Enhanced Energy Storage Performance by Relaxor Highly Entropic (Ba0.2Na0.2K0.2La0.2Bi0.2)TiO3 and (Ba0.2Na0.2K0.2Mg0.2Bi0.2)TiO3 Ferroelectric Ceramics
Abstract
1. Introduction
2. Fabrication and Characterization
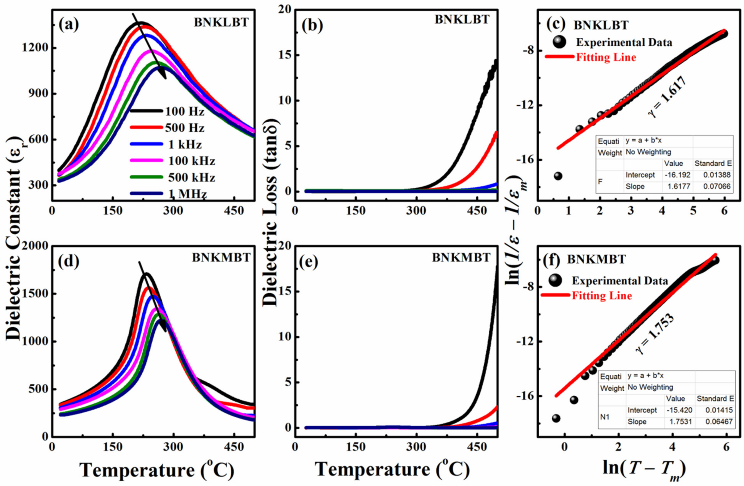
3. Results and Discussion
4. Conclusions
Author Contributions
Funding
Institutional Review Board Statement
Informed Consent Statement
Data Availability Statement
Conflicts of Interest
References
- Bilal, M.K.; Wang, J.; Bashir, R.; Liu, H.; Asif, S.U.; Xie, J.; Hu, W. A novel relaxor (Bi, Na, Ba)(Ti, Zr)O3 lead-free ceramic with high energy storage performance. J. Am. Ceram. Soc. 2021, 104, 3982–3991. [Google Scholar] [CrossRef]
- Hussain, A.; Jabeen, N.; Hassan, N.U.; Rahman, A.U.; Khan, M.U.; Naz, A.; Yousef, E.S. Influence of Mn Ions’ Insertion in Pseudo-Tetragonal Phased CaBi4Ti4O15-Based Ceramics for Highly Efficient Energy Storage Devices and High-Temperature Piezoelectric Applications. Int. J. Mol. Sci. 2022, 23, 12723. [Google Scholar] [CrossRef]
- Jabeen, N.; Rehman, A.U.; Hassan, N.U.; Qaiser, M.A.; Zaidi, A.; Khan, M.U.; Nouman, M. Boosting of Magnetic, Ferroelectric, Energy Storage Efficiency, and Piezoelectric Properties of Zn Intercalated SrBi4Ti4O15-Based Ceramics. Materials 2022, 15, 5057. [Google Scholar] [CrossRef] [PubMed]
- Xu, X.; Jiang, J.; Ahmad, H.; Yuan, G.; Yin, J.; Liu, Z. Improved ferroelectricity of (1−x)Na0.5Bi0.5TiO3–xBaTiO3 ceramics rapidly sintered at low temperature. Ceram. Int. 2014, 40, 11819–11824. [Google Scholar] [CrossRef]
- Cao, W.P.; Li, W.L.; Dai, X.F.; Zhang, T.D.; Sheng, J.; Hou, Y.F.; Fei, W.D. Large electrocaloric response and high energy-storage properties over a broad temperature range in lead-free NBT-ST ceramics. J. Eur. Ceram. Soc. 2016, 36, 593–600. [Google Scholar] [CrossRef]
- Lu, X.; Xu, J.; Yang, L.; Zhou, C.; Zhao, Y.; Yuan, C.; Wang, H. Energy storage properties of (Bi0.5Na0.5)0.93Ba0.07TiO3 lead-free ceramics modified by La and Zr co-doping. J. Mater. 2016, 2, 87–93. [Google Scholar] [CrossRef]
- Hussain, A.; Nawaz, S.; Jabeen, N.; Zafar, R.; Qaiser, M.A.; Abbas, Z.; Aslam, S. Enhanced ferroelectric and piezoelectric response by MnO2 added Bi0.5(K0.2Na0.8)0.5TiO3 ceramics. J. Solid. State. Chem. 2022, 306, 122716. [Google Scholar] [CrossRef]
- Yu, Z.; Liu, Y.; Shen, M.; Qian, H.; Li, F.; Lyu, Y. Enhanced energy storage properties of BiAlO3 modified Bi0.5Na0.5TiO3–Bi0.5K0.5TiO3 lead-free antiferroelectric ceramics. Ceram. Int. 2017, 43, 7653–7659. [Google Scholar] [CrossRef]
- Rost, C.M.; Sachet, E.; Borman, T.; Moballegh, A.; Dickey, E.C.; Hou, D.; Maria, J.P. Entropy-stabilized oxides. Nat. Commun. 2015, 6, 1–8. [Google Scholar] [CrossRef] [PubMed]
- Wright, A.J.; Luo, J. A step forward from high-entropy ceramics to compositionally complex ceramics: A new perspective. J. Mater. Sci. 2020, 55, 9812–9827. [Google Scholar] [CrossRef]
