One-Dimensional Nonlinear Consolidation for Soft Clays with Continuous Drainage Boundary Considering Non-Darcy Flow
Abstract
1. Introduction
2. Problem Description and Governing Equations
3. Solutions to Governing Equations
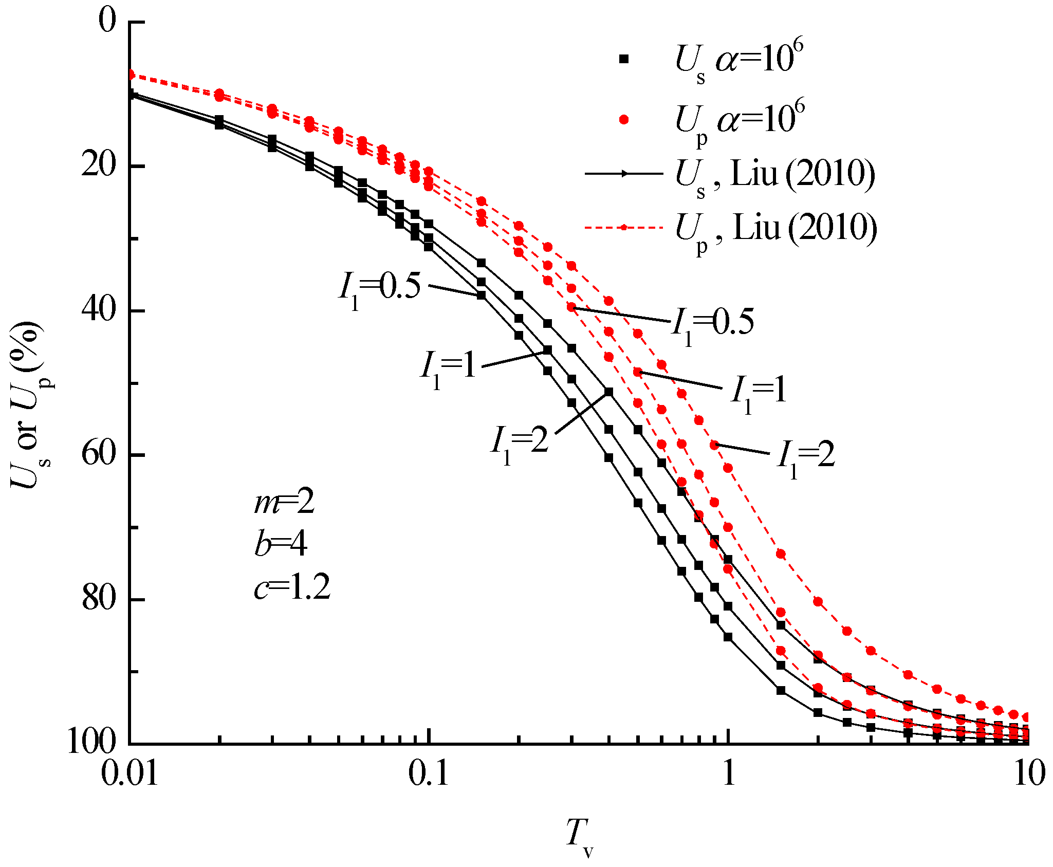
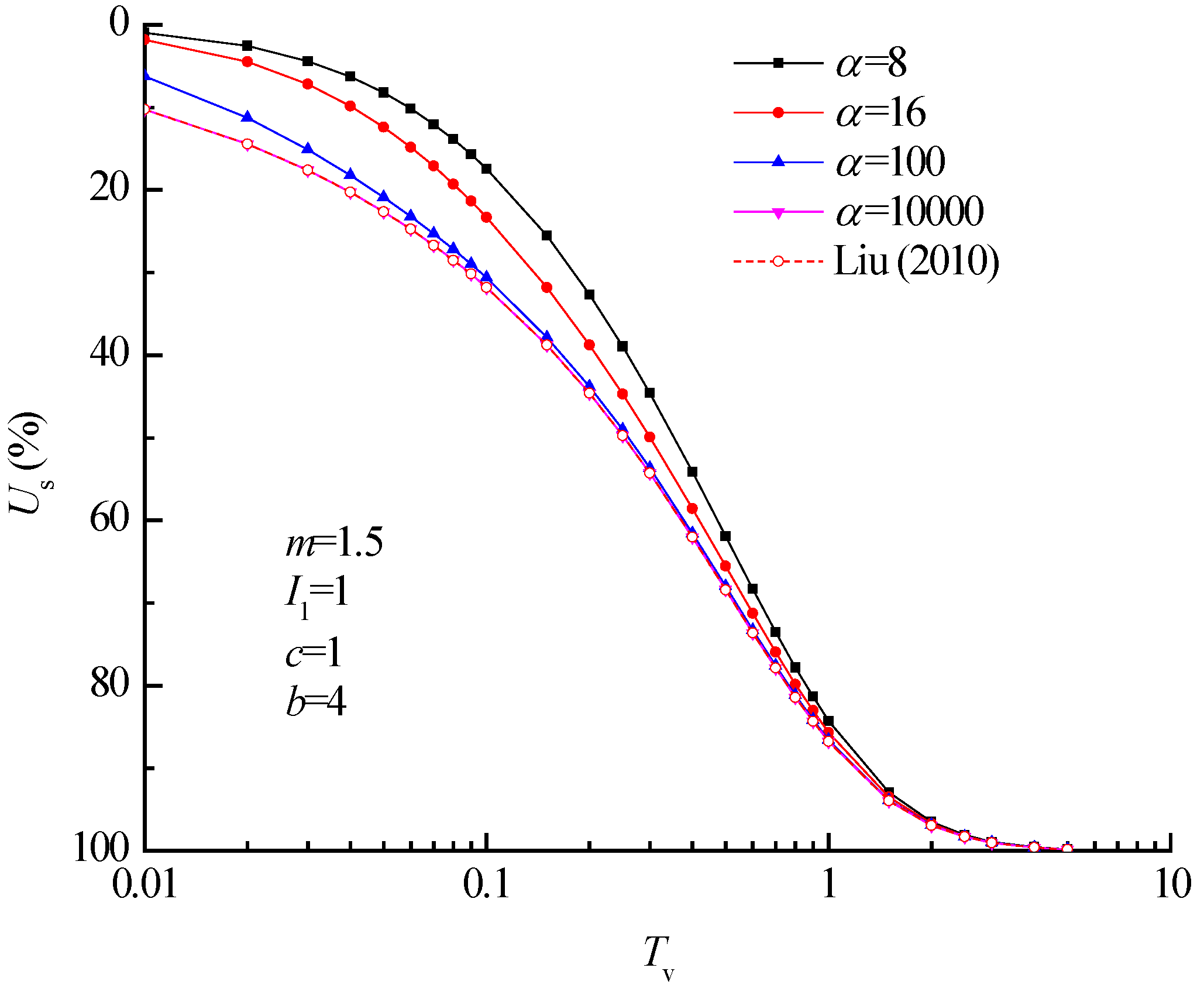
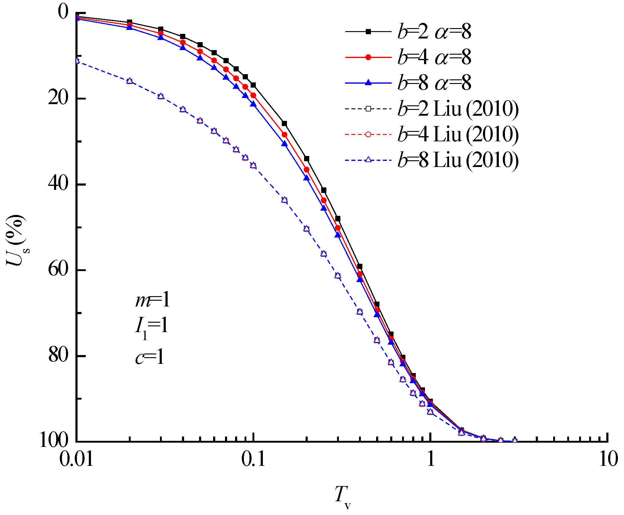
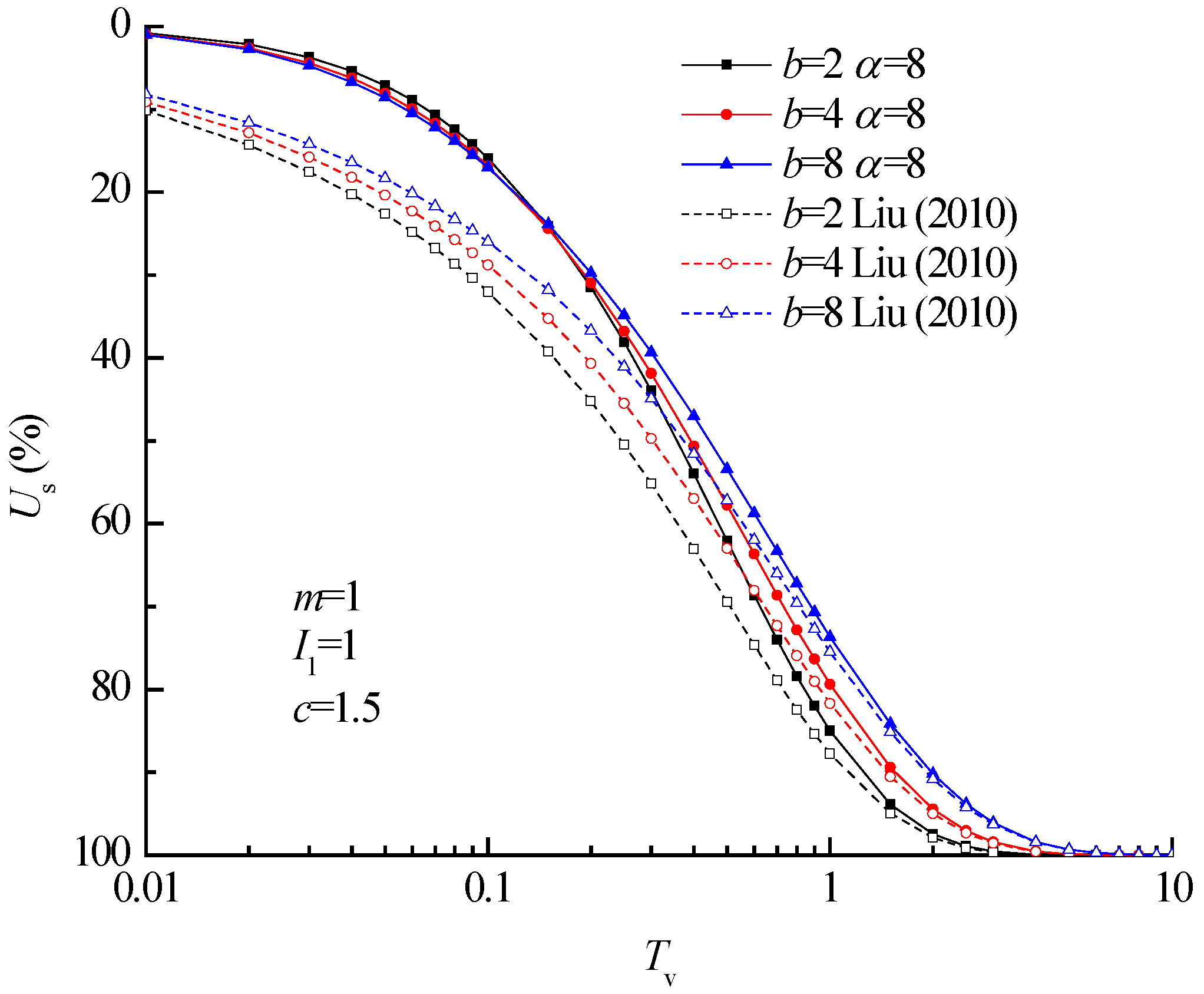
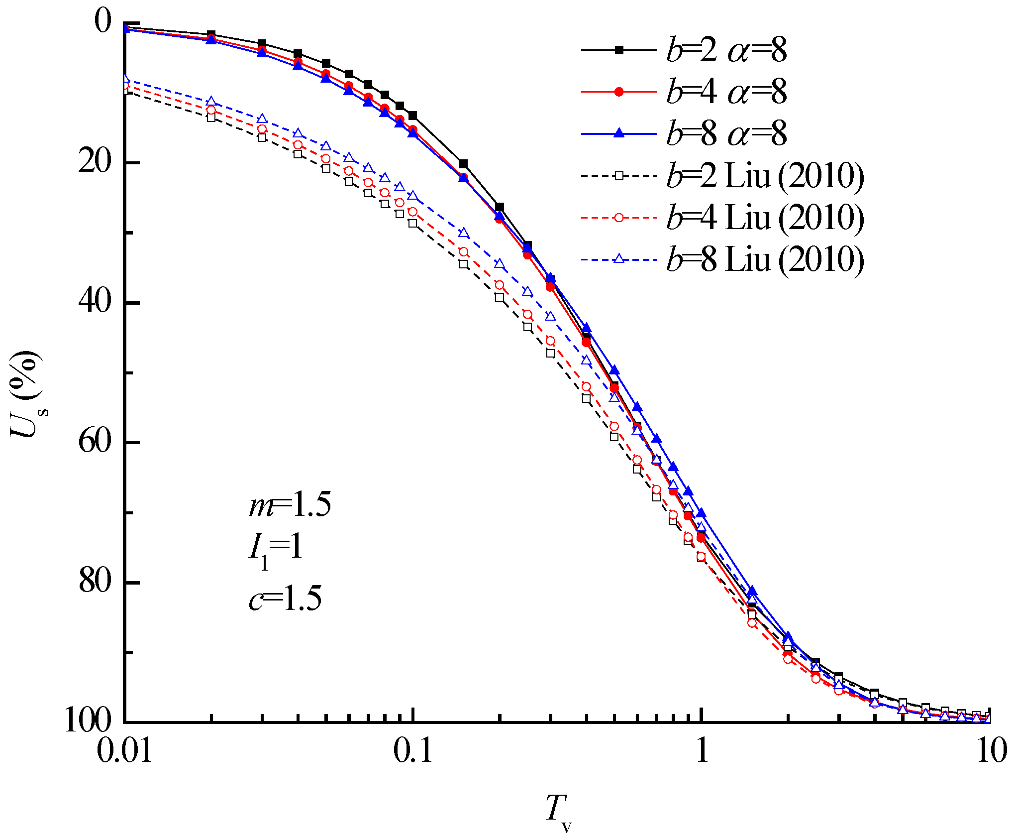
4. Verification of the Present Solutions
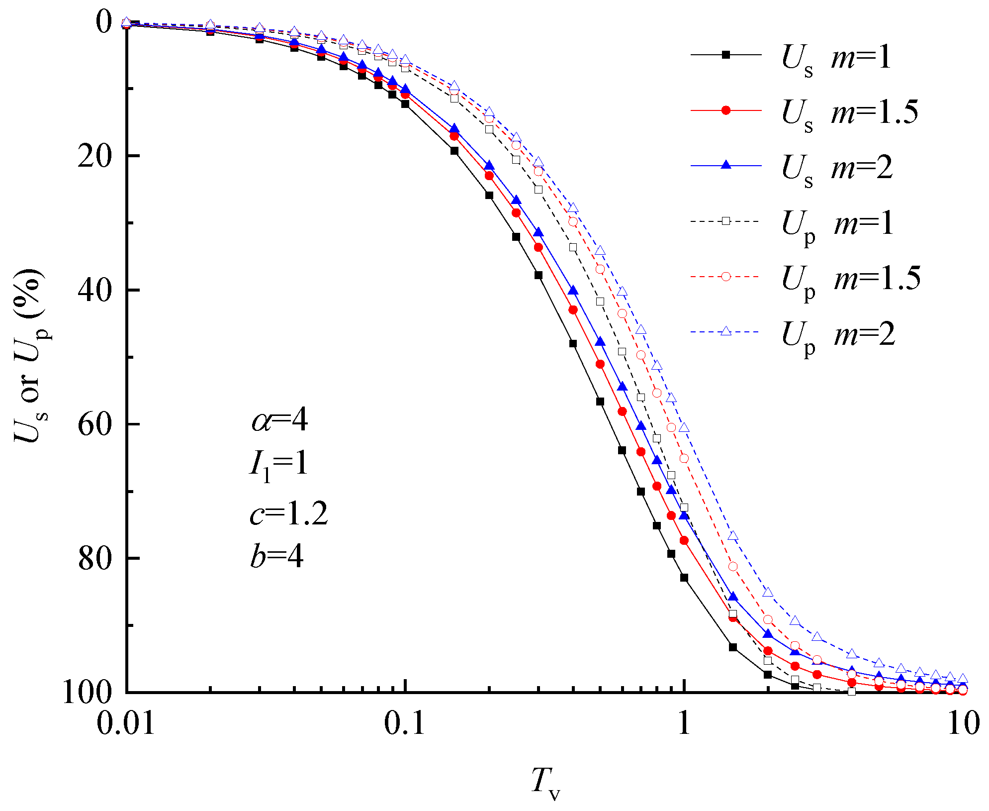
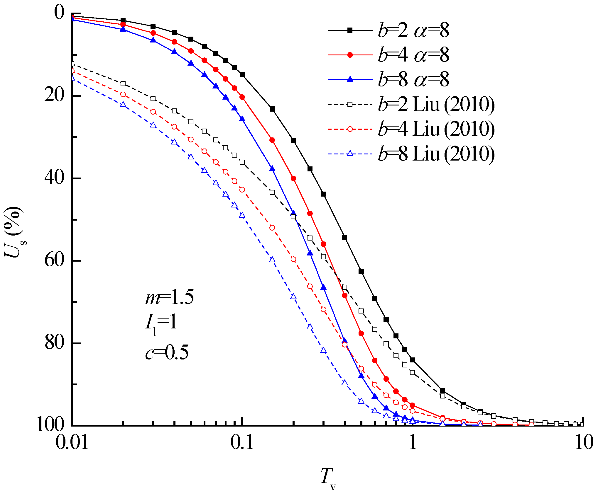
5. Analysis of Consolidation Degree
6. Conclusions
- (1)
- When the interface parameter is large enough, the solutions based on the continuous drainage boundary can be degenerated into the solutions based on the Terzaghi drainage boundary.
- (2)
- With the increase of the interface parameter, the soil consolidation rate increases, but the gap between the present solution and Liu’s solution [23] gradually decreases. When the interface parameter is small, increasing the interface parameter will greatly improve the average consolidation degree defined by settlement, while when the interface parameter is large, increasing the interface parameter will not affect the average consolidation degree defined by settlement.
- (3)
- When non-Darcy seepage is not considered or the ratio of soil thickness to external load is smaller, the soil consolidation rate is slower.
- (4)
- The soil consolidation behavior considering both non-Darcy seepage and nonlinear characteristics of soil is very complex.
Author Contributions
Funding
