Abstract
Polyurethane cement composite is a new organic–inorganic composite material with high strength, corrosion resistance, and fast curing. It is a complement and alternative to traditional cement materials. The flexural properties of polyurethane cement composites are the basic mechanical index of the material. In order to study the flexural properties under different temperature loads, a molecular model was established, the chemical reaction process of polyurethane cement and the temperature response mechanism was analyzed, and the preparation process of polyurethane cement was proposed. Then, bending tests were carried out in strain-controlled mode to obtain the specimens’ bending strength and stiffness modulus under different temperature loads. The test results showed that the tensile strength of polyurethane cement decreased first, then increased, and finally decreased with the increase in temperature, while the bending stiffness modulus decreased with the increase in temperature. Combined with the theoretical derivation, the damage mode of the samples under different temperature loads was analyzed, and the “L-type” damage strain curve was obtained. The results showed that the proposed theory could effectively explain the mechanism of action and flexural properties of polyurethane cement composites under temperature loading, which is a significant improvement to the application of polyurethane cement composites in practical engineering.
1. Introduction
After long-term use, cement concrete structures are susceptible to various external factors. Concrete will shrink and creep, incur aging deformation or corrosion, and other issues, leading to structure surface damage, load-bearing capacity decline, and unreliable safety performance [,]. Cement-based materials have problems with high shrinkage and low flexibility []. At the same time, they will cause environmental pollution during the production and construction process, which is not in line with the design concept of modern civil engineering structures [,]. Therefore, the search for new building materials with excellent performance to supplement and replace the traditional cement material, to effectively improve the load-bearing capacity of the structure through scientific means, and to extend the service life of the building structure has become a hotspot for scholars’ research in recent years.
Polyurethane is a polymer containing urethane groups in its molecular structure. It is a formed polymer composite material. With excellent properties, such as high wear resistance, good overall mechanical strength, and ease of use [], polyurethane can be traced back as far as 1837 when Professor Bayer’s research group obtained it using the preparation of 1,6-hexane diisocyanate and 1,4-butanedioic acid []. Polyurethane is widely used in electromechanical, shipbuilding, aviation, civil construction, textile, and other departments. The variety of products is increasing yearly, and it occupies a very important position in the material industry []. In 2012, the worldwide sales value of polyurethane materials reached about 43.2 billion pounds, with an annual growth rate of nearly 7.4%. The sale of polyurethane products can be predicted to rise to about 88.2 billion pounds in 2022 [].
Many scholars at home and abroad have carried out a series of studies on the excellent properties of polyurethane in civil engineering materials. (1) Mixing polyurethane with other materials can significantly improve the ductility and flexibility of the raw material []. Due to the environment, concrete building materials undergo carbonation and need to be repaired or reconstructed []; when reinforced concrete surfaces are coated with a thin layer of polyurethane protection, they are protected from corrosive environments and improve structural ductility, flexibility, and energy absorption [,]. (2) Polyurethane has stable chemical properties and good corrosion resistance and can be used as a surface protective coating for metal structures.
A study by Johns [] showed that a 6 mm thick polyurethane lining could provide a service life of 20 years, while a steel pipe without a lining wears out within 12 weeks. This study demonstrates that the polyurethane coating can protect the metal structure well. (3) Polyurethane materials have the potential for self-healing and can repair themselves without external interference []. Polyurethane, as a healing agent, can restore the strength and stiffness of cementitious materials, reduce water permeability, and extend the service life of the material []. (4) Polyurethane also has good thermal stability and is a good refractory material. Modifying polyurethane and adding composite flame retardants can offer good flame retardant and smoke suppression effects on the outer walls of high-rise buildings and improve the safety performance of building structures [,]. (5) Polyurethane is a polymer material that contains a significant amount of isocyanates, which can react with aromatic compounds in asphalt in an additional reaction to achieve a modified treatment of asphalt materials [].
Polyurethane-modified asphalt has excellent resistance to permanent deformation; the modified asphalt is less sensitive to temperature and significantly improves the asphalt’s high-low temperature rheological properties. At the same time, the heteroatomic groups in polyurethane strengthen the polarity and aromaticity of asphalt, thus improving the adsorption capacity of aggregates and the resistance to water damage of polyurethane composite-modified asphalt mixes is also significantly enhanced [].
Polyurethane cement composite is a new type of high-strength, and high toughness organic–inorganic composite material by mixing polyurethane glue and cement evenly, and the performance of the composite material can be improved significantly after solidification. It can be applied in rapidly repairing materials in building structures, bridge structure reinforcement [], and bridge deck pavement layers. Many researchers have studied and explored the ratio of polyurethane cement. A series of compressive and flexural tests have been carried out to arrive at the most reasonable ratio [,]. Polyurethane materials contain active cations that can improve the mechanical properties of cementitious materials, and the addition of polyurethane significantly reduces the early brittleness of cementitious materials []. The product obtained by mixing polyurethane and silicate cement is similar to ordinary silicate cement but has much higher plasticity than ordinary silicate cement []. The mechanical properties have been significantly improved and enhanced. A comparative study of the response of polyurethane cement composite and carbon-fiber-reinforced material reinforced RC frames shows that a polyurethane cement composite makes the structure more ductile and has a more straightforward construction method and lower material cost. Polyurethane cement composites enable more accessible, higher quality, and lower-cost structural performance modifications than carbon-fiber-reinforced materials []. The polyurethane and the cement can form a polyurethane cement foam material, which has good mechanical properties, such as lightweight and high strength and is suitable for seismic components of structures. It also has good heat and sound insulation, water vapor permeability, and fire resistance []. In bridge reinforcement, traditional concrete reinforcement methods have the disadvantages of long construction times, complex maintenance, and severe environmental pollution [].
Due to the good tensile properties of polyurethane elastomers, polyurethane cement for reinforcement does not require an internal configuration of reinforcement, and the short curing time of polyurethane cement makes the construction process relatively difficult and easy []. In pavement engineering, the performance of pavement materials depends on the construction quality and later maintenance level of the road [,]. Current common pavement materials, such as petroleum asphalt and cement concrete, can hardly meet the requirements of some special projects, such as airport runways, tunnel pavements, and coastal highways [,]. Due to its good properties, polyurethane cement materials have been widely used in pavement engineering. They can partially or entirely replace traditional pavement materials in the pavement layer of roads [].
Compared with common cement-based materials in engineering, polyurethane–cement composite materials have the following characteristics: (1) Polyurethane, as a highly adhesive substance, can firmly adsorb cement particles, while cement particles can be uniformly distributed inside the polyurethane colloid so that the internal pores of polyurethane cement composites are filled densely, forming an organic–inorganic composite network structure [], which ensures that the properties of the material are the same and have good homogeneity. (2) High toughness is an essential feature of polyurethane composite materials []. High toughness is an essential feature of polyurethane composites. Compared to cementitious materials, polyurethane cement composites, as a homogeneous body made of polymeric elastomer combined with inorganic cement particles, have good tensile and tear strengths, can withstand significant stresses without fracture damage, and have higher flexural strength than ordinary concrete materials []. (3) The density of polyurethane cement composites is about 1.45~1.62 g/cm3 [], while the density of cement concrete is about 2.4 g/cm3 [], which is 1.58~1.65 times the density of polyurethane cement composites.
As a new lightweight construction material, polyurethane cement composites can reduce the stress on the structure caused by the material’s gravity and can be used in building structures with high seismic intensity levels. (4) The chemical properties of the polyurethane composite material are stable, and the chemical substances in the surrounding environment only have a minimal reaction to them. Polyurethane composites have strong anti-corrosion and anti-aging properties. The components or structures of the polyurethane cement composite material can easily adapt to areas with seawater erosion, soil microbial corrosion, or chemical pollution [,]. (5) There is no hydration reaction process in the preparation process of polyurethane cement composites, which can be solidified and formed in 60 min at room temperature under the action of a catalyst, and the performance requirements for regular use can be achieved within 24 h. The curing and setting times are much less than cement concrete, and no maintenance treatment is required at a later stage, effectively saving construction time and reducing construction costs [].
Polyurethane cement is a new organic–inorganic composite material—its performance should meet the requirements of the use of the environment, inevitably affected by the external environment in the actual use of the process, the impact of the external environment on its mechanical properties cannot be ignored. Temperature is an essential factor in the external environment. The properties of materials at different temperatures are different. Therefore, the mechanical properties of polyurethane cement at different temperatures play an essential role in its application in practical engineering.
In this paper, in order to explore the flexural properties of polyurethane cement composites under temperature loads, bending tests were carried out in strain control mode. The samples’ reaction characteristics, stress processes, and failure modes under different temperature loads were obtained. The polyurethane cement composites were analyzed for flexural strength in the actual working environment, further verifying the feasibility of polyurethane cement composites to supplement and replace traditional materials.
2. Raw Material
2.1. Silicate Cement
The cement adopts the Swan brand ordinary silicate cement produced by the Harbin Cement Plant of the Yatai Group. The strength grade is 42.5, and it is a gray-black powder at room temperature. Silicate cement is made by grinding clinker, gypsum, fly ash, blast furnace slag, etc. Clinker is the main component, and clinker minerals mainly include the use of a silicon phase (C3S and C2S), aluminum phase (C3A), and iron and aluminum phase solid solution (C4AF). The silica phase of the material accounts for about 75% of the weight of the cement clinker and consists mainly of calcium oxide and silicon dioxide. Physical and chemical properties are shown in Table 1.