- Startt, J.; Kustas, A.; Pegues, J.; Yang, P.; Dingreville, R. Compositional effects on the mechanical and thermal properties of MoNbTaTi refractory complex concentrated alloys. Mater. Des. 2022, 213, 110311. [Google Scholar] [CrossRef]
- Chen, Y.; Xu, J.; Xie, S.; Tan, Z.; Nie, R.; Guan, Z.; Zhu, J. Ion doping effects on the lattice distortion and interlayer mismatch of Aurivillius-type bismuth titanate compounds. Materials 2018, 11, 821. [Google Scholar] [CrossRef] [PubMed]
- Hussain, A.; Xu, X.; Yuan, G.; Wang, Y.; Yang, Y.; Yin, J.; Liu, Z. The development of BiFeO3-based ceramics. Chin. Sci. Bull. 2014, 59, 5161–5169. [Google Scholar] [CrossRef]
- Du, Q.; Yan, J.; Zhang, X.; Li, J.; Liu, X.; Zhang, J.; Qi, X. Phase evolution and dielectric properties of Ba(Ti1/6Sn1/6Zr1/6Hf1/6Nb1/6Ga1/6)O3 high-entropy perovskite ceramics. J. Mater. Sci. Mater. Electron. 2020, 31, 7760–7765. [Google Scholar] [CrossRef]
- Pu, Y.; Zhang, Q.; Li, R.; Chen, M.; Du, X.; Zhou, S. Dielectric properties and electrocaloric effect of high-entropy (Na0.2Bi0.2Ba0.2Sr0.2Ca0.2)TiO3 ceramic. Appl. Phys. Lett. 2019, 115, 223901. [Google Scholar] [CrossRef]
- Liu, J.; Ren, K.; Ma, C.; Du, H.; Wang, Y. Dielectric and energy storage properties of flash-sintered high-entropy (Bi0.2Na0.2K0.2Ba0.2Ca0.2)TiO3 ceramic. Ceram. Int. 2020, 46, 20576–20581. [Google Scholar] [CrossRef]
- Manotham, S.; Butnoi, P.; Jaita, P.; Kumar, N.; Chokethawai, K.; Rujijanagul, G.; Cann, D.P. Large electric field-induced strain and large improvement in energy density of bismuth sodium potassium titanate-based piezoelectric ceramics. J. Alloys Compd. 2018, 739, 457–467. [Google Scholar] [CrossRef]
- Ramadass, N. ABO3-type oxides—Their structure and properties—A bird’s eye view. Mater. Sci. Eng. 1978, 36, 231–239. [Google Scholar] [CrossRef]
- Jiang, S.; Hu, T.; Gild, J.; Zhou, N.; Nie, J.; Qin, M.; Luo, J. A new class of high-entropy perovskite oxides. Scr. Mater. 2018, 142, 116–120. [Google Scholar] [CrossRef]
- Cross, L.E. Relaxor ferroelectrics: An overview. Ferroelectrics 1994, 151, 305–320. [Google Scholar] [CrossRef]
- Liu, X.; Shi, J.; Zhu, F.; Du, H.; Li, T.; Liu, X.; Lu, H. Ultrahigh energy density and improved discharged efficiency in bismuth sodium titanate based relaxor ferroelectrics with A-site vacancy. J. Mater. 2018, 4, 202–207. [Google Scholar] [CrossRef]
- Bokov, A.A.; Ye, Z.G. Recent progress in relaxor ferroelectrics with perovskite structure. J. Mater. Sci. 2006, 41, 31–52. [Google Scholar] [CrossRef]
- Neurgaonkar, R.R.; Nelson, J.G.; Oliver, J.R.; Cross, L.E. Ferroelectric and structural properties of the tungsten bronze system K2Ln3+ Nb5O15, Ln= La to Lu. Mater. Res. Bull. 1990, 25, 959–970. [Google Scholar] [CrossRef]
