Abstract
Studies on contrast sensitivity (CS) testing using optokinetic nystagmus (OKN) proposed adjusting the stimulus presentation duration based on its contrast, to increase the time efficiency of such measurement. Furthermore, stimulus-specific limits of the least OKN gain might reduce false negatives in OKN detection procedures. Therefore, we aimed to test the effects of various stimulus characteristics on OKN and to propose the stimulus-specific limits for the OKN gain and stimulus presentation duration. We tested the effect of contrast (C), spatial frequency (), and color on selected parameters of robust OKN response, namely its onset and offset time, amplitude, and gain. The right eyes of fifteen emmetropes were tracked with an infrared eye tracker during monocular observations of sinusoidal gratings moving over the horizontal plane with a velocity of (). The available contrast levels were C: 0.5%, 2.0%, 8.2%, 16.5%, 33.0%, and 55.5% presented in a random order for ten times in all measurements of : 0.12, 0.25, 0.5, and 1.00 cycles per degree and grating type: luminance, red-green, and blue-yellow. This study showed a significant effect of the stimulus characteristics on the OKN onset, offset and gain. The effect of was insignificant in OKN amplitude; however, it indicated significance for the C and grating type. Furthermore, the OKN gain and offset limits were proposed as functions of contrast for the luminance and chromatic gratings. This study concludes the characteristics of a visual stimulus have an effect on the OKN gain and onset and offset time, yet do not affect the eye-movement amplitude considerably. Moreover, the proposed limits are expected to improve the time efficiency and eye-movement detection in OKN-based contrast sensitivity measurements.
1. Introduction
Measurements of contrast sensitivity (CS) provide an insight into the patient’s visual performance and its examination is necessary in the detection of various eye diseases, for example glaucoma [1], cataracts [2], retinal diseases [3], or in measurements of the performance of amblyopia treatment [4]. Furthermore, the color (or chromatic) contrast sensitivity (CCS) was proposed as an extension of a classical CS to color vision [5], which has been assessed using eye movements recently as well [6]. Because the measurements of CS are performed in the clinical practice in a subjective way, the already commenced research searches for possible objective measurements. In order to gain objective information about the patient’s visual performance, various types of eye movements such as microsaccades [7,8,9,10], smooth pursuit eye movements [11], optokinetic nystagmus (OKN) [6,12,13,14], or reflexive (reactive) saccades [15] have been used in the past. Moreover, it has been stated that performing eye movement-based tests for appraisal of visual performance may help examine non-communicative participants [11]. Here, the current study was focused on the OKN—a reflexive eye movement occurring in instances of a moving scenario observation.
This eye movement consists of two phases, first a slow phase (OKN-SP) respecting the direction of a moving scenario, followed by a quick phase (OKN-QP), occurring in a saccade-like fashion in the direction against the stimulus. Although the previous research showed the OKN-QP to be in a similar velocity range compared to normal saccades [16], no attentional input was found to be a trigger of the OKN-QP and therefore the statement of OKN-QP to be same as normal saccades was not supported [17]. Nonetheless, the velocity-based algorithms for saccade detection [18] were successfully implemented [14,19].
Since the OKN occurrence is dependent on contrast and spatial frequency of a target, previous studies proposed this type of eye movement as a reliable tool for CS appraisal [13,14,19], although the contrast sensitivity functions (CSFs) were shown to be shifted over the x-axis to the left due to the velocity of a moving target [20]. In OKN-based CS measurements, the CSFs were shown to correlate with a subjective judgment of the direction the visual stimulus moved in [13] or were shown to be tending toward lower values in conditions of defocused vision, especially in measurements of higher spatial frequencies [14]. This effect was considered a successful replication of the clinical measurements of CS under defocus, as shown in some previous works [21,22,23]. Moreover, Tatiyosyan et al. performed a CS appraisal using a VR headset and simulated low-vision conditions [19]. On top of that, the previous research showed a possible implementation of adaptive psychometric procedures in methods of searching for the contrast thresholds for future creation of OKN-based CSFs, making the testing adaptive and time-efficient, but requiring advanced skills in programming [14].
In this context, another way to possibly increase the time efficiency of the OKN-based CS testing might be useful, while avoiding the already established live-detection method. To reach this aim, we targeted the optimization of the stimulus presentation duration based on its parameters: , C, and type (luminance/chromatic). The rationale of this idea is an early finding of OKN onset time (starting time of the 1st OKN-QP) to be dependent on the contrast level in a low-speed drifting grating, showing a faster onset (shorter latency) with increasing contrast [24]. In the current study, we re-tested this effect and as the stimulus duration limit based on its parameters was sought, we also examined the offset time of the robust OKN response (two OKN movements occurring in the respective direction to the direction of the moving stimulus [14,25]) for visual stimuli of various spatial frequencies, contrast levels, and types. Here the OKN offset time was defined as the ending time of the third OKN-QP.
Moreover, some of the already established procedures for OKN detection use the least OKN gain to successfully detect the eye movement event [13,14]. This approach might, however, lead to events of false-negative detection (no OKN detected, although there was a visible OKN pattern) when using just one fixed parameter. As suggested in the previous work [14], using detection limits for the OKN gain based on the stimulus parameters might be a possible solution. The motivation behind this idea is the finding of Rinner et al., who found a linear correlation between the OKN gain and the contrast on a scale [26] in a zebrafish model. In the current study, we aimed to replicate this effect in emmetropic participants tested with visual stimuli of various C, , and types.
The last parameter of the robust OKN eye movement we evaluated with respect to the visual stimulus parameters was the OKN-SP amplitude. Here the analysis of the OKN amplitude was performed for all parameters of the visual stimulus used in the current study, first for its potential influence on the robust OKN offset time and second to complete the range of the eye movement parameters presented in the current study. As the study aimed to test the effects of chromatic gratings and also to propose the limits for the OKN gain and the presentation duration for such kinds of visual stimuli, two chromatic gratings were used in addition to the luminance grating. The two chromatic gratings were red-green (R-G) and blue-yellow (B-Y) presented in the same range of spatial frequencies and contrast levels as the luminance stimulus. These color combinations were used first because they have been already used in several works in the past [5,27,28,29] and to accommodate clinical measurements. Moreover, as it was already performed in previous works, the data were collected under monocular stimulation conditions [10,14], performing by patching one eye with an infra-red filter. This approach was used to follow clinical conditions for contrast sensitivity testing, without having a significant impact on the eye-tracking quality, while gaining the information from both eyes [10].