Table 1.
42.5 Physical and mechanical properties of ordinary silicate cement.
2.2. Isocyanates
Isocyanate adopts the WANNATE®® PM-200 model, a brown-black liquid at room temperature, as shown in Figure 1a, and its physical and chemical properties are shown in Table 2. Isocyanate liquid is viscous, and the consistency decreases with increasing temperature. It can be stored at room temperature, but it must be stored in a closed container, isolated from air, and protected from moisture. At the same time, it cannot be exposed to the sun, away from heat sources, and placed in a cool and dry place. The shelf life can be up to 2 years. WANNATE®® PM-200 isocyanate is one of the important raw materials for preparing polyurethane colloids. The isocyanate contains a large number of isocyanate groups, which constitute the soft chain segment in the molecular structure of polyurethane and determine the tensile strength of polyurethane.

Figure 1.
Raw materials: (a) WANNATE®® PM-200 Isocyanate; (b) ES305 polyether polyol; (c) KOSMOS-29 Stannous Octoate; (d) HQEE chain extender.

Table 2.
Physical and chemical properties of WANNATE®® PM-200.
2.3. Polyether Polyol
The polyether polyol adopted by the ES305 model is produced by Shandong Yisheng Polyurethane Co., Ltd., Zibo, China, as shown in Figure 1b. Compared with the conventional composite polyether, the combined polyether ES305 does not contain a foaming agent, and the physical and chemical properties are shown in Table 3. It is generally colorless or light yellow transparent oily liquid at room temperature, and the viscosity (25 °C) when the molecular weight is 1000 and 2000 is 120~200 mPa·s and 260~370 mPa·s respectively. ES305 polyether polyol is also an important raw material for synthesizing polyurethane colloid. Polyether polyols contain a large amount of hydroxyl (-OH), which is reducible. After polymerization, they form the hard chain segment in the molecular structure of polyurethane, which determines the relative molecular weight of polyurethane.

Table 3.
ES305 Physical and Chemical Properties.
2.4. Catalyst
The KOSMOS-29 model is produced by Goldschmidt, as shown in Figure 1c. It is soluble in polyols and most organic solvents but insoluble in water. It needs to be sealed and stored in a dry place to prevent high temperature and high humidity. The physical and chemical properties are shown in Table 4. KOSMOS-29 is an organotin compound, which is an efficient catalyst for the reaction of isocyanate and alcohol, which increases the molecular weight of the polymer, increases the viscosity, and promotes gelation, so it is called the “gel catalyst”. KOSMOS-29 Stannous Octoate plays a catalytic role in the process of preparing polyurethane, promoting the polymerization reaction to proceed in the expected direction and speed, and can also enhance the viscosity of polyurethane.

Table 4.
Physicochemical properties of KOSMOS-29.
2.5. Chain Extension Crosslinking Agent
Both the chain extender and the cross-linking agent are small molecular chemical substances. As a reaction accelerator, the more the chain-extending cross-linking agent is used, the higher the strength and hardness of the polyurethane produced. The ES305 polyether polyol system used in this study contains small molecular triols, which can act as cross-linking agents, and only need to introduce chain extender components separately. The chain extender adopts the HQEE model produced by Suzhou Xiangyuan Special Fine Chemical Company, as shown in Figure 1d. It is an off-white powder at room temperature and has the characteristics of convenient use and easy integration. The physical and chemical properties are shown in Table 5. When used, it is mixed with a small dose of polyether polyol, and an appropriate amount is dropped into the polyurethane prepolymer glue. HQEE chain extender can further extend the polyurethane molecular chain, generate linear molecules with larger molecular weight, and improve the flexibility of polyurethane colloid.

Table 5.
Physicochemical properties of HQEE.
3. Synthesis Mechanism of Polyurethane Cement Composites
3.1. Chemical Structure and Reaction Mechanism of Polyurethane
Polyurethane is a general term for polymers containing urethane groups formed by chemical reactions between isocyanate and hydroxyl groups. Polyurethane is a block copolymer with multiple carbamate (R-NH-CO-OR1) chain segments made by the polymerization of isocyanate (OCN-R-NCO) and polyol (HO-R1-OH), whose structure is shown in Figure 2.

Figure 2.
Molecular structure of polyurethane.
3.1.1. Surface Potential Analysis of Isocyanate and Polyether Polyol
Two-component polyurethanes are formed by the cross-linking reaction of isocyanates and polyols. Isocyanates refer to compounds containing isocyanate groups divided into aliphatic isocyanates and aromatic isocyanates. Polyols are oligomeric compounds containing two or more hydroxyl groups (-OH) in the molecular structure, usually polyether polyols, Polyester polyols, or mixtures. The main component of WANNATE®® PM-200 used in this paper is aromatic 4,4′-diphenylmethane diisocyanate (MDI), and the main component of ES305 type of polyol used is polypropylene glycol (PPG). The molecular structure is shown in Figure 3.

Figure 3.
Molecular structures of isocyanates and polyether polyols: (a) the molecular structure of MDI; (b) the molecular structure of PPG.
Based on the B3LYP general function in quantum chemical density generalization theory, the structures of isocyanate and polyether polyol molecules were analyzed using Materials Studio software to obtain stable structures and wave function files Dmol3 electrostatic potential was selected. The wave function files were analyzed for surface electrostatic potential, and average localized ionization energy and visualization results were generated. The electrostatic potential distribution on the whole molecular surface is shown in Figure 4. The blue area indicates that the electrostatic potential value is small; the electronegativity is large, and the electron-attracting ability is strong; the red area indicates that the electrostatic potential value is considerable, that the electronegativity is small, and the electron-absorbing ability is poor.

Figure 4.
Surface electrostatic potential of isocyanate and polyether polyol: (a) Surface electrostatic potential of MDI isocyanate; (b) Surface electrostatic potential of PPG polyether polyol.
From Figure 4a, it can be seen that the oxygen and nitrogen atoms with large electronegativity in the MDI molecule exhibit blue areas, electrostatic potential minimal value points appear at both ends of the molecule, and -NCO (isocyanate group) is the active electron-absorbing group. In the potential diagram of the PPG molecular structure, as shown in Figure 4b, except for the hydrogen atoms at the two ends of -OH (hydroxyl group), which is a significant red region, the hydrogen atoms at the remaining positions are almost all electrically neutral and exhibit a white-gray region, with the leading reactive group being the hydroxyl group.
3.1.2. Synthetic Reaction Mechanism of Polyurethane
The reactive formation of polymers is mainly due to electrostatic attraction, where the electrostatic potential maxima and minima are close to each other. The electrostatic potential analysis shows that the reaction between isocyanate and polyether polyol belongs to the addition polymerization reaction of hydrogen transfer, which is caused by the mutual attraction between the hydroxyl group (-OH) and isocyanate group (-NCO). The reaction is carried out on the double bond of the more active -NCO group; the hydrogen atom on the hydroxyl group of PPG is transferred to the N atom in the isocyanate group. The remaining group is combined with the C atom to form a carbamate compound, and then chain-breaking, rotation, twisting, and replication occur to form the final polyurethane block copolymer. The polymerization process is shown in Figure 5.

Figure 5.
Polyurethane polymerization process.
The isocyanate group is highly reactive and also reacts with the hydroxyl group (-OH) of water molecules to generate a large amount of carbon dioxide gas and substituted urea. This reaction process is shown in Figure 6.

Figure 6.
Reaction process of isocyanate and water.
On the one hand, when Silicate cement contains moisture, water molecules will replace part of the polyol and react with isocyanate, resulting in an insufficient and ineffective reaction. The polyurethane cannot be wholly contacted with the cement, and the cement particles cannot be wholly bonded. On the other hand, the carbon dioxide gas generated with water will remain in the polyurethane colloid and be difficult to discharge, forming tiny holes and bulging bubbles on the surface, affecting the mechanical properties of the polyurethane cement composite. In preparing polyurethane cement composite materials, dehydration treatment is required. The method used in this study is to use a frying furnace to dry and dehydrate the silicate cement.
3.1.3. Polyurethane Microphase Separation Structure
Polyurethane consists of hard and soft segments as a block copolymer, as shown in Figure 7. The soft segment is mainly composed of polyester polyol or polyether polyol, which provides the flexibility and elasticity of the cross-linked polyurethane network. The hard segment is composed of isocyanate and chain extender, which mainly affects the mechanical properties of polyurethane, including compressive strength, flexural strength, and elastic modulus. There are significant hydrogen-bonding interactions between the urea and carbamate groups in the hard chain segments, leading to the formation of aggregates in the hard chain segments, which are dispersed in the soft chain segment region.

Figure 7.
Polyurethane microphase separation structure.
3.2. Chemical Mechanism of Silicate Cement
3.2.1. The Chemical Structure of Calcium Oxide and Silica
The quality of silicate cement mainly depends on the clinker. The mineral composition of clinker is mainly composed of tricalcium silicate (C3S), dicalcium silicate (C2S), tricalcium aluminate (C3A), and tetra calcium ferric aluminate (C4AF). Both tricalcium silicate and dicalcium silicate are three-dimensional network crystals composed of interconnected CaO and SiO2, called silicate minerals, accounting for about 75% of the total clinker. A crystal structure of CaO and SiO2 molecules are shown in Figure 8 [].

