Microwave Pyrolysis of Biomass: The Influence of Surface Area and Structure of a Layer
Abstract
1. Introduction
1.1. The Prospects for the Use of Biomass as an Energy Source
1.2. Microwave Pyrolysis of Biomass and Waste: A Review of Modern Researches
1.3. Motivation, Novelty, and the Main Objectives of the Study
2. Materials
3. Experimental Setup and Procedures
3.1. Experimental Setup
3.2. Experimental Technique for Measuring the Composition of Gases
4. Results and Discussion
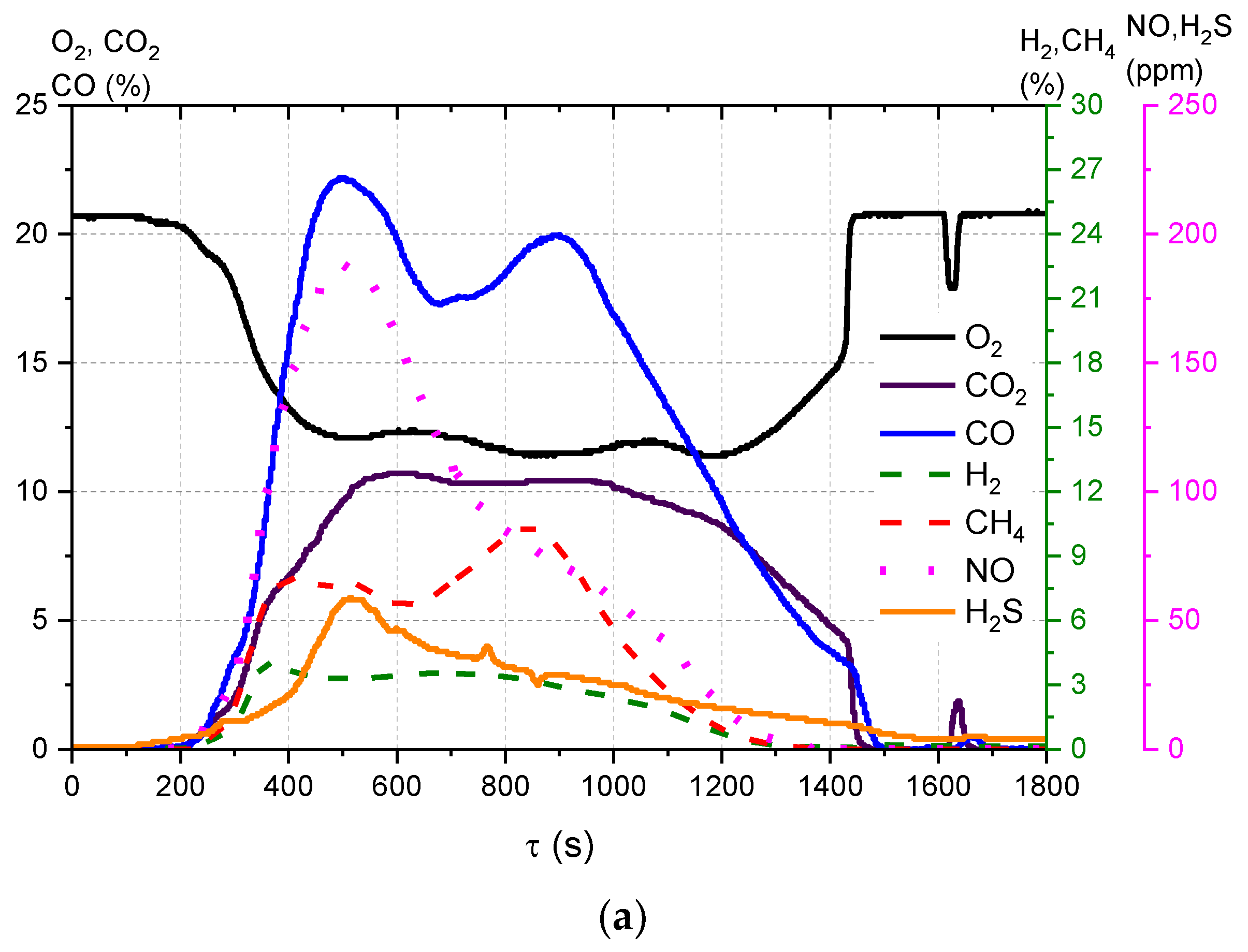
4.1. Distribution of Biomass on the Crucible Bottom
Fragmented Distribution of Biomass
4.2. Surface Structure
4.3. Influence of Biomass Particle Size
5. Conclusions
Author Contributions
Funding
Institutional Review Board Statement
Informed Consent Statement
Data Availability Statement
Acknowledgments
Conflicts of Interest
References
- Gao, N.; Śliz, M.; Quan, C.; Bieniek, A.; Magdziarz, A. Biomass CO2 gasification with CaO looping for syngas production in a fixed-bed reactor. Renew. Energy 2021, 167, 652–661. [Google Scholar] [CrossRef]
- The World Energy Technology Outlook Report (WETO-H2) Provides. Available online: http://publications.europa.eu/ (accessed on 10 September 2022).