2. Materials and Methods
2.1. Participants
Fifteen emmetropic participants with a mean age of (4 male and 11 female), participated in the current study. We considered emmetropia as a refractive error smaller than D in spherical equivalent of their tested (right) eye, measured by the wavefront-based autorefraction (ZEISS i.Profiler plus, Carl Zeiss Vision, Aalen, Germany). All participants had a negative history of ocular, systemic, or neurological disease, amblyopia, or trauma. Prior to the testing, all participants underwent a standard color testing using the 24-plate Ishihara test (Kanehara Trading Inc., Tokyo, Japan) in order to guarantee no abnormalities in the tested group. Furthermore, to consider a comparable level of tiredness in every subject in the two measurement sessions we conducted, the pause between measurements was exactly one week in all subjects, with the same starting time of the two experimental parts. The study protocol followed the Declaration of Helsinki. In addition, the study was approved by the ethics committee of the Faculty of Medicine of the University Tuebingen (Institutional Review Board number: 881/2017B02), and signed informed consent was obtained from all participants prior to the experiment. All recruited participants were students of the University of Tuebingen and were financially reimbursed for taking part in the experiment.
2.2. Visual Stimulus and Eye Tracking
For the OKN stimulation, we used a vertically oriented sinusoidal grating drifting over the horizontal plane with a constant velocity of , which was comparable to a previous work focused on contrast sensitivity using OKN [30]. Because no clear effect of the gain of OKN has been found between the two horizontal directions [31], the grating drifted either nasally or temporally in a random order, in an equal number of trials. The stimuli were created in MATLAB (MATLAB2018b; MathWorks, Natick, MA, USA) using the Psychtoolbox-3 extension [32,33] and covered the entire Viewpixx screen (VIEWPixx; VPixx Technologies Inc., Saint Bruno, Quebec, Canada), refreshing at a rate of . Because the screen provided a resolution of 1920 × 1200 pixels with a pixel pitch of 0.252 mm, the covered visual field from the viewing distance of 75 cm was and in the horizontal and vertical planes, respectively. Furthermore, the screen provided a bit depth of 12 bits, and the luminance nonlinearity was corrected via gamma correction. The spatial frequencies (SFs) calculated for the observing distance were cycles per degree (cpd). These were selected for their relevance, considering the velocity of the stimulus [20]. The contrast of the stimulus for each trial was randomly selected from the 6 available levels (), while every contrast level was always presented ten times in every measurement defined by the and the grating type (luminance, R-G, B-Y). These contrast levels were selected upon consideration that this range was relevant in contrast sensitivity testing. The motion of the contrast stimulus was aborted at time t = 2 s after stimulus onset. After every presentation of the stimulus, a gray cross of in size appeared in the center of the screen for t = 4 s, while during its presentation the participants were asked to blink and rest their vision. During the presentation of the stimulus, the participants were instructed to fixate on the center of the stimulus to stimulate the stare OKN, as performed in previous studies examining CS with OKN [13,14]. The workflow of the stimulus with all its phases is shown in the Figure 1.
Figure 1.
The workflow of the stimulus presentation consisted of the following phases.
Because the current study targeted testing of the effects in normal and chromatic visual stimuli, three types of sinusoidal gratings were used. The first grating was a commonly used sinusoidal luminance grating for standard contrast sensitivity measurements. Secondly, we used two chromatic gratings (R-G and B-Y), following previous studies [5,27,28,30,34], as shown on the Figure 2. Here, the chromatic gratings of the R-G or B-Y modulation were created as the sum of red and green or blue and yellow luminance-modulated monochromatic gratings with a phase difference of 180° between them. The nature of the three gratings was such that the luminance grating converged towards a gray value of the background (middle gray value), whereas the chromatic gratings converged towards black, with decreasing contrast as depicted in the Figure 2. We used the convergence to the middle grey value in the luminance target as we aimed to use an iso-luminant stimulus. In the chromatic stimuli, this approach was not applicable, as even the low-contrast stimuli would have elicited the eye movement by the respective color difference. For this reason, we let the gratings converge towards black. The color gratings were created with the use of a predefined color lookup table computed for the gamma correction, similarly as done by Neumann et al. [35] for cone-specific stimuli. Furthermore, the standard luminosity function functioned as the baseline for the monitor calibration.
Figure 2.
The visual stimuli shown in the contrast levels used in the current study (0.5%, 2.0%, 8.2%, 16.5%, 33.0%, 55.5%) for the luminance as well as for the two chromatic gratings.
The eye-tracking was performed in a head-fixed condition, using the EyeLink 1000 Plus eye tracker (SR Research, Kanata, ON, Canada) with a fixed sampling rate of 1000 Hz. All data have been captured under monocular stimulation conditions to follow clinical measurements of CS. Here the left eye was covered by an IR filter (ePlastics, San Diego, CA, USA) with a transmission of for λ > 800 ms, allowing tracking of both eyes while presenting the stimulus only to the right eye. Furthermore, this filter was shown not to significantly affect the eye-tracking quality [10] and was used in OKN-based CS measurements before [14]. Prior to every measurement, a nine-point calibration procedure of the eye tracker was performed. All data collection has been performed in a testing laboratory while the lights were switched off.
2.3. Data Analysis
The data of the tested (right) eye of all participants were treated manually in an offline way with the following steps. First, we sought the trials in which a robust OKN response was visible (at least two OKN patterns) [14,25] that occurred in the correct direction, respectively to the direction of the stimulus drift. An example of such a sequence containing a robust OKN response is depicted in Figure 3. These filtered sequences of gaze data were labeled by a combination of a subject, spatial frequency, grating type, and the contrast level, separately for the ten repetitions of every contrast level. Prior to the gaze data analysis, blinks (epochs of the missing pupil) were discarded with a buffer of 50 ms to protect our analysis from potential blink-related artifacts. From every data sequence we derived the onset and offset time of the OKN, the gain, and amplitude as follows. The starting time of the first OKN-QP was considered as the OKN onset time, as done in a previous study [24]. Here the OKN gain was calculated as the average ratio of the OKN-SP and the velocity of the stimulus of the two consequent OKN patterns. Next, the amplitude of the OKN was calculated as the average distance the eye had traveled in the two OKN-SPs of the two consequent OKN patterns. Next, the OKN offset time was determined as the ending time point of the third OKN-QP. Finally, we calculated the average value of the respective parameter for every combination of a participant, spatial frequency, grating type, and contrast level across the ten repetitions of the contrast-specific stimulus. For the analysis of the OKN parameters, we used the first two OKN events as depicted in Figure 3, first in order to have a comparable amount of data across conditions and second to provide the two limits for the robust OKN response, since this has been considered in the past [14,25].
Figure 3.