Figure 8.
A crystal structure of calcium oxide and silica: (a) calcium oxide crystal cell; (b) silica crystal cell.
3.2.2. Fractional Density of States Analysis of Calcium Oxide and Silicon Dioxide
The density of states is an important concept in solid-state physics. It is the ratio of the number of quantum states ΔZ with energy between E~E+ΔE to the energy difference ΔE, indicating the modulus within a unit frequency interval and the modulus within the unit frequency interval []. The N-E relationship reflects the structure of the electronic energy state in the solid, and the properties in the solid such as electron-specific heat and paramagnetic susceptibility are closely related []. Calcium oxide and silicon dioxide in silicate cement were analyzed by the CASTEP first-principles plane wave method and combined with Materials Studio software to analyze the partial wave density of states (DPOS). Most of the energy state density at the Fermi level of CaO comes from the contribution of the p -orbital electrons, as shown in Figure 9a, while the electrons in the f state provide very little energy to the CaO structure, which is almost negligible. The energy density of states at the Fermi energy level of SiO2 mainly comes from the contribution of the S energy level, as shown in Figure 9b. SiO2 crystals are a three-dimensional network of crystal structures composed of silicon atoms and oxygen atoms in the ratio of 1:2, which belong to sp3 hybridization. The hybridization orbitals of sp3 provide the energy density of states at the Fermi energy level, and SiO2 has good stability properties.


Figure 9.
The fractional density of states of calcium oxide and silica: (a) fractional density of states of calcium oxide; (b) fractional density of states of silicon dioxide.
3.2.3. Band Structure Analysis of Calcium Oxide and Silica
In order to thoroughly reveal the adaptability mechanism between silicate cement and polyurethane, the electronic structure of the main components of silicate cement (CaO, SiO2) was analyzed by the energy band. The energy band structure diagram shows the dependence of the electron energy on the k-vector along the high symmetry direction in the Brillouin zone, the electron transfer direction flows from high to low energy levels, and the high energy orbitals are reductive, and the low energy orbitals are oxidative. The energy band structure directly determines the physicochemical properties of the substance []. According to the CASTEP theory, using the GGA-PBE useful function, the energy band structures of CaO and SiO2 were calculated, as shown in Figure 10. As shown in Figure 10a, the top of the valence band of CaO is located at point X, and the bottom of the conduction band is also at point X. The forbidden bandwidth separating the conduction band and the entire band is more significant, and the forbidden band is about At 5 eV. A significant amount energy is required to excite electrons. Under normal conditions, the number of excited electrons in calcium oxide crystals is small, and the melting point is high; that is, calcium oxide is challenging to conduct electricity and has relatively stable physical and chemical properties. As shown in Figure 10b, the energy band of SiO2 is more comprehensive and has a greater degree of undulation in the diagram, which indicates that the SiO2 structure has a less effective mass of electrons in the valence band, the atomic orbitals are more extended, the electrons are confined between the layers, and there are no electrons that can move freely, so SiO2 is an anisotropic insulator. It is difficult to react chemically with polyurethane molecules, thus ensuring the stability of polyurethane cement composites.

Figure 10.
Energy band structure diagram of calcium oxide and silica: (a) band structure diagram of CaO; (b) band structure diagram of SiO2.
3.3. Interaction between Polyurethane and Silicate Cement
3.3.1. Mutual Adaptation of Polyurethane and Silicate Cement
By analyzing the polyurethane components’ electrostatic potential and the silicate cement’s energy band density, it can be known that the silicate cement has good adaptability to the polyurethane colloid. The electron excitation of CaO and SiO2 in C3S and C2S, the main components of silicate cement, requires high energy and does not undergo a series of chemical reactions when mixed with polyurethane cement composites have good corrosion resistance and high durability.
3.3.2. Filling Effect of Cement Particles
In polyurethane preparation, tiny gaps and bubble impurities can appear on the surface and inside the polyurethane material due to external factors. When polyurethane is subjected to external forces, these tiny gaps can crack and seriously affect the modulus and strength of polyurethane composites. A meaningful way to eliminate cracks is to eliminate the internal stresses in the material. Silicate cement is a mixture containing various mineral particles, and the specific surface area of the mineral admixture is 350–1500 m2/kg []. The cement particles with a larger specific surface area have a strong adsorption effect on polyurethane colloids and a good affinity with the material. The tiny particles in the cement will fill the space between the hard segment and the soft segment of the polyurethane, making the microphase structure of the polyurethane more compact. The active surface of the microparticles also forms a subvalent cross-linked structure with specific macromolecules around the polyurethane so that when one of the molecular chains is stressed, the stress can be transferred to the other molecules by dispersing the stress through the cross-linked points. The filling of cement particles will reduce the stress concentration inside the polyurethane and retard the fracture process, thus increasing the strength of hydrogen bonding between the polymer and the filler and increasing the mechanical properties of the polyurethane cement composites.
3.4. Response Mechanism of Temperature to Polyurethane Cement Composites
Polyurethane materials will undergo shape changes under the influence of temperature, called the glass transition of polyurethane []. The glass transition temperature of polyurethane is determined by relative molecular weight and molecular chain length. From the microphase separation structure of polyurethane, the soft and hard segments are polymerized into a block system, and the soft segment (polyether polyol) of polyurethane is much longer than the hard segment (isocyanate); thus, the soft segment directly determines the temperature response of the polyurethane material. With the decrease in temperature, the interval between the soft and hard segments gradually increases, the mobility of molecular chains increases gradually, and the flexural strength, deformation modulus, and bonding strength of polyurethane cement composites all increase. However, this mechanical change is not always inversely proportional to temperature []. When the temperature drops below the glass transition temperature, the polyurethane tends to a crystalline cured state. Although the separation of soft and hard chains is significant, the molecular chain movement is restricted. The shape is gradually fixed, which is manifested as a reduction in the deformation properties and mechanical properties of polyurethane cement composites. The polyurethane warming and cooling model is shown in Figure 11, and the results of the following experimental study on bending under temperature loading can verify our mechanistic analysis.

Figure 11.
Polyurethane heating and cooling model.
4. Preparation Process of Polyurethane Cement Composites
4.1. Selection of Matching Ratio
Polyurethane raw material and silicate cement powder were mixed and stirred at a mass ratio of 1:1 to prepare a polyurethane cement composite material. The polyurethane raw material is made of WANNATE®® PM-200 isocyanates, ES305 polyether polyol, KOSMOS-29 catalyst, and HQEE chain extender in a mass ratio of 1:1:0.02:0.05. The mix ratio of each ingredient in this experiment is shown in Table 6.

Table 6.
The mix ratio of each raw material for this test(kg/m3).
4.2. Preparation Process
The process of preparing polyurethane can be divided into the one-step method and the two-step method according to the process. The one-step method is to mix and shape raw materials such as oligomer polyol, polyisocyanate, chain extender, and catalyst at one time, which is most suitable for producing and processing low-modulus products []. The viscosity of MDI-type polyurethanes is large and is usually improved by a two-step method, also known as the semi-prepolymer synthesis method. The effect is improved by retaining some of the oligomeric polyols in the synthesis of prepolymer and synthesizing the semi-prepolymer with lower viscosity first, and then adding a small amount of oligomeric polyol and chain extender in the chain expansion reaction [].
The method used in this study to prepare polyurethane cement composites is a three-stage method based on the two-step method (semi-prepolymer synthesis method): first, the oligomer is reacted with an excess of isocyanate to form a prepolymer, then the prepolymer is reacted with diol and 1.4-butanediol to prepare high molecular weight polyurethane or polyurea, and finally mixed with cement and stirred and mixed into the mold, as The process is as follows, and the preparation process is shown in Figure 12.
- (1)
- Dry and dehydrate the cement: Put the cement into the frying furnace, ignite and heat it under the frying furnace, and keep the frying furnace rotating at a constant speed, as shown in Figure 12a. The stirring time is about 90 min~120 min. The purpose of frying dry is to eliminate as much free water and bound water from the cement as possible to prevent air bubbles when reacting with the polyurethane glue.
- (2)
- Preparation of polyurethane semi-prepolymer: Isocyanate (PM-200) and polyether polyol (ES305) were mixed in the designed ratio to form a viscous flow-like material followed by immediate airtight drying and placing, ready for use.
- (3)
- Polyurethane polymer mixing: Add dry chain extender 1,4-butanediol and a small amount of polyether polyol to the step (2) system and add 2% of the total mass of KOSMOS-29 catalyst drop by drop during the mixing process and stir to ensure uniform mixing of the rubber solution. The use of mixers can reduce the mixing time and the entire mixing process by about 2 min~5 min. Whether the two liquids are evenly mixed can be determined by observing whether the color of the glue is the same after mixing isocyanate and polyol. Since the polymerization reaction of isocyanate and polyol is fast, it is necessary to ensure that the interval between steps (2) and (3) is not too long and should be controlled at about 5 min.
- (4)
- Preparation of polyurethane cement colloid: Mix the frying-dried and dry cement in step (1) and the uniformly mixed polyurethane glue in step (3), as shown in Figure 12b, and stir at high speed for 3 min to make the polyurethane glue and cement are evenly mixed to form polyurethane cement colloid.
- (5)
- Pouring and regeneration molding: Pour the polyurethane cement colloid into the preprepared mold and smooth the residual colloid on the surface of the test mold, the polyurethane cement colloid can be solidified in about 60 min at room temperature. The specimen can be taken out of the mold after 24 h of regeneration at room temperature. The polyurethane cement composite material has good moldability. Various kinds of polyurethane cement specimens with different shapes can be prepared according to the specimen molds to meet the tests of different mechanical indexes.