- IEA. World Energy Outlook 2021; IEA Publications: Paris, France, 2021; p. 15. Available online: www.iea.org/weo (accessed on 5 September 2022).
- Weiland, P. Biogas production: Current state and perspectives. Appl. Microbiol. Biotechnol. 2010, 85, 849–860. [Google Scholar] [CrossRef] [PubMed]
- Usman, M.; Balsalobre-Lorente, D. Environmental concern in the era of industrialization: Can financial development, renewable energy and natural resources alleviate some load? Energy Policy 2022, 162, 112780. [Google Scholar] [CrossRef]
- Jung, S.; Lee, S.; Park, Y.-K.; Lee, K.H.; Kwon, E.E. CO2-Mediated catalytic pyrolysis of rice straw for syngas production and power generation. Energy Convers. Manag. 2020, 220, 113057. [Google Scholar] [CrossRef]
- Marquardt, W.; Harwardt, A.; Hechinger, M.; Kraemer, K.; Viell, J.; Voll, A. The biorenewables opportunity—Toward next generation process and product systems. AIChE J. 2010, 56, 2228–2235. [Google Scholar] [CrossRef]
- Shao, S.; Liu, C.; Xiang, X.; Li, X.; Zhang, H.; Xiao, R.; Cai, Y. In situ catalytic fast pyrolysis over CeO2 catalyst: Impact of biomass source, pyrolysis temperature and metal ion. Renew. Energy 2021, 177, 1372–1381. [Google Scholar] [CrossRef]
- Chen, C.; Huang, D.; Bu, X.; Huang, Y.; Tang, J.; Guo, C.; Yang, S.; Huang, H. Microwave-assisted catalytic pyrolysis of Dunaliella salina using different compound additives. Renew. Energy 2020, 149, 806–815. [Google Scholar] [CrossRef]
- Uzi, A.; Shen, Y.; Kawi, S.; Levy, A.; Wang, C.-H. Permittivity and chemical characterization of woody biomass during pyrolysis and gasification. Chem. Eng. J. 2019, 355, 255–268. [Google Scholar] [CrossRef]
- Bulushev, D.A.; Ross, J.R. Catalysis for conversion of biomass to fuels via pyrolysis and gasification: A review. Catal. Today 2011, 171, 1–13. [Google Scholar] [CrossRef]
- Lam, S.S.; Chase, H.A. A Review on Waste to Energy Processes Using Microwave Pyrolysis. Energies 2012, 5, 4209–4232. [Google Scholar] [CrossRef]
- Huang, Y.-F.; Kuan, W.-H.; Chang, C.-Y. Effects of particle size, pretreatment, and catalysis on microwave pyrolysis of corn stover. Energy 2018, 143, 696–703. [Google Scholar] [CrossRef]
- Bhuiyan, A.A.; Blicblau, A.S.; Islam, A.S.; Naser, J. A review on thermo-chemical characteristics of coal/biomass co-firing in industrial furnace. J. Energy Inst. 2018, 91, 1–18. [Google Scholar] [CrossRef]
- Sahu, S.; Chakraborty, N.; Sarkar, P. Coal–biomass co-combustion: An overview. Renew. Sustain. Energy Rev. 2014, 39, 575–586. [Google Scholar] [CrossRef]
- Cao, Y.; Wang, Q.; Du, J.; Chen, J. Oxygen-enriched air gasification of biomass materials for high-quality syngas production. Energy Convers. Manag. 2019, 199, 111628. [Google Scholar] [CrossRef]
- Cao, Y.; Bai, Y.; Du, J. Air-steam gasification of biomass based on a multi-composition multi-step kinetic model: A clean strategy for hydrogen-enriched syngas production. Sci. Total Environ. 2021, 753, 141690. [Google Scholar] [CrossRef]
- Karl, J.; Pröll, T. Steam gasification of biomass in dual fluidized bed gasifiers: A review. Renew. Sustain. Energy Rev. 2018, 98, 64–78. [Google Scholar] [CrossRef]