(A) OKN pattern for one typical subject for the 2 s grating presentation. Please note that we analyzed the data of the first two OKN patterns (up to the 3rd OKN-QP). Here the numbers 1 to 6 represent the following time points. (1) onset time of the OKN, (2) start time of the 1st OKN-SP (end time of the 1st OKN-QP), (3) start time of the 2nd OKN-QP (end time of the 1st OKN-SP), (4) start time of the 2nd OKN-SP (end time of the 2nd OKN-QP), (5) start time of the 3rd OKN-QP (end time of the 2nd OKN-SP), and (6) end time of the 3rd OKN-QP. The green area represents the gaze data used for the analysis (first two OKN events). (B) The derived horizontal eye velocity.
The statistical analysis was conducted using linear mixed-effects models with the statistics software JMP (JMP®, Version 16. SAS Institute Inc., Cary, NC, USA, 1989–2022) in order to analyze the significance of the effects of the visual stimulus parameters on the OKN onset, offset, amplitude, and gain. We run a single model for every of the tested OKN parameter, where the corresponding parameter acted as a dependent variable, with the participant as a random effect and three fixed effects: spatial frequency, grating type, and the contrast level. The selected method of all these models was the standard least squares. The variables of subject number, spatial frequency, grating type, and the contrast level were set as nominal with the respective OKN parameter (onset, offset, gain, amplitude) as a continuous variable. Prior to utilizing the results of the models, we verified the model by visual inspection of the normality of the distribution of the residuals, as well as by statistical testing the homoscedasticity of the variances of residuals using the Brown–Forsythe test and reported in cases of violation. The significance level was set to .
Furthermore, because the aim of the current study was to propose the visual stimulus-specific limits for the OKN gain (threshold of the least gain of an OKN-SP considered in eye movement detection procedures) and the OKN offset time (the limit for the visual stimulus presentation duration), we first calculated the respective percentiles from the respective data sets. Because the limit for the OKN gain is considered as the least relative OKN-SP velocity to the stimulus velocity, the eye movement has to yield to be detected, we sought the 5th percentile values. In contrast to that, because we considered the OKN offset time as the maximum duration of the visual stimulus presentation, the 95th percentile was sought.
On top of that, for possible application of these limits to a larger population, we applied the respective percentile levels on the inverse cumulative distribution function () given for our data. This approach consisted first of searching for the appropriate distribution model of the offset and gain values for the corresponding parameters of visual stimuli using the function. in the MATLAB environment. Here the distribution model with the lowest AIC coefficient was applied. Moreover, we created arrays of rational numbers (for the OKN gain we set bounds to 0 and 1, and for OKN offset 200 ms and 2000 ms). Last, we applied the derived from our original data on the array values and sought the respective percentile levels applied in testing the OKN gain and offset once again in order to get the distribution-based limit values.
3. Results
3.1. Onset and Offset Time of the OKN
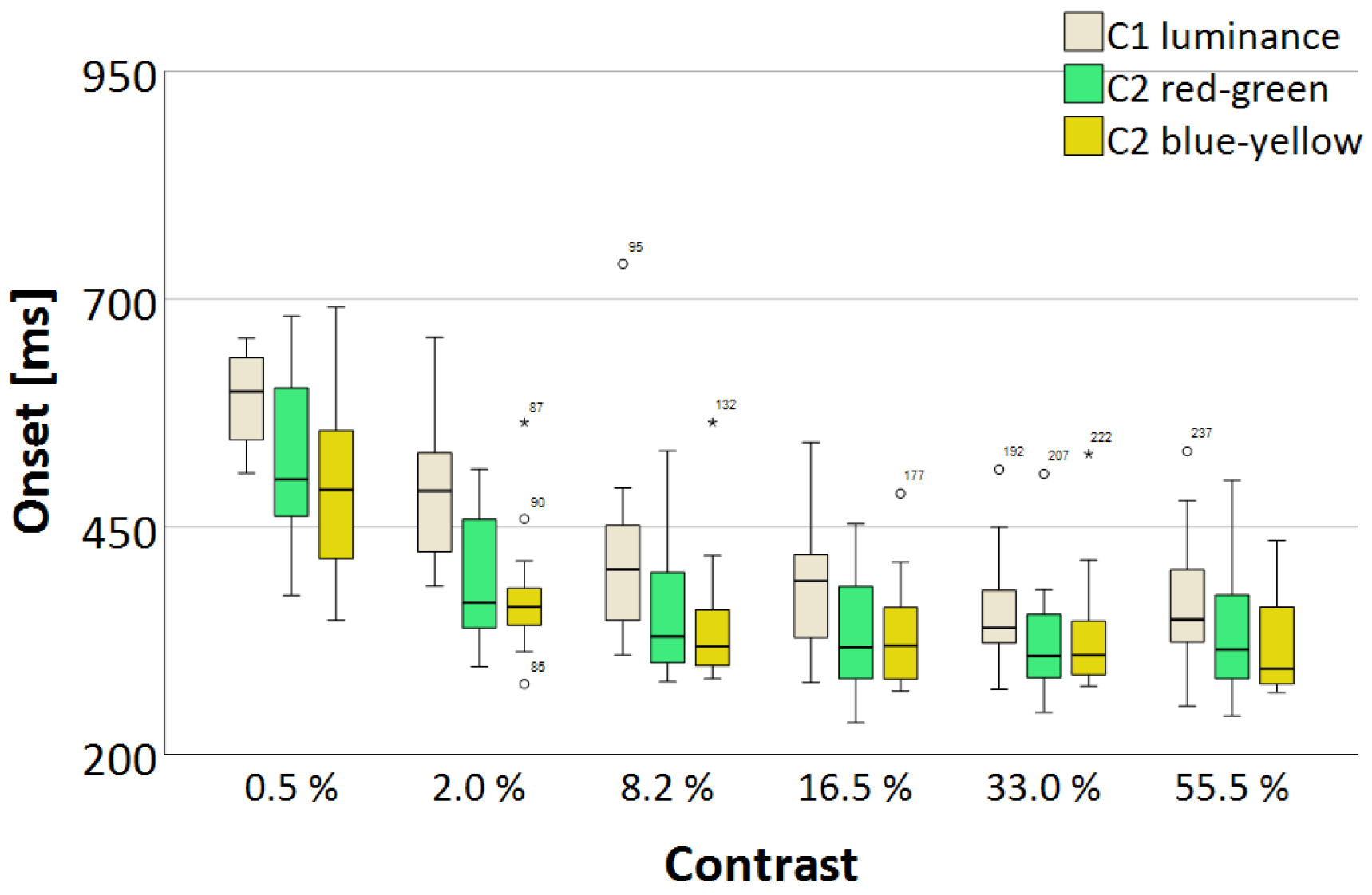
In a previous study the influence of contrast and spatial frequency of the OKN onset time was already tested, showing a shorter latency with increasing contrast level and suggesting adjusting the stimulus presentation time upon the parameters of the stimulus [24]. Here in the current study, we aimed to replicate this effect for a grating of a higher velocity as well as for other grating types. To get the first insight we show a box plot (Figure 4), containing combined data of all subjects for the three gratings as an example of one spatial frequency. Here the expected trend was confirmed and thus replicated the effect of the contrast–onset relationship for a higher visual stimulus velocity.