Figure 12.
The preparation process of polyurethane cement: (a) stir frying cement; (b) stirring polyurethane cement; (c) preparation process flow chart.
The polyurethane cement sample prepared by drying the silicate cement has a smooth and flat surface and no bubbles or holes inside. It is a compact and uniform material, and its macroscopic water content and porosity are basically 0%. The polyurethane cement composite formed by polyurethane and untreated cement or fly ash is a porous material with internal air bubbles and low strength and toughness, and the specific preparation process is shown in Figure 12c.
The key step in making polyurethane cement composites is the frying and dewatering cement. If the undried cement is directly used to make polyurethane cement, the polyurethane cement will foam and swell with an expansion rate of about 200~300% during its reaction process.
5. Bending Performance Test
The polyurethane cement specimen is prepared by mixing the polyurethane raw materials and Portland cement in a 1:1 mass ratio. In order to determine the compressive strength of the polyurethane cement mixture at this ratio, the compressive test was conducted before the bending test under temperature load. The compression test results are shown in Section 5.1.
5.1. Compression Test
In order to determine the compressive strength of the polyurethane cement composite at this ratio, a compressive test was conducted before the bending test. The compressive strength test was performed using cubic specimens with a side length of 70 mm, and the specimen preparation process is shown in Figure 13.

Figure 13.
Polyurethane cement compressive test pieces at a 1:1 ratio (mm).
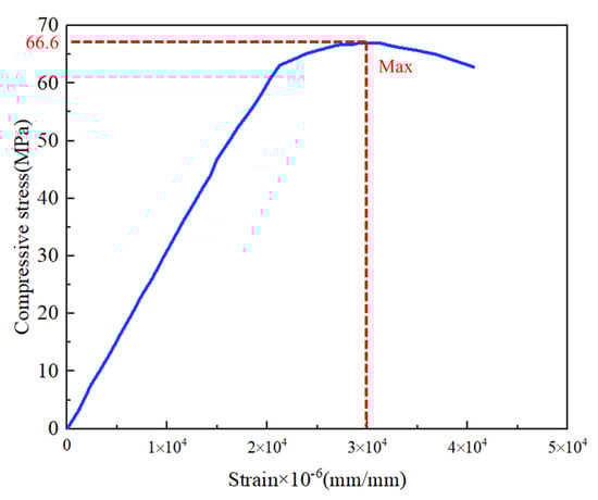
A total of three specimens were prepared for this test. After waiting for all the polyurethane cement compressive specimens to be set, they were placed under the MTS universal testing machine for the compressive test, as shown in Figure 14. After the test, the compressive strength of this proportion of polyurethane cement was obtained, and the maximum compressive strength was 66.6 MPa. The stress–strain curve was plotted as shown in Figure 15.

Figure 14.
Polyurethane cement specimen pressure loading test.

Figure 15.
Stress−strain curve of polyurethane and cement at a 1:1 ratio.
5.2. Specimen Preparation
The bending performance of polyurethane cement composites was studied by direct bending tests of the small beams as the primary test method. The specimen size (length × width × height) was 250 mm × 30 mm × 35 mm [], and the calculated span of small beams was 200 mm, as shown in Figure 16. The preparation process and polyurethane cement small-beam bending specimen are shown in Figure 17 and Figure 18, respectively. Homemade combined steel molds were used for the small beam molds. Due to the excellent bonding ability of the polyurethane cement composite material, to prevent the polyurethane cement composite material from sticking to the surface of the mold, before pouring the polyurethane cement, the mold surface should be cleaned first, and the mold release agent should be evenly applied. The mold release agent can effectively isolate the polyurethane cement. The contact between the colloid and the steel surface can effectively prevent the bonding between the polyurethane cement and the surface of the mold and avoid the phenomenon that the mold cannot get out of the mold. Polyurethane cement colloid has a slight consistency and extreme fluidity, making it easy to flow out from the mold gaps. After the mold assembly is completed, we should carefully check whether there is a gap between each component steel plate of the mold. If there is a gap, we should continue to tighten the mold bolts to ensure that the mold steel plates are in close contact.

Figure 16.
Loading schematic diagram of trabecular bending test (mm).

Figure 17.
Preparation of polyurethane cement bending specimens: (a) add polyol; (b) add isocyanate; (c) add cement; (d) stirring; (e) pouring.

Figure 18.
Specimen mold and polyurethane cement specimen: (a) polyurethane cement trabecular mold; (b) polyurethane cement trabecular specimen.
5.3. Test Method and Apparatus
This bending performance test adopts the trabecular direct bending method []. Applying a particular load to the trabecular will bend, resulting in flexural tensile strain and flexural tensile stress. In order to study the effect of temperature on the flexural properties of polyurethane cement, the test loading mode is divided into two modes: a temperature-controlled box for heating up or cooling downloading, and IPC global UTM-30 test system for vertical loading. The test system (UTM) can automatically record the test data, such as the load and displacement of the specimen, as shown in Figure 19.

Figure 19.
UTM-30 testing machine loading device.
In order to make the temperature inside and outside of the polyurethane cement specimen reach the temperature required for the test, first set the target temperature of the temperature control box to the temperature required for the test. The time to reach the set temperature is different, generally 30 min~120 min. When the external temperature of the test piece reaches the set temperature, the internal temperature of the test piece does not necessarily reach the set temperature; according to the difference in the external environment temperature of the test piece, the time for both the external and internal temperature of the test piece to reach the set temperature is not the same. The size of the temperature difference between the external environment and the internal and external temperature of the environmental chamber determines the time for both the external and internal temperature of the test piece to reach the set temperature. Generally, it takes 2 h~8 h to equalize the internal and external temperature of the test piece. When the internal and external temperatures of the specimen reach the set temperature, start the instrument and begin the vertical loading test.
The vertical loading of the bending test uses the displacement control mode. The loading rate is 1 mm/min, and the temperature control range is −50 °C~50 °C, 10 °C for one level, and a total of 11 temperature levels. The number of specimens in each group is not less than three and the test protocol is shown in Table 7. The minimum number of specimens in each group, the application of probability analysis methods for testing to meet the test data requirements to take the average. If a test group does not meet the test requirements, the reasons should be identified to increase the number of specimens to meet the test requirements.

Table 7.
Bending test protocol for polyurethane cement specimens at different temperatures.
6. Results and Discussion
Indicators of flexural properties include tensile strength at break, tensile strain at break, and modulus of stiffness. The flexural tensile strength, failure strain, and stiffness modulus are not only affected by the test temperature but also by the loading speed. This paper mainly studies the effect of temperature on the bending properties of polyurethane cement. Therefore, in the test groups of different temperatures, the loading speed is the same, and the vertical loading rate is 1 mm/min to carry out the bending test of polyurethane cement trabeculae. According to the test results, the flexural tensile strength Rb, the flexural tensile strain εb, and the stiffness modulus Sb are calculated. The calculation equations are as follows:
In the formula, Rb is the flexural tensile strength of the specimen at failure (MPa); εb is the maximum bending and tensile strain when the specimen fails (με); Sb is the modulus of bending stiffness when the specimen fails (MPa); b is the width of the cross-interruption interview (mm); h is the height of the cross-interruption interview piece (mm); L is the calculated span of the specimen (mm); Pb is the maximum load when the specimen fails (N); and d is the mid-span deflection when the specimen fails (mm).
The width b of the polyurethane cement small beam specimen is 30 mm, the height is 35 mm, the calculated span L is 200 mm, and the bending test results under different temperature levels are listed in Table 8.

Table 8.
Polyurethane cement bending test results.
As can be seen from Table 8, with the increase in the test temperature, the maximum deflection in the span of the polyurethane cement composite at the time of damage is increasing, and the change process can be divided into three stages. The first stage is from −50 °C to 30 °C, the maximum deflection in the span increases slowly, from 1.365 mm to 4.661 mm, and the growth rate is 0.412 mm/(10 °C). The second stage is from 30 °C to 40 °C, the maximum deflection in the span increases sharply from 4.661 mm to 22.925 mm, with a growth rate of 18.264 mm/(10 °C). The third stage is from 40 °C to 50 °C, the maximum deflection in the span increases slowly from 22.925 mm to 24.476 mm, with a growth rate of 1.551 mm/(10 °C). The rate of change of deflection in the first and third stages was slight and the deflection changed slowly, indicating that the flexural properties of polyurethane cement changed gradually with the change of temperature, but the rate of change of deflection in the second stage was very large, 44.33 times and 11.77 times of the rate of change in the first and third stages, and the deflection changed rapidly, indicating that in the temperature range of 30 °C to 40 °C, the flexural performance underwent a sudden change.
The flexural–tensile strength, flexural–tensile strain at failure, modulus of failure stiffness, load–displacement curve, and failure mode of polyurethane–cement composites at different temperature levels will be analyzed in detail below.
6.1. Flexural Strength
Figure 20 shows the bending and tensile strength of the polyurethane cement composites at different temperature levels. It can be seen from Figure 20 and Table 8 that the flexural tensile strength of the polyurethane cement composites showed a trend of decreasing, then increasing and then decreasing with increasing temperature during the increase of temperature T from −50 °C to 50 °C. There are two extreme points of bending tensile strength with the change of temperature–first a minimal value point (temperature of −30 °C) and then a multiple value point (temperature of 0 °C), which indicates that the polyurethane cement composites have a turning point in the growth law of bending tensile strength of polyurethane cement due to the change of internal properties of polyurethane cement material in the range around the temperature of these two extreme points.

