides and risk control. in Three Gorges Project on Yangtze River, China. J. Rock Mech. Geotech. 2016, 8, 577–595. [Google Scholar] [CrossRef]
- D’Aguiar, S.C.; Modaressi-Farahmand-Razavi, A.; dos Santos, J.A.; Lopez-Caballero, F. Elastoplastic constitutive modelling of soil–structure interfaces under monotonic and cyclic loading. Comput. Geotech. 2011, 38, 430–447. [Google Scholar] [CrossRef]
- Cui, D.; Wang, S.; Chen, Q.; Wu, W. Experimental Investigation on Loading-Relaxation Behaviors of Shear-Zone Soil. Int. J. Geomech. 2021, 21, 6021003. [Google Scholar] [CrossRef]
- Cabalar, A.F.; Dulundu, K.; Tuncay, K. Strength of various sands in triaxial and cyclic direct shear tests. Eng. Geol. 2013, 156, 92–102. [Google Scholar] [CrossRef]
- Kanth, A.; Maheshwari, B.K. Behaviour of Solani sand under monotonic and cyclic loading: Experiments and finite element simulations. Int. J. Geotech. Eng. 2021, 16, 729–742. [Google Scholar] [CrossRef]
- Tang, L.; Zhao, Z.; Luo, Z.; Sun, Y. What is the role of tensile cracks in cohesive slopes? J. Rock Mech. Geotech. 2019, 11, 314–324. [Google Scholar] [CrossRef]
- Hu, X.; Liu, D.; Niu, L.; Liu, C.; Wang, X.; Fu, R. Development of soil–pile interactions and failure mechanisms in a pile-reinforced landslide. Eng. Geol. 2021, 294, 106389. [Google Scholar] [CrossRef]
- Song, K.; Wang, F.; Yi, Q.; Lu, S. Landslide deformation behavior influenced by water level fluctuations of the Three Gorges Reservoir (China). Eng. Geol. 2018, 247, 58–68. [Google Scholar] [CrossRef]
- Wang, J.; Su, A.; Xiang, W.; Yeh, H.-F.; Xiong, C.; Zou, Z.; Zhong, C.; Liu, Q. New data and interpretations of the shallow and deep deformation of Huangtupo No. 1 riverside sliding mass during seasonal rainfall and water level fluctuation. Landslides 2016, 13, 795–804. [Google Scholar] [CrossRef]
- Wu, Y.; Li, N.; Wang, X.; Cui, J.; Chen, Y.; Wu, Y.; Yamamoto, H. Experimental investigation on mechanical behavior and particle crushing of calcareous sand retrieved from South China Sea. Eng. Geol. 2021, 280, 105932. [Google Scholar] [CrossRef]
- Mohammed, A.; Hummadi, R.A.; Mawlood, Y.I. Predicting the chemical and mechanical properties of gypseous soils using different simulation technics. Acta Geotech. 2022, 17, 1111–1127. [Google Scholar] [CrossRef]
- Ding, W.; Nguyen, M.D.; Mohammed, A.S.; Armaghani, D.J.; Hasanipanah, M.; Van Bui, L.; Pham, B.T. A new development of ANFIS-Based Henry gas solubility optimization technique for prediction of soil shear strength. Transp. Geotech. 2021, 29, 100579. [Google Scholar] [CrossRef]
- Mawlood, Y.; Mohammed, A.; Hummadi, R.; Hasan, A.; Ibrahim, H. Modeling and statistical evaluations of unconfined compressive strength and compression index of the clay soils at various ranges of liquid limit. J. Test. Eval. 2021, 50, 1–19. [Google Scholar] [CrossRef]
- Wu, Q.; Tang, H.; Ma, X.; Wu, Y.; Hu, X.; Wang, L.; Criss, R.; Yuan, Y.; Xu, Y. Identification of movement characteristics and causal factors of the Shuping landslide based on monitored displacements. Bull. Eng. Geol. Environ. 2019, 78, 2093–2106. [Google Scholar] [CrossRef]
- Wang, J.; Wang, S.; Su, A.; Xiang, W.; Xiong, C.; Blum, P. Simulating landslide-induced tsunamis in the Yangtze River at the Three Gorges in China. Acta Geotech. 2021, 16, 2487–2503. [Google Scholar] [CrossRef]
- Jiao, Y.; Song, L.; Tang, H.; Li, Y. Material weakening of slip zone soils induced by water level fluctuation in the ancient landslides of Three Gorges Reservoir. Adv. Mater. Sci. Eng. 2014, 2014, 202340. [Google Scholar] [CrossRef]