Figure 4.
Box plots of the OKN onset time are shown as a function of contrast for the three gratings (luminance, R-G, B-Y) as an example of one spatial frequency (SF = 0.12 cpd). The circle and the asterisk indentify outliers, while the circle denotes a “standard out”, considered a value laying outside the 3rd quartile + 1.5*interquartile range or 1st quartile – 1.5*interquartile range; and asterisk denotes a “far out” value, considered a value laying outside the 3rd quartile + 3*interquartile range or 1st quartile - 3*interquartile range; The respective number is the indentifier (observation in the data set).
In testing the OKN onset time, the linear mixed-effects model () revealed significant effects of (F(3,1012) = 35.32; 0.0001), color (F(2,1012) = 31.84; 0.0001) and contrast (F(5,1012) = 192.97; 0.0001) on the the onset time.
In testing the OKN offset time (box plot shown in Figure 5), the linear mixed-effects model () revealed significant effects of (F(3,1012) = 48.10; 0.0001), color (F(2,1012) = 74.89; 0.0001), and contrast (F(5,1012) = 152.48; 0.0001) on the offset time.
Figure 5.
Box plots of the OKN offset time are shown as a function of contrast for the three gratings (luminance, R-G, B-Y) as an example of one spatial frequency (SF = 0.12 cpd). The circle and the asterisk indentify outliers, while the circle denotes a “standard out”, considered a value laying outside the 3rd quartile + 1.5*interquartile range or 1st quartile – 1.5*interquartile range; and asterisk denotes a “far out” value, considered a value laying outside the 3rd quartile + 3*interquartile range or 1st quartile - 3*interquartile range; The respective number is the indentifier (observation in the data set).
At the last point, we report the violation of homoscedasticity of the residuals in cases of testing both, the OKN onset and offset time, as the Brown–Forsythe test revealed statistical significance. Please note that the problem of heteroscedasticity of the residuals is discussed below in the respective section.
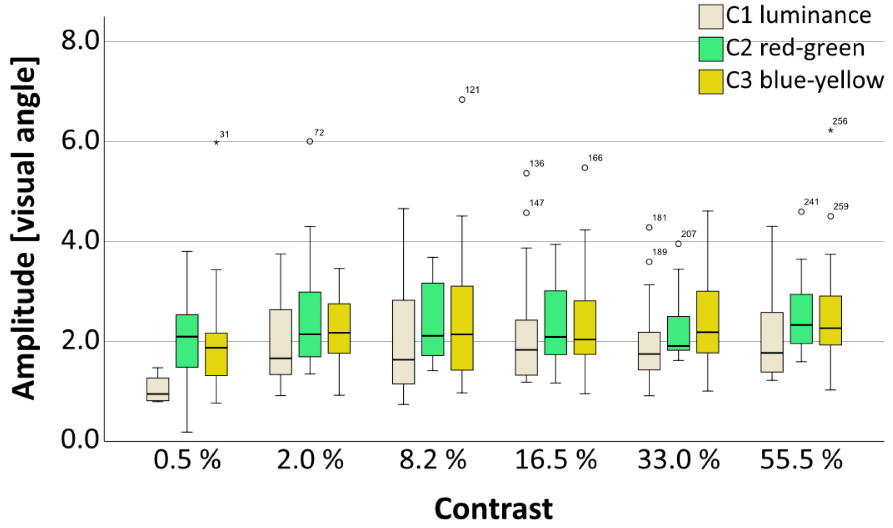
3.2. Amplitude of OKN
The linear mixed-effects model () revealed an insignificant effect of (F(3,1012) = 2.08; p = 0.1). Grating type and contrast showed significant effects as (F(2,1012) = 10.50; 0.0001) and (F(5,1012) = 4.09; p = 0.0011), respectively. The box plot showing the change in OKN-SP amplitude over the used contrast levels is shown in Figure 6.
Figure 6.
Box plots of the OKN-SP amplitude are shown as a function of contrast for the three gratings (luminance, R-G, B-Y) as an example of one spatial frequency (SF = 0.12 cpd). The circle and the asterisk indentify outliers, while the circle denotes a “standard out”, considered a value laying outside the 3rd quartile + 1.5*interquartile range or 1st quartile – 1.5*interquartile range; and asterisk denotes a “far out” value, considered a value laying outside the 3rd quartile + 3*interquartile range or 1st quartile - 3*interquartile range; The respective number is the indentifier (observation in the data set).