- Lupa, C.J.; Wylie, S.R.; Shaw, A.; Al-Shamma’A, A.; Sweetman, A.J.; Herbert, B.M. Gas evolution and syngas heating value from advanced thermal treatment of waste using microwave-induced plasma. Renew. Energy 2013, 50, 1065–1072. [Google Scholar] [CrossRef]
- Galeno, G.; Minutillo, M.; Perna, A. From waste to electricity through integrated plasma gasification/fuel cell (IPGFC) system. Int. J. Hydrog. Energy 2011, 36, 1692–1701. [Google Scholar] [CrossRef]
- Guan, G.; Kaewpanha, M.; Hao, X.; Abudula, A. Catalytic steam reforming of biomass tar: Prospects and challenges. Renew. Sustain. Energy Rev. 2016, 58, 450–461. [Google Scholar] [CrossRef]
- Wang, Y.; Huang, L.; Zhang, T.; Wang, Q. Hydrogen-rich syngas production from biomass pyrolysis and catalytic reforming using biochar-based catalysts. Fuel 2022, 313, 123006. [Google Scholar] [CrossRef]
- Arshanitsa, A.; Akishin, Y.; Zile, E.; Dizhbite, T.; Solodovnik, V.; Telysheva, G. Microwave treatment combined with conventional heating of plant biomass pellets in a rotated reactor as a high rate process for solid biofuel manufacture. Renew. Energy 2016, 91, 386–396. [Google Scholar] [CrossRef]
- Luque, R.; Menéndez, J.A.; Arenillas, A.; Cot, J. Microwave-assisted pyrolysis of biomass feedstocks: The way forward? Energy Environ. Sci. 2012, 5, 5481–5488. [Google Scholar] [CrossRef]
- Guo, Q.; Cheng, Z.; Chen, G.; Yan, B.; Li, J.; Hou, L.; Ronsse, F. Assessment of biomass demineralization on gasification: From experimental investigation, mechanism to potential application. Sci. Total Environ. 2020, 726, 138634. [Google Scholar] [CrossRef] [PubMed]
- Lin, J.; Cui, C.; Sun, S.; Xu, D.; Ma, R.; Wang, M.; Fang, L.; Dong, B. Enhanced combined H2O/CO2 reforming of sludge to produce high-quality syngas via spiral continuous microwave pyrolysis technology: CO2 reforming mechanism and H2/CO directional regulation. Chem. Eng. J. 2022, 434, 134628. [Google Scholar] [CrossRef]
- Trabelsi, A.B.H.; Zaafouri, K.; Friaa, A.; Abidi, S.; Naoui, S.; Jamaaoui, F. Municipal sewage sludge energetic conversion as a tool for environmental sustainability: Production of innovative biofuels and biochar. Environ. Sci. Pollut. Res. 2021, 28, 9777–9791. [Google Scholar] [CrossRef]
- Zhang, L.; Yao, D.; Tsui, T.-H.; Loh, K.-C.; Wang, C.-H.; Dai, Y.; Tong, Y.W. Plastic-containing food waste conversion to biomethane, syngas, and biochar via anaerobic digestion and gasification: Focusing on reactor performance, microbial community analysis, and energy balance assessment. J. Environ. Manag. 2022, 306, 114471. [Google Scholar] [CrossRef]
- Yao, D.; Li, H.; Dai, Y.; Wang, C.-H. Impact of temperature on the activity of Fe-Ni catalysts for pyrolysis and decomposition processing of plastic waste. Chem. Eng. J. 2021, 408, 127268. [Google Scholar] [CrossRef]
- Beneroso, D.; Bermúdez, J.; Arenillas, A.; Menéndez, J. Microwave pyrolysis of microalgae for high syngas production. Bioresour. Technol. 2013, 144, 240–246. [Google Scholar] [CrossRef]
- Appleton, T.; Colder, R.; Kingman, S.; Lowndes, I.; Read, A. Microwave technology for energy-efficient processing of waste. Appl. Energy 2005, 81, 85–113. [Google Scholar] [CrossRef]
- Zhang, Y.; Ke, C.; Fu, W.; Cui, Y.; Rehan, M.A.; Li, B. Simulation of microwave-assisted gasification of biomass: A review. Renew. Energy 2020, 154, 488–496. [Google Scholar] [CrossRef]