Institutional Review Board Statement
Informed Consent Statement
Data Availability Statement
Conflicts of Interest
References
- Hu, A.F.; Xia, C.Q.; Cui, J.; Li, C.X.; Xie, K.H. Nonlinear consolidation analysis of natural structured clays under time-dependent loading. Int. J. Geomech. 2018, 18, 4017140. [Google Scholar] [CrossRef]
- Zhang, Y.P.; Wang, Z.Q.; El Naggar, M.H.; Wu, W.B.; Wang, L.X.; Jiang, G.S. Three-dimensional wave propagation in a solid pile during torsional low strain integrity test. Int. J. Numer. Anal. Methods Geomech. 2022, 46, 2398–2411. [Google Scholar] [CrossRef]
- Xu, C.; Pan, S.L. Finite element study on calculation of nonlinear soil consolidation using compression and recompression indexes. Appl. Sci. 2022, 10, 4737. [Google Scholar] [CrossRef]
- Wen, M.J.; Tian, Y.; Li, L.C.; Wang, K.H.; Wu, W.B. An imperfect thermal contact problem for consolidation of bilayered saturated soil subjected to a ramp-type heating. Int. J. Heat Mass Transf. 2022, 190, 122755. [Google Scholar] [CrossRef]
- Li, C.X.; Xue, Q.; Jin, D.D. Analytical solutions for one-dimensional large-strain nonlinear consolidation of soft soils by considering a time-dependent drainage boundary. Int. J. Geomech. 2023, 23, 04023006. [Google Scholar] [CrossRef]
- Chen, L.B.; Wu, W.B.; Liu, H.; Li, J.X.; Newson, T.; El Naggar, M.H. Analytical solution for kinematic response of offshore piles under vertically propagating S-waves. Ocean Eng. 2022, 262, 112018. [Google Scholar] [CrossRef]