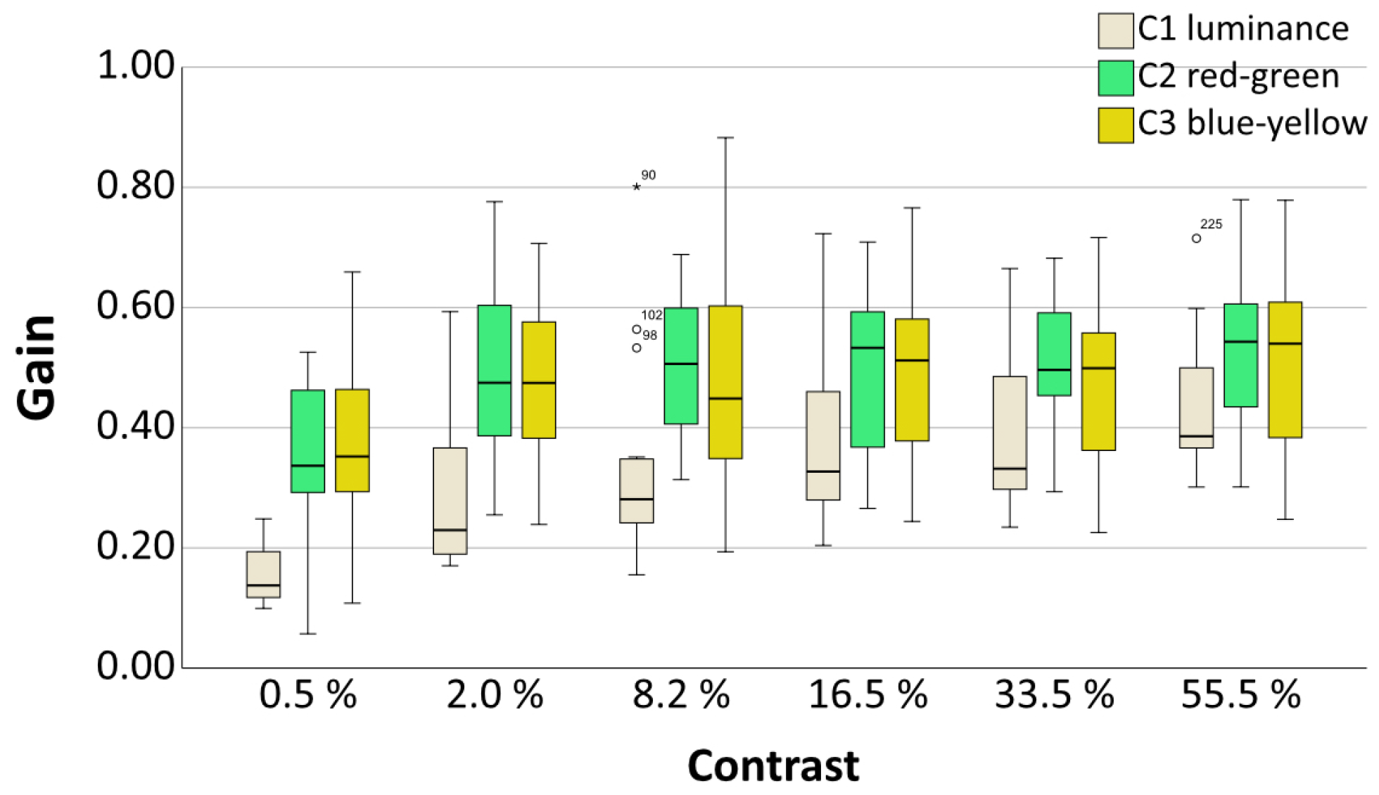
3.3. Gain of the OKN-SP
On the one hand, the OKN gain obtained for the luminance stimulus showed a continuous increase with increasing contrast levels. On the other hand, the OKN gain showed saturation for the chromatic stimuli for contrast levels higher than 2%, while generally the gain was found to be higher for the two chromatic stimuli, compared to the luminance grating. Here the linear mixed-effects model () revealed significant effects of (F(3,1012) = 16.15; 0.0001), color (F(2,1012) = 81.85; 0.0001), and contrast (F(5,1012) = 50.70; 0.0001) on the OKN-SP gain. The box plot (Figure 7) shows the OKN-SP gain over the range of contrast levels.
Figure 7.
Box plots of the OKN gain are shown as a function of contrast for the three gratings (luminance, R-G, B-Y) as an example of one spatial frequency (SF = 0.12 cpd). The circle and the asterisk indentify outliers, while the circle denotes a “standard out”, considered a value laying outside the 3rd quartile + 1.5*interquartile range or 1st quartile – 1.5*interquartile range; and asterisk denotes a “far out” value, considered a value laying outside the 3rd quartile + 3*interquartile range or 1st quartile - 3*interquartile range; The respective number is the indentifier (observation in the data set).
3.4. Visual Stimulus-Related Limits of the OKN Gain and Offset Time
Besides providing the statistical testing for the potential influence of various parameters of the visual stimulus on the selected OKN parameters, the target of the current study was to suggest adjusted limit values for the grating presentation time (offset of the robust OKN response) and for the OKN detection procedure (gain of the OKN-SP).
First, although the spatial frequency revealed a statistically significant effect on both the offset and gain, the clinical relevance was due to its low difference being considered to be negligible, as shown in the tables below (Table 1 and Table 2) for the three gratings. Second, following an earlier suggestion [14], we propose the limits for every individual contrast level and grating type, combining all spatial frequencies for each of them. Furthermore, the proposed limits for the two chromatic gratings (R-G and B-Y) are shown in a combined way as well as the post hoc Tukey’s test revealed an insignificant effect of the two different chromatic gratings on the significance level of . Finally, the proposed limits for the OKN offset and gain, derived in two described ways (percentile levels applied once directly to the data and once to the ), are depicted in Figure 8.
Table 1.
Median (mean ± SD) of the OKN gain values were calculated over all subjects and contrast levels, individually for the three gratings and the four spatial frequencies.
Table 2.
Median (mean ± SD) of the OKN offset time values were calculated over all subjects and contrast levels, individually for the three gratings and the four spatial frequencies. All values in the table are provided in ms.
Figure 8.
Proposed limits as a function of contrast for the luminance and chromatic gratings.
4. Discussion
The current study aimed to test the effects of contrast, spatial frequency, and grating type on four selected OKN parameters, namely the onset and offset time, amplitude, and gain. Furthermore, the current study aimed to propose limits for optimized contrast sensitivity testing using the OKN responses. In this context, the OKN offset time limit was ratiocinated to be used as a maximum grating presentation time in OKN-based contrast sensitivity testing to increase the time efficiency of such measurement [24], while avoiding any live-detection procedure [14]. Second, we aimed to propose limits of the OKN gain based on parameters of the visual stimulus targeting prevention from false negative eye movement detection [14].
In a previous work investigating the relationship of the OKN onset time and contrast [24], the resulting function showed shorter latency with increasing contrast level as well. Here a latency range from approximately 361 to 525 ms for contrast levels ranging from 58% to 0.1% in low-speed stimuli (2.5 deg/s) was found. In the current study, we confirmed this trend for luminance as well as the R-G and B-Y gratings drifting with a higher velocity. In contrast to a previous study [24], we found a statistically significant effect of the spatial frequency. This could be first due to a different velocity and range of spatial frequencies of the grating used in the current study. More importantly, however, we used linear mixed-effects models for the statistical evaluation considering the nature of our data. As the models have been violated by the heteroscedasticity of the variance of residuals, we consider a potential effect on the statistical results, although a previous study allows such statistical testing even with the residuals being heteroscedastic [36]. Similarly to the dependence of the OKN onset time on contrast, this effect can also be observed for the onset (latency) of other types of eye movements as microsaccades [7] or reflexive (reactive) saccades [37,38]. Furthermore, the relative eye velocity to the target velocity in smooth pursuit eye movements was found to be higher in contrast-rich stimuli [39]. The described contrast dependence can be attributed to the higher recognizability of the stimulus due to the increase in contrast [38]. Moreover, comparing the onset time of OKN stimulated by the two types of our grating, the two chromatic gratings yield a faster OKN response faster compared to the luminance visual stimulus. As the relative-to-fixation sensitivity for chromatic gratings in smooth-pursuit eye movements was previously shown to be increased compared to a luminance grating, ref. [30], the authors assume faster OKN onset due to the enhanced sensitivity in the initial tracking phase (before the first OKN-QP).