- Menéndez, J.; Arenillas, A.; Fidalgo, B.; Fernández, Y.; Zubizarreta, L.; Calvo, E.; Bermúdez, J. Microwave heating processes involving carbon materials. Fuel Process. Technol. 2010, 91, 1–8. [Google Scholar] [CrossRef]
- Luo, J.; Ma, R.; Sun, J.; Gong, G.; Sun, S.; Li, H. In-depth exploration of mechanism and energy balance characteristics of an advanced continuous microwave pyrolysis coupled with carbon dioxide reforming technology to generate high-quality syngas. Bioresour. Technol. 2021, 341, 125863. [Google Scholar] [CrossRef]
- Zhang, S.; Dong, Q.; Zhang, L.; Xiong, Y. High quality syngas production from microwave pyrolysis of rice husk with char-supported metallic catalysts. Bioresour. Technol. 2015, 191, 17–23. [Google Scholar] [CrossRef]
- Rattanadecho, P. The simulation of microwave heating of wood using a rectangular wave guide: Influence of frequency and sample size. Chem. Eng. Sci. 2006, 61, 4798–4811. [Google Scholar] [CrossRef]
- Li, J.; Liu, H.; Jiao, L.; Yan, B.; Li, Z.; Dong, X.; Chen, G. Microwave pyrolysis of herb residue for syngas production with in-situ tar elimination and nitrous oxides controlling. Fuel Process. Technol. 2021, 221, 106955. [Google Scholar] [CrossRef]
- Zhang, R.; Li, L.; Tong, D.; Hu, C. Microwave-enhanced pyrolysis of natural algae from water blooms. Bioresour. Technol. 2016, 212, 311–317. [Google Scholar] [CrossRef]
- Mushtaq, F.; Mat, R.; Ani, F.N. A review on microwave assisted pyrolysis of coal and biomass for fuel production. Renew. Sustain. Energy Rev. 2014, 39, 555–574. [Google Scholar] [CrossRef]
- Li, J.; Jiao, L.; Tao, J.; Chen, G.; Hu, J.; Yan, B.; Mansour, M.; Guo, Y.; Ye, P.; Ding, Z.; et al. Can microwave treat biomass tar? A comprehensive study based on experimental and net energy analysis. Appl. Energy 2020, 272, 115194. [Google Scholar] [CrossRef]
- Ge, S.; Yek, P.N.Y.; Cheng, Y.W.; Xia, C.; Mahari, W.A.W.; Liew, R.K.; Peng, W.; Yuan, T.-Q.; Tabatabaei, M.; Aghbashlo, M.; et al. Progress in microwave pyrolysis conversion of agricultural waste to value-added biofuels: A batch to continuous approach. Renew. Sustain. Energy Rev. 2021, 135, 110148. [Google Scholar] [CrossRef]
- Mutsengerere, S.; Chihobo, C.; Musademba, D.; Nhapi, I. A review of operating parameters affecting bio-oil yield in microwave pyrolysis of lignocellulosic biomass. Renew. Sustain. Energy Rev. 2019, 104, 328–336. [Google Scholar] [CrossRef]
- Garcia-Nunez, J.A.; Pelaez-Samaniego, M.R.; Garcia-Perez, M.E.; Fonts, I.; Abrego, J.; Westerhof, R.J.M. Historical Developments of Pyrolysis Reactors: A Review. Energy Fuels 2017, 31, 5751–5775. [Google Scholar] [CrossRef]
- Lee, T.; Jung, S.; Hong, J.; Wang, C.-H.; Alessi, D.S.; Lee, S.S.; Park, Y.-K.; Kwon, E.E. Using CO2 as an Oxidant in the Catalytic Pyrolysis of Peat Moss from the North Polar Region. Environ. Sci. Technol. 2020, 54, 6329–6343. [Google Scholar] [CrossRef] [PubMed]
- Lin, J.; Ma, R.; Luo, J.; Sun, S.; Cui, C.; Fang, L.; Huang, H. Microwave pyrolysis of food waste for high-quality syngas production: Positive effects of a CO2 reaction atmosphere and insights into the intrinsic reaction mechanisms. Energy Convers. Manag. 2020, 206, 112490. [Google Scholar] [CrossRef]