Figure 20.
Flexural tensile strength of polyurethane cement at different temperature levels.
The bending and tensile strength of polyurethane cement specimens gradually decrease during the increase of temperature T from −50 °C to −30 °C, gradually increases during the increase of temperature T from −30 °C to 0 °C, and gradually decreases during the change of temperature T from 0 °C to 50 °C. However, the decreasing bending and tensile strength speed are very fast during the change of temperature T from 20 °C to 30 °C. In changing temperature T from −50 °C to 0 °C, the bending and tensile strength of polyurethane cement composites show the change law of decreasing and then increasing with the increase of temperature. The changing trend shows a “V” shape. While changing temperature T from 0 °C to 50 °C, the bending and tensile strength of polyurethane cement composites show a general trend of decreasing with temperature increase. In the process of temperature T changing from 0 °C to 50 °C, the bending and tensile strength of polyurethane cement composites show a trend of gradually decreasing with the increase in temperature. The front and back part of the curve is small. The middle part of the curve decreases sharply, and the shape of the curve is “S”.
When the temperature is −30 °C, the bending and tensile strength of polyurethane cement composites appear to have a minimal value, and then the bending and tensile strength increases, showing stress hardening characteristics; when the temperature is 0 °C, the bending and tensile strength of polyurethane cement composites appear to have a considerable value, and then the bending and tensile strength decreases, showing apparent stress softening characteristics. The two extreme points of bending and tensile strength and stress hardening and softening of polyurethane cement are that polyurethane is a material susceptible to temperature []. The change in temperature leads to the change of mechanical properties of polyurethane composing polyurethane cement composites. At the same time, the polyurethane content of polyurethane cement is significant, with 50% by weight, which leads to the bending and tensile strength of polyurethane cement composites also being susceptible to the change of temperature-sensitive temperature changes [].
During the change of temperature from −50 °C to 50 °C, the mechanical properties of the polyurethane cement composites undergo two essential changes. The first manifested as a change from brittle to viscoelastic with a cut-off point temperature of −30 °C, and the second manifested as a change from viscoelastic to plastic with a cut-off point temperature of 30 °C. Since the bending and tensile strength of the polyurethane cement composite undergoes a sharp decrease in the process of increasing from 20 °C to 30 °C, it can be considered that a specific temperature of increasing from 20 °C to 30 °C, recorded as (20 °C, 30 °C), is the demarcation point between viscoelasticity and plasticity of the polyurethane cement composite. It can be seen from Figure 20 that the load–displacement curve shows a linear growth trend when the temperature is lower than 20 °C. The polyurethane cement beam undergoes brittle damage when the ultimate load is reached. The load–displacement curve does not show a plateau period and a slow decreasing section. However, it shows a sharp decrease, indicating that the polyurethane cement composite material mainly shows brittle characteristics when the temperature is lower, and the bending and tensile deformation ability is inferior. At this time, the breaking load and bending and pulling strength of polyurethane cement beams are more significant; however, the bending and pulling strength increases after the temperature is lower than −30 °C, which is because of the brittleness of polyurethane cement composites is very large at this time. As the temperature decreases, the breaking load increases, and the displacement decreases so that the bending and pulling strength increases. When the temperature is higher than 20 °C, the polyurethane cement composites mainly show viscous characteristics, the ability to bend and tensile deformation is perfect, brittle damage will not occur. The form of damage is bending plastic damage with good ductility, which shows that the load–displacement relationship curve at 30 °C, 40 °C, and 50 °C is not linearly changing. A plateau period will appear before reaching the ultimate load. After the ultimate load, the load–displacement curve decreases slowly, an apparent decreasing section appears, and the bending and tensile strength of polyurethane cement composites at this stage is minimal, and the resistance to deformation is significant.
Polyurethane cement, as an organic–inorganic composite, has the properties of both organic polyurethane colloid and inorganic cement particles. The cement is mainly a crystalline structure formed by the coalescence of particles such as C2S and C3S, with a reticulated internal distribution, which mainly provides compressive strength. Polyurethane colloid is made of polyether polyol soft chain segments and isocyanate hard chain segments polymerized into a polymeric substance with long molecular chains and interwoven distribution of soft and hard chain segments, which has good tensile properties and directly determines the flexural strength of polyurethane cement. The principle of bending strength of polyurethane cement is explained from the microscopic molecular point of view. The soft chain segment of polyurethane colloid presents a rubbery state, which provides low-temperature performance; the hard chain segment presents a glassy or semi-crystalline state, which provides high-temperature performance []. Reflecting the temperature performance of polyurethane is mainly expressed in the glass transition temperature Tg, the magnitude of Tg depends on the binding force between macromolecules and the length of molecular chains, so the slender and soft chain segments have a more obvious effect on the Tg of polyurethane cement []. Table 9 lists the Tg of several common types of polyurethane colloids []. From the table, it can be seen that the Tg of MDI-PPG polyurethane colloid is −32 °C. The glass transition of polyurethane will occur when the temperature increases to −32 °C, which is consistent with the results shown in Figure 20, where the first inflection point occurs near −30 °C. When the temperature is lower than −30 °C, the polyurethane tends to a flexible rubbery state with an increase in bending strength, corresponding to the change in the interval from −50 °C to −30 °C in Figure 20. When the temperature is higher than −30°C, the molecules inside the polyurethane continuously absorb heat from the outside as the temperature rises, and the hydrogen bonding between molecules gradually strengthens, leading to another increase in bending strength []. This change is consistent with the results shown in the −30 °C to 0 °C interval in Figure 20. However, the change in bending strength with increasing temperature is not continuous. Due to the poor heat resistance of polyurethane, when the temperature is too high, the spacing between the soft and hard chain segments becomes smaller and smaller, limiting the intermolecular movement, and the polyurethane tends to soften, leading to a continuous decrease in bending strength. This is consistent with the results shown in the last interval in Figure 20.

Table 9.
Tg of common polyurethane colloids.
6.2. Analysis of Failure Strain Test Results
Figure 18 shows the breaking strains of the polyurethane cement composites at different temperature levels. It can be seen from Figure 21 and Table 8 that the breaking strain of the polyurethane cement composites increases with the increase in temperature. The reason for this is that at temperatures below and including 30 °C, polyurethane mainly exhibits brittleness and viscoelasticity [], resulting in polyurethane cement exhibiting more pronounced elasticity, and the lower the temperature, the more significant the elastic characteristics of polyurethane cement composites are, and the smaller the strain in bending damage of polyurethane cement specimens. A local analysis of the disruption strain in the temperature range of −50 °C change to 30 °C shows that the disruption strain is gradually increasing; in the process of increasing from −50 °C to 30 °C, the temperature-destructive strain curve can be divided into three stages as the temperature continues to increase, the first stage is the increase from −50 °C to −30 °C, the deadly strain grows slowly, the increase rate is low and approximates a straight line, the second stage is −30 °C to 0 °C, the damaging strain proliferates, the increase rate is more significant, and it is approximately a straight line. The third stage is 0 °C to 30 °C; the damaging strain proliferates, the increase rate is low at the beginning and then increases rapidly, and it is approximately a concave curve. The higher the temperature is, the more pronounced the viscoelastic characteristics of polyurethane cement composites are. The greater the strain when the polyurethane cement specimen is bent and damaged, the greater the change of damage strain rate is with the change of temperature.

Figure 21.
Failure strain of polyurethane cement at different temperature levels.
In the process of increasing from −50 °C to 50 °C, changing the damaging strain of polyurethane cement composites mainly shows a trend of two stages of change. The first stage is in the temperature range of −50 °C to 30 °C, the damaging strain of polyurethane cement composites is minor and reaches a significant value at 30 °C, and the damaging strain reaches 114,048 με; the second stage is in the temperature range of 30 °C to 50 °C, the damaging strain suddenly increases a lot at 40 °C, the damaging strain is 2,759,124 με at this time, which is 30 °C 24.2 times, indicating that in the range of 30 °C to 40 °C, the polyurethane cement composites transformed into plasticity and the elastic characteristics decreased, which showed an obvious turning point in the damage strain curve. The shape of the damage strain curve in the temperature range of −50 °C to 50 °C is approximately L-shaped, and the damage curve in the temperature range of −50 °C to 30 °C is similar to the flat side of the “L” shape. The damage curve in the temperature range of 30 °C to 50 °C is similar to the “L” shape. The damage curve is similar to the vertical side of the “L” shape.
Polyurethane is a polymer with a large number of polar bonds in the system, which can be divided into hard chain segments, hydrogen bonds between soft chain segments, and intra-molecular hydrogen bonds. When the temperature rises, the thermal movement of molecular chains intensifies, and the hydrogen bonds between soft and hard chain segments absorb a significant of energy and break gradually, forming internal molecular hydrogen bonds continuously [,]. At this time, the spacing between the polyurethane molecular chains keeps decreasing, and the polyurethane colloid tends to curl, which is macroscopically realized as the effective crosslink density of polyurethane cement composites decreases, the strain keeps increasing, and the elastic modulus gradually decreases. This is consistent with the trend of the increasing strain of damage with increasing temperature and decreasing modulus of elasticity expressed in Figure 21 and Figure 22.