Similarly, the offset time of OKN, defined as the end time of the third OKN-QP (end of the robust OKN response [14,25]) was found to be influenced by the contrast of our visual stimuli as well, following a comparable trend function to the OKN onset time. Here the spatial frequency and color showed a statistical significance and, as with the OKN onset time, the linear model for statistical analysis contained heteroscedasticity of variance of the residuals. Interestingly, although the trend of the offset time over the tested contrast levels has been found to be similar to the onset time, the visually inspected standard deviation was found to be bigger in the offset time. This effect could be due to the unequal amplitude in every OKN pattern. Furthermore, similarly to the onset time, the offset time of the OKN stimulated by the two chromatic gratings was found to be shorter compared to the luminance visual stimulus. We consider the reason for this effect to be enhanced sensitivity during the tracking phases in stimulation with chromatic stimuli, resulting in higher gain [30]. Furthermore, we found the amplitude of the OKN-SPs and the OKN gain to be influenced by the grating type (chromatic or luminance), both having generally higher values in simulations with the chromatic visual stimuli.
In terms of the OKN amplitude, Wang et al. found a trend of saturation in the OKN amplitude for grating beyond a luminance of 2 × in one defined spatial frequency (0.1 cpd) [40] in scotopically simulated OKN. In comparison to this study, we found a similar trend in stimulation with the luminance as well as with the two chromatic gratings, giving the first evidence the eye movement amplitude is influenced by contrast only in the low-contrast range.
The gain of the OKN showed an expected trend of increasing its value with increasing contrast of a visual stimulus. However, this effect was already shown in the past, for an animal (zebra-fish) model [26]. In addition, the current study supports the result of Rinner et al. [26] of spatial frequency having an impact on the OKN gain, although both studies provide only an initial evidence. In this context, the authors suggest further investigations, as all the selected spatial frequencies in the current study were around the peak of the expected CS function for the selected stimulus velocity [20]. Furthermore, the OKN gain obtained for the stimulation with chromatic gratings showed saturation for contrast levels higher than 2%, while generally in visual inspection the gain was found to be higher for the two chromatic stimuli compared to the luminance grating. We expect this effect to originate in the enhanced sensitivity for chromatic targets, as already addressed [30].
In further connection to the previous research, the OKN gain has not only been found to be a function of contrast or spatial frequency but was also found to be dependent on the size of the simulating area on the retina, indicating a possibility to use the OKN gain in investigations of visual field loss [41].
Equally important to the statistical testing of the effect of various stimulus parameters on selected parameters of the OKN eye movement, this study proposes limits, allowing optimized OKN-based contrast sensitivity testing. As an example of the potential effect of the stimulus duration limitation, one measurement of one consisting of ten presentations of the six contrast levels from this study, each lasting for 2 s, would result in a 120 s long measurement, whereas in utilization of the proposed limits the duration of the test will be reduced by approximately 33%, considering equal testing of high and low contrast levels. However, since the equal amount of presentations of low and high contrast levels is not expected in a clinical testing of a healthy patient, conducting the test rather in a low-contrast range, the method of the adjusted presentation duration upon the stimulus contrast might be even more relevant. The respective limits for the OKN offset time and gain have been derived as percentiles (95th and 5th, respectively), as the data did not follow a normal distribution. In the OKN offset time limit proposal (Figure 8) an unexpected trend occurred in the stimulation of luminance grating (offset in the C = 55% is delayed compared to the C = 33%). We assume that this effect might come from the selected percentile levels we used for the analysis, as the related box plots (Figure 5) show a continuous trend. Furthermore, this unexpected tail in the contrast–offset function was reduced when using the data distribution approach, making this effect negligible for clinical implementation. Nonetheless, we assume that utilization of such a limit approach could be helpful also in the future examinations of CS using OKN responses in VR environment [19] or other mobile devices with sufficient eye-tracking quality [42].
As the last point, the authors aim to report the limitations of the current study. First, since a wide range of velocities for the stimulus movement has been used in the past [6,13,14,30,43], a future study may also take the varying velocity as a parameter to extend the usability of the limits also for other paces of a stimulus. Second, the standard luminosity function was not obtained individually for each study participant, which may consequently lead to a slight imbalance among subjects in the brightness perception of the different test stimuli. Third, as reported above, the statistical testing of OKN onset and offset time using the linear mixed-effects models were not supporting the homoscedasticity of the variance of the residuals, which might have an influence on the reported significance of the tested effects. Lastly, the current work did not consider the possible effect of melanopsin, stimulated partially by the B-Y stimulus and the change in the pupil sizes resulting from various luminance levels across the six contrasts of the two chromatic gratings. This approach was selected as the authors aimed to provide a clinically applicable approach to optimize optokinetic nystagmus-based contrast sensitivity testing. However, to maintain a comparable level of tiredness in the two measurement events of each participant, each participant underwent the respective measurement on the same weekday at the same time. As shown previously in [44], the effect of pupil size on contrast sensitivity has been found to be significant; however, it is clinically irrelevant for its small difference and lack of a tendency in emmetropic conditions, as well in conditions of defocus. Furthermore, since the two of the chromatic gratings converged towards black with decreasing contrast resulting in a decreasing retinal luminance, the authors state a potential effect on contrast sensitivity [45]. However, this method was selected on purpose to cancel the OKN response in the low-contrast stimuli. Moreover, the clinical relevance of the difference in contrast sensitivity under the two extreme mean retinal luminances, given by the maximum and minimum contrast level for the respective chromatic grating, is questionable.
5. Conclusions
The current study showed the effects of stimulus spatial frequency, contrast, and type on selected parameters of optokinetic nystagmus (OKN). These eye movement parameters were namely the onset, offset, amplitude, and gain, giving a systematic overview of how OKN changes with various parameters of a visual stimulus. Furthermore, in the current study we propose limits for the OKN gain with respect to the visual stimulus contrast, which could be potentially used to reduce false negatives in OKN detection (OKN-SP assessment). Additionally, we propose the maximum stimulus presentation duration, based on the offset time of the robust OKN response. Here the aim was to enhance the time efficiency, while avoiding the live OKN detection method, requiring advanced skills in programming. All these limits have been proposed for a wide range of contrast levels and for luminance as well as chromatic gratings.