- Wang, X.; Guo, H.; Liu, F.; Hu, R.; Wang, M. Effects of CO2 on sulfur removal and its release behavior during coal pyrolysis. Fuel 2016, 165, 484–489. [Google Scholar] [CrossRef]
- Zhao, X.; Zhang, J.; Song, Z.; Liu, H.; Li, L.; Ma, C. Microwave pyrolysis of straw bale and energy balance analysis. J. Anal. Appl. Pyrolysis 2011, 92, 43–49. [Google Scholar] [CrossRef]
- Salema, A.A.; Ani, F.N. Microwave induced pyrolysis of oil palm biomass. Bioresour. Technol. 2011, 102, 3388–3395. [Google Scholar] [CrossRef]
- Salema, A.A.; Afzal, M.T. Numerical simulation of heating behaviour in biomass bed and pellets under multimode microwave system. Int. J. Therm. Sci. 2015, 91, 12–24. [Google Scholar] [CrossRef]
- Mishra, R.K.; Mohanty, K. Pyrolysis of three waste biomass: Effect of biomass bed thickness and distance between successive beds on pyrolytic products yield and properties. Renew. Energy 2019, 141, 549–558. [Google Scholar] [CrossRef]
- Leskinen, P.; Lindner, M.; Verkerk, P.J.; Nabuurs, G.J.; Van Brusselen, J.; Kulikova, E.; Hassegawa, M.; Lerink, B. (Eds.) Russian Forests and Climate Change. What Science Can Tell Us; European Forest Institute: Joensuu, Finland, 2020. [Google Scholar]
- Li, L.; Tan, Y.; Sun, J.; Zhang, Y.; Zhang, L.; Deng, Y.; Cai, D.; Song, Z.; Zou, G.; Bai, Y. Characteristics and kinetic analysis of pyrolysis of forestry waste promoted by microwave-metal interaction. Energy 2021, 232, 121095. [Google Scholar] [CrossRef]
- Luo, H.; Bao, L.; Kong, L.; Sun, Y. Low temperature microwave-assisted pyrolysis of wood sawdust for phenolic rich compounds: Kinetics and dielectric properties analysis. Bioresour. Technol. 2017, 238, 109–115. [Google Scholar] [CrossRef]
- Morozov, G.A.; Morozov, O.G. Development of microwave processes and complexes today. In Proceedings of the 2015 International Conference on Antenna Theory and Techniques (ICATT), Kharkiv, Ukraine, 21–24 April 2015. [Google Scholar] [CrossRef]
- Dorokhov, V.; Kuznetsov, G.; Nyashina, G.; Strizhak, P. Composition of a gas and ash mixture formed during the pyrolysis and combustion of coal-water slurries containing petrochemicals. Environ. Pollut. 2021, 285, 117390. [Google Scholar] [CrossRef]
- Dinčov, D.; Parrott, K.; Pericleous, K. Heat and mass transfer in two-phase porous materials under intensive microwave heating. J. Food Eng. 2004, 65, 403–412. [Google Scholar] [CrossRef]
- Pedreño-Molina, J.L.; Monzó-Cabrera, J.; Catalá-Civera, J.M. Sample movement optimization for uniform heating in microwave heating ovens. Int. J. RF Microw. Comput. Eng. 2007, 17, 142–152. [Google Scholar] [CrossRef]
- Luo, J.; Sun, S.; Chen, X.; Lin, J.; Ma, R.; Zhang, R.; Fang, L. In-depth exploration of the energy utilization and pyrolysis mechanism of advanced continuous microwave pyrolysis. Appl. Energy 2021, 292, 116941. [Google Scholar] [CrossRef]
- Brodie, G. The Influence of Load Geometry on Temperature Distribution during Microwave Heating. Trans. ASABE 2008, 51, 1401–1413. [Google Scholar] [CrossRef]
- Mohammed, M.; Salmiaton, A.; Azlina, W.W.; Amran, M.M.; Fakhru’L-Razi, A. Air gasification of empty fruit bunch for hydrogen-rich gas production in a fluidized-bed reactor. Energy Convers. Manag. 2011, 52, 1555–1561. [Google Scholar] [CrossRef]