- Li, J.S.; Jiang, W.H.; Ge, S.Q.; Chen, X.H.; Chen, X.; Liu, L. General analytical solutions for one-dimensional nonlinear consolidation of saturated clay under non-isothermal distribution condition. Int. J. Numer. Anal. Methods Geomech. 2022, 46, 1811–1830. [Google Scholar] [CrossRef]
- Hansbo, S. Consolidation of clay with special reference to influence of vertical drains. Swed. Geotech. Inst. Proceeding Stockh. Swed. Geotech. Inst. 1960, 18, 45–50. [Google Scholar]
- Schmidt, J.D.; Westmann, R.A. Consolidation of porous media with non-Darcy flow. J. Eng. Mech. 1973, 99, 1201–1216. [Google Scholar] [CrossRef]
- Hansbo, S. Deviation from Darcy’s law observed in one-dimensional consolidation. Geotechnique 2003, 53, 601–605. [Google Scholar] [CrossRef]
- Liu, Z.Y.; Sun, L.Y.; Yue, J.C.; Ma, C.W. One-dimensional consolidation theory of saturated clay based on non-Darcy flow. Chin. J. Rock Mech. Eng. 2009, 28, 973–979. (In Chinese) [Google Scholar]
- Liu, Z.Y.; Yan, F.Y.; Wang, X.J. One-dimensional rheological consolidation analysis of saturated clay considering non-Darcy flow. Chin. J. Rock Mech. Eng. 2013, 32, 1937–1944. (In Chinese) [Google Scholar]
- Jiu, Y.Z.; Liu, Z.Y.; Yue, J.C.; Sun, L.Y. One-dimensional consolidation with a consideration of non-Darcy flow and self-gravity stress. J. Tongji Univ. Nat. Sci. 2012, 40, 541–548. (In Chinese) [Google Scholar]
- Li, C.X.; Xie, K.H.; Wang, K. Analysis of 1D consolidation with non-Darcian flow described by exponent and threshold gradient. J. Zhejiang Univ. Sci. A 2010, 11, 656–667. [Google Scholar] [CrossRef]