Author Contributions
Conceptualization, P.E., J.M. and S.W.; methodology, P.E., J.M. and S.W.; formal analysis, P.E. and J.M.; investigation, P.E. and J.M.; data curation, J.M.; writing—original draft preparation, P.E., J.M. and S.W.; writing—review and editing, P.E., J.M. and S.W.; visualization, P.E. and J.M.; supervision, S.W.; project administration, S.W. All authors have read and agreed to the published version of the manuscript.
Funding
Funding was received from Eberhard-Karls-University Tuebingen (ZUK 63) as part of the German Excellence initiative from the Federal Ministry of Education and Research (BMBF). Further funding was received from Deutsche Forschungsgemeinschaft and the Open Access Publishing Fund of the University of Tuebingen. S.W. is a scientist at the University of Tuebingen and is employed by Carl Zeiss Vision International GmbH. The funders did not have any additional role in the study design, data collection and analysis, decision to publish, or manuscript preparation. P.E.: none; J.M.: none; S.W. Carl Zeiss: Vision International GmbH (E,F).
Institutional Review Board Statement
The Ethics Committee at the Medical Faculty of the Eberhard Karls University and the University Hospital Tübingen approved to carry out the study within its facilities (Institutional Review Board number: 881/2017B02). The study followed the tenets of the Declaration of Helsinki.
Informed Consent Statement
Written informed consent was obtained from all participants after the content and possible consequences of the study had been explained.
Acknowledgments
The authors gratefully acknowledge the helpful support of Carl Zeiss Vision International GmbH, Aalen, and the support by the Open Access Publishing Fund of the University of Tübingen.
Conflicts of Interest
The authors P.E. and J.M. declare no potential conflicts of interest regarding this study. S.W. is a scientist at the University of Tübingen and is employed by Carl Zeiss Vision International GmbH. There is no conflict of interest regarding this study.
References
- Atkin, A.; Bodis-Wollner, I.; Wolkstein, M.; Moss, A.; Podos, S.M. Abnormalities of central contrast sensitivity in glaucoma. Am. J. Ophthalmol. 1979, 88, 205–211. [Google Scholar] [CrossRef] [PubMed]
- Hess, R.; Woo, G. Vision through cataracts. Investig. Ophthalmol. Vis. Sci. 1978, 17, 428–435. [Google Scholar]
- Wolkstein, M.; Atkin, A.; Bodis-Wollner, I. Contrast sensitivity in retinal disease. Ophthalmology 1980, 87, 1140–1149. [Google Scholar] [CrossRef] [PubMed]
- Zhou, Y.; Huang, C.; Xu, P.; Tao, L.; Qiu, Z.; Li, X.; Lu, Z.L. Perceptual learning improves contrast sensitivity and visual acuity in adults with anisometropic amblyopia. Vis. Res. 2006, 46, 739–750. [Google Scholar] [CrossRef] [PubMed]
- Mullen, K.T. The contrast sensitivity of human colour vision to red-green and blue-yellow chromatic gratings. J. Physiol. 1985, 359, 381–400. [Google Scholar] [CrossRef]
- Taore, A.; Lobo, G.; Turnbull, P.R.; Dakin, S.C. Diagnosis of colour vision deficits using eye movements. Sci. Rep. 2022, 12, 7734. [Google Scholar] [CrossRef]
- Bonneh, Y.S.; Adini, Y.; Polat, U. Contrast sensitivity revealed by microsaccades. J. Vis. 2015, 15, 11. [Google Scholar] [CrossRef]
- Scholes, C.; McGraw, P.V.; Nyström, M.; Roach, N.W. Fixational eye movements predict visual sensitivity. Proc. R. Soc. B Biol. Sci. 2015, 282, 20151568. [Google Scholar] [CrossRef]
- Denniss, J.; Scholes, C.; McGraw, P.V.; Nam, S.H.; Roach, N.W. Estimation of contrast sensitivity from fixational eye movements. Investig. Ophthalmol. Vis. Sci. 2018, 59, 5408–5416. [Google Scholar] [CrossRef]
- Essig, P.; Leube, A.; Rifai, K.; Wahl, S. Microsaccadic rate signatures correlate under monocular and binocular stimulation conditions. J. Eye Mov. Res. 2020, 11. [Google Scholar] [CrossRef]
- Mooney, S.W.; Hill, N.J.; Tuzun, M.S.; Alam, N.M.; Carmel, J.B.; Prusky, G.T. Curveball: A tool for rapid measurement of contrast sensitivity based on smooth eye movements. J. Vis. 2018, 18, 7. [Google Scholar] [CrossRef] [PubMed]
- Cetinkaya, A.; Oto, S.; Akman, A.; Akova, Y. Relationship between optokinetic nystagmus response and recognition visual acuity. Eye 2008, 22, 77–81. [Google Scholar] [CrossRef] [PubMed]
- Dakin, S.C.; Turnbull, P.R. Similar contrast sensitivity functions measured using psychophysics and optokinetic nystagmus. Sci. Rep. 2016, 6, 34514. [Google Scholar] [CrossRef] [PubMed]
- Essig, P.; Sauer, Y.; Wahl, S. Contrast Sensitivity Testing in Healthy and Blurred Vision Conditions Using a Novel Optokinetic Nystagmus Live-Detection Method. Transl. Vis. Sci. Technol. 2021, 10, 12. [Google Scholar] [CrossRef]
- Essig, P.; Sauer, Y.; Wahl, S. Reflexive Saccades Used for Objective and Automated Measurements of Contrast Sensitivity in Selected Areas of Visual Field. Transl. Vis. Sci. Technol. 2022, 11, 29. [Google Scholar] [CrossRef]
- Garbutt, S.; Harwood, M.R.; Harris, C.M. Comparison of the main sequence of reflexive saccades and the quick phases of optokinetic nystagmus. Br. J. Ophthalmol. 2001, 85, 1477–1483. [Google Scholar] [CrossRef]
- Hanning, N.M.; Deubel, H. Unlike saccades, quick phases of optokinetic nystagmus (okn) are not preceded by shifts of attention. J. Vis. 2019, 19, 53c. [Google Scholar] [CrossRef]
- Engbert, R.; Kliegl, R. Microsaccades uncover the orientation of covert attention. Vis. Res. 2003, 43, 1035–1045. [Google Scholar] [CrossRef]