- Li, J.; Yin, Y.; Zhang, X.; Liu, J.; Yan, R. Hydrogen-rich gas production by steam gasification of palm oil wastes over supported tri-metallic catalyst. Int. J. Hydrog. Energy 2009, 34, 9108–9115. [Google Scholar] [CrossRef]
- Haykiri-Acma, H. The role of particle size in the non-isothermal pyrolysis of hazelnut shell. J. Anal. Appl. Pyrolysis 2006, 75, 211–216. [Google Scholar] [CrossRef]
- McKendry, P. Energy production from biomass (part 2): Conversion technologies. Bioresour. Technol. 2002, 83, 47–54. [Google Scholar] [CrossRef]
- Zhao, X.; Wang, W.; Liu, H.; Ma, C.; Song, Z. Microwave pyrolysis of wheat straw: Product distribution and generation mechanism. Bioresour. Technol. 2014, 158, 278–285. [Google Scholar] [CrossRef]

























| Ultimate Analysis (%) | Proximate Analysis | ||||||||
|---|---|---|---|---|---|---|---|---|---|
| C | H | O | N | S | Moisture, % | Volatiles, % | Fixed Carbon, % | Ash, % | Calorific Value, MJ/kg |
| 54.3 | 5.2 | 40.0 | 0.4 | – | 3.5 | 80.1 | 15.1 | 1.1 | 18.67 |
| Output Power, kW | Frequency, MHz | Anode Voltage, kV | Efficiency, % | Cooling Method | Magnetic System |
|---|---|---|---|---|---|
| 1.0 | 2375 | 3.6–4 | 62 | Air | Permanent magnet |
| 2.5 | 2375 | 3.6–4 | 60 | Water | Electromagnet |
| 5.0 | 2375 | 5.5 | 56–60 | Water | Electromagnet |
| 10.0 | 429 | 10 | 65 | Water | Electromagnet |
| 25.0 | 910 | 10 | 75–80 | Water | Electromagnet |
| Component | Measurement Range | Accuracy | Response Time |
|---|---|---|---|
| O2 | 0–25% | ±0.2 vol% (absolute) | ≤15 s |
| H2 | 0–5% | ±0.2 vol% (absolute) | ≤35 s |
| CO2 | 0–30% | ±2% (basic percentage error) | ≤25 s |
| CH4 | 0–30% | ±5% (of the indication) | ≤25 s |
| CO | 0–40000 ppm | ±5% (of the indication) | ≤35 s |
| NO | 0–1000 ppm | ±5% (of the indication) | ≤35 s |
| NO2 | 0–500 ppm | ±7% (of the indication) | ≤45 s |
| SO2 | 0–1000 ppm | ±5% (of the indication) | ≤45 s |
| H2S | 0–500 ppm | ±5% (of the indication) | ≤45 s |
| HCl | 0–2000 ppm | ±5% (of the indication) | ≤45 s |
| Experiment | Gas | Average Concentrations (%) | Average Concentrations (ppm) | Average Concentrations (mg/m3) | Total Amount of Pyrolysis Gas (mg/m3) |
|---|---|---|---|---|---|
| Biomass is distributed along the edges of the crucible | CO | 8.6 | 86,000 | 100,138.6 | 156,616,770 |
| CO2 | 6.31 | 63,100 | 115,443.82 | 146,382,763 | |
| CH4 | 1.8 | 18,000 | 12,002.36 | 9,061,781 | |
| H2 | 1.13 | 11,300 | 946.93 | 1,480,998 | |
| H2S | 0.0056 | 56.16 | 79.56 | 66,830 | |
| SO2 | 0.00293 | 29.3 | 78.03 | 41,746 | |
| NO | 0.000277 | 2.77 | 3.46 | 3017 | |
| Biomass is distributed over the entire surface of the crucible bottom | CO | 11.3 | 113,000 | 131,577 | 240,785,910 |
| CO2 | 7.02 | 70,200 | 128,433 | 160,412,817 | |
| CH4 | 2.44 | 24,400 | 16,269.87 | 13,129,785 | |
| H2 | 1.16 | 11,600 | 971.97 | 1,784,536.92 | |
| H2S | 0.0067659 | 67.66 | 95.86 | 83,494.06 | |
| SO2 | 0.003446 | 34.46 | 91.77 | 53,410.14 | |
| NO | 0.00058 | 5.8 | 7.24 | 8514.24 | |
| Biomass is distributed over the surface of a half of the crucible bottom | CO | 15.5 | 155,000 | 180,482.36 | 465,102,114 |
| CO2 | 7.01 | 70,100 | 128,250.58 | 138,382,375 | |
| CH4 | 2.88 | 28,800 | 19,203.78 | 45,319,080 | |