- Li, C.X.; Xie, K.H.; Hu, A.F.; Hu, B.X. Analysis of one-consolidation of double-layered soil with non-Darcian flow described by exponent and threshold gradient. J. Cent. South Univ. 2012, 19, 562–571. [Google Scholar] [CrossRef]
- Cui, P.L.; Cao, W.G.; Xu, Z.; Wei, Y.B.; Zhang, J.C. Analysis of one-dimensional consolidation of fractional viscoelastic saturated soils under continuous drainage boundary conditions. J. Cent. South Univ. 2022, 29, 3745–3756. [Google Scholar] [CrossRef]
- Davis, E.H.; Raymond, G.P. A non-linear theory of consolidation. Geotechnique 1965, 15, 161–173. [Google Scholar] [CrossRef]
- Mesri, G.; Rokhsar, A. Theory of consolidation for clays. J. Geotech. Eng. 1974, 100, 889–903. [Google Scholar]
- Liu, X.; Wu, W.B.; El Naggar, M.H.; Wang, K.H.; Mei, G.X.; Liu, H.; Wang, L.X.; Sun, J. A simplified non-axisymmetric pile-soil interaction model for pile integrity testing analysis. Appl. Math. Model. 2023, 119, 137–155. [Google Scholar] [CrossRef]
- Li, C.X.; Huang, J.S.; Wu, L.Z.; Lu, J.F.; Xia, C.Q. Approximate analytical solutions for one-dimensional consolidation of a clay with variable compressibility and permeability under a ramp loading. Int. J. Geomech. 2018, 18, 6018032. [Google Scholar] [CrossRef]
- Xie, K.H.; Xie, X.Y.; Jiang, W. A study on one-dimensional nonlinear consolidation of double-layered soil. Comput. Geotech. 2002, 29, 151–168. [Google Scholar] [CrossRef]
- Zhang, Y.P.; El Naggar, M.H.; Wu, W.B.; Wang, Z.Q.; Yang, X.Y.; Jiang, G.S. Dynamic torsional impedance of large-diameter pipe pile for offshore engineering: 3D analytical solution. Appl. Math. Model. 2022, 111, 664–680. [Google Scholar] [CrossRef]