- Tatiyosyan, S.A.; Rifai, K.; Wahl, S. Standalone cooperation-free OKN-based low vision contrast sensitivity estimation in VR-a pilot study. Restor. Neurol. Neurosci. 2020, 38, 119–129. [Google Scholar] [CrossRef]
- Burr, D.C.; Ross, J. Contrast sensitivity at high velocities. Vis. Res. 1982, 22, 479–484. [Google Scholar] [CrossRef]
- Marmor, M.F.; Gawande, A. Effect of visual blur on contrast sensitivity: Clinical implications. Ophthalmology 1988, 95, 139–143. [Google Scholar] [CrossRef] [PubMed]
- Green, D.; Campbell, F. Effect of focus on the visual response to a sinusoidally modulated spatial stimulus. JOSA 1965, 55, 1154–1157. [Google Scholar] [CrossRef]
- Jansonius, N.; Kooijman, A. The effect of defocus on edge contrast sensitivity. Ophthalmic Physiol. Opt. 1997, 17, 128–132. [Google Scholar] [CrossRef] [PubMed]
- Essig, P.; Sauer, Y.; Wahl, S. OKN-onset is influenced by the contrast level of a visual stimulus. Investig. Ophthalmol. Vis. Sci. 2021, 62, 3330. [Google Scholar]
- Turuwhenua, J.; Yu, T.Y.; Mazharullah, Z.; Thompson, B. A method for detecting optokinetic nystagmus based on the optic flow of the limbus. Vis. Res. 2014, 103, 75–82. [Google Scholar] [CrossRef]
- Rinner, O.; Rick, J.M.; Neuhauss, S.C. Contrast sensitivity, spatial and temporal tuning of the larval zebrafish optokinetic response. Investig. Ophthalmol. Vis. Sci. 2005, 46, 137–142. [Google Scholar] [CrossRef]
- Van Der Horst, G.J.; De Weert, C.M.; Bouman, M.A. Transfer of spatial chromaticity-contrast at threshold in the human eye. JOSA 1967, 57, 1260–1266. [Google Scholar] [CrossRef]
- Rovamo, J.M.; Kankaanpää, M.I.; Kukkonen, H. Modelling spatial contrast sensitivity functions for chromatic and luminance-modulated gratings. Vis. Res. 1999, 39, 2387–2398. [Google Scholar] [CrossRef][Green Version]
- Chwesiuk, M.; Mantiuk, R. Measurements of contrast sensitivity for peripheral vision. In Proceedings of the ACM Symposium on Applied Perception 2019, Barcelona, Spain, 19–20 September 2019; pp. 1–9. [Google Scholar]
- Schütz, A.C.; Braun, D.I.; Gegenfurtner, K.R. Chromatic contrast sensitivity during optokinetic nystagmus, visually enhanced vestibulo-ocular reflex, and smooth pursuit eye movements. J. Neurophysiol. 2009, 101, 2317–2327. [Google Scholar] [CrossRef][Green Version]
- Van den Berg, A.; Collewijn, H. Directional asymmetries of human optokinetic nystagmus. Exp. Brain Res. 1988, 70, 597–604. [Google Scholar] [CrossRef]
- Brainard, D.H.; Vision, S. The psychophysics toolbox. Spat. Vis. 1997, 10, 433–436. [Google Scholar] [CrossRef] [PubMed]
- Kleiner, M.; Brainard, D.; Pelli, D.; Ingling, A.; Murray, R.; Broussard, C. What’s new in Psychtoolbox-3? Perception 2007, 36, 1–16. [Google Scholar]
- Braun, D.I.; Schütz, A.C.; Gegenfurtner, K.R. Visual sensitivity for luminance and chromatic stimuli during the execution of smooth pursuit and saccadic eye movements. Vis. Res. 2017, 136, 57–69. [Google Scholar] [CrossRef] [PubMed]
- Neumann, A.; Leube, A.; Nabawi, N.; Sauer, Y.; Essig, P.; Breher, K.; Wahl, S. Short-Term Peripheral Contrast Reduction Affects Central Chromatic and Achromatic Contrast Sensitivity. Photonics 2022, 9, 123. [Google Scholar] [CrossRef]
- Bathke, A. The ANOVA F test can still be used in some balanced designs with unequal variances and nonnormal data. J. Stat. Plan. Inference 2004, 126, 413–422. [Google Scholar] [CrossRef]
- Ludwig, C.J.; Gilchrist, I.D.; McSorley, E. The influence of spatial frequency and contrast on saccade latencies. Vis. Res. 2004, 44, 2597–2604. [Google Scholar] [CrossRef]
- Carpenter, R. Contrast, probability, and saccadic latency: Evidence for independence of detection and decision. Curr. Biol. 2004, 14, 1576–1580. [Google Scholar] [CrossRef]
- Haegerstrom-Portnoy, G.; Brown, B. Contrast effects on smooth-pursuit eye movement velocity. Vis. Res. 1979, 19, 169–174. [Google Scholar] [CrossRef]
- Wang, L.; Soderberg, P.G.; Wang, L. Frequency and amplitude in scotopically stimulated optokinetic nystagmus. Graefe’s Arch. Clin. Exp. Ophthalmol. 1995, 233, 8–12. [Google Scholar] [CrossRef]
- Doustkouhi, S.M.; Turnbull, P.R.; Dakin, S.C. The effect of simulated visual field loss on optokinetic nystagmus. Transl. Vis. Sci. Technol. 2020, 9, 25. [Google Scholar] [CrossRef]
- Leube, A.; Rifai, K. Sampling rate influences saccade detection in mobile eye tracking of a reading task. J. Eye Mov. Res. 2017, 10. [Google Scholar] [CrossRef] [PubMed]
- Leguire, L.; Zaff, B.; Freeman, S.; Rogers, G.; Bremer, D.; Wali, N. Contrast sensitivity of optokinetic nystagmus. Vis. Res. 1991, 31, 89–97. [Google Scholar] [CrossRef] [PubMed]
- Strang, N.C.; Atchison, D.A.; Woods, R.L. Effects of defocus and pupil size on human contrast sensitivity. Ophthalmic Physiol. Opt. 1999, 19, 415–426. [Google Scholar] [CrossRef] [PubMed]
- Rovamo, J.; Mustonen, J.; Näsänen, R. Modelling contrast sensitivity as a function of retinal illuminance and grating area. Vis. Res. 1994, 34, 1301–1314. [Google Scholar] [CrossRef]
Publisher’s Note: MDPI stays neutral with regard to jurisdictional claims in published maps and institutional affiliations. |
© 2022 by the authors. Licensee MDPI, Basel, Switzerland. This article is an open access article distributed under the terms and conditions of the Creative Commons Attribution (CC BY) license (https://creativecommons.org/licenses/by/4.0/).