Figure 22.
Failure stiffness modulus of polyurethane cement at different temperature levels.
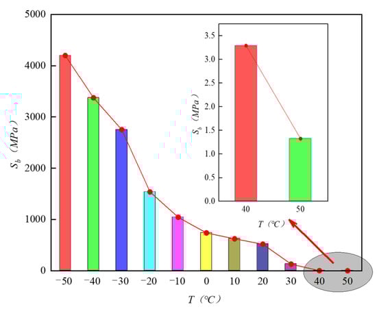
6.3. Analysis of Failure Stiffness Modulus Test Results
Figure 19 shows the modulus of damage stiffness of the polyurethane cement composites at different temperature levels. From Figure 22 and Table 8, it can be seen that the flexural modulus of damage modulus of polyurethane cement composites decreases continuously with the increase in temperature. When the temperature is lower than 20 °C (including 20 °C), the changing relationship of the bending modulus of the polyurethane cement composites is divided into two stages. The first stage is characterized by a nearly linear decrease (−50 °C~−20 °C), and the second stage is characterized by a concave curve decrease (−20 °C~20 °C). The average rate of change in the first half of the second stage is larger than the average rate of change in the second half. When the temperature is higher than 20 °C, the modulus of damage strength of polyurethane cement composites decreases sharply with the temperature increase. A temperature of 20 °C is the folding point of the change of modulus of damage strength of polyurethane cement composites, mainly because the mechanical properties of polyurethane cement composites change considerably at 20 °C; when the temperature is lower than 20 °C, polyurethane cement mainly shows the elastic characteristics, and as the temperature decreases, the elastic characteristics; when the temperature is lower than 20 °C, the polyurethane cement mainly exhibits elastic characteristics, and as the temperature decreases, the elastic characteristics become more apparent, the deformation capacity becomes smaller, and the modulus of damage strength becomes larger; when the temperature is higher than 20 °C, the polyurethane cement composites mainly exhibit viscous characteristics, and as the temperature increases, the viscous characteristics become more apparent, the deformation capacity becomes more extensive, and the modulus of damage strength becomes smaller.
The temperature dramatically influences the failure stiffness modulus of polyurethane cement composites. During the process of increasing from −50 °C to 50 °C, the failure stiffness modulus of polyurethane cement decreases from 4198.3 MPa to 1.3 MPa, and the reduction range is extensive, decreasing by about 3228 times; the temperature change curve of the failure stiffness modulus maintains a continuous downward trend, and is generally a concave curve, the slope of each point is negative, the failure stiffness modulus and temperature performance is a negative relationship. The modulus of breaking strength is very small at 40 °C and 50 °C. It can be understood from the above analysis of breaking strain that the breaking strain of polyurethane cement composites is tremendous under these two temperature conditions, mainly because the adhesion of polyurethane is excellent at higher temperatures, which leads to the polyurethane cement composites mainly presenting as sticky. From a macroscopic point of view, polyurethane cement is softer and better able to withstand changes and has better ductility.
6.4. Load-Displacement Curve Analysis
Figure 20 shows the load–displacement curves of the polyurethane cement composites at different temperature levels. The slope of the curves decreases as the temperature increases. When the temperature is lower than 20 °C (including 20 °C), the load–displacement curve of the polyurethane cement beamlet shows an increasing linear trend. When the maximum load is reached, the specimen breaks at the mid-span position, and the load suddenly decreases. The curve shows an obvious turning point, which shows typical brittle damage, and the displacements of the specimens are all less than 5 mm at the time of damage, and the damage load is more significant. When the temperature is higher than 20 °C, the displacement of polyurethane cement beams increases with the load, showing a typical nonlinear increase. The displacement is still increasing when the load is close to the maximum value, an apparent plateau appears, the maximum displacement is close to 25 mm, and the damage form is bending ductile damage.
In order to analyze the load–displacement relationship between the polyurethane cement specimens more conveniently, Figure 23a is decomposed into Figure 23b,c and the splitting limit is chosen as 20 °C. From Figure 23b, it can be seen that the damage load shows a trend of decreasing, then increasing, and then decreasing with the increase in temperature. However, the damage displacement shows a trend of increasing with increasing temperature. Figure 23c shows that the load–displacement curve appears during a plateau period after the temperature increases, and the damage load keeps decreasing. The damage displacement keeps increasing as the temperature increases, and the load–displacement curve of the plateau period keeps extending.

Figure 23.
Load-displacement diagram of polyurethane cement at different temperature levels: (a) Load-displacement curve for −50 °C~50 °C; (b) Load-displacement curve below 20 °C (including 20 °C); (c) Load-displacement curve above 20 °C.
6.5. Destruction Mode
The damage forms of the bending test of polyurethane cement beams at different temperature levels are shown in Figure 24. The forms of damage sections at different temperatures are different, mainly showing two types of damage sections. One is the damage section at temperatures of −50 °C, −40 °C, −10 °C, 0 °C, 10 °C, and 20 °C, which shows an irregular fold shape; the other is the damage section at temperatures of −30 °C and −20 °C, which shows the regular rectangular shape, and the fracture surface overlaps with the loading axis. In the process of temperature rise from −50 °C to 20 °C, the specimen damage form is brittle damage, and the damage section is in the loading point position of the beam, i.e., the span position. The damage of the specimens at 30 °C was ductile and ductile, and more small vertical cracks appeared at the lower edge near the span section. The damage of the specimens at 40 °C and 50 °C is in the form of flexible damage. The deformation of the specimens is excellent, but the ability to bear the load is inferior, and many folds appear at the lower edge near the span section. No apparent cracks appear when the damage occurs.


Figure 24.
Failure forms of polyurethane cement trabeculae at different temperature levels: (a) Temperature T = −50 °C; (b) Temperature T = −40 °C; (c) Temperature T = −30 °C; (d) Temperature T = −20 °C; (e) Temperature T = −10 °C; (f) Temperature T = 0 °C; (g) Temperature T = 10 °C; (h) Temperature T = 20 °C; (i) Temperature T = 30 °C; (j) Temperature T = 40 °C; (k) Temperature T = 50 °C.
According to the load–displacement curve and damage form of the polyurethane cement beamlet bending test, it can be seen that Figure 25 represents three damage modes of polyurethane cement at different temperature levels. The first damage mode load–displacement curve shows linear growth before reaching the ultimate load, and then the curve suddenly turns and drops sharply when reaching the ultimate load. The polyurethane cement beamlet instantly loses its bearing capacity and fractures, called Type I brittle damage. The second damage mode load–displacement curve before reaching the ultimate load, first linear growth and then nonlinear growth, the internal reorganization of the material, mechanical properties change, after reaching the ultimate load, there is a process of decline in bearing capacity. Finally, loss of bearing capacity, fracture, and polyurethane cement beams have a certain ductility, known as Type II elastic-plastic damage. In the third damage mode load–displacement curve, before reaching the ultimate load, there is first a tiny section of the curve to maintain a linear growth trend, and then a large section of the nonlinear growth curve, and finally, basically remain as a horizontal line, the bearing capacity no longer increases. However, the deformation is still occurring, and the curve has a prominent platform period, known as Type III flexible damage.

Figure 25.
Three failure modes of load–displacement curves.
The failure mode of polyurethane cement is explained from the microscopic point of view, and the internal polyurethane stress model under three failure modes is established, as shown in Figure 26. In the bending test, the lower part of the polyurethane cement beam specimen is mainly subjected to tensile stress. As a class of crystalline mixture, the cement particles have good compressive capacity but weak tensile properties, and the polyurethane colloid mainly bear the tensile stress under external loading. Type I brittle damage: In the low-temperature environment, the spacing between soft and hard chain segments inside the polyurethane increases [], the molecular chain movement is enhanced, hydrogen bonding exists between the hard and soft chain segments [], the polyurethane molecular structure is complete, the mechanical properties of the polyurethane colloid are improved, and the tensile strength provided is very high. The polyurethane does not reach the yield strength under load; instead, the cement particles on the upper part of the beam reach the ultimate compressive strain, the cement is crushed, and the polyurethane cement specimen suddenly fractures. Type III flexible damage: The heat resistance of polyurethane is poor, and the softening temperature is 50 °C~70 °C. Under the high-temperature environment, polyurethane tends to soften, the hydrogen bonds between hard chain segments-soft chain segments break, the hydrogen bonds between hard chain segments are formed, the spacing between internal soft and hard chain segments decreases, and they will be interlaced chaotically [], which limits the movement ability of molecular chains, the mechanical properties of polyurethane decreases, and the tensile strength decreases; under the action of load polyurethane soon reaches the yield strength and enters the strengthening stage, the attraction between molecules is difficult to overcome the external; under the action of load, polyurethane soon reaches the yield strength and enters the strengthening stage, and the attraction between molecules is difficult to resist the external action. The internal chemical bonds gradually break, the molecular chains are finally pulled off [], and the polyurethane cement specimen is destroyed. Type II elastoplastic damage: at room temperature, the spacing of internal chain segments of polyurethane is standard, and the tensile strength is normal; under load, the polyurethane first reaches yield strength and tends toward the elastic development stage; the crack at the bottom of the beam extends continuously, and as the cement reaches the ultimate compressive strength, the polyurethane cement specimen is destroyed.