- Liu, Z.Y.; Jiu, Y.Z.; Yue, J.C.; Sun, L.Y. One-dimensional nonlinear consolidation analysis of saturated clay based on non-Darcy flow. Chin. J. Rock Mech. Eng. 2010, 29, 2348–2355. (In Chinese) [Google Scholar]
- Li, C.X.; Xie, K.H. One-dimensional nonlinear consolidation of soft clay with the non-Darcian flow. J. Zhejiang Univ. Sci. A 2013, 14, 435–446. [Google Scholar] [CrossRef]
- Li, C.X.; Xie, K.H. Analysis of nonlinear large-strain consolidation of soft clay with exponential seepage flow law. Rock Soil Mech. 2013, 34, 2991–2996. (In Chinese) [Google Scholar]
- Li, C.X.; Xie, K.H. Large-strain consolidation of soft clay with non-Darcian flow by considering time-dependent load. Chin. J. Geotech. Eng. 2015, 37, 1002–1009. (In Chinese) [Google Scholar]
- Gray, H. Simultaneous consolidation of contiguous layers of unlike compressible soils. Trans. Am. Soc. Civ. Eng. 1945, 110, 1327–1356. [Google Scholar]
- Schiffman, R.L.; Stein, J.R. One-dimensional consolidation of layered systems. J. Soil Mech. Found. 1970, 96, 1499–1504. [Google Scholar] [CrossRef]
- Mesri, G. One-dimensional consolidation of a clay layer with impeded drainage boundaries. Water Resour. Res. 1973, 9, 1090–1103. [Google Scholar] [CrossRef]
- Wang, L.; Sun, D.A.; Qin, A.F.; Yu, Y.F. Semi-analytical solution to one-dimensional consolidation for unsaturated soils with semi-permeable drainage boundary under time-dependent loading. Int. J. Numer. Anal. Met. 2017, 41, 1636–1655. [Google Scholar] [CrossRef]