| H2 | 0.88 | 8800 | 737.36 | 22,739,200 | |
| H2S | 0.003759 | 37.59 | 53.26 | 50,104.47 | |
| SO2 | 0.00165 | 16.5 | 43.94 | 18,298.5 | |
| NO | 0.00123 | 12.3 | 15.34 | 31,783.2 |
| Experiment | Gas | Average Concentrations (%) | Average Concentrations (ppm) | Average concentrations (mg/M3) | Total Amount of Pyrolysis Gas (mg/m3) |
|---|---|---|---|---|---|
| Biomass is distributed into large fragments | CO | 8.72 | 87,200 | 101,535.88 | 203,070,000 |
| CO2 | 5.27 | 52,700 | 96,416.63 | 123,198,144 | |
| CH4 | 3.2 | 32,000 | 21,337.54 | 25,455,041 | |
| H2 | 1.47 | 14,700 | 2681.29 | 5,372,724 | |
| H2S | 0.004743 | 47.43 | 67.20 | 77,750 | |
| SO2 | 0.00209 | 20.9 | 55.66 | 19,792 | |
| NO | 0.00182 | 18.2 | 22.71 | 45,510 | |
| Biomass is divided into small fragments | CO | 10.52 | 105,200 | 122,495.12 | 153,853,720 |
| CO2 | 6.55 | 65,500 | 119,834.71 | 105,693,588 | |
| CH4 | 3.67 | 36,700 | 24,471.49 | 28,117,179 | |
| H2 | 1.08 | 10,800 | 904.94 | 1,237,576 | |
| H2S | 0.009053 | 90.53 | 128.26 | 172,288 | |
| SO2 | 0.00285 | 28.5 | 75.90 | 30,056 | |
| NO | 0.002863 | 28.63 | 35.72 | 48,936 | |
| Biomass is distributed over a half of the crucible bottom | CO | 15.5 | 155,000 | 180,482.36 | 465,102,114 |
| CO2 | 7.01 | 70,100 | 128,250.58 | 138,382,375 | |
| CH4 | 2.88 | 28,800 | 19,203.78 | 45,319,080 | |
| H2 | 0.88 | 8800 | 737.36 | 22,739,200 | |
| H2S | 0.003759 | 37.59 | 53.26 | 50,104.47 | |
| SO2 | 0.00165 | 16.5 | 43.94 | 18,298.5 | |
| NO | 0.00123 | 12.3 | 15.34 | 31,783.2 |
| Experiment | Gas | Average Concentrations (%) | Average Concentrations (ppm) | Average Concentrations (mg/m3) | Total Amount of Pyrolysis Gas (mg/m3) |
|---|---|---|---|---|---|
| Artificial channels | CO | 14.63 | 146,300 | 170,352 | 168,818,832 |
| CO2 | 7.22 | 72,200 | 132,092 | 117,958,156 | |
| CH4 | 6.02 | 60,200 | 40,141 | 40,462,128 | |
| H2 | 1.33 | 13,300 | 1114 | 1,122,912 | |
| H2S | 0.007092 | 70.92 | 100 | 98,700 | |
| SO2 | 0.00293 | 29.3 | 78 | 34,554 | |
| NO | 0.000012 | 0.12 | 0.15 | 4.8 | |
| Artificial pores | CO | 16.47 | 164,700 | 191,777 | 197,146,756 |
| CO2 | 8.03 | 80,300 | 146,911 | 131,191,523 | |
| CH4 | 6.45 | 64,500 | 430,008 | 144,948 | |
| H2 | 1.21 | 12,100 | 1013 | 1,041,364 | |
| H2S | 0.010178 | 101.78 | 144 | 148,032 | |
| SO2 | 0.003681 | 36.81 | 98.03 | 44,394 | |
| NO | 0.000424 | 4.24 | 5.29 | 2507.46 | |
| Uniform layer | CO | 15.5 | 155,000 | 180,482.36 | 465,102,114 |
| CO2 | 7.01 | 70,100 | 128,250.58 | 138,382,375 | |
| CH4 | 2.88 | 28,800 | 19,203.78 | 45,319,080 | |
| H2 | 0.88 | 8800 | 737.36 | 22,739,200 | |
| H2S | 0.003759 | 37.59 | 53.26 | 50,104.47 | |
| SO2 | 0.00165 | 16.5 | 43.94 | 18,298.5 | |
| NO | 0.00123 | 12.3 | 15.34 | 31,783.2 |
| Experiment | Gas | Average Concentrations (%) | Average Concentrations (ppm) | Average Concentrations (mg/m3) | Total Amount of Pyrolysis Gas (mg/m3) |
|---|---|---|---|---|---|
| 140 µm | CO | 17.38 | 173,800 | 202,373 | 135,792,283 |
| CO2 | 6.91 | 69,100 | 126,421 | 86,851,227 | |
| CH4 | 7.1 | 71,000 | 47,342 | 31,766,482 | |
| H2 | 1.09 | 10,900 | 913 | 1,291,895 | |
| H2S | 0.0106 | 106 | 150 | 106,650 | |
| SO2 | 0.0045049 | 45.05 | 120 | 32,160 | |
| NO | 0.00425 | 42.5 | 53 | 37,365 | |