Figure 26.
Internal polyurethane stress model under three failure modes.
The analysis of bending and tensile strength, damage strain, damage stiffness modulus, load–displacement curve, and damage mode of polyurethane cement composites shows that in the temperature range of −20 °C~20 °C, the bending performance of polyurethane cement composites is relatively good. The stiffness modulus is relatively large at low temperatures, which is easy to release brittle damage. The stiffness modulus is relatively small at high temperatures, generally causing flexible damage.
7. Conclusions
This paper studied the flexural properties of polyurethane–cement composites under temperature load. Firstly, the raw materials for preparing polyurethane cement composites were introduced. Polyurethane cement composites’ molecular structure, reaction process, and action mechanism were modeled and analyzed from a microscopic perspective. Secondly, a three-step process for preparing polyurethane cement is proposed, and a suitable ratio is selected. Finally, the effect of temperature on the bending and tensile strength of polyurethane cement composites was studied experimentally. The indexes affecting the bending performance of polyurethane cement composites and the damage modes under different temperature loads were studied and analyzed. The main conclusions are as follows:
- (1)
- Polyurethane cement composites consist mainly of cement and polyurethane where polyurethane is composed of isocyanate, combined polyether, chain extender, and catalyst by the reaction. The critical step of the polyurethane cement preparation process is to dry and dehydrate the cement; otherwise, the formulated polyurethane cement will show a foaming phenomenon.
- (2)
- Polyurethane is a block copolymer formed by the addition polymerization of isocyanate and polyether polyol under the action of electrostatic attraction. The main reactive groups are the isocyanate group and the hydroxyl group. The silicate cement particles can fill the tiny gaps inside the polyurethane colloid and eliminate the internal stress concentration. At the same time, high energy is required to excite the silicate cement to make an electron leap. The silicate cement will not react with the polyurethane molecules under a normal state, so the two are more compatible. The composed polyurethane cement composites have better macroscopic mechanical properties.
- (3)
- Polyurethane is divided into hard chain segments and soft chain segments. During the cooling process, the interval between the soft and hard chain segments gradually increases, the molecular chain movement ability gradually increases, and the mechanical index of polyurethane cement composites improves. However, this mechanical change is not always inversely proportional to the temperature. Polyurethane tends to crystallize and solidify when the temperature is too low, and the mechanical properties will be reduced instead.
- (4)
- With the increase in temperature, the flexural and tensile strength of polyurethane–cement composites showed a trend of decreasing first, then increasing, and then decreasing. Their mechanical properties changed from brittleness to viscoelasticity and plasticity. The flexural failure stiffness modulus of polyurethane cement composites decreases with the increase in temperature; the failure load shows a trend of first decreasing, then increasing, and then decreasing with the increase of temperature, and the failure displacement shows that with the increase in temperature for an increasing trend.
- (5)
- The damage strain of polyurethane cement composites increases with the increase in temperature, and the damage strain curve is L-shaped, with an obvious turning point near 30 °C. The damage modes of polyurethane cement composites under different temperature loads are divided into three types: Type I damage is brittle damage, Type III damage is flexible damage with flow deformation of polyurethane cement, and Type II damage is elastic-plastic damage between Type I and Type III.
Author Contributions
Conceptualization, B.L., H.L. and H.G.; Methodology, B.L.; Software, B.L.; Validation, H.G.; Formal analysis, B.L.; Investigation, J.J.; Data curation, H.D.; Writing—original draft, B.L.; Writing—review and editing, B.L. and H.G.; Supervision, H.L.; Funding acquisition, H.L. and H.G. All authors have read and agreed to the published version of the manuscript.
Funding
The authors acknowledge the financial support provided by scientific research projects of basic scientific research expenses in Heilongjiang Provincial Colleges and Universities (2020-KYYWF-1038, 2021-KYYWF-0033), the National Natural Science Foundation of China (51678221), Key Laboratory of Functional Inorganic Material Chemistry (Heilongjiang University), Ministry of Education and Heilongjiang Provincial Universities Central Support Local Universities Reform and Development Funding, Key research and development plan guidance project in Heilongjiang Province (GZ20220083).
Institutional Review Board Statement
Not applicable.
Informed Consent Statement
Not applicable.
Data Availability Statement
Data derived from the current study can be provided to readers upon request.
Conflicts of Interest
The authors declare no conflict of interest.
References
- Xiangyong, G.; Wang, J.; Li, D. A Review on Existing Building Concrete Structure Durability Repair Technology. Constr. Qual. 2021, 39, 8–12. [Google Scholar]
- Wei, L. Review of Materials for Repair of Hydraulic Concrete Structures. Sichuan Build. Sci. 2014, 40, 229–231. [Google Scholar]
- Song, X.; Song, X.; Liu, H.; Huang, H.; Anvarovna, K.G.; Ugli, N.A.D.; Huang, Y.; Hu, J.; Wei, J.; Yu, Q. Cement-Based Repair Materials and the Interface with Concrete Substrates: Characterization, Evaluation and Improvement. Polymers 2022, 14, 1485. [Google Scholar] [CrossRef]
- Peyrton, J.; Avérous, L. Structure-Properties Relationships of Cellular Materials from Biobased Polyurethane Foams. Mater. Sci. Eng. R Rep. 2021, 145, 100608. [Google Scholar] [CrossRef]
- Yijun, L.; Yi, W.; Hui, Z. Review of Polyurethane Grouting Materials. Adhesion 2005, 26, 40–42. [Google Scholar]
- Stribeck, N.; Zeinolebadi, A.; Harpen, F.; Luinstra, G.; Eling, B.; Botta, S. Thermoplastic Polyurethane Cross-Linked by Functionalized Silica. Nanostructure Evolution under Mechanical Load. Macromolecules 2013, 46, 4041–4052. [Google Scholar] [CrossRef]
- Somarathna, H.M.C.C.; Raman, S.N.; Mohotti, D.; Mutalib, A.A.; Badri, K.H. The Use of Polyurethane for Structural and Infrastructural Engineering Applications: A State-of-the-Art Review. Constr. Build. Mater. 2018, 190, 995–1014. [Google Scholar] [CrossRef]
- Wu, H.; Zhu, M.; Liu, Z.; Yin, J. Developing a Polymer-Based Crack Repairing Material Using Interpenetrate Polymer Network (IPN) Technology. Constr. Build. Mater. 2015, 84, 192–200. [Google Scholar] [CrossRef]
- Park, D.C. Carbonation of Concrete in Relation to CO2 Permeability and Degradation of Coatings. Constr. Build. Mater. 2008, 22, 2260–2268. [Google Scholar] [CrossRef]
- Almusallam, A.A.; Khan, F.M.; Dulaijan, S.U.; Al-Amoudi, O.S.B. Effectiveness of Surface Coatings in Improving Concrete Durability. Cem. Concr. Compos. 2003, 25, 473–481. [Google Scholar] [CrossRef]
- Vipulanandan, C.; Liu, J. Performance of Polyurethane-Coated Concrete in Sewer Environment. Cem. Concr. Res. 2005, 35, 1754–1763. [Google Scholar] [CrossRef]
- Johns, F.E. Technical Report Polyurethane Lining Technology for Pipes. Mater. Des. 2000, 5, 281–282. [Google Scholar] [CrossRef]
- Zhang, K.; Quansheng, S. Study on the Mechanical Properties of High Tenacity Polyurethane Cement Composite Materials. New Build. Mater. 2018, 45, 126–128. [Google Scholar]
- Van Tittelboom, K.; De Belie, N.; Van Loo, D.; Jacobs, P. Self-Healing Efficiency of Cementitious Materials Containing Tubular Capsules Filled with Healing Agent. Cem. Concr. Compos. 2011, 33, 497–505. [Google Scholar] [CrossRef]
- Liu, Y. Flame Retardant of Polyurethane Foam. China Plast. Ind. 2003, 31, 1–4. [Google Scholar]
- Xie, H.; Shu, Y.; Yang, J. Advances in Flame Retardant Research of Thermoplastic Polyurethane Elastomers. Energy Res. Manag. 2021, 34, 34–41. [Google Scholar]
- Jin, X.; Guo, N.; You, Z.; Tan, Y. Research and Development Trends of Polyurethane Modified Asphalt. Cailiao Daobao/Mater. Rep. 2019, 33, 3686–3694. [Google Scholar] [CrossRef]
- Jin, X.; Guo, N.S.; Yan, S.M.; Liu, T.; You, Z.P. Preparation and Performance Evaluation on Polyurethane Composite Modified Asphalt. Zhongguo Gonglu Xuebao/China J. Highw. Transp. 2021, 34, 80–94. [Google Scholar] [CrossRef]
- Zhang, K.; Sun, Q. The Use of Wire Mesh-Polyurethane Cement (WM-PUC) Composite to Strengthen RC T-Beams under Flexure. J. Build. Eng. 2018, 15, 122–136. [Google Scholar] [CrossRef]