- Wang, L.; Sun, D.A.; Li, L.Z.; Li, P.C.; Xu, Y.F. Semi-analytical solutions to one-dimensional consolidation for unsaturated soils with symmetric semi-permeable drainage boundary. Comput. Geotech. 2017, 89, 71–80. [Google Scholar] [CrossRef]
- Zhou, W.H.; Zhao, L.S. One-dimensional consolidation of unsaturated soil subjected to time-dependent loading with various initial and boundary conditions. Int. J. Geomech. 2014, 14, 291–301. [Google Scholar] [CrossRef]
- Xie, K.H.; Xie, X.Y.; Gao, X. Theory of one dimensional consolidation of two-layered soil with partially drained boundaries. Comput. Geotech. 1999, 24, 265–278. [Google Scholar] [CrossRef]
- Zhang, Y.P.; Di, T.Y.; El Naggar, M.H.; Wu, W.B.; Liu, H.; Jiang, G.S. Modified Rayleigh-Love rod model for 3D dynamic analysis of large-diameter thin-walled pipe pile embedded in multilayered soils. Comput. Geotech. 2022, 149, 104853. [Google Scholar] [CrossRef]
- Wen, M.J.; Tian, Y.; Li, L.C.; Qiu, X.C.; Wang, K.H.; Wu, W.B.; Mei, G.X.; Xu, M.J. A general interfacial thermal contact model for consolidation of bilayered saturated soils considering thermos-osmosis effect. Int. J. Numer. Anal. Met. 2022, 46, 2375–2397. [Google Scholar] [CrossRef]
- Wu, W.B.; Wang, Z.Q.; Zhang, Y.P.; El Naggar, M.H.; Wu, T.; Wen, M.J. Semi-analytical solution for negative skin friction development on deep foundations in coastal reclamation areas. Int. J. Mech. Sci. 2023, 241, 107981. [Google Scholar] [CrossRef]
- Yang, X.Y.; Zong, M.F.; Tian, Y.; Jiang, G.S.; El Naggar, M.H.; Wu, W.B.; Xu, M.J. One-dimensional consolidation of layered soils under ramp load based on continuous drainage boundary. Int. J. Numer. Anal. Met. 2021, 45, 738–752. [Google Scholar] [CrossRef]