- Liu, Q.; Wang, S.; Xia, D.; Xiang, W.; Liu, X. Experimental study of residual-state creep behavior of intact sliding-zone soil. Rock Soil Mech. 2017, 38, 1305–1313. [Google Scholar]
- Cabalar, A.F. Stress fluctuations in granular material response during cyclic direct shear test. Granul. Matter 2015, 17, 439–446. [Google Scholar] [CrossRef]
- Pra-ai, S.; Boulon, M. Soil–structure cyclic direct shear tests: A new interpretation of the direct shear experiment and its application to a series of cyclic tests. Acta Geotech. 2017, 12, 107–127. [Google Scholar] [CrossRef]
- Vieira, C.S.; Lopes, M.D.L.; Caldeira, L.M. Sand-geotextile interface characterisation through monotonic and cyclic direct shear tests. Geosynth. Int. 2013, 20, 26–38. [Google Scholar] [CrossRef]
- Liu, F.; Wang, P.; Geng, X.; Wang, J.; Lin, X. Cyclic and post-cyclic behaviour from sand–geogrid interface large-scale direct shear tests. Geosynth. Int. 2016, 23, 129–139. [Google Scholar] [CrossRef]
- Wang, J.; Schweizer, D.; Liu, Q.; Su, A.; Hu, X.; Blum, P. Three-dimensional landslide evolution model at the Yangtze River. Eng. Geol. 2021, 292, 106275. [Google Scholar] [CrossRef]
















| Natural Moisture Content w/% | Natural Density ρ/(g·cm−3) | Specific Gravity Gs | Liquid Limit wL/% | Plastic Limit wP/% | Plasticity Index | Deformation Modulus E/MPa |
|---|---|---|---|---|---|---|
| 13.85 | 2.15 | 2.67 | 36.02 | 17.51 | 18.51 | 25.66 |
| Test (No.) | Test Type | Normal Stress (kPa) | Cyclic Period (s) | Number of Cycles |
|---|---|---|---|---|
| A-0 | MDS | 100 | 0 | 0 |
| A-1-1 | CDS | 100 | 90 | 10 |
| A-1-2 | CDS | 100 | 90 | 20 |
| A-1-3 | CDS | 100 | 90 | 100 |
| A-1-4 | CDS | 100 | 90 | 1000 |
| A-2-1 | CDS | 100 | 60 | 10 |
| A-2-2 | CDS | 100 | 60 | 20 |
| A-2-3 | CDS | 100 | 60 | 100 |
| A-2-4 | CDS | 100 | 60 | 1000 |
| A-3-1 | CDS | 100 | 10 | 10 |
| A-3-2 | CDS | 100 | 10 | 20 |
| A-3-3 | CDS | 100 | 10 | 100 |
| A-3-4 | CDS | 100 | 10 | 1000 |
| B-0 | MDS | 200 | 0 | 0 |
| B-1 | CDS | 200 | 90 | 100 |
| B-2 | CDS | 200 | 60 | 100 |
| B-3 | CDS | 200 | 10 | 100 |
| C-0 | MDS | 400 | 0 | 0 |
| C-1 | CDS | 400 | 90 | 100 |
| C-2 | CDS | 400 | 60 | 100 |
| C-3 | CDS | 400 | 10 | 100 |
Publisher’s Note: MDPI stays neutral with regard to jurisdictional claims in published maps and institutional affiliations. |
© 2022 by the authors. Licensee MDPI, Basel, Switzerland. This article is an open access article distributed under the terms and conditions of the Creative Commons Attribution (CC BY) license (https://creativecommons.org/licenses/by/4.0/).
Share and Cite
Chen, Q.; Cui, D.; Liu, Q.; Tao, X. Effect of Local Cyclic Loading on Direct Shear Strength Characteristics of Shear-Zone Soil. Appl. Sci. 2022, 12, 13024. https://doi.org/10.3390/app122413024
Chen Q, Cui D, Liu Q, Tao X. Effect of Local Cyclic Loading on Direct Shear Strength Characteristics of Shear-Zone Soil. Applied Sciences. 2022; 12(24):13024. https://doi.org/10.3390/app122413024
Chicago/Turabian StyleChen, Qiong, Deshan Cui, Qingbing Liu, and Xianyu Tao. 2022. "Effect of Local Cyclic Loading on Direct Shear Strength Characteristics of Shear-Zone Soil" Applied Sciences 12, no. 24: 13024. https://doi.org/10.3390/app122413024
APA StyleChen, Q., Cui, D., Liu, Q., & Tao, X. (2022). Effect of Local Cyclic Loading on Direct Shear Strength Characteristics of Shear-Zone Soil. Applied Sciences, 12(24), 13024. https://doi.org/10.3390/app122413024