- Hussain, A.; Zheng, P.; Xu, X.; Chen, X.; Li, T.; Wang, Y.; Liu, Z. Structural and electrical properties of multiferroic (1−x)BiFeO3−xBi0.5K0.5TiO3 ceramics. J. Alloys Compd. 2016, 678, 228–233. [Google Scholar] [CrossRef]
- Shi, J.; Zhao, Y.; He, J.; Li, T.; Zhu, F.; Tian, W.; Liu, X. Deferred polarization saturation boosting superior energy-storage efficiency and density simultaneously under moderate electric field in relaxor ferroelectrics. ACS Appl. Energy Mater. 2022, 5, 3436–3446. [Google Scholar] [CrossRef]
- Shi, J.; Liu, X.; Zhu, F.; Tian, W.; Xia, Y.; Li, T.; Liu, L. Oxygen vacancy migration and its lattice structural origin in A-site non-stoichiometric bismuth sodium titanate perovskites. J. Mater. 2022, 8, 719–729. [Google Scholar] [CrossRef]
- Shi, J.; Dong, R.; He, J.; Wu, D.; Tian, W.; Liu, X. Regulating ferroelectric polarization and dielectric properties of BT-based lead-free ceramics. J. Alloys Compd. 2023, 933, 167746. [Google Scholar] [CrossRef]
- Jabeen, N.; Hussain, A.; Nawaz, S.; Qaiser, M.A.; Zafar, R.; Ishtiaq, S.; Muntaha, S.T. Thermally Stable Piezoelectric Performance of MnO2 Inserted Pseudo-tetragonal Phase Existent CaBi2Nb2O9-based Ceramics. Mater. Technol. 2022, 37, 2702–2710. [Google Scholar] [CrossRef]
- Xu, Q.; Liu, H.; Song, Z.; Huang, X.; Ullah, A.; Zhang, L.; Xie, J.; Hao, H.; Cao, M.; Yao, Z. A new energy-storage ceramic system based on Bi0.5Na0.5TiO3 ternary solid solution. J. Mater. Sci. Mater. Electron. 2016, 27, 322–329. [Google Scholar] [CrossRef]
- Xu, Q.; Liu, H.; Zhang, L.; Xie, J.; Hao, H.; Cao, M.; Yao, Z.; Lanagan, M.T. Structure and electrical properties of lead-free Bi0.5Na0.5TiO3-based ceramics for energy-storage applications. RSC Adv. 2016, 6, 59280–59291. [Google Scholar] [CrossRef]
- Wang, H.; Jiang, X.; Liu, X.; Yang, R.; Yang, Y.; Zheng, Q.; Kwok, K.W.; Lin, D. An effective approach to achieve high energy storage density and efficiency in BNT-based ceramics by doping AgNbO3. Dalton. Trans. 2019, 48, 17864–17873. [Google Scholar] [CrossRef] [PubMed]
- Verma, A.; Yadav, A.K.; Kumar, S.; Srihari, V.; Jangir, R.; Poswal, H.K.; Biring, S.; Sen, S. Structural, thermally stable dielectric, and energy storage properties of lead-free (1−x)(Na0.50Bi0.50)TiO3−xKSbO3 ceramics. J. Mater. Sci.: Mater. Electron. 2019, 30, 15005–15017. [Google Scholar] [CrossRef]
- Liu, Z.; Ren, .; Long, C.; Wang, X.; Wan, Y.; Zhao, G. Enhanced energy storage properties of NaNbO3 and SrZrO3 modified Bi0.5Na0.5TiO3 based ceramics. J. Alloys Compd. 2017, 721, 538–544. [Google Scholar] [CrossRef]
- Yan, B.; Fan, H.; Yadav, A.K.; Wang, C.; Zheng, X.; Wang, H.; Wang, W.; Dong, W.; Wang, S. Enhanced energy-storage performance and thermally stable permittivity for K0.5Na0.5NbO3 modified [(Na0.5Bi0.5)0.84Sr0.16]0.98La0.01TiO3 lead-free perovskite ceramics. Ceram. Int. 2020, 46, 9637–9645. [Google Scholar] [CrossRef]