- Mei, G.X.; Lok, T.M.H.; Xia, J.; Wu, S.S. One-dimensional consolidation with asymmetrical exponential drainage boundary. Geomech. Eng. 2014, 6, 47–63. [Google Scholar] [CrossRef]
- Mei, G.X.; Chen, Q.M. Solution of Terzaghi one-dimensional consolidation equation with general boundary conditions. J. Cent. South Univ. 2013, 20, 2239–2244. [Google Scholar] [CrossRef]
- Liu, J.C.; Lei, G.H. One-dimensional consolidation of layered soils with exponentially time-growing drainage boundaries. Comput. Geotech. 2013, 54, 202–209. [Google Scholar] [CrossRef]
- Wang, L.; Sun, D.A.; Qin, A.F. Semi-analytical solution to one-dimensional consolidation for unsaturated soils with exponentially time-growing drainage boundary conditions. Int. J. Geomech. 2018, 18, 4017144. [Google Scholar] [CrossRef]
- Zong, M.F.; Tian, Y.; Liang, R.Z.; Wu, W.B.; Xu, M.J.; Mei, G.X. One-dimensional nonlinear consolidation analysis of soil with continuous drainage boundary. J. Cent. South Univ. 2022, 29, 270–281. [Google Scholar] [CrossRef]
- Zong, M.F.; Wu, W.B.; El Naggar, M.H.; Mei, G.X.; Zhang, Y. Analysis of one-dimensional consolidation for double-layered soil with non-Darcian flow based on continuous drainage boundary. Int. J. Geomech. 2023, 23, 04022306. [Google Scholar] [CrossRef]
- Zong, M.F.; Wu, W.B.; Mei, G.X.; Liang, R.Z.; Tian, Y. An analytical solution for one-dimensional nonlinear consolidation of soils with continuous drainage boundary. Chin. J. Rock Mech. Eng. 2018, 37, 2829–2838. (In Chinese) [Google Scholar]