| 250 µm | CO | 15.5 | 155,000 | 179,800 | 233,740,000 |
| CO2 | 7.01 | 700,100 | 1,281,183 | 1,076,193,720 | |
| CH4 | 5.01 | 50,100 | 33,406 | 47,269,490 | |
| H2 | 0.88 | 8800 | 913 | 1,291,895 | |
| H2S | 0.006342 | 63.4 | 89.85 | 125,935 | |
| SO2 | 0.0018449 | 18.45 | 49.13 | 22,649 | |
| NO | 0.000008 | 0.08 | 0.10 | 0.8 | |
| 2000 µm | CO | 10.2 | 102,000 | 118,319.9 | 165,648,000 |
| CO2 | 8.07 | 807,000 | 1,476,810 | 2,658,258,000 | |
| CH4 | 2.88 | 28,800 | 19,203.78 | 45,319,080 | |
| H2 | 0.62 | 6200 | 523 | 1,113,000 | |
| H2S | 0.003759 | 37.59 | 53.26 | 50,104.47 | |
| SO2 | 0.00165 | 16.5 | 43.94 | 18,298.5 | |
| NO | 0.00123 | 12.3 | 15.34 | 31,783.2 |
| Variable Parameter | Gas | Maximum Value | Minimum Value | Keff. |
|---|---|---|---|---|
| Distribution of biomass in the crucible | CO | 15.5% | 8.6% | 1.8 |
| CO2 | 7.02% | 6.31% | 1.11 | |
| CH4 | 2.88% | 1.8% | 1.6 | |
| H2 | 1.16% | 0.88% | 1.3 | |
| H2S | 67.66 ppm | 37.59 ppm | 1.7 | |
| SO2 | 34.46 ppm | 16.5 ppm | 2.08 | |
| NO | 12.31 ppm | 2.77 ppm | 4.44 | |
| Fragmented distribution of biomass | CO | 15.5% | 8.72% | 1.7 |
| CO2 | 7.01% | 5.27% | 1.3 | |
| CH4 | 3.67% | 2.88% | 1.2 | |
| H2 | 1.47% | 0.88% | 1.6 | |
| H2S | 90.53 ppm | 37.59 ppm | 2.4 | |
| SO2 | 28.5 ppm | 16.5 ppm | 1.7 | |
| NO | 28.63 ppm | 12.31 ppm | 2.32 | |
| Surface structure | CO | 16.47% | 14.63% | 1.12 |
| CO2 | 8.03% | 7.01% | 1.14 | |
| CH4 | 6.45% | 2.88% | 2.2 | |
| H2 | 1.33% | 0.88% | 1.5 | |
| H2S | 101.78 ppm | 37.59 ppm | 2.7 | |
| SO2 | 36.81 ppm | 16.5 ppm | 2.34 | |
| NO | 12.31 ppm | 3.55 ppm | 3.46 | |
| Average size of biomass particles | CO | 17.38% | 10.2% | 1.7 |
| CO2 | 8.07% | 6.91% | 1.18 | |
| CH4 | 7.1% | 2.88% | 2.4 | |
| H2 | 1.09% | 0.62% | 1.75 | |
| H2S | 106 ppm | 37.59 ppm | 2.81 | |
| SO2 | 45.05 ppm | 16.5 ppm | 2.73 | |
| NO | 42.57 ppm | 12.31 ppm | 3.4 |
Publisher’s Note: MDPI stays neutral with regard to jurisdictional claims in published maps and institutional affiliations. |
© 2022 by the authors. Licensee MDPI, Basel, Switzerland. This article is an open access article distributed under the terms and conditions of the Creative Commons Attribution (CC BY) license (https://creativecommons.org/licenses/by/4.0/).
Share and Cite
Kurgankina, M.; Nyashina, G.; Shvets, A.; Vershinina, K.; Pereira Junior, A.O. Microwave Pyrolysis of Biomass: The Influence of Surface Area and Structure of a Layer. Appl. Sci. 2022, 12, 12442. https://doi.org/10.3390/app122312442
Kurgankina M, Nyashina G, Shvets A, Vershinina K, Pereira Junior AO. Microwave Pyrolysis of Biomass: The Influence of Surface Area and Structure of a Layer. Applied Sciences. 2022; 12(23):12442. https://doi.org/10.3390/app122312442
Chicago/Turabian StyleKurgankina, Margarita, Galina Nyashina, Anatolii Shvets, Ksenia Vershinina, and Amaro O. Pereira Junior. 2022. "Microwave Pyrolysis of Biomass: The Influence of Surface Area and Structure of a Layer" Applied Sciences 12, no. 23: 12442. https://doi.org/10.3390/app122312442
APA StyleKurgankina, M., Nyashina, G., Shvets, A., Vershinina, K., & Pereira Junior, A. O. (2022). Microwave Pyrolysis of Biomass: The Influence of Surface Area and Structure of a Layer. Applied Sciences, 12(23), 12442. https://doi.org/10.3390/app122312442