| Ions | Bi3+ | Na+ | K+ | La3+ | Mg2+ | Ba2+ | Ti4+ | O2− |
|---|---|---|---|---|---|---|---|---|
| Ionic Radii (Å) | 1.03 | 1.39 | 1.64 | 1.35 | 0.89 | 1.61 | 0.605 | 1.4 |
| Entropic Ceramics | Pmax µC/cm2 | Pr µC/cm2 | Wrec J/cm3 | WST J/cm3 | Ƞ % |
|---|---|---|---|---|---|
| BNKLBT | 21.24 | 4.19 | 0.8525 | 1.062 | 80.27 |
| BNKMBT | 17.71 | 3.12 | 0.7295 | 0.8855 | 82.38 |
| Sr. No | Lead Free Ceramics | Recoverable Energy Density, Wrec (J/cm3) | Energy Conversion Efficiency, η (%) | Applied Electric Field, E (kV/cm) | Ref. |
|---|---|---|---|---|---|
| 1 | NBN-BNTBT | 1.36 | 73.9 | 136 | [29] |
| 2 | BNT- NT-BT | 1.2 | 74.8 | 100 | [30] |
| 3 | AN-BNBLT | 1.697 | 82.3 | 130 | [31] |
| 4 | 6KS-NBT | 0.57 | 53.2 | 90 | [32] |
| 5 | BNT-BA-BKT | 1.15 | 73.2 | 105 | [8] |
| 6 | BNTBT-NN-SZ | 0.95 | 66 | 110 | [33] |
| 7 | KNN-NBSLT | 1.234 | 74.7 | 90 | [34] |
| 8 | BNKLBT | 0.8525 | 80.27 | 100 | This work |
| 9 | BNKMBT | 0.7295 | 82.38 | 100 | This work |
Publisher’s Note: MDPI stays neutral with regard to jurisdictional claims in published maps and institutional affiliations. |
© 2022 by the authors. Licensee MDPI, Basel, Switzerland. This article is an open access article distributed under the terms and conditions of the Creative Commons Attribution (CC BY) license (https://creativecommons.org/licenses/by/4.0/).
Share and Cite
Jabeen, N.; Hussain, A.; Qaiser, M.A.; Ali, J.; Rehman, A.; Sfina, N.; Ali, G.A.; Tirth, V. Enhanced Energy Storage Performance by Relaxor Highly Entropic (Ba0.2Na0.2K0.2La0.2Bi0.2)TiO3 and (Ba0.2Na0.2K0.2Mg0.2Bi0.2)TiO3 Ferroelectric Ceramics. Appl. Sci. 2022, 12, 12933. https://doi.org/10.3390/app122412933
Jabeen N, Hussain A, Qaiser MA, Ali J, Rehman A, Sfina N, Ali GA, Tirth V. Enhanced Energy Storage Performance by Relaxor Highly Entropic (Ba0.2Na0.2K0.2La0.2Bi0.2)TiO3 and (Ba0.2Na0.2K0.2Mg0.2Bi0.2)TiO3 Ferroelectric Ceramics. Applied Sciences. 2022; 12(24):12933. https://doi.org/10.3390/app122412933
Chicago/Turabian StyleJabeen, Nawishta, Ahmad Hussain, Muhammad Adnan Qaiser, Jazib Ali, Abdul Rehman, Nourreddine Sfina, Gharieb A. Ali, and Vineet Tirth. 2022. "Enhanced Energy Storage Performance by Relaxor Highly Entropic (Ba0.2Na0.2K0.2La0.2Bi0.2)TiO3 and (Ba0.2Na0.2K0.2Mg0.2Bi0.2)TiO3 Ferroelectric Ceramics" Applied Sciences 12, no. 24: 12933. https://doi.org/10.3390/app122412933
APA StyleJabeen, N., Hussain, A., Qaiser, M. A., Ali, J., Rehman, A., Sfina, N., Ali, G. A., & Tirth, V. (2022). Enhanced Energy Storage Performance by Relaxor Highly Entropic (Ba0.2Na0.2K0.2La0.2Bi0.2)TiO3 and (Ba0.2Na0.2K0.2Mg0.2Bi0.2)TiO3 Ferroelectric Ceramics. Applied Sciences, 12(24), 12933. https://doi.org/10.3390/app122412933