Disclaimer/Publisher’s Note: The statements, opinions and data contained in all publications are solely those of the individual author(s) and contributor(s) and not of MDPI and/or the editor(s). MDPI and/or the editor(s) disclaim responsibility for any injury to people or property resulting from any ideas, methods, instructions or products referred to in the content. |
© 2023 by the authors. Licensee MDPI, Basel, Switzerland. This article is an open access article distributed under the terms and conditions of the Creative Commons Attribution (CC BY) license (https://creativecommons.org/licenses/by/4.0/).
Share and Cite
Wu, J.; Xi, R.; Liang, R.; Zong, M.; Wu, W. One-Dimensional Nonlinear Consolidation for Soft Clays with Continuous Drainage Boundary Considering Non-Darcy Flow. Appl. Sci. 2023, 13, 3724. https://doi.org/10.3390/app13063724
Wu J, Xi R, Liang R, Zong M, Wu W. One-Dimensional Nonlinear Consolidation for Soft Clays with Continuous Drainage Boundary Considering Non-Darcy Flow. Applied Sciences. 2023; 13(6):3724. https://doi.org/10.3390/app13063724
Chicago/Turabian StyleWu, Jin, Ruichen Xi, Rongzhu Liang, Mengfan Zong, and Wenbing Wu. 2023. "One-Dimensional Nonlinear Consolidation for Soft Clays with Continuous Drainage Boundary Considering Non-Darcy Flow" Applied Sciences 13, no. 6: 3724. https://doi.org/10.3390/app13063724
APA StyleWu, J., Xi, R., Liang, R., Zong, M., & Wu, W. (2023). One-Dimensional Nonlinear Consolidation for Soft Clays with Continuous Drainage Boundary Considering Non-Darcy Flow. Applied Sciences, 13(6), 3724. https://doi.org/10.3390/app13063724