- Gao, H.; Sun, Q. Study on Fatigue Test and Life Prediction of Polyurethane Cement Composite (PUC) under High or Low Temperature Conditions. Adv. Mater. Sci. Eng. 2020, 2020, 2398064. [Google Scholar] [CrossRef]
- Zhang, L.; Wang, T.; Wu, C.; Sun, Q.; Zhang, K. Study on Physical and Mechanical Properties of Polyurethane Cement Composites. Sci. Technol. Innov. 2019, 32–33. [Google Scholar] [CrossRef]
- Tang, J.; Liu, J.; Yu, C.; Wang, R. Influence of Cationic Polyurethane on Mechanical Properties of Cement Based Materials and Its Hydration Mechanism. Constr. Build. Mater. 2017, 137, 494–504. [Google Scholar] [CrossRef]
- Martinelli, A.E.; Melo, D.M.A.; Lima, F.M.; Bezerra, U.T.; Marinho, E.P.; Henrique, D.M. Addition of Polyurethane to Portland Cement. Mater. Sci. Forum 2005, 498–499, 401–406. [Google Scholar] [CrossRef]
- Sheba Susan Abraham, A.J. Performance Evaluation of Polyurethane Cement Composite as a Retrofit Against Seismic Loading. Lect. Notes Civ. Eng. 2020, 46, 359–370. [Google Scholar] [CrossRef]
- Gadea, J.; Rodríguez, A.; Campos, P.L.; Garabito, J.; Calderón, V. Lightweight Mortar Made with Recycled Polyurethane Foam. Cem. Concr. Compos. 2010, 32, 672–677. [Google Scholar] [CrossRef]
- Lidong, Z. Study on the Bearing Capacity of Prestressed Concrete Hollow Beam Strengthened by Polyurethane Cement Composite. Master’s Thesis, Northeast Forestry University, Harbin, China, 2017. [Google Scholar]
- Cuanyong, W.; Ru, X.; Jiasheng, Q. Study on Properties of Two Component Polyurethane Cement Grouting Reinforcement Materials. Guangdong Chem. Ind. 2015, 17, 27–28+2. [Google Scholar]
- Caro, S.; Masad, E.; Bhasin, A.; Little, D.N. Moisture Susceptibility of Asphalt Mixtures, Part 1: Mechanisms. Int. J. Pavement Eng. 2008, 9, 81–98. [Google Scholar] [CrossRef]
- Su, N.; Xiao, F.; Wang, J.; Cong, L.; Amirkhanian, S. Productions and Applications of Bio-Asphalts—A Review. Constr. Build. Mater. 2018, 183, 578–591. [Google Scholar] [CrossRef]
- Wang, H.; Xie, P.; Ji, R.; Gagnon, J. Prediction of Airfield Pavement Responses from Surface Deflections: Comparison between the Traditional Backcalculation Approach and the ANN Model. Road Mater. Pavement Des. 2021, 22, 1930–1945. [Google Scholar] [CrossRef]
- Brandes, H.; Doygun, O.; Francis, O.; Zhang, G.; Rossi, C.; Yang, L.; Togia, H. CRESI: A Susceptibility Index Methodology to Assess Roads Threatened by Coastal Erosion. Ocean Coast. Manag. 2021, 213, 105845. [Google Scholar] [CrossRef]
- Li, X.; Li, J.; Wang, J.; Yuan, J.; Jiang, F.; Yu, X.; Xiao, F. Recent Applications and Developments of Polyurethane Materials in Pavement Engineering. Constr. Build. Mater. 2021, 304, 124639. [Google Scholar] [CrossRef]
- Zhang, W.; Wang, H.; Yin, J.; Zou, J.; Zhuang, C.; Fu, J.; Wu, B. Study of Polyurethane Concrete for Rapid Repair of Highway Pavements. Concrete 2011, 128–131. [Google Scholar] [CrossRef]
- Zou, J. Research on Polyurethane-Based Rapid Repair Materials for Highway Pavements. Master’s Thesis, Central South University, Changsha, China, 2013. [Google Scholar]
- Naiqian, F. Technology of HPC&UHPC, 1st ed.; Naiqian, F., Ed.; China Architecture Publishing & Media Co., Ltd.: Beijing, China, 2015. [Google Scholar]
- Guo, J.; Wang, C.; Yu, H.; Li, X. Preparation of a Wear-Resistant, Superhydrophobic SiO2/Silicone-Modified Polyurethane Composite Coating through a Two-Step Spraying Method. Prog. Org. Coat. 2020, 146, 105710. [Google Scholar] [CrossRef]
- Duan, N.; Sun, Z.; Ren, Y.; Liu, Z.; Liu, L.; Yan, F. Imidazolium-Based Ionic Polyurethanes with High Toughness, Tunable Healing Efficiency and Antibacterial Activities. Polym. Chem. 2020, 11, 867–875. [Google Scholar] [CrossRef]
- Hussain, H.K.; Liu, G.W.; Yong, Y.W. Experimental Study to Investigate Mechanical Properties of New Material Polyurethane-Cement Composite (PUC). Constr. Build. Mater. 2014, 50, 200–208. [Google Scholar] [CrossRef]
- Lagier, F.; Kurtis, K.E. Influence of Portland Cement Composition on Early Age Reactions with Metakaolin. Cem. Concr. Res. 2007, 37, 1411–1417. [Google Scholar] [CrossRef]
- Ming, C.; Yunsong, Z.; Fuhe, W.; Benyuan, G. State Density and Local State Density of Two-Dimensional Photonic Crystals with Cylindrical Scatterers. Acta Opt. Sin. 2006, 26, 1847–1851. [Google Scholar]
- Lv, Q.; Huang, W.; Wang, X. First Principles Calculation and Analysis of Electronic Density of States of Nitrogen Atom Films on Si (111) Surface. Acta Phys. Sin. 2010, 59, 7880–7884. [Google Scholar]
- Wang, L.; Wan, Q.; Hu, W. First-Principle Analysis of Local State Density and Band Structure of Diamond and Graphite. Comput. Appl. Chem. 2010, 27, 735–738. [Google Scholar]
- Odler, I. The BET-Specific Surface Area of Hydrated Portland Cement and Related Materials. Cem. Concr. Res. 2003, 33, 2049–2056. [Google Scholar] [CrossRef]
- Šebenik, U.; Krajnc, M. Influence of the Soft Segment Length and Content on the Synthesis and Properties of Isocyanate-Terminated Urethane Prepolymers. Int. J. Adhes. Adhes. 2007, 27, 527–535. [Google Scholar] [CrossRef]
- Zhang, R.; Dai, H.; Smith, G.D. Investigation of the High Temperature Performance of a Polyurethane Adhesive Used for Structural Wood Composites. Int. J. Adhes. Adhes. 2022, 116, 102882. [Google Scholar] [CrossRef]
- Xv, C.; Sog, W.; Li, H. Preparation and Properties of Carboxylic Acid Aqueous Polyurethane Dispersions. China Adhes. 2010, 19, 5–9. [Google Scholar]
- Kong, M.; Wang, T.; Luo, B. Synthesis of RIM Polyurethane Elastomers by Semi—Prepolymer Method. China Elastomerics 2007, 17, 23–26. [Google Scholar]
- JTG-E20-2011 Test Specification for Asphalt and Asphalt Mixture of Highway Engineering; Research Institute of Highway Science; People’s Communications Press: Beijing, China, 2011.
- Jinan, S. The Problem of Determining the Optimum Asphalt Content in Asphalt Mixture Mix Design. Highway 2001, 11, 1–5. [Google Scholar]
- Wang, J.; Zhang, C.; Deng, Y.; Zhang, P. A Review of Research on the Effect of Temperature on the Properties of Polyurethane Foams. Polymers 2022, 14, 4586. [Google Scholar] [CrossRef]
- Cipriani, E.; Zanetti, M.; Brunella, V.; Costa, L.; Bracco, P. Thermoplastic Polyurethanes with Polycarbonate Soft Phase: Effect of Thermal Treatment on Phase Morphology. Polym. Degrad. Stab. 2012, 97, 1794–1800. [Google Scholar] [CrossRef]
- Li, C.; Wang, B.; Wen, X.; Shao, C.; Wang, D. Effect of Hard Segment Content on the Mechanical Properties of Polyurethane-Urea Elastomers. China Plast. Ind. 2022, 50, 110–115. [Google Scholar]
- Liu, B. Factors Influencing the Glass Transition Temperature of Polyurethane Elastomers. Polyurethane Ind. 2003, 18, 5–9. [Google Scholar]
- Bian, Y.; Feng, L.; Yu, Z.; Shi, X. Repair Behavior of Nanosized SiO2-Modified Thermally Reversible Self-Healing Polyurethane. Polym. Mater. Sci. Eng. 2019, 35, 44–50. [Google Scholar] [CrossRef]
- Zhao, P.; Wen, Q.; Wang, Y.; Zhu, J.; Hua, X. Infrared Spectroscopic Analysis of Hydrogen Bond in Gradient Cured Polyurethane Urea. Spectrosc. Spectr. Anal. 2008, 28, 551–554. [Google Scholar]
- Lei, J.; Feng, F.; Xu, S.; Wen, W.; He, X. Study on Mechanical Properties of Modified Polyurethane Concrete at Different Temperatures. Appl. Sci. 2022, 12, 3184. [Google Scholar] [CrossRef]
- Zhu, H.; Yan, Z.; Xv, Q.; Hu, C. Effect of Activation Temperature on the Structure and Properties of One Component Waterborne Polyurethane Membranes. Acta Polym. Sin. 2007, 892–896. [Google Scholar] [CrossRef]
- Chen, D.; Li, Y. Dynamic Mechanical Analysis of Hydrogen Bonding in Thermoplastic Polyurethane Elastomer. Chem. J. Chin. Univ. 2001, 844–846. [Google Scholar] [CrossRef]
- Rao, Y.; Munro, J.; Ge, S.; Garcia-Meitin, E. PU Elastomers Comprising Spherical Nanosilicas: Balancing Rheology and Properties. Polymer 2014, 55, 6076–6084. [Google Scholar] [CrossRef]
- Ren, D.; Frazier, C.E. Structure-Property Behavior of Moisture-Cure Polyurethane Wood Adhesives: Influence of Hard Segment Content. Int. J. Adhes. Adhes. 2013, 45, 118–124. [Google Scholar] [CrossRef]
- Zhao, P.; Hu, F.; Huang, X. Effect of Gradient Temperature Field on the Degree of Polyurethane Microphase Separation. Eng. Plast. Appl. 2011, 39, 32–35. [Google Scholar]
- Xiao, Y.; Jiang, L.; Liu, Z.; Yuan, Y.; Yan, P.; Zhou, C.; Lei, J. Effect of Phase Separation on the Crystallization of Soft Segments of Green Waterborne Polyurethanes. Polym. Test. 2017, 60, 160–165. [Google Scholar] [CrossRef]
Publisher’s Note: MDPI stays neutral with regard to jurisdictional claims in published maps and institutional affiliations. |
© 2022 by the authors. Licensee MDPI, Basel, Switzerland. This article is an open access article distributed under the terms and conditions of the Creative Commons Attribution (CC BY) license (https://creativecommons.org/licenses/by/4.0/).